SISLU-Net: Spatial Information-Assisted Spectral Information Learning Unmixing Network for Hyperspectral Images
Abstract
1. Introduction
2. Problem Formulation and Method
2.1. Linear Mixing Models
2.2. General Introduction to SISLU-Net
2.3. Spectral Convolutional Network
2.4. Spatial Convolutional Network
2.5. Clarifying Details on Our Network Architecture
| Algorithm 1: SISLU-Net for HSI Unmixing |
|
3. Experiments
3.1. Data Description
3.2. Experimental Setup
3.3. Experiment on Synthetic Dataset
3.4. Experiment on Samson Dataset
3.5. Experiment on Jasper Ridge Dataset
3.6. Experiment on Washington DC Mall Dataset
4. Discussion
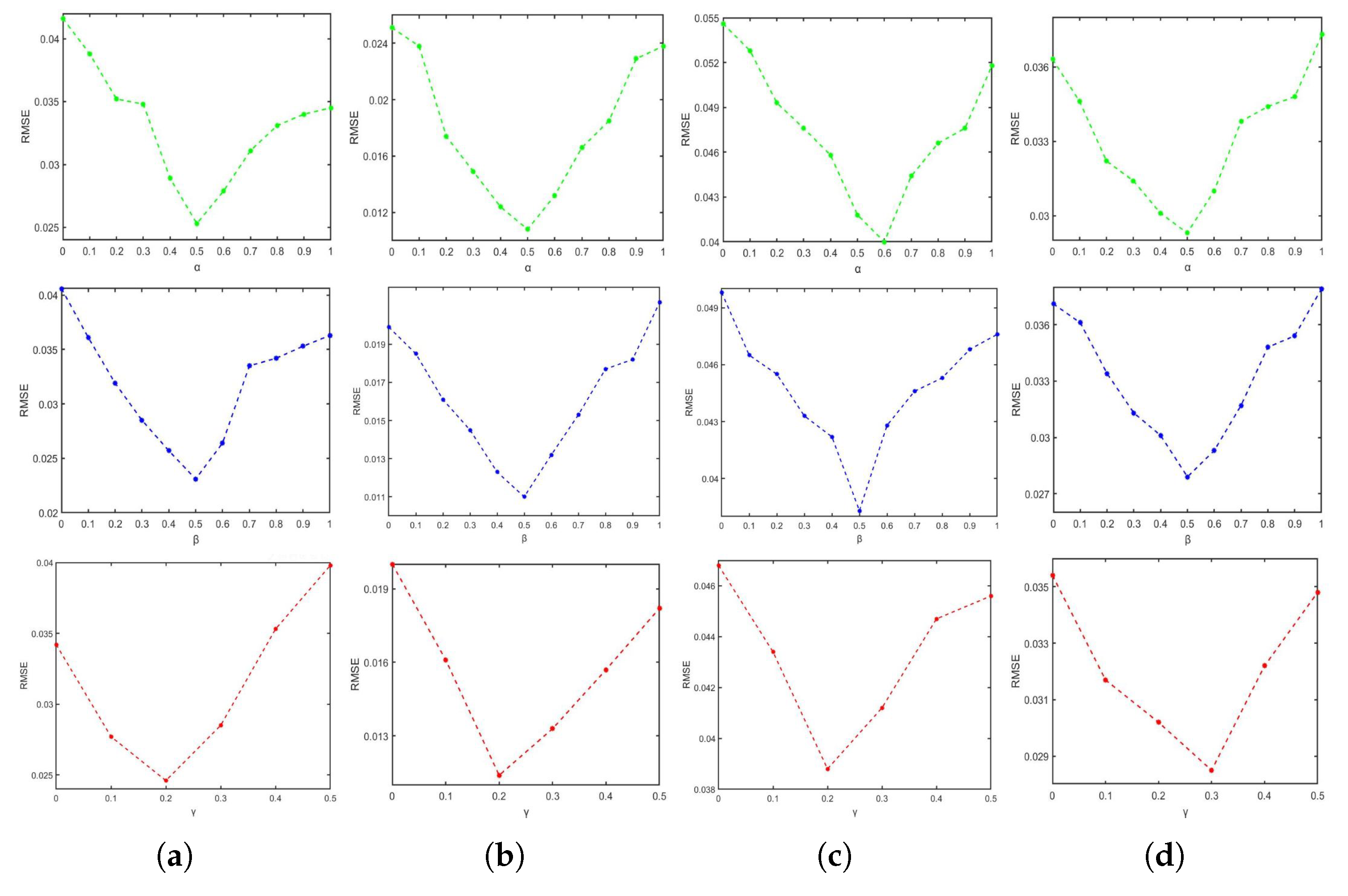
4.1. Hyperparameter Sensitivity Analysis
4.2. Processing Time
5. Conclusions
Author Contributions
Funding
Data Availability Statement
Acknowledgments
Conflicts of Interest
References
- Turner, W.; Spector, S.; Gardiner, N.; Fladeland, M.; Sterling, E.; Steininger, M. Remote sensing for biodiversity science and conservation. Trends Ecol. Evol. 2003, 18, 306–314. [Google Scholar]
- Hong, D.; He, W.; Yokoya, N.; Yao, J.; Gao, L.; Zhang, L.; Chanussot, J.; Zhu, X. Interpretable hyperspectral artificial intelligence: When nonconvex modeling meets hyperspectral remote sensing. IEEE Geosci. Remote Sens. Mag. 2021, 9, 52–87. [Google Scholar]
- Sun, L.; Cheng, S.; Zheng, Y.; Wu, Z.; Zhang, J. SPANet: Successive Pooling Attention Network for Semantic Segmentation of Remote Sensing Images. IEEE J. Sel. Top. Appl. Earth Obs. Remote Sens. 2022, 15, 4045–4057. [Google Scholar]
- Sun, L.; Fang, Y.; Chen, Y.; Huang, W.; Wu, Z.; Jeon, B. Multi-structure KELM with attention fusion strategy for hyperspectral image classification. IEEE Trans. Geosci. Remote Sens. 2022, 60, 1–17. [Google Scholar]
- Allan, A.; Soltani, A.; Abdi, M.H.; Zarei, M. Driving Forces behind Land Use and Land Cover Change: A Systematic and Bibliometric Review. Land 2022, 11, 1222. [Google Scholar]
- Zhu, Q.; Guo, X.; Deng, W.; Guan, Q.; Zhong, Y.; Zhang, L.; Li, D. Land-use/land-cover change detection based on a Siamese global learning framework for high spatial resolution remote sensing imagery. ISPRS J. Photogramm. Remote Sens. 2022, 184, 63–78. [Google Scholar]
- Wang, K.; Du, S.; Liu, C.; Cao, Z. Interior Attention-Aware Network for Infrared Small Target Detection. IEEE Trans. Geosci. Remote Sens. 2022, 60, 1–13. [Google Scholar]
- Li, Q.; Li, Z.; Shi, Z.; Fan, H. Application of Helbig integrals to magnetic gradient tensor multi-target detection. Measurement 2022, 200, 111612. [Google Scholar]
