Analysis of the Influence of Deforestation on the Microphysical Parameters of Clouds in the Amazon
Abstract
1. Introduction
2. Material and Methods
2.1. Study Area
2.2. Data and Methods
2.2.1. PMDA Product
2.2.2. Products of the 2A-CLIM and 2A25 Algorithms
2.2.3. Methodology
3. Results
3.1. Influence of Amazon Deforestation on Cloud Microphysics
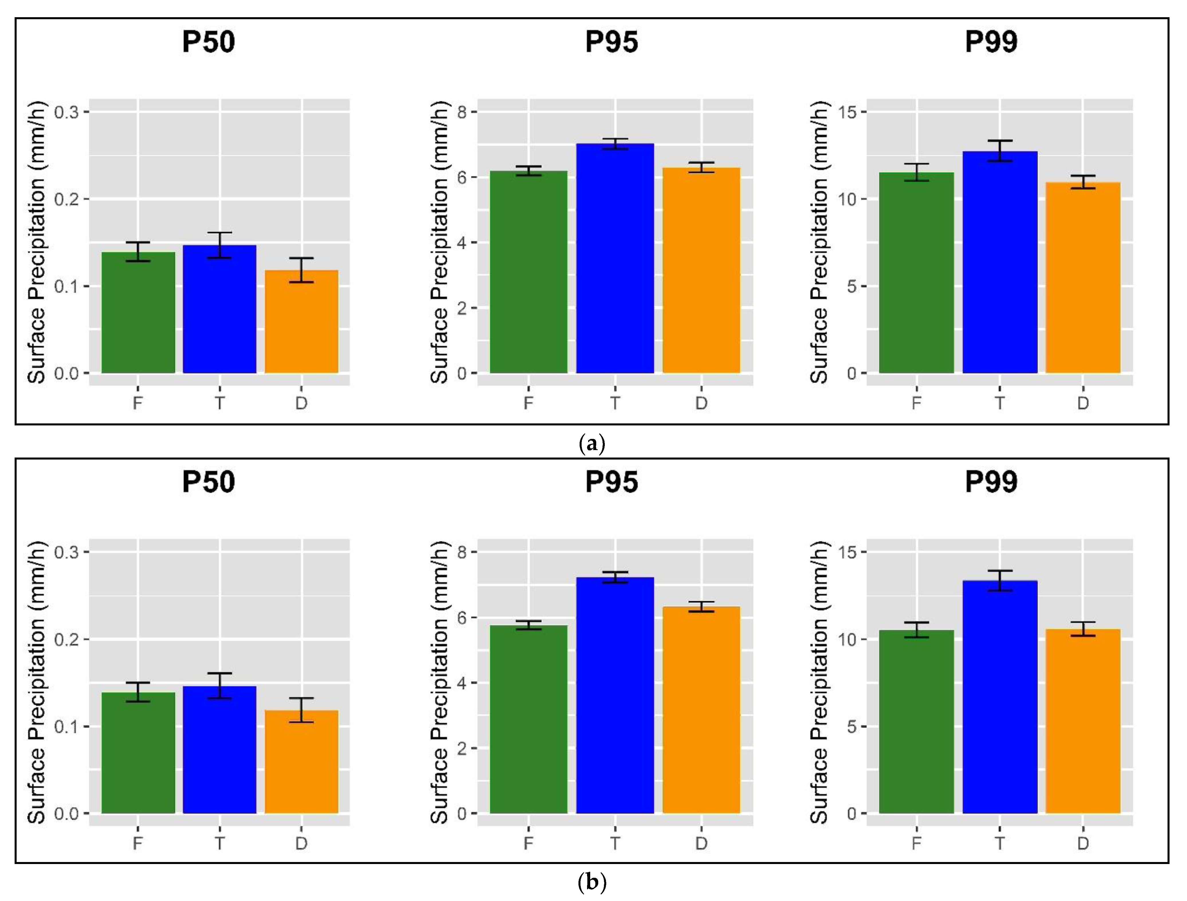
3.1.1. Surface Precipitation (SP)
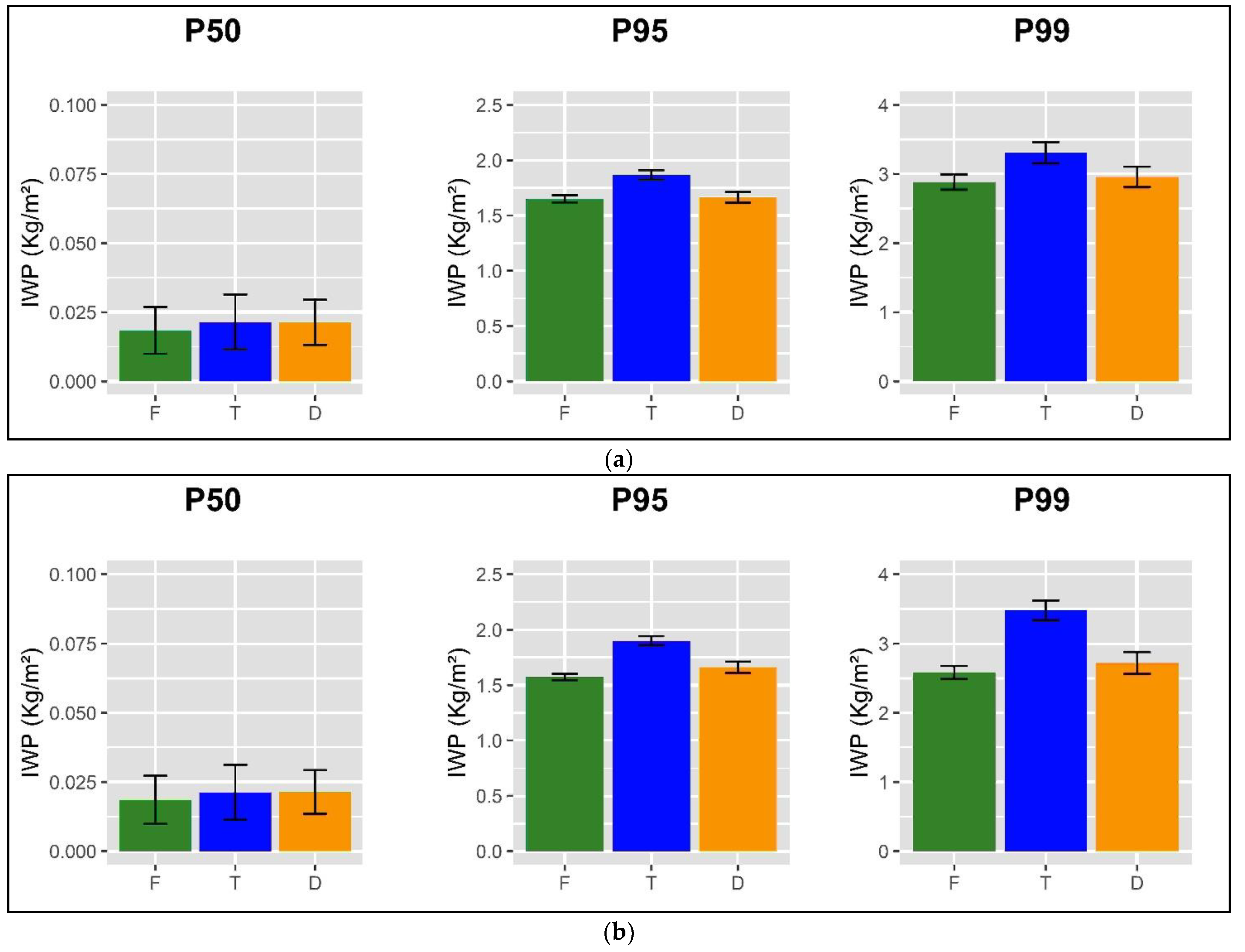
3.1.2. Ice Water Path (IWP)
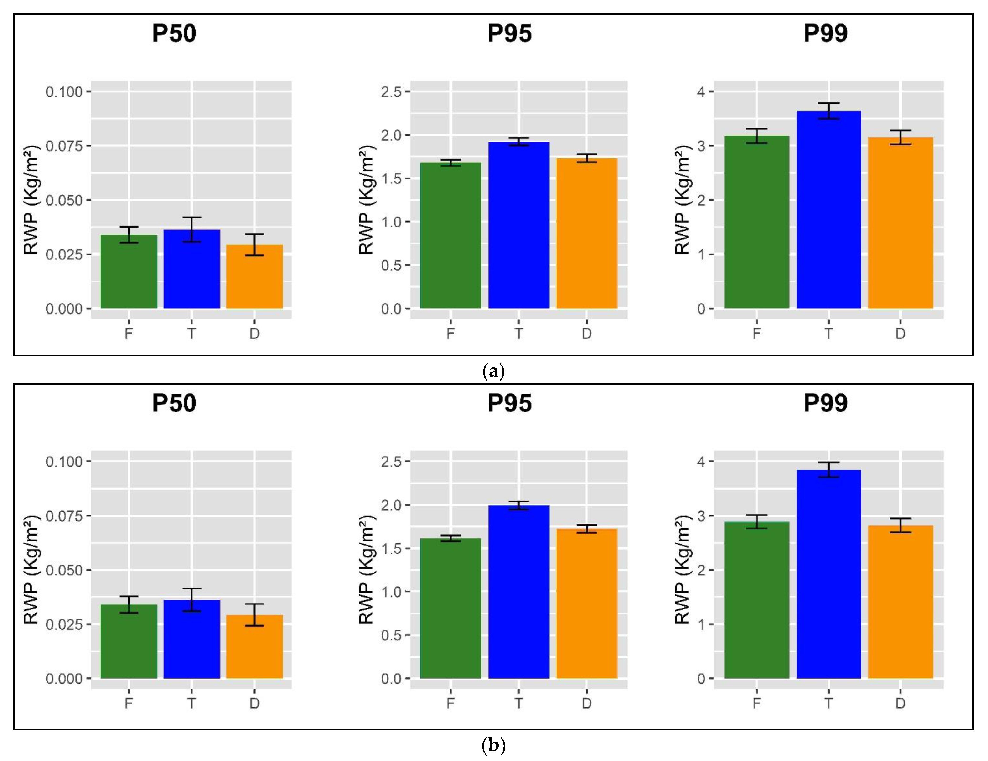
3.1.3. Rain Water Path (RWP)
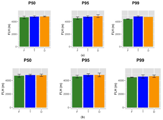
3.1.4. Freezing Level Height (FLH)
3.1.5. Rain Type (RT)
4. Discussion
5. Conclusions
Author Contributions
Funding
Data Availability Statement
Acknowledgments
Conflicts of Interest
Appendix A

References
- Vergopolan, N.; Fisher, J.B. The impact of deforestation on the hydrological cycle in Amazonia as observed from remote sensing. Int. J. Remote Sens. 2016, 37, 5412–5430. [Google Scholar] [CrossRef]
- Eva, H.D.; Belward, A.S.; De Miranda, E.E.; Di Bella, C.M.; Gond, V.; Huber, O.; Jones, S.; Sgrenzaroli, M.; Fritz, S. A land cover map of South America. Glob. Chang. Biol. 2004, 10, 731–744. [Google Scholar] [CrossRef]
- Rocha, V.M.; Correia, F.W.S.; Fonseca, P.A.M. Reciclagem de Precipitação na Amazônia: Um estudo de revisão. Rev. Bras. De Meteorol. 2015, 30, 59–70. [Google Scholar] [CrossRef]
- Aragão, L.E.O.C.; Poulter, B.; Barlow, J.B.; Anderson, L.O.; Malhi, Y.; Saatchi, S.; Phillips, O.; Gloor, E. Environmental Change and the Carbon Balance of Amazonian Forests. Biol. Rev. 2014, 89, 913–931. [Google Scholar] [CrossRef]
- Marengo, A.; Nobre, C.A. Clima da Região Amazônica. In Tempo e Clima no Brasil; Oficina de Textos: São Paulo, Brazil, 2009; pp. 203–215. [Google Scholar]
- Santos, E.B.; Lucio, P.S.; Santos e Silva, C.M. Estimating return periods for daily precipitation extreme events over the Brazilian Amazon. Theor. Appl. Climatol. 2016, 126, 585–595. [Google Scholar] [CrossRef]
- Santos, E.B.; Lucio, P.S.; Silva, C.M.S. Precipitation regionalization of the Brazilian Amazon. Atmos. Sci. Lett. 2015, 16, 185–192. [Google Scholar] [CrossRef]
- Zakharova, E.A.; Kouraev, A.V.; Cazenave, A.; Seyler, F. Amazon River discharge estimated from TOPEX/Poseidon altimetry. Comptes Rendus Geosci. 2006, 338, 188–196. [Google Scholar] [CrossRef]
- Silva, R.R.; Werth, D.; Avissar, R. Regional Impacts of Future Land-Cover Changes on the Amazon Basin Wet-Season Climate. J. Clim. 2008, 21, 11153–11170. [Google Scholar] [CrossRef]
- Spracklen, D.V.; Arnold, S.R.; Taylor, C.M. Observations of Increased Tropical Rainfall Preceded by Air Passage over Forests. Nature 2012, 489, 282–285. [Google Scholar] [CrossRef]
- Collow, A.B.M.; Miller, M.A.; Trabachino, L.C. Cloudiness over the Amazon rainforest: Meteorology and thermodynamics. J. Geophys. Res. Atmos. 2016, 121, 7990–8005. [Google Scholar] [CrossRef]
- Chen, C.-C.; Lo, M.-H.; Im, E.-S.; Yu, J.-Y.; Liang, Y.-C.; Chen, W.-T.; Tang, I.; Lan, C.-W.; Wu, R.-J.; Chien, R.-Y. Thermodynamic and Dynamic Responses to Deforestation in the Maritime Continent: A Modeling Study. J. Clim. 2019, 32, 3505–3527. [Google Scholar] [CrossRef]
- Te Wierik, S.A.; Cammeraat, E.L.H.; Gupta, J.; Artzy-Randrup, Y.A. Reviewing the impact of land use and land-use change on moisture recycling and precipitation patterns. Water Resour. Res. 2021, 57, e2020WR029234. [Google Scholar] [CrossRef]
- Shukla, J.; Nobre, C.; Sellers, P. Amazon Deforestation and Climate Change. Science 1990, 247, 1322–1325. [Google Scholar] [CrossRef]
- Nobre, C.A.; Sellers, P.J.; Shukla, J. Amazonian deforestation and regional climate change. J. Clim. 1991, 4, 957–988. [Google Scholar] [CrossRef]
- Voldoire, A.; Royer, J.F. Tropical deforestation and climate variability. Clim. Dyn. 2004, 22, 857–874. [Google Scholar] [CrossRef]
