Characterization of Antenna Radiation Pattern and Penetration Depth in Ground Penetrating Radar Field Missions
Abstract
:1. Introduction
2. Materials and Methods
- -
- Ultra-high power: The peak power of the transmitted EM pulse was brought up to a practical limit, determined only by the insulating properties of the environment, by means of a high-voltage discharger supplying a probing pulse of voltage from 5 to 21 kV to the antenna.
- -
- Concentration of signal energy in the low-frequency part of the spectrum: In order to achieve maximum depths, the maximum energy of the probing pulse is shifted to the lowest frequencies, within the 1–50 MHz frequency band of the receiver determined by the length of the transmitter antenna. The medium-frequency version Loza–V, operating in the frequency band of 50–300 MHz, is equipped with 100, 200, and 300 MHz dipole antennas (Figure 1). The Loza–N DPR is supplied with 50 MHz (3 m long), 25 MHz (6 m), 15 MHz (10 m), and 10 MHz (15 m) transmitter and receiver half-wave dipole antennas (Figure 2). All antennas are designed with a resistive load that gradually grow towards the ends of the dipole [12].
- -
- Large dynamic range of the reflected signal registration: The peak power of the transmitter is brought to a physical limit and is limited only by the electrical breakdown of the environment (ground and air). The use of ultra-powerful transmitters and low-frequency antennas provides a dynamic range of reflected signals of more than 120 dB, which allows one to work in environments with high conductivity, such as loam or wet clay. The registration system allows one to digitize the signal in the entire dynamic range without changing the GPR settings. The resistive damping makes it possible to obtain probing pulses of a practically non-oscillating nature [14,22,23,24], see Figure 3.
3. Experimental Results
3.1. GPR Directivity Pattern in Upper Hemisphere
3.2. GPR Directivity Pattern in Subsurface Medium
3.3. Deep Radar Probing of Patomsky Crater
3.4. Qualitative Solution of Inverse Problem
- (1)
- There is no registration of the emitted pulse amplitude in the current GPR models (some approaches to the problem are outlined in [46]);
- (2)
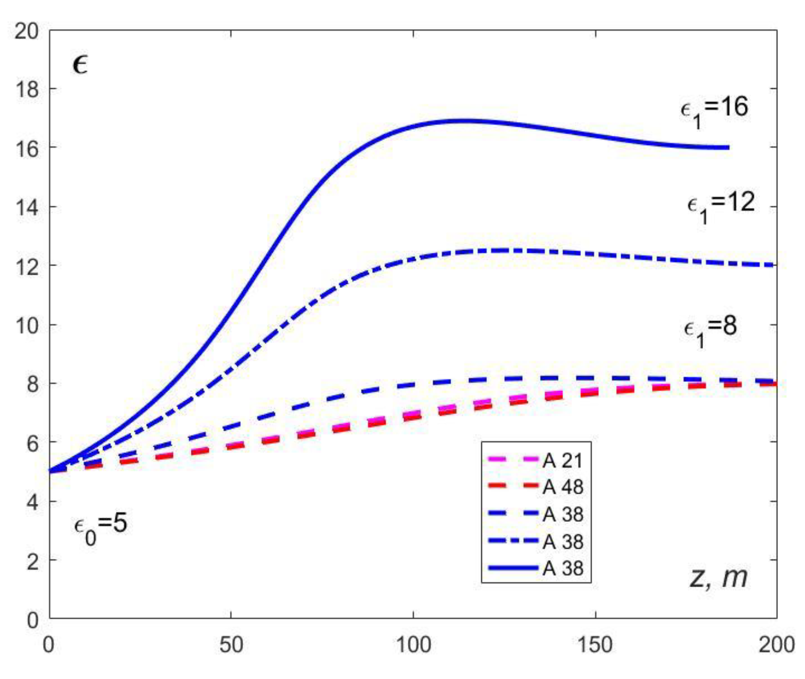
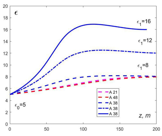
- Since drilling near this rare natural object is excluded, the numerical value of the permittivity at the depth of far reflections can be estimated only from model calculations (we tried several likely values for different moisture saturation).