- Wu, X.; Hong, D.; Tian, J.; Chanussot, J.; Li, W.; Tao, R. ORSIm detector: A novel object detection framework in optical remote sensing imagery using spatial-frequency channel features. IEEE Trans. Geosci. Remote Sens. 2019, 57, 5146–5158. [Google Scholar]
- Jin, Q.; Ma, Y.; Mei, X.; Dai, X.; Li, H.; Fan, F.; Huang, J. Gaussian mixture model for hyperspectral unmixing with low-rank representation. In Proceedings of the IGARSS 2019-2019 IEEE International Geoscience and Remote Sensing Symposium, Yokohama, Japan, 28 July–2 August 2019; pp. 294–297. [Google Scholar]
- Jin, Q.; Ma, Y.; Mei, X.; Li, H.; Ma, J. UTDN: An unsupervised two-stream Dirichlet-Net for hyperspectral unmixing. In Proceedings of the ICASSP 2021–2021 IEEE International Conference on Acoustics, Speech and Signal Processing (ICASSP), Toronto, ON, Canada, 6–11 June 2021; pp. 1885–1889. [Google Scholar]
- Bioucas-Dias, J.M.; Plaza, A.; Dobigeon, N.; Parente, M.; Du, Q.; Gader, P.; Chanussot, J. Hyperspectral unmixing overview: Geometrical, statistical, and sparse regression-based approaches. IEEE J. Sel. Top. Appl. Earth Obs. Remote Sens. 2012, 5, 354–379. [Google Scholar]
- Zhang, J.; Zhang, X.; Meng, H.; Sun, C.; Wang, L.; Cao, X. Nonlinear Unmixing via Deep Autoencoder Networks for Generalized Bilinear Model. Remote Sens. 2022, 14, 5167. [Google Scholar]
- Ma, W.K.; Bioucas-Dias, J.M.; Chan, T.H.; Gillis, N.; Gader, P.; Plaza, A.J.; Ambikapathi, A.; Chi, C.Y. A signal processing perspective on hyperspectral unmixing: Insights from remote sensing. IEEE Signal Process. Mag. 2013, 31, 67–81. [Google Scholar]
- Tang, M.; Gao, L.; Marinoni, A.; Gamba, P.; Zhang, B. Integrating spatial information in the normalized P-linear algorithm for nonlinear hyperspectral unmixing. IEEE J. Sel. Top. Appl. Earth Obs. Remote Sens. 2017, 11, 1179–1190. [Google Scholar]
- Marinoni, A.; Plaza, J.; Plaza, A.; Gamba, P. Nonlinear hyperspectral unmixing using nonlinearity order estimation and polytope decomposition. IEEE J. Sel. Top. Appl. Earth Obs. Remote Sens. 2015, 8, 2644–2654. [Google Scholar]
- Marinoni, A.; Gamba, P. Improving reliability in nonlinear hyperspectral unmixing by multidimensional structural optimization. IEEE Trans. Geosci. Remote Sens. 2019, 57, 5211–5223. [Google Scholar]
- Nascimento, J.M.; Dias, J.M. Vertex component analysis: A fast algorithm to unmix hyperspectral data. IEEE Trans. Geosci. Remote Sens. 2005, 43, 898–910. [Google Scholar]