- Avissar, R.; Werth, D. Global hydroclimatological teleconnections resulting from tropical deforestation. J. Hydrometeorol. 2005, 6, 134–145. [Google Scholar] [CrossRef]
- Spracklen, D.V.; Garcia-Carreras, L. The Impact of Amazonian Deforestation on Amazon Basin Rainfall. Geophys. Res. Lett. 2015, 42, 9546–9552. [Google Scholar] [CrossRef]
- Gash, J.H.C.; Nobre, C.A. Climatic effects of Amazonian deforestation: Some results from ABRACOS. Bull. Am. Met. Soc. 1997, 78, 823–830. [Google Scholar] [CrossRef]
- Avissar, R.; Nobre, C.A. Preface to special issue on the Large-Scale Biosphere-Atmosphere Experiment in Amazonia (LBA). J. Geophys. Res. 2002, 107, 8034. [Google Scholar] [CrossRef]
- Martin, S.T.; Artaxo, P.E.; Chen, Q.; Guenther, A.B.; Gunthe, S.S.; Jimenez, J.L.; Manzi, A.; Prenni, K.L.; Poschl, U.; Schneider, J.; et al. AMAZE-08 Aerosol Characterization and Meteorological Data, Central Amazon Basin: 2008; ORNL DAAC: Oak Ridge, TN, USA, 2016. [Google Scholar] [CrossRef]
- Brito, J.; Rizzo, L.V.; Morgan, W.T.; Coe, H.; Johnson, B.; Haywood, J.; Longo, K.; Freitas, S.; Andreae, M.O.; Artaxo, P. Ground-based aerosol characterization during the south merican biomass burning analysis (SAMBBA) field experiment. Atmos. Chem. Phys. 2014, 14, 12069–12083. [Google Scholar] [CrossRef]
- Cirino, G.; Brito, J.; Barbosa, H.M.; Rizzo, L.V.; Tunved, P.; de Sá, S.S.; Jimenez, J.L.; Palm, B.B.; Carbone, S.; Lavric, J.V.; et al. Observations of Manaus urban plume evolution and interaction with biogenic emissions in GoAmazon 2014/5. Atmos. Environ. 2018, 191, 513–524. [Google Scholar] [CrossRef]
- Knox, R.; Bisht, G.; Wang, J.; Bras, R. Precipitation Variability over the Forest-to-Nonforest Transition in Southwestern Amazonia. J. Clim. 2011, 24, 2368–2377. [Google Scholar] [CrossRef]
- Khanna, J.; Medvigy, D.; Fueglistaler, S.; Walko, R. Regional dry-season climate changes due to three decades of Amazonian deforestation. Nat. Clim. Chang. 2017, 7, 200–204. [Google Scholar] [CrossRef]
- D’almeida, C.; Vrsmarty, C.J.; Hurtt, G.C.; Marengo, J.A.; Dingman, S.L.; Keim, B.D. The Effects of Deforestation on the Hydrological Cycle in Amazonia: A Review on Scale and Resolution. Int. J. Climatol. 2007, 27, 633–647. [Google Scholar] [CrossRef]
- Negri, A.J.; Adler, R.F.; Xu, L.; Surrat, J. The impact of Amazonian deforestation on dry season rainfall. J. Clim. 2004, 17, 1306–1319. [Google Scholar] [CrossRef]
- Chagnon, F.J.F.; Bras, R.L. Contemporary climate change in the Amazon. Geophys. Res. Lett. 2005, 32, 1–4. [Google Scholar] [CrossRef]
- Funatsu, B.M.; Dubreuil, V.; Claud, C.; Arvor, D.; Gan, M.A. Convective activity in Mato Grosso state (Brazil) from microwave satellite observations: Comparisons between AMSU and TRMM data sets. J. Geophys. Res. Atmos. 2012, 117, 1–16. [Google Scholar] [CrossRef]
- Gonçalves, W.A.; Machado, L.A.T.; Alcântara, C.R. Precipitation changes due to the Amazon Deforestation. In Clênia Rodrigue Alcântara. (Org.). Amazon: Biodiversity Conservation, Economic Development and Human Impact, 1st ed.; Nova Science: New York, NY, USA, 2013; Volume 1, pp. 243–270. [Google Scholar]
- Pielke, R.A.; Marland, D.; Betts, R.A.; Chase, T.N.; Eastman, J.L.; Niles, J.O.; Niyogi, D.D.S.; Running, S.W. The influence of land-use change and landscape dynamics on the climate system: Relevance to climate-change policy beyond the radiative effect of greenhouse gases. Philos. Trans. R. Soc. Lond. 2002, 360A, 1705–1719. [Google Scholar] [CrossRef]
- Da Silva, H.J.F.; Gonçalves, W.A.; Bezerra, B.G. Comparative analyzes and use of evapotranspiration obtained through remote sensing to identify deforested areas in the Amazon. Int. J. Earth Obs. Geoinf. 2019, 78, 163–174. [Google Scholar] [CrossRef]