4. Conclusions
Author Contributions
Funding
Data Availability Statement
Acknowledgments
Conflicts of Interest
References
- Daniels, D.J. Ground Penetrating Radar, 2nd ed.; IEE Radar, Sonar and Navigation Series 15; The Institution of Electrical Engineers: London, UK, 2004. [Google Scholar]
- Benedetto, A.; Pajewski, L. (Eds.) Civil Engineering Applications of Ground Penetrating Radar; Book Series: Transactions in Civil and Environmental Engineering; Springer: New Delhi, India, 2015; p. 385. [Google Scholar]
- Persico, R. Introduction to Ground Penetrating Radar: Inverse Scattering and Data Processing; Wiley-IEEE Press: New York, NY, USA, 2014; p. 392. [Google Scholar]
- Hou, F.; Rui, X.; Fan, X.; Zhang, H. Review of GPR Activities in Civil Infrastructures: Data Analysis and Applications. Remote Sens. 2022, 14, 5972. [Google Scholar] [CrossRef]
- Srimuk, P.; Boonpoonga, A.; Kaemarungsi, K.; Athikulwongse, K.; Dentri, S. Implementation of and experimentation with ground-penetrating radar for real-time automatic detection of buried improvised explosive devices. Sensors 2022, 22, 8710. [Google Scholar] [CrossRef] [PubMed]
- Barone, P.M. Understanding Buried Anomalies: A Practical Guide to GPR; Lambert Academic Publishing: Saarbrücken, Germany, 2016; p. 92. [Google Scholar]
- Álvarez López, Y.; Fernández, M.G.; Arboleya Arboleya, A.; González-Valdés, B.; Rodríguez Vaqueiro, Y.; Las-Heras Andrés, F.; Pino García, A. SAR-based technique for soil permittivity estimation. Int. J. Remote Sens. 2017, 38, 5168–5185. [Google Scholar] [CrossRef]
- Lauro, S.E.; Mattei, E.; Barone, P.M.; Pettinelli, E.; Vannaroni, E.G.; Valerio, G.; Comite, D.; Galli, D.A. Estimation of subsurface dielectric target depth for GPR planetary exploration: Laboratory measurements and modeling. J. Appl. Geophys. 2013, 93, 93–100. [Google Scholar] [CrossRef]
- Popov, A.; Morozov, P.; Edemsky, D.; Edemsky, F.; Pavlovski, B.; Zapunidi, S. Expedient GPR survey schemes. In Proceedings of the 11th International Radar Symposium, Vilnius, Lithuania, 16–18 June 2010. [Google Scholar]
- Kopeikin, V.V.; Krasheninnikov, I.V.; Morozov, P.A.; Popov, A.V.; Fang, G.; Liu, X.; Zhou, B. Experimental verification of Loza–V GPR penetration depth and signal quality. In Proceedings of the 4th International Workshop on Advanced GPR, Naples, Italy, 27–29 June 2007; pp. 230–233. [Google Scholar]
- Berkut, A.I.; Edemsky, D.E.; Kopeikin, V.V.; Morozov, P.A.; Prokopovich, I.V.; Popov, A.V. Deep penetration subsurface radar: Hardware, results, interpretation. In Proceedings of the 9th International Workshop on Advanced Ground Penetrating Radar (IWAGPR), Edinburgh, UK, 28–30 June 2017; pp. 1–6. [Google Scholar]
- Wu, T.T.; King, R.W.P. The cylindrical antenna with nonreflecting resistive loading. IEEE Trans. Antennas Propag. 1965, 13, 369–373. [Google Scholar] [CrossRef]
- Smith, G. Directive properties of antennas for transmission into a material half-space. IEEE Trans. Antennas Propag. 1984, 32, 232–246. [Google Scholar] [CrossRef]
- Arcone, S. Numerical studies of the radiation patterns of resistively loaded dipoles. J. Appl. Geophys. 1995, 33, 39–52. [Google Scholar] [CrossRef]
- Millard, S.; Shaari, A.; Bungey, J. Field pattern characteristics of GPR antennas. NDT E Int. 2002, 35, 473–482. [Google Scholar] [CrossRef]
- Poljak, D.; Dori, V.; Birki, M.; El Khamlichi Drissi, K.; Lallechere, S.; Pajewski, L. A simple analysis of dipole antenna radiation above a multilayered medium. In Proceedings of the 9th Interational Workshop IWAGPR, Edinburgh, UK, 28–30 June 2017; pp. 1–6. [Google Scholar]
- Perez-Gracia, V.; González-Drigo, R.; Di Capua, D. Horizontal resolution in a non-destructive shallow GPR survey: An experimental evaluation. NDT E Int. 2008, 41, 611–620. [Google Scholar] [CrossRef]