- Winter, M.E. N-FINDR: An algorithm for fast autonomous spectral end-member determination in hyperspectral data. In Proceedings of the SPIE’s International Symposium on Optical Science, Engineering, and Instrumentation, Denver, CO, USA, 18–23 July 1999; Volume 3753, pp. 266–275. [Google Scholar]
- Boardman, J.; Kruscl, F.; Grccn, R. Mapping target signatures via partial unmixing of AVIRIS data. Summaries of the Fifth Annual JPL Airborne Earth Science Workshop; NASA: Washington, DC, USA, 1995. [Google Scholar]
- Li, J.; Agathos, A.; Zaharie, D.; Bioucas-Dias, J.M.; Plaza, A.; Li, X. Minimum volume simplex analysis: A fast algorithm for linear hyperspectral unmixing. IEEE Trans. Geosci. Remote Sens. 2015, 53, 5067–5082. [Google Scholar]
- Nascimento, J.M.; Bioucas-Dias, J.M. Hyperspectral unmixing based on mixtures of Dirichlet components. IEEE Trans. Geosci. Remote Sens. 2011, 50, 863–878. [Google Scholar]
- Loughlin, C.; Pieper, M.; Manolakis, D.; Bostick, R.; Weisner, A.; Cooley, T. Efficient hyperspectral target detection and identification with large spectral libraries. IEEE J. Sel. Top. Appl. Earth Obs. Remote Sens. 2020, 13, 6019–6028. [Google Scholar]
- Bioucas-Dias, J.M.; Figueiredo, M.A. Alternating direction algorithms for constrained sparse regression: Application to hyperspectral unmixing. In Proceedings of the 2010 2nd Workshop on Hyperspectral Image and Signal Processing: Evolution in Remote Sensing, Reykjavik, Iceland, 14–16 June 2010; pp. 1–4. [Google Scholar]
- Iordache, M.D.; Bioucas-Dias, J.M.; Plaza, A. Total variation spatial regularization for sparse hyperspectral unmixing. IEEE Trans. Geosci. Remote Sens. 2012, 50, 4484–4502. [Google Scholar]
- Iordache, M.D.; Bioucas-Dias, J.M.; Plaza, A. Collaborative sparse regression for hyperspectral unmixing. IEEE Trans. Geosci. Remote Sens. 2013, 52, 341–354. [Google Scholar]
- Huang, J.; Huang, T.Z.; Zhao, X.L.; Deng, L.J. Nonlocal tensor-based sparse hyperspectral unmixing. IEEE Trans. Geosci. Remote Sens. 2020, 59, 6854–6868. [Google Scholar]
- Xue, J.; Zhao, Y.; Huang, S.; Liao, W.; Chan, J.C.W.; Kong, S.G. Multilayer sparsity-based tensor decomposition for low-rank tensor completion. IEEE Trans. Neural Netw. Learn. Syst. 2021, 33, 6916–6930. [Google Scholar]
- Xue, J.; Zhao, Y.; Bu, Y.; Chan, J.C.W.; Kong, S.G. When Laplacian Scale Mixture Meets Three-Layer Transform: A Parametric Tensor Sparsity for Tensor Completion. IEEE Trans. Cybern. 2022, 52, 13887–13901. [Google Scholar]
- Xu, X.; Song, X.; Li, T.; Shi, Z.; Pan, B. Deep Autoencoder for Hyperspectral Unmixing via Global-Local Smoothing. IEEE Trans. Geosci. Remote Sens. 2022, 60, 1–16. [Google Scholar]