- Tolle, M.H.; Engler, S.; Panitz, H.J. Impact of Abrupt Land Cover Changes by Tropical Deforestation on Southeast Asian Climate and Agriculture. J. Clim. 2017, 30, 2587–2600. [Google Scholar] [CrossRef]
- Artaxo, P.; Rizzo, L.V.; Brito, J.F.; Barbosa, H.M.J.; Arana, A.; Sena, E.T.; Cirino, G.G.; Bastos, W.; Martin, S.T.; Andreae, M.O. Atmospheric aerosols in Amazonia and land use change: From natural biogenic to biomass burning conditions. Faraday Discuss 2013, 165, 203–235. [Google Scholar] [CrossRef]
- Silva Dias, M.A.F.; Rutledge, S.; Kabat, P.; Silva Dias, P.L.; Nobre, C.; Fisch, G.; Dolman, A.J.; Zipser, E.; Garstang, M.; Manzi, A.; et al. Clouds and rain processes in a biosphere atmosphere interaction context in the Amazon Region. J. Geophys. Res. 2002, 107, LBA 39-1–LBA 39-18. [Google Scholar] [CrossRef]
- Mei, F.; Wang, J.; Comstock, J.M.; Weigel, R.; Krämer, M.; Mahnke, C.; Shilling, J.E.; Schneider, J.; Schulz, C.; Long, C.N.; et al. Comparison of aircraft measurements during GoAmazon2014/5 and ACRIDICON-CHUVA. Atmos. Meas. Tech. 2020, 13, 661–684. [Google Scholar] [CrossRef]
- Machado, L.A.T.; Franco, M.A.; Kremper, L.A.; Ditas, F.; Andreae, M.O.; Artaxo, P.; Cecchini, M.A.; Holanda, B.A.; Pöhlker, M.L.; Saraiva, I.; et al. How weather events modify aerosol particle size distributions in the Amazon boundary layer. Atmos. Chem. Phys. 2021, 21, 18065–18086. [Google Scholar] [CrossRef]
- Braga, R.C.; Ervens, B.; Rosenfeld, D.; Andreae, M.O.; Förster, J.-D.; Fütterer, D.; Pardo, L.H.; Holanda, B.A.; Jurkat-Witschas, T.; Krüger, O.O.; et al. Cloud droplet formation at the base of tropical convective clouds: Closure between modeling and measurement results of ACRIDICON–CHUVA. Atmos. Chem. Phys. 2021, 21, 17513–17528. [Google Scholar] [CrossRef]
- Zaveri, R.A.; Wang, J.; Fan, J.; Zhang, Y.; Shilling, J.E.; Zelenyuk, A.; Mei, F.; Newsom, R.; Pekour, M.; Tomlinson, J.; et al. Rapid growth of anthropogenic organic nanoparticles greatly alters cloud life cycle in the Amazon rainforest. Atmos. Sci. 2022, 8, 1–16. [Google Scholar] [CrossRef]
- Franco, M.A.; Ditas, F.; Kremper, L.A.; Machado, L.A.T.; Andreae, M.O.; Araújo, A.; Barbosa, H.M.J.; de Brito, J.F.; Carbone, S.; Holanda, B.A.; et al. Occurrence and growth of sub-50 nm aerosol particles in the Amazonian boundary layer. Atmos. Chem. Phys. 2022, 22, 3469–3492. [Google Scholar] [CrossRef]
- Machado, L.A.T.; Laurent, H.; Dessay, N.; Miranda, I. Seasonal end diurnal variability of convection over the Amazonia: A comparison of different vegetation types and large scale forcing. Theor. Appl. Climatol. 2004, 78, 61–77. [Google Scholar] [CrossRef]
- Artaxo, P.; Silva Dias, M.A.F.; Nagy, L.; Luizão, F.J.; Cunha, H.B.; Quesada, C.A.N.; Marengo, J.A.; Krusche, A. Perspectivas de pesquisas na relação entre clima e o funcionamento da floresta Amazônica. Cienc. Cult. 2014, 66, 41–46. [Google Scholar] [CrossRef][Green Version]
- Gonçalves, W.A.; Machado, L.A.T.; Kirstetter, P.E. Influence of biomass aerosol on precipitation over the Central Amazon: An observational study. Atmos. Chem. Phys. 2015, 15, 6789–6800. [Google Scholar] [CrossRef]
- Holanda, B.A.; Pöhlker, M.L.; Walter, D.; Saturno, J.; Sörgel, M.; Ditas, J.; Ditas, F.; Schulz, C.; Franco, M.A.; Wang, Q.; et al. Influx of African biomass burning aerosol during the Amazonian dry season through layered transatlantic transport of black carbon-rich smoke. Atmos. Chem. Phys. 2020, 20, 4757–4785. [Google Scholar] [CrossRef]
- Biscaro, T.S.; Machado, L.A.T.; Giangrande, S.E.; Jensen, M.P. What drives daily precipitation over the central Amazon? Differences observed between wet and dry seasons. Atmos. Chem. Phys. 2021, 21, 6735–6754. [Google Scholar] [CrossRef]