- Warren, C.; Giannopoulos, A. Creating FDTD models of commercial GPR antennas using Taguchi’s optimisation method. Geophysics 2011, 76, G37–G47. [Google Scholar] [CrossRef]
- Diamanti, N.; Annan, A.P. Characterizing the energy distribution around GPR antennas. J. Appl. Geophys. 2013, 99, 83–90. [Google Scholar] [CrossRef]
- Warren, C.; Giannopoulos, A. Characterisation of a ground penetrating radar antenna in lossless homogeneous and lossy heterogeneous environments. Signal Process. 2017, 132, 221–226. [Google Scholar] [CrossRef]
- Gukin, V.D.; Morozov, P.A.; Andriushchenko, V.V. Prospecning of region “Calm bay” Nº2 on the 2022 south-eastern Crimean archaeological expedition of the State Hermitage Museum. In Proceedings of the VII Scientific-Practical Conference “Crimea: Science, Culture, Politics; MBUK FMD: Feodosia, Ukraine, 2023; pp. 149–163. ISBN 987-5-6045030-7-2. [Google Scholar]
- Wagner, S.; Pham, A.-V. The ultrawideband elliptical resistively loaded vee dipole. IEEE Trans. Antennas Propag. 2020, 68, 2523–2530. [Google Scholar] [CrossRef]
- Esselle, K.P.; Stuchly, S.S. Pulse-receiving characteristics of resistively loaded dipole antennas. IEEE Trans. Antennas Propag. 1990, 38, 1677–1683. [Google Scholar] [CrossRef]
- Samaddar, S.N.; Mokole, E.L. Transient behavior of radiated and received fields associated with a resistively loaded dipole. In Proceedings of the Ultra-Wideband Short-Pulse Electromagnetics 4, Tel-Aviv, Israel, 14–19 June 1999; pp. 165–180. [Google Scholar]
- Montoya, T.P.; Smith, G.S. Land mine detection using a ground-penetrating radar based on resistively loaded Vee dipoles. IEEE Trans. Antennas Propag. 1999, 47, 1795–1806. [Google Scholar] [CrossRef]
- Kolpakov, V.V. Misterious crater in Patom Highlands. Priroda 1951, 2, 58–61. (In Russian) [Google Scholar]
- Antipin, V.S.; Fedorov, A.M. The origin of Patom Crater, East Siberia, from geological and geochemical data. Dokl. Earth Sci. 2008, 423, 1335–1339. [Google Scholar] [CrossRef]
- Portnov, A.M. Crater on the Patom Highlands. Priroda 1962, 11, 102–103. (In Russian) [Google Scholar]
- Berkut, A.I.; Popov, A.V.; Kopeikin, V.V.; Morozov, P.A. Theprinciples of increasing the penetration depth and application experience of “Loza” GPR. In International School «Registration of Subsurface Targets by Short-Range Radar», Bauman MSTU; Bauman MSTU: Moscow, Russia, 2016. [Google Scholar]
- Engheta, N.; Papas, C.H.; Elachi, C. Interface extinction and subsurface peaking of the radiation pattern of a line source. Appl. Phys. B 1981, 26, 231–238. [Google Scholar] [CrossRef]
- Edemsky, F.; Popov, A.; Zapunidi, S. A time domain model of GPR antenna radiation pattern. Int. J. Electron. Telecommun. 2011, 57, 407–411. [Google Scholar] [CrossRef]
- Lampe, B.; Holliger, K. Resistively loaded antennas for ground-penetrating radar: A modeling approach. Geophysics 2005, 70, K23–K32. [Google Scholar] [CrossRef]
- Balanis, A. Antenna Theory: Analysis and Design, 4th ed.; John Wiley & Sons: Hoboken, NJ, USA, 2016; 1095p. [Google Scholar]
- Johansson, E.M.; Mast, J.E. Three-dimensional ground penetrating radar imaging using synthetic aperture time-domain focusing. In Advanced Microwave and Millimeter-Wave Detectors; LLNL: Livermore, CA, USA, 1994. [Google Scholar] [CrossRef]
- Martinez-Lorenzo, J.A.; Rappaport, C.M.; Quivira, F. Physical Limitations on detecting tunnels using underground-focusing spotlight synthetic aperture radar. IEEE Trans. Geosci. Remote Sens. 2011, 49, 65–70. [Google Scholar] [CrossRef]
- Poluha, B.; Porsani, J.L.; Almeida, E.R.; dos Santos, V.R.N.; Allen, S.J. Depth estimates of buried utility systems using the GPR method: Studies at the IAG/USP Geophysics test site. Int. J. Geosci. 2017, 8, 726–742. [Google Scholar] [CrossRef]