- Ghosh, P.; Roy, S.K.; Koirala, B.; Rasti, B.; Scheunders, P. Hyperspectral Unmixing Using Transformer Network. IEEE Trans. Geosci. Remote Sens. 2022, 60, 1–16. [Google Scholar]
- Qi, L.; Gao, F.; Dong, J.; Gao, X.; Du, Q. SSCU-Net: Spatial–Spectral Collaborative Unmixing Network for Hyperspectral Images. IEEE Trans. Geosci. Remote Sens. 2022, 60, 1–15. [Google Scholar]
- Plaza, J.; Plaza, A.; Perez, R.; Martinez, P. On the use of small training sets for neural network-based characterization of mixed pixels in remotely sensed hyperspectral images. Pattern Recognit. 2009, 42, 3032–3045. [Google Scholar]
- Licciardi, G.A.; Del Frate, F. Pixel unmixing in hyperspectral data by means of neural networks. IEEE Trans. Geosci. Remote Sens. 2011, 49, 4163–4172. [Google Scholar]
- Kong, F.; Chen, M.; Cao, T.; Meng, Y. Spectral-Spatial Hyperspectral Unmixing Method Based on the Convolutional Autoencoders. In Proceedings of the International Conference in Communications, Signal Processing, and Systems; Springer: Berlin/Heidelberg, Germany, 2022; pp. 881–886. [Google Scholar]
- Hong, D.; Chanussot, J.; Yokoya, N.; Heiden, U.; Heldens, W.; Zhu, X.X. WU-Net: A weakly-supervised unmixing network for remotely sensed hyperspectral imagery. In Proceedings of the IGARSS 2019-2019 IEEE International Geoscience and Remote Sensing Symposium, Yokohama, Japan, 28 July–2 August 2019; pp. 373–376. [Google Scholar]
- Jin, Q.; Ma, Y.; Fan, F.; Huang, J.; Mei, X.; Ma, J. Adversarial autoencoder network for hyperspectral unmixing. IEEE Trans. Neural Netw. Learn. Syst. 2021. [Google Scholar] [CrossRef]
- Zhao, M.; Wang, M.; Chen, J.; Rahardja, S. Hyperspectral unmixing for additive nonlinear models with a 3-D-CNN autoencoder network. IEEE Trans. Geosci. Remote Sens. 2021, 60, 1–15. [Google Scholar]
- Ozkan, S.; Kaya, B.; Akar, G.B. Endnet: Sparse autoencoder network for endmember extraction and hyperspectral unmixing. IEEE Trans. Geosci. Remote Sens. 2018, 57, 482–496. [Google Scholar]
- Su, Y.; Li, J.; Plaza, A.; Marinoni, A.; Gamba, P.; Chakravortty, S. DAEN: Deep autoencoder networks for hyperspectral unmixing. IEEE Trans. Geosci. Remote Sens. 2019, 57, 4309–4321. [Google Scholar]
- Borsoi, R.A.; Imbiriba, T.; Bermudez, J.C.M. Deep generative endmember modeling: An application to unsupervised spectral unmixing. IEEE Trans. Comput. Imaging 2019, 6, 374–384. [Google Scholar]
- Qu, Y.; Qi, H. uDAS: An untied denoising autoencoder with sparsity for spectral unmixing. IEEE Trans. Geosci. Remote Sens. 2018, 57, 1698–1712. [Google Scholar]