- Pardo, L.H.; Machado, L.A.T.; Morrison, H.; Cecchini, M.A.; Andreae, M.O.; Pöhlker, C.; Pöschl, U.; Rosenfeld, D.; Vendrasco, E.P.; Voigt, C.; et al. Observed and Simulated Variability of Droplet Spectral Dispersion in Convective Clouds Over the Amazon. J. Geophys. Res. Atmos. 2021, 126, e2021JD035076. [Google Scholar] [CrossRef]
- Fisch, G.; Tota, J.; Machado, L.A.T.; Silva Dias, M.A.F.; Lyra, R.F.D.A.F.; Nobre, C.A.; Dolman, A.J.; Gash, J.H.C. The convective boundary layer over pasture and forest in Amazonia. Theor. Appl. Climatol. 2004, 78, 47–59. [Google Scholar] [CrossRef]
- Hong, X.; Leach, M.J.; Raman, S. A sensitivity study of convective cloud formation by vegetation forcing with different atmospheric conditions. J. Appl. Meteorol. 1995, 34, 2008–2028. [Google Scholar] [CrossRef]
- Baldi, M.; Dalu, G.A.; Pielke, R.A. Vertical velocities and available potential energy generated by landscape variability—Theory. J. Appl. Meteorol. Climatol. 2008, 47, 397–410. [Google Scholar] [CrossRef][Green Version]
- Garcia-Carreras, L.; Parker, D.J.; Taylor, C.M.; Reeves, C.E.; Murphy, J.G. Impact of mesoscale vegetation heterogeneities on the dynamical and thermodynamic properties of the planetary boundary layer. J. Geophys. Res. 2010, 115, 1–12. [Google Scholar] [CrossRef]
- Wang, J.F.; Bras, R.L.; Eltahir, E.A.B. A stochastic linear theory of mesoscale circulation induced by the thermal heterogeneity of the land surface. J. Atmos. Sci. 1996, 53, 3349–3366. [Google Scholar] [CrossRef]
- Lamb, D. Clouds and Fog|Cloud Microphysics. Encyclopedia of Atmospheric Sciences. In Encyclopedia of Atmospheric Sciences, 2nd ed.; Academic Press: Cambridge, MA, USA, 2015; Volume 2, pp. 133–140. [Google Scholar] [CrossRef]
- Tubul, Y.; Koren, I.; Altaratz, O.; Heiblum, R.H. On the link between precipitation and the ice water path over tropical and mid-latitude regimes as derived from satellite observations. Atmos. Meas. Tech. Discuss. 2017, 1–16. [Google Scholar] [CrossRef]
- Simpson, J.; Adler, R.F.; North, G.R. A proposed Tropical Rainfall Measuring Mission (TRMM) satellite. Bull. Amer. Meteor. Soc. 1988, 69, 278–295. [Google Scholar] [CrossRef]
- Kummerow, C.; Barnes, W.; Kozu, T.; Shiue, J.; Simpson, J. The Tropical Rainfall Measuring Mission (TRMM) sensor package. J. Atmos. Ocean. Technol. 1998, 15, 809–817. [Google Scholar] [CrossRef]
- Kingsmill, D.E.; Yuter, S.E.; Heymsfield, A.J.; Hobbs, P.V.; Korolv, A.V.; Stith, J.L.; Bansemer, A.; Haggerty, J.A.; Rangno, A.L. TRMM Common Microphysics Products: A Tool for Evaluating Spaceborne Precipitation Retrieval Algorithms. J. Appl. Meteorol. Climatol. 2004, 43, 1598–1618. [Google Scholar] [CrossRef][Green Version]
- Fiorino, S.T.; Smith, E.A. Critical Assessment of Microphysical Assumptions within TRMM Radiometer Rain Profile Algorithm Using Satellite, Aircraft, and Surface Datasets from KWAJEX. J. Appl. Meteorol. Climatol. 2005, 45, 754–786. [Google Scholar] [CrossRef]
- Kummerow, C.; Hong, Y.; Olson, W.S.; Yang, S.; Adler, R.F.; McCollum, J.; Ferraro, R.; Petty, G.; Shin, D.-B.; Wilheit, T.T. The Evolution of the Goddard Profiling Algorithm (GPROF) for Rainfall Estimation from Passive Microwave Sensors. J. Appl. Meteorol. 2001, 40, 1801–1820. [Google Scholar] [CrossRef]
- Petersen, W.A.; Nesbitt, S.W.; Blakeslee, R.J.; Cifelli, R.; Hein, P.; Rutledge, S.A. TRMM Observations of Intraseasonal Variability in Convective Regimes over the Amazon. J. Clim. 2002, 15, 1278–1294. [Google Scholar] [CrossRef]
- Morales Rodriguez, C.A. Thunderstorm efficiency regimes in South America as observed by STARNET and TRMM. J. Geophys. Res. Atmos. 2019, 124, 11428–11451. [Google Scholar] [CrossRef]
- Huffman, G.J.; Bolvin, D.T.; Nelkin, E.J.; Wolff, D.B.; Adler, R.F.; Gu, G.; Hong, Y.; Bowman, K.P.; Stocker, E.F. The TRMM Multi-satellite Precipitation Analysis (TMPA): Quasi-Global, Multiyear, Combined Sensor Precipitation Estimates at Fine Scales. J. Hydrometeorol. 2007, 8, 38–55. [Google Scholar] [CrossRef]