- Fediuk, A.; Wunderlich, T.; Wilken, D.; Rabbel, W. Ground penetrating radar measurements in shallow water environments—A case study. Remote Sens. 2022, 14, 3659. [Google Scholar] [CrossRef]
- Zeng, Q.; Delisle, G.Y. Transient analysis of electromagnetic wave reflection from a stratified medium. In Proceedings of the 2010 Asia-Pacific International Symposium on Electromagnetic Compatibility, Beijing, China, 12–16 April 2010; pp. 881–884. [Google Scholar]
- Kaganovsky, Y.; Heyman, E. Pulsed beam propagation in plane stratified media: Asymptotically exact solutions. In Proceedings of the 2010 URSI International Symposium on Electromagnetic Theory, Berlin, Germany, 16–19 August 2010; pp. 829–832. [Google Scholar]
- Epstein, P.S. Reflection of waves in an inhomogeneous absorbing medium. Proc. Natl. Acad. Sci. USA 1930, 16, 627–637. [Google Scholar] [CrossRef] [PubMed]
- Lambot, S.; Slob, E.; Vereecken, H. Fast evaluation of zero-offset Green’s function for layered media with application to ground-penetrating radar. Geophys. Res. Lett. 2007, 34, L21405. [Google Scholar] [CrossRef]
- Vinogradov, V.A.; Kopeikin, V.V.; Popov, A.V. An approximate solution of 1D inverse problem. In Proceedings of the 10th International Conference on Ground Penetrating Radar, Delft, The Netherlands, 21–24 June 2004; pp. 95–98. [Google Scholar]
- Prokopovich, I.; Popov, A.; Pajewski, L.; Marciniak, M. Application of Coupled-Wave Wentzel-Kramers-Brillouin Approximation to Ground Penetrating Radar. Remote Sens. 2018, 10, 22. [Google Scholar] [CrossRef]
- Brekhovskikh, L.M. Waves in Layered Media, 2nd ed.; Academic Press: New York, NY, USA, 1980; 520p, ISBN 9780323161626. [Google Scholar]
- Bremmer, H. Propagation of Electromagnetic Waves. In Handbuch der Physik/Encyclopedia of Physics; Flugge, S., Ed.; Springer: Berlin/Goettingen/Heidelberg, Germany, 1958; Volume 4/16, pp. 423–639. [Google Scholar]
- Popov, A.; Prokopovich, I.; Edemskii, F. GPR image deconvolution from antenna current waveform. In Proceedings of the Days on Diffraction (DD), St. Petersburg, Russia, 4–8 June 2018; pp. 231–236. [Google Scholar]

























Disclaimer/Publisher’s Note: The statements, opinions and data contained in all publications are solely those of the individual author(s) and contributor(s) and not of MDPI and/or the editor(s). MDPI and/or the editor(s) disclaim responsibility for any injury to people or property resulting from any ideas, methods, instructions or products referred to in the content. |
© 2023 by the authors. Licensee MDPI, Basel, Switzerland. This article is an open access article distributed under the terms and conditions of the Creative Commons Attribution (CC BY) license (https://creativecommons.org/licenses/by/4.0/).
Share and Cite
Morozov, P.; Morozov, F.; Lazarev, M.; Bogolyubov, L.; Popov, A. Characterization of Antenna Radiation Pattern and Penetration Depth in Ground Penetrating Radar Field Missions. Remote Sens. 2023, 15, 5452. https://doi.org/10.3390/rs15235452
Morozov P, Morozov F, Lazarev M, Bogolyubov L, Popov A. Characterization of Antenna Radiation Pattern and Penetration Depth in Ground Penetrating Radar Field Missions. Remote Sensing. 2023; 15(23):5452. https://doi.org/10.3390/rs15235452
Chicago/Turabian StyleMorozov, Pavel, Fedor Morozov, Maxim Lazarev, Leonid Bogolyubov, and Alexei Popov. 2023. "Characterization of Antenna Radiation Pattern and Penetration Depth in Ground Penetrating Radar Field Missions" Remote Sensing 15, no. 23: 5452. https://doi.org/10.3390/rs15235452
APA StyleMorozov, P., Morozov, F., Lazarev, M., Bogolyubov, L., & Popov, A. (2023). Characterization of Antenna Radiation Pattern and Penetration Depth in Ground Penetrating Radar Field Missions. Remote Sensing, 15(23), 5452. https://doi.org/10.3390/rs15235452