- Hua, Z.; Li, X.; Qiu, Q.; Zhao, L. Autoencoder network for hyperspectral unmixing with adaptive abundance smoothing. IEEE Geosci. Remote Sens. Lett. 2020, 18, 1640–1644. [Google Scholar]
- Zhang, X.; Sun, Y.; Zhang, J.; Wu, P.; Jiao, L. Hyperspectral unmixing via deep convolutional neural networks. IEEE Geosci. Remote Sens. Lett. 2018, 15, 1755–1759. [Google Scholar]
- Khajehrayeni, F.; Ghassemian, H. Hyperspectral unmixing using deep convolutional autoencoders in a supervised scenario. IEEE J. Sel. Top. Appl. Earth Obs. Remote Sens. 2020, 13, 567–576. [Google Scholar]
- Palsson, B.; Ulfarsson, M.O.; Sveinsson, J.R. Convolutional autoencoder for spectral–spatial hyperspectral unmixing. IEEE Trans. Geosci. Remote Sens. 2020, 59, 535–549. [Google Scholar]
- Gao, L.; Han, Z.; Hong, D.; Zhang, B.; Chanussot, J. CyCU-Net: Cycle-consistency unmixing network by learning cascaded autoencoders. IEEE Trans. Geosci. Remote Sens. 2021, 60, 1–14. [Google Scholar]
- Rasti, B.; Koirala, B.; Scheunders, P.; Chanussot, J. Misicnet: Minimum simplex convolutional network for deep hyperspectral unmixing. IEEE Trans. Geosci. Remote Sens. 2022, 60, 1–15. [Google Scholar]
- Huang, Y.; Li, J.; Qi, L.; Wang, Y.; Gao, X. Spatial-spectral autoencoder networks for hyperspectral unmixing. In Proceedings of the IGARSS 2020—2020 IEEE International Geoscience and Remote Sensing Symposium, IEEE, Waikoloa, HI, USA, 26 September–2 October 2020; pp. 2396–2399. [Google Scholar]
- Feng, Z.H.; Kittler, J.; Awais, M.; Huber, P.; Wu, X. Wing Loss for Robust Facial Landmark Localisation with Convolutional Neural Networks. Comput. Vis. Pattern Recognit. 2018, 2235–2245. [Google Scholar] [CrossRef]
- Gaihua, W.; Tianlun, Z.; Yingying, D.; Jinheng, L.; Lei, C. A serial-parallel self-attention network joint with multi-scale dilated convolution. IEEE Access 2021, 9, 71909–71919. [Google Scholar]
- Shi, W.; Du, H.; Mei, W.; Ma, Z. (SARN) spatial-wise attention residual network for image super-resolution. Vis. Comput. 2021, 37, 1569–1580. [Google Scholar]
- Zhou, Y.; Rangarajan, A.; Gader, P.D. A Gaussian mixture model representation of endmember variability in hyperspectral unmixing. IEEE Trans. Image Process. 2018, 27, 2242–2256. [Google Scholar]
- Zhou, Y.; Rangarajan, A.; Gader, P.D. A spatial compositional model for linear unmixing and endmember uncertainty estimation. IEEE Trans. Image Process. 2016, 25, 5987–6002. [Google Scholar]
- Davis, C.O.; Kavanaugh, M.; Letelier, R.; Bissett, W.P.; Kohler, D. Spatial and spectral resolution considerations for imaging coastal waters. In Proceedings of the Optical Engineering + Applications, San Diego, CA, USA, 19–20 March 2007; Volume 6680, pp. 196–207. [Google Scholar] [CrossRef]