- Franchito, S.H.; Rao, V.B.; Vasques, A.C.; Santo, C.M.E.; Conforte, J.C. Validation of TRMM precipitation radar monthly rainfall estimates over Brazil. J. Geophys. Res. 2009, 114, 1–9. [Google Scholar] [CrossRef]
- Santos e Silva, C.M.; Lucio, P.S.; Spyrides, M.H.C. Distribuição espacial da precipitação sobre o Rio Grande do Norte: Estimativas via satélites e medidas por pluviômetros. Rev. Bras. De Meteorol. 2012, 27, 337–346. [Google Scholar] [CrossRef]
- Mattos, E.V.; Machado, L.A.T. Cloud-to-ground lightning and Mesoscale Convective Systems. Atmos. Res. 2011, 99, 377–390. [Google Scholar] [CrossRef]
- Abreu, L.P.; Gonçalves, W.A.; Mattos, E.V.; Mutti, P.R.; Rodrigues, D.T.; da Silva, M.P.A. Clouds’ Microphysical Properties and Their Relationship with Lightning Activity in Northeast Brazil. Resmote Sens. 2021, 13, 4491. [Google Scholar] [CrossRef]
- Rosenfeld, D. TRMM observed first direct evidence of smoke from forest fires inhibiting rainfall. Geophys. Res. Lett. 1999, 26, 3105–3108. [Google Scholar] [CrossRef]
- Petersen, W.A.; Christian, H.J.; Rutledge, S.A. TRMM observations of the global relationship between ice water content and lightning. Geophys. Res. Lett. 2005, 32, 1–4. [Google Scholar] [CrossRef]
- Jiang, H.; Xue, H.; Teller, A.; Feingold, G.; Levin, Z. Aerosol effects on the lifetime of shallow cumulus. Geophys. Res. Lett. 2006, 33, 1–4. [Google Scholar] [CrossRef]
- Berg, W.; L’ecuyer, T.; van Den Heever, S. Evidence for the impact of aerosols on the onset and microphysical properties of rainfall from a combination of satellite observations and cloud-resolving model simulations. J. Geophys. Res. 2008, 113, 1–15. [Google Scholar] [CrossRef]
- Zhao, D.; Yu, Y.; Li, Y.; Xu, H.; Chen, L. Cloud Macro- and Microphysical Properties in Extreme Rainfall Induced by Landfalling Typhoons over China. Remote Sens. 2022, 14, 4200. [Google Scholar] [CrossRef]
- Spracklen, D.V.; Baker, J.C.A.; Garcia-Carreras, L.; Marsham, J. The Effects of Tropical Vegetation On Rainfall. Annu. Rev. Environ. Resour. 2018, 43, 193–218. [Google Scholar] [CrossRef]
- Alvares, C.A.; Stape, J.L.; Sentelhas, P.C.; de Moraes Gonçalves, J.L.; Sparovek, G. Köppen’s climate classification map for Brazil. Meteorol. Z. 2013, 22, 711–728. [Google Scholar] [CrossRef]
- Marengo, J.A.; Soares, W.R.; Saulo, C.; Nicolini, M. Climatology of the Low-Level Jet East of the Andes as Derived from the NCEP-NCAR Re-analyses: Characteristics and Temporal Variability. J. Clim. 2004, 17, 2261–2280. [Google Scholar] [CrossRef]
- Marengo, J.A. On the hydrological cycle of the Amazon basin: A historical review and current state-of-the-art. Rev. Bras. De Meteorol. 2006, 21, 1–19. [Google Scholar]
- Marengo, J.A.; Nobre, C.A.; Culf, A.D. Climatic impacts of “Friagens” in forested and deforested areas of the Amazon basin. J. Appl. Meteorol. 1997, 36, 1553–1556. [Google Scholar] [CrossRef]
- Shimabukuro, Y.E.; Santos, J.R.; Formaggio, A.R.; Duarte, V.; Rudorff, B.F.T. The Brazilian Amazon Monitoring Program: PRODES and DETER Projects. In Global Forest Monitoring from Earth Observation; Achard, F., Hansen, M.C., Eds.; CRC Press—Taylor & Francis Group: Boca Raton, FL, USA, 2012; pp. 153–168. [Google Scholar] [CrossRef]
- Assunção, J.; Gandour, C.; Rocha, R. Deforestation Slowdown in the Brazilian Amazon: Prices or Policies? Environ. Dev. Econ. 2015, 20, 697–722. [Google Scholar] [CrossRef]
- Valeriano, D.M.; Mello, E.M.K.; Moreira, J.C.; Shimabukuro, Y.E.; Duarte, V. Monitoring tropical forest from space: The PRODES digital project. Int. Arch. Photogramm. Remote Sens. Spat. Inf. Sci. 2004, 35, 272–274. Available online: http://citeseerx.ist.psu.edu/viewdoc/summary?doi=10.1.1.183.8466 (accessed on 5 March 2019).