- Heinz, D.; Chang, C.I. Fully constrained least squares linear spectral mixture analysis method for material quantification in hyperspectral imagery. IEEE Trans. Geosci. Remote Sens. 2001, 39, 529–545. [Google Scholar]
- Zhuang, L.; Lin, C.H.; Figueiredo, M.A.; Bioucas-Dias, J.M. Regularization parameter selection in minimum volume hyperspectral unmixing. IEEE Trans. Geosci. Remote Sens. 2019, 57, 9858–9877. [Google Scholar]
- Hong, D.; Gao, L.; Yao, J.; Yokoya, N.; Chanussot, J.; Heiden, U.; Zhang, B. Endmember-guided unmixing network (EGU-Net): A general deep learning framework for self-supervised hyperspectral unmixing. IEEE Trans. Neural Netw. Learn. Syst. 2021, 33, 6518–6531. [Google Scholar] [CrossRef]
















| Layer | Input Ch. | Output Ch. | Filter Size | Stride | |
|---|---|---|---|---|---|
| Layer 1 | Conv | 256 | 64 | 1 × 1 | 1 |
| BN | |||||
| Tanh | |||||
| Layer 2 | Conv | 64 | 64 | 3 × 3 | 1 |
| BN | |||||
| Tanh | |||||
| Layer 3 | Conv | 64 | 256 | 1 × 1 | 1 |
| BN | |||||
| Tanh |
| Pathway | Spectral Convolutional Network | Spatial Convolutional Network | ||||
|---|---|---|---|---|---|---|
| Input Ch. | Output Ch. | Input Ch. | Output Ch. | |||
| Block1 | 1 × 1 Conv | P | 256 | 3 × 3 Dilated Conv | P | 256 |
| BN | BN | |||||
| Dropout | Dropout | |||||
| Tanh | Tanh | |||||
| Block2 | 1 × 1 Conv | 256 | 128 | BottleNeck Residual Module | 256 | 256 |
| BN | ||||||
| Dropout | ||||||
| Tanh | ||||||
| Block3 | 1 × 1 Conv | 128 | 32 | 3 × 3 Conv | 256 | 128 |
| BN | ||||||
| BN | Tanh | |||||
| 1 × 1 Conv | 128 | 32 | ||||
| ReLU | BN | |||||
| ReLU | ||||||
| ShareBlock | 1 × 1 Conv | 32 | r | 1 × 1 Conv | 32 | r |
| BN | BN | |||||
| Softmax | Softmax | |||||
| Block4 | Linear | r | P | - | - | - |
| ReconBlock1 | - | - | - | 1 × 1 Conv | r | 32 |
| - | BN | |||||
| - | Sigmoid | |||||
| ReconBlock2 | - | - | - | 1 × 1 Conv | 32 | 128 |
| - | BN | |||||
| - | Sigmoid | |||||
| ReconBlock3 | - | - | - | 3 × 3 Conv | 128 | 256 |
| - | BN | |||||
| - | Sigmoid | |||||
| ReconBlock4 | - | - | - | 5 × 5 Conv | 256 | P |
| - | BN | |||||
| - | Sigmoid | |||||
| Methods | CLSUnSAL | NMF-QMV | uDAS | CyCUNet | EGU-Net | MiSiCNet | SISLU-Net | SISLU-Net (without SPCN) |
|---|---|---|---|---|---|---|---|---|
| 20 dB | 0.0242 | 0.1072 | 0.0246 | 0.0761 | 0.6761 | 0.1438 | 0.0186 | 0.0824 |
| 30 dB | 0.0233 | 0.0971 | 0.0191 | 0.0709 | 0.6761 | 0.1440 | 0.0180 | 0.0804 |
| 40 dB | 0.0222 | 0.0960 | 0.0179 | 0.0662 | 0.6760 | 0.1440 | 0.0166 | 0.0799 |
| Methods | CLSUnSAL | NMF-QMV | uDAS | CyCUNet | EGU-Net | MiSiCNet | SISLU-Net | SISLU-Net (without SPCN) |
|---|---|---|---|---|---|---|---|---|
| 20 dB | 0.0397 | 0.0853 | 0.0503 | 0.1691 | 0.0306 | 0.0916 | 0.0271 | 0.0875 |
| 30 dB | 0.0385 | 0.0762 | 0.0440 | 0.1613 | 0.0279 | 0.0897 | 0.0247 | 0.0849 |
| 0 dB | 0.0366 | 0.0741 | 0.0426 | 0.1593 | 0.0304 | 0.0894 | 0.0220 | 0.0855 |
| Loss | Soil | Tree | Water | Mean SAD | RMSE |
|---|---|---|---|---|---|
| L1 Loss | 0.0350 | 0.0515 | 0.1001 | 0.0622 | 0.0244 |
| L2 Loss | 0.0620 | 0.0462 | 0.1072 | 0.0718 | 0.0300 |
| Wing Loss | 0.0209 | 0.0528 | 0.0397 | 0.0378 | 0.0108 |
| Loss | Tree | Water | Soil | Road | Mean SAD | RMSE |
|---|---|---|---|---|---|---|
| L1 Loss | 0.0410 | 0.2615 | 0.0381 | 0.0418 | 0.0956 | 0.0519 |
| L2 Loss | 0.0502 | 0.2898 | 0.0295 | 0.0367 | 0.1016 | 0.0545 |
| Wing Loss | 0.0274 | 0.0494 | 0.0264 | 0.0342 | 0.0344 | 0.0390 |
| Module | DBDT Module | Bottleneck Residual Module | Mean SAD | RMSE | |
|---|---|---|---|---|---|
| Dataset | |||||
| Synthetic (30 dB) | 0.0414 | 0.0524 | |||
| ✔ | 0.0209 | 0.0281 | |||
| ✔ | 0.0194 | 0.0260 | |||
| ✔ | ✔ | 0.0180 | 0.0247 | ||
| Samson | 0.0460 | 0.0215 | |||
| ✔ | 0.0388 | 0.0113 | |||
| ✔ | 0.0393 | 0.0146 | |||
| ✔ | ✔ | 0.0378 | 0.0106 | ||
| Jasper | 0.0517 | 0.0464 | |||
| ✔ | 0.0437 | 0.0450 | |||
| ✔ | 0.0398 | 0.0408 | |||
| ✔ | ✔ | 0.0344 | 0.0390 | ||
| WDC | 0.0780 | 0.0373 | |||
| ✔ | 0.0691 | 0.0341 | |||
| ✔ | 0.0650 | 0.0332 | |||
| ✔ | ✔ | 0.0622 | 0.0291 | ||
| Methods | CLSUnSAL | NMF-QMV | uDAS | CyCUNet | EGU-Net | MiSiCNet | SISLU-Net | |
|---|---|---|---|---|---|---|---|---|
| SAD | Soil | 0.0351 | 0.0260 | 0.0358 | 0.0122 | 0.0170 | 0.0123 | 0.0209 |
| Tree | 0.1076 | 0.1065 | 0.0960 | 0.0568 | 0.0645 | 0.0463 | 0.0528 | |
| Water | 0.2166 | 1.4836 | 0.1527 | 0.0719 | 0.0996 | 0.3733 | 0.0397 | |
| Mean SAD | 0.1198 | 0.5387 | 0.0948 | 0.0470 | 0.0604 | 0.1439 | 0.0378 | |
| RMSE | 0.1403 | 0.1698 | 0.1867 | 0.1775 | 0.1981 | 0.0246 | 0.0106 | |
| Methods | CLSUnSAL | NMF-QMV | uDAS | CyCUNet | EGU-Net | MiSiCNet | SISLU-Net | |
|---|---|---|---|---|---|---|---|---|
| SAD | Tree | 0.1520 | 0.2846 | 0.1785 | 0.0354 | 0.0372 | 0.0434 | 0.0274 |
| Water | 0.0733 | 1.4877 | 0.3606 | 0.1550 | 0.0574 | 0.2897 | 0.0494 | |
| Soil | 0.1157 | 0.1722 | 0.0967 | 0.0343 | 0.0319 | 0.0662 | 0.0264 | |
| Road | 0.0696 | 0.0501 | 0.0444 | 0.0415 | 0.0304 | 0.3295 | 0.0342 | |
| Mean SAD | 0.1026 | 0.4986 | 0.1701 | 0.0666 | 0.0392 | 0.1822 | 0.0344 | |