- Valeriano, D.M.; Escada, M.I.S.; Camara, G.; Amaral, S.; Maurano, L.E.; Rennó, C.D.; Almeida, C.A.; Monteiro, A.M.V. O monitoramento do desmatamento. In População e Sustentabilidade na Era das Mudanças Ambientais Globais; George, M., Ricardo, O., Alisson, B., Roberto do, C., Eds.; ABEP: São Paulo, Brazil, 2012; pp. 223–238. ISBN 978-85-85543-25-9. [Google Scholar]
- Kintisch, E. Improved Monitoring of Rainforests Helps Pierce Haze of Deforestation. Science 2007, 316, 536–537. [Google Scholar] [CrossRef]
- Parente, L.; Nogueira, S.; Baumann, L.; Almeida, C.; Maurano, L.; Affonso, A.G.; Ferreira, L. Quality assessment of the PRODES Cerrado deforestation data. Remote Sens. Appl. Soc. Environ. 2020, 21, 100444. [Google Scholar] [CrossRef]
- Kummerow, C.; Giglio, L. A Passive Microwave Technique for Estimating Rainfall and Vertical Structure from Space. Part I: Algorithm Description. J. Appl. Meteorol. 1994, 33, 3–18. [Google Scholar] [CrossRef]
- NASA. In Global Precipitation Measurement Precipitation Processing System: File Specification 2AGPROFTMI; 2014. Available online: https://storm.pps.eosdis.nasa.gov/storm/filespec.GPM.V1.pdf (accessed on 5 March 2019).
- NASA. Tropical Rainfall Measuring Mission Precipitation Proceassing System: File Specification 2A25. Available online: https://storm-pps.gsfc.nasa.gov/storm/data/docs/filespec.TRMM.V7.2A25.pdf (accessed on 5 March 2019).
- Iguchi, T.; Meneghini, R. 2016. GPM GMI (GPROF) Radiometer Precipitation Profiling L2A 1.5 Hours 13 km V05; Greenbelt; National Aeronautics and Space Administration, U.S. Government, Goddard Earth Sciences Data and Information Services Center (GES DISC): Greenbelt, Maryland, USA, 2016; Volume 2, pp. 1–65. [Google Scholar] [CrossRef]
- Awaka, J.; Iguchi, T.; Okamoto, K. TRMM PR Standard Algorithm 2A23 and its Performance on Bright Band Detection. J. Meteorol. Soc. Jpn. 2009, 87, 31–52. [Google Scholar] [CrossRef]
- Jaiswal, R.S.; Fredrick, S.R.; Rasheed, M.; Neela, V.S.; Zaveri, L. Study of TRMM estimated freezing level height in the 36N—36S region. Indian J. Geo-Mar. Sci. 2015, 44, 1071–1095. Available online: http://nopr.niscpr.res.in/handle/123456789/34861 (accessed on 5 March 2019).
- Yamamoto, M.K.; Higuchi, A.; Nakamura, K. Vertical and horizontal structure of winter precipitation systems over the western Pacific around Japan using TRMM data. J. Geophys. Res. 2006, 111, 1–16. [Google Scholar] [CrossRef]
- Albrecht, R.I.; Goodman, S.J.; Buechler, D.E.; Blakeslee, R.J.; Christian, H.J. Where Are the Lightning Hotspots on Earth? Bull. Am. Meteorol. Soc. 2016, 97, 2051–2068. [Google Scholar] [CrossRef]
- Wang, J.; Chagnon, F.J.F.; Williams, E.R.; Betts, A.K.; Renno, N.O.; Machado, L.A.T.; Bisht, G.; Knox, R.; Bras, R.L. The impact of deforestation in the Amazon basin on cloud climatology. Proc. Natl. Acad. Sci. USA 2009, 106, 3670–3674. [Google Scholar] [CrossRef] [PubMed]
- Roy, S.B. Mesoscale vegetation-atmosphere feedbacks in Amazonia. J. Geophys. Res. Atmos. 2009, 114, 1–7. [Google Scholar] [CrossRef]
- Trenberth, K.E. The definition of El Niño. Bull. Am. Meteorol. Soc. 1997, 78, 2771–2778. [Google Scholar] [CrossRef]
- Marengo., J.A.; Valverde, M.C. Caracterização do clima no Século XX e Cenário de Mudanças de clima para o Brasil no Século XXI usando os modelos do IPCC-AR4. Rev. Multiciência Camp. 2007, 8, 5–28. [Google Scholar]
- Yoon, J.H.; Zeng, N. An Atlantic influence on Amazon rainafall. Clim. Dyn. 2010, 34, 249–264. [Google Scholar] [CrossRef]
- Dantas, L.G.; Brito, J.I.B.; Rodrigues, H.P.; Aires, R.A.; Cabral, D.E.C. Oscilação Decadal do Pacífico e Multidecadal do Atlântico no Clima da Amazônia Ocidental. Rev. Bras. De Geográfica Física 2012, 5, 600–611. [Google Scholar] [CrossRef]
- Borma, L.D.S.; Nobre, C.A. Secas na Amazônia: Causas e Conseqüências; Oficina de Textos: São Paulo, Brazil, 2013; pp. 20–33. [Google Scholar]
- Mazzini, P.L.F.; Schettini, C.A.F. Avaliação de metodologias de interpolação espacial aplicadas a dados hidrográficos costeiros quase-sinóticos. Braz. J. Aquat. Sci. Technol. 2009, 13, 53–64. [Google Scholar] [CrossRef]
- Baboo, S.S.; Devi, M.R. An Analysis of Different Resampling Methods in Coimbatore, District. Glob. J. Comput. Sci. Technol. 2010, 10, 61–66. Available online: https://coreacuk/outputs/231162144 (accessed on 5 March 2019).
- Practical Guide to Geostatistical Mapping of Environmental Variables. EUR 22904 EN. Luxembourg (Luxembourg): Office for Official Publications of the European Communities, 2007. JRC38153. Available online: https://publications.jrc.ec.europa.eu/repository/handle/JRC38153 (accessed on 13 September 2022).