| RMSE | 0.1558 | 0.1680 | 0.1229 | 0.1163 | 0.0525 | 0.1824 | 0.0390 | |
| Methods | CLSUnSAL | NMF-QMV | uDAS | CyCUNet | EGU-Net | MiSiCNet | SISLU-Net | |
|---|---|---|---|---|---|---|---|---|
| SAD | Grass | 0.3661 | 0.1866 | 0.1980 | 0.2920 | 0.0803 | 0.2853 | 0.1369 |
| Tree | 0.3780 | 0.4457 | 0.3865 | 0.5093 | 0.1353 | 0.1560 | 0.0523 | |
| Road | 0.2876 | 0.2629 | 0.5844 | 0.3991 | 0.0643 | 0.0886 | 0.0295 | |
| Roof | 0.0418 | 0.2021 | 0.0661 | 0.8287 | 0.0723 | 0.3317 | 0.0712 | |
| Water | 0.0388 | 0.4195 | 0.1073 | 0.0473 | 0.0660 | 0.0432 | 0.0308 | |
| Trail | 0.1528 | 0.0612 | 0.0844 | 8139 | 0.0364 | 0.3454 | 0.0527 | |
| Mean SAD | 0.2109 | 0.2630 | 0.2378 | 0.3701 | 0.0757 | 0.2075 | 0.0622 | |
| RMSE | 0.2831 | 0.2314 | 0.3051 | 0.3132 | 0.1431 | 0.1824 | 0.0291 | |
| CLSUnSAL | NMF-QMV | uDAS | CyCUNet | EGU-Net | MiSiCNet | SISLU-Net | |
|---|---|---|---|---|---|---|---|
| Samson | 0.94 | 11.28 | 12.65 | 69.44 | 33.81 | 78.50 | 86.14 |
| Jasper | 1.67 | 14.10 | 26.33 | 80.18 | 39.45 | 81.40 | 105.05 |
| WDC | 44.46 | 859.25 | 1050.0 | 676.52 | 252.08 | 442.68 | 712.41 |
Disclaimer/Publisher’s Note: The statements, opinions and data contained in all publications are solely those of the individual author(s) and contributor(s) and not of MDPI and/or the editor(s). MDPI and/or the editor(s) disclaim responsibility for any injury to people or property resulting from any ideas, methods, instructions or products referred to in the content. |
© 2023 by the authors. Licensee MDPI, Basel, Switzerland. This article is an open access article distributed under the terms and conditions of the Creative Commons Attribution (CC BY) license (https://creativecommons.org/licenses/by/4.0/).
Share and Cite
Sun, L.; Chen, Y.; Li, B. SISLU-Net: Spatial Information-Assisted Spectral Information Learning Unmixing Network for Hyperspectral Images. Remote Sens. 2023, 15, 817. https://doi.org/10.3390/rs15030817
Sun L, Chen Y, Li B. SISLU-Net: Spatial Information-Assisted Spectral Information Learning Unmixing Network for Hyperspectral Images. Remote Sensing. 2023; 15(3):817. https://doi.org/10.3390/rs15030817
Chicago/Turabian StyleSun, Le, Ying Chen, and Baozhu Li. 2023. "SISLU-Net: Spatial Information-Assisted Spectral Information Learning Unmixing Network for Hyperspectral Images" Remote Sensing 15, no. 3: 817. https://doi.org/10.3390/rs15030817
APA StyleSun, L., Chen, Y., & Li, B. (2023). SISLU-Net: Spatial Information-Assisted Spectral Information Learning Unmixing Network for Hyperspectral Images. Remote Sensing, 15(3), 817. https://doi.org/10.3390/rs15030817