- Dung, P.T.; Chuc, M.D.; Thanh, N.T.N.; Hung, B.Q.; Chung, D.M. Comparison of Resampling Methods on Different Remote Sensing Images for Vietnam’s Urban Classification. Res. Dev. Inf. Commun. Technol. 2018, 15, 8–20. [Google Scholar] [CrossRef]
- Wang, J.; Bras, R.L.; Eltahir, E.A.B. The impact of observed deforestation on the mesoscale distribution of rain fall and clouds in Amazonia. J. Hydrometeorol. 2000, 1, 267–286. [Google Scholar] [CrossRef]
- Roy, S.B.; Weaver, C.P.; Nolan, D.S.; Avissar, R. A preferred scale for landscape forced mesoscale circulations? J. Geophys. Res. Atmos. 2003, 108, 1–11. [Google Scholar] [CrossRef]
- Garcia-Carreras, L.; Parker, D.J.; Marsham, J.H. What is the mechanism for the modification of convective cloud distributions by land surface-induced flows? J. Atmos. Sci. 2011, 68, 619–634. [Google Scholar] [CrossRef]
- Wilcoxon, F. Individual comparisons by ranking methods. Biom. Bull. 1945, 1, 80–83. [Google Scholar] [CrossRef]
- Bussab, W.O.; Morettin, P.A. Estatística Básica, 4th ed.; Atual Editora: São Paulo, Brasil, 1987. [Google Scholar]
- Searle, S.R.; Casella, G.; Mcculloch, C.E. Analysis of Variance Estimation for Unbalanced Data, Wiley Series in Probability and Statistics; John Wiley: New York, NY, USA, 1992; Chapter 5; pp. 168–231. [Google Scholar] [CrossRef]
- Santos, E.B.; Lucio, P.S.; Santos e Silva, C.M. Synoptic patterns of atmospheric circulation associated with intense precipitation events over the Brazilian Amazon. Theor. Appl. Climatol. 2017, 128, 343–358. [Google Scholar] [CrossRef]
- Anselin, L. Local Indicators of Spatial Association—LISA. Geogr. Anal. 1995, 27, 93–115. [Google Scholar] [CrossRef]
- Waldhor, T. The spatial autocorrelation coefficient Moran’s I under heteroscedasticity. Stat. Med. 1996, 15, 887–892. [Google Scholar] [CrossRef]
- Benedetti-Cecchi, L.; Iken, K.; Konar, B.; Cruz-Motta, J.; Knowlton, A.; Pohle, G.; Castelli, A.; Tamburello, L.; Mead, A.; Trott, T.; et al. Spatial Relationships between Polychaete Assemblages and Environmental Variables over Broad Geographical Scales. PLoS ONE 2010, 5, 1–10. [Google Scholar] [CrossRef] [PubMed]
- Chen, S.; Hong, Y.; Gourley, J.J.; Huffman, G.J.; Tian, Y.; Cao, Q.; Yong, B.; Kirstetter, P.-E.; Hu, J.; Hardy, J.; et al. Evaluation of the successive V6 and V7 TRMM multisatellite precipitation analysis over the Continental United States. Water Resour. Res. 2013, 49, 8174–8186. [Google Scholar] [CrossRef]
- Oliveira, J.T.; Oliveira, R.A.; Cunha, F.F.; Santos, E.S. Spatial Autocorrelation of Physical Attributes of an Oxisol. Eng. Agrícola Jaboticabal 2021, 41, 255–262. [Google Scholar] [CrossRef]
- Gittleman, J.L.; Kot, M. Adaptation: Statistics and a Null Model for Estimating Phylogenetic Effects. Syst. Zool. 1990, 39, 227–241. [Google Scholar] [CrossRef]
- Pereira, V.H.C.; Rocha, G.C.; Diniz, M.T.M.; Oliveira Júnior, M.A.C. Análise de dependência espacial da taxa de mortalidade por Covid-19 nos municípios brasileiros. Rev. Fr.-Bras. De Geogr. 2021, 52, 1–18. [Google Scholar] [CrossRef]
- Lean, J.; Warrilow, D. Simulation of the regional climatic impact of Amazon deforestation. Nature 1989, 342, 411–413. [Google Scholar] [CrossRef]
- Garcia-Carreras, L.; Parker, D.J. How does local tropical deforestation affect rainfall? Geophys. Res. Lett. 2011, 38, 1–6. [Google Scholar] [CrossRef]
- Segal, M.; Arritt, R.W. Nonclassical mesoscale circulations caused by surface sensible heat-flux gradients. Bull. Am. Meteorol. Soc. 1992, 73, 1593–1604. [Google Scholar] [CrossRef]
- Bras, R.L. Complexity and organization in hydrology: A personal view. Water Resour. Res. 2015, 51, 6532–6548. [Google Scholar] [CrossRef]
- Alkana, R.; Cescatti, A. Impactos climáticos biofísicos das recentes mudanças na cobertura florestal global. Science 2016, 351, 600–604. [Google Scholar] [CrossRef]
- Esau, I.N.; Lyons, T.J. Effect of sharp vegetation boundary on the convective atmospheric boundary layer. Agric. For. Meteorol. 2002, 114, 3–13. [Google Scholar] [CrossRef]
- Avissar, R.; Schmidt, T. An evaluation of the scale at which ground-surface heat flux patchiness affects the convective boundary layer using large-eddy simulations. J. Atmos. Sci. 1998, 55, 2666–2689. [Google Scholar] [CrossRef]
- Suhring, M.; Maronga, B.; Herbort, F.; Raasch, S. On the effect of surface heat-flux heterogeneities on the mixed-layer-top entrainment. Bound. Layer Meteor. 2014, 151, 531–556. [Google Scholar] [CrossRef]
- Rosenfeld, D.; Lohmann, U.; Raga, G.B.; O’Dowd, C.D.; Kulmala, M.; Fuzzi, S.; Reisell, A.; Andreae, M.O. Flood or Drought: How Do Aerosols Affect Precipitation? Science 2008, 321, 1309–1313. [Google Scholar] [CrossRef]
- Wendisch, M.; Poschl, U.; Andreae, M.O.; Machado, L.O.; Albrecht, R. Convective clouds as observed during one of the research flights of HALO during the ACRIDICON-CHUVA campaign in September 2014. The clouds were directly penetrated by HALO, in-situ instruments were mounted below the wings. Bull. Am. Meteorol. Soc. 2016, 97, 1885–1908. [Google Scholar] [CrossRef]
- Weaver, C.P.; Baidya, R.S.; Avissar, R. Sensitivity of simulated mesoscale atmospheric circu-lations resulting from landscape heterogeneity to aspects of model configuration. J. Geophys. Res. 2002, 107, 1–21. [Google Scholar] [CrossRef]
- Bradley, R.S.; keimig, F.T.; Diaz, H.F.; Hardy, D.R. Recent changes in freezing level heights in the Tropics with implications for the deglacierization of high mountain regions. Geophys. Res. Lett. 2004, 36, 1–4. [Google Scholar] [CrossRef]
- Reutter, P.; Su, H.; Trentmann, J.; Simmel, M.; Rose, D.; Gunthe, S.S.; Wernli, H.; Andreae, M.O.; Pöschl, U. Aerosol- and updraft-limited regimes of cloud droplet formation: Influence of particle number, size and hygroscopicity on the activation of cloud condensation nuclei (CCN). Atmos. Chem. Phys. 2009, 9, 7067–7080. [Google Scholar] [CrossRef]
- Zheng, Y.; Rosenfeld, D. Linear relation between convective cloud base height and updrafts and application to satellite retrievals. Geophys. Res. Lett. 2015, 42, 6485–6491. [Google Scholar] [CrossRef]











| Geographic coverage | 38°N–38°S |
| Temporal resolution | ~16 orbits day−1 |
| Spatial resolution | ~5 km |
| Parameters–Abbreviation (Product) | Rain Water Path—RWP * Ice Water Path—IWP * Surface Precipitation Rate—SP ** Freezing Level Height—FLH **; Rain Type—RT **. |
| Surfaces | 10 km | 20 km | ||||
|---|---|---|---|---|---|---|
| P50 | P95 | P99 | P50 | P95 | P99 | |
| Forest | 0.143 ± 0.01 | 6.187 ± 0.15 | 11.530 ± 0.45 | 0.139 ± 0.01 | 5.764 ± 0.12 | 10.539 ± 0.4 |
| Transition | 0.146 ± 0.02 | 7.020 ± 0.13 | 12.753 ± 0.59 | 0.146 ± 0.01 | 7.224 ± 0.5 | 13.347 ± 0.6 |
| Deforested | 0.111 ± 0.02 | 6.292 ± 0.16 | 10.966 ± 0.37 | 0.118 ± 0.01 | 6.331 ± 0.15 | 10.594 ± 0.4 |
| Percentage Change (%) | ||||||
| (T-F)/F | +2.0 * | +13.5 * | +10.6 * | +5.2 * | +25.3 * | +26.6 * |
| (T-D)/D | +23.9 * | +11.6 * | +16.3 * | +19.0 * | +14.1 * | +25.9 * |
| (D-F)/F | −22.4 * | +1.7 ** | −4.9 | −14.8 * | +9.8 * | +0.52 * |
| Surfaces | 10 km | 20 km | ||||
|---|---|---|---|---|---|---|
| P50 | P95 | P99 | P50 | P95 | P99 | |
| Forest | 0.019 ± 0.008 | 1.650 ± 0.03 | 2.889 ± 0.11 | 0.018 ± 0.009 | 1.574 ± 0.03 | 2.583 ± 0.09 |
| Transition | 0.021 ± 0.009 | 1.867 ± 0.04 | 3.306 ± 0.15 | 0.021 ± 0.009 | 1.900 ± 0.04 | 3.476 ±0.14 |
| Deforested | 0.020 ± 0.007 | 1.664 ± 0.04 | 2.958 ± 0.15 | 0.021 ± 0.007 | 1.661 ± 0.05 | 2.721 ± 0.16 |
| Percentage Change (%) | ||||||
| (T-F)/F | +10.5 * | +13.2 * | +14.6 * | +15.1 * | +20.7 * | +34.6 * |
| (T-D)/D | +4.8 * | +12.2 * | +11.8 | −0.5 | +14.4 * | +27.9 * |
| (D-F)/F | +5.3 * | +0.85 | +2.6 | +15.7 * | +5.5 * | +5.3 |
| Surfaces | 10 km | 20 km | ||||
|---|---|---|---|---|---|---|
| P50 | P95 | IPE99 | P50 | P95 | P99 | |
| Forest | 0.035 ± 0.004 | 1.677 ± 0.04 | 3.178 ± 0.13 | 0.034 ± 0.003 | 1.577 ± 0.03 | 2.889 ± 0.12 |
| Transition | 0.036 ± 0.006 | 1.921 ± 0.04 | 3.640 ± 0.14 | 0.036 ± 0.005 | 1.981 ± 0.04 | 3.455 ± 0.14 |
| Deforested | 0.028 ± 0.004 | 1.732 ± 0.05 | 3.155 ± 0.13 | 0.029 ± 0.005 | 1.693 ± 0.04 | 2.821 ± 0.13 |
| Percentage Change (%) | ||||||
| (T-F)/F | +2.9 * | +14.6 * | +14.5 * | +5.9 * | +25.6 * | +33.1 * |
| (T-D)/D | +22.2 * | +10.9 * | +15.4 ** | +19.4 * | +17.1 * | +36.3 * |
| (D-F)/F | −20.0 * | +3.3 ** | −0.7 | −14.7 * | +7.4 * | −2.4 |
| Surfaces | 10 km | 20 km | ||||
|---|---|---|---|---|---|---|
| P50 | P95 | P99 | P50 | P95 | P99 | |
| Forest | 4679.1 ± 202 | 4556.8 ± 226 | 4413.5 ± 31.8 | 4696.5 ± 226 | 4573.4 ± 204 | 4458.0 ± 39 |
| Transition | 4802.1 ± 145 | 4788.6 ± 157 | 4823.5 ± 107 | 4798.1 ± 124 | 4805.1 ± 178 | 4569.5 ± 252 |
| Deforested | 4817.1 ± 69 | 4880.8 ± 226 | 4751.0 ± 0.0 | 4770.0 ± 169 | 4813.5 ± 272 | 4668.0 ± 174 |
| Percentage Change (%) | ||||||
| (T-F)/F | +2.6 ** | +5.1 * | +9.3 | +2.2 | +5.1 ** | +2.5 |
| (T-D)/D | −0.32 | −1.9 | +1.5 | +0.6 | −0.2 | −1.3 |
| (D-F)/F | +3.0 | +7.1 * | +7.7 | +1.6 | +5.3 ** | +3.8** |
Publisher’s Note: MDPI stays neutral with regard to jurisdictional claims in published maps and institutional affiliations. |
© 2022 by the authors. Licensee MDPI, Basel, Switzerland. This article is an open access article distributed under the terms and conditions of the Creative Commons Attribution (CC BY) license (https://creativecommons.org/licenses/by/4.0/).
Share and Cite
da Silva, H.J.F.; Gonçalves, W.A.; Bezerra, B.G.; Santos e Silva, C.M.; Oliveira, C.P.d.; Mutti, P.R. Analysis of the Influence of Deforestation on the Microphysical Parameters of Clouds in the Amazon. Remote Sens. 2022, 14, 5353. https://doi.org/10.3390/rs14215353
da Silva HJF, Gonçalves WA, Bezerra BG, Santos e Silva CM, Oliveira CPd, Mutti PR. Analysis of the Influence of Deforestation on the Microphysical Parameters of Clouds in the Amazon. Remote Sensing. 2022; 14(21):5353. https://doi.org/10.3390/rs14215353
Chicago/Turabian Styleda Silva, Helder José Farias, Weber Andrade Gonçalves, Bergson Guedes Bezerra, Cláudio Moisés Santos e Silva, Cristiano Prestrelo de Oliveira, and Pedro Rodrigues Mutti. 2022. "Analysis of the Influence of Deforestation on the Microphysical Parameters of Clouds in the Amazon" Remote Sensing 14, no. 21: 5353. https://doi.org/10.3390/rs14215353
APA Styleda Silva, H. J. F., Gonçalves, W. A., Bezerra, B. G., Santos e Silva, C. M., Oliveira, C. P. d., & Mutti, P. R. (2022). Analysis of the Influence of Deforestation on the Microphysical Parameters of Clouds in the Amazon. Remote Sensing, 14(21), 5353. https://doi.org/10.3390/rs14215353

