Exploring the Impacts of Data Source, Model Types and Spatial Scales on the Soil Organic Carbon Prediction: A Case Study in the Red Soil Hilly Region of Southern China
Abstract
1. Introduction
2. Materials and Methods
2.1. Study Area
2.2. Soil Samples Collection and Processing
2.3. Environmental Variables
2.3.1. SAR Remote Sensing Variables
2.3.2. Optical Remote Sensing Variables
2.3.3. Terrain Variables
2.3.4. Climate Variables
2.4. Modeling Techniques
2.4.1. Linear Models
2.4.2. Non-Linear Models
2.5. Evaluation of Model Performance
2.6. Quantitative Spatial Analysis Technique
3. Results
3.1. Descriptive Statistics of SOC
3.2. Comparison and Selection of Different Covariate Sets
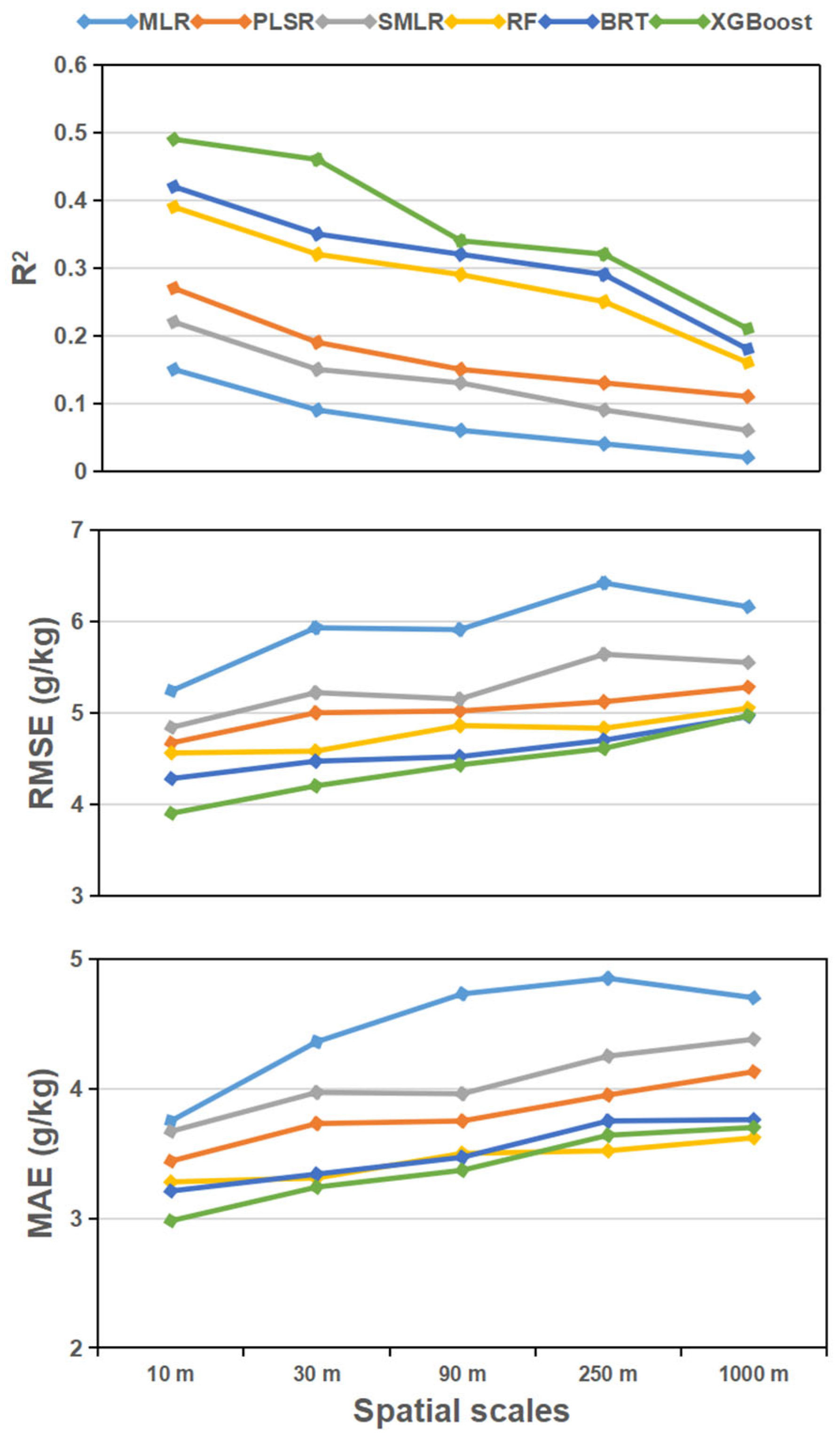
3.3. Assessment of Linear and Non-Linear Models Prediction at Multiple Resolutions
3.4. Relative Importance of Environmental Covariates
3.5. Spatial Prediction of SOC Contents
4. Discussion
4.1. Effects of Various Variable Combinations on SOC Prediction
4.2. Comparison of Models Performance under Multi-Scales
4.3. Analysis of the Relative Importance of Environmental Covariates
4.4. Research Limitations and Future Work
5. Conclusions
Author Contributions
Funding
Acknowledgments
Conflicts of Interest
References
- Schmidt, M.W.I.; Torn, M.S.; Abiven, S.; Dittmar, T.; Guggenberger, G.; Janssens, I.A.; Kleber, M.; Kögel-Knabner, I.; Lehmann, J.; Manning, D.A.C.; et al. Persistence of soil organic matter as an ecosystem property. Nature 2011, 478, 49–56. [Google Scholar] [CrossRef] [PubMed]
- Chappell, A.; Webb, N.P.; Butler, H.J.; Strong, C.L.; McTainsh, G.H.; Leys, J.F.; Rossel, R.A.V. Soil organic carbon dust emission: An omitted global source of atmospheric CO2. Glob. Change Biol. 2013, 19, 3238–3244. [Google Scholar] [CrossRef] [PubMed]
- Chen, Y.; Wei, T.; Ren, K.; Sha, G.; Guo, X.; Fu, Y.; Yu, H. The coupling interaction of soil organic carbon stock and water storage after vegetation restoration on the Loess Plateau, China. J. Environ. Manag. 2022, 306, 114481. [Google Scholar] [CrossRef] [PubMed]
- Tessema, B.; Sommer, R.; Piikki, K.; Söderström, M.; Namirembe, S.; Notenbaert, A.; Tamene, L.; Nyawira, S.S.; Paul, B. Potential for soil organic carbon sequestration in grasslands in East African countries: A review. Grassl. Sci. 2020, 66, 135–144. [Google Scholar] [CrossRef]
- Bationo, A.; Kihara, J.; Vanlauwe, B.; Waswa, B.; Kimetu, J. Soil organic carbon dynamics, functions and management in West African agro-ecosystems. Agric. Syst. 2007, 94, 13–25. [Google Scholar] [CrossRef]
- Chen, D.; Chang, N.; Xiao, J.; Zhou, Q.; Wu, W. Mapping dynamics of soil organic matter in croplands with MODIS data and machine learning algorithms. Sci. Total Environ. 2019, 669, 844–855. [Google Scholar] [CrossRef] [PubMed]
- Forkuor, G.; Hounkpatin, O.K.L.; Welp, G.; Thiel, M. High Resolution Mapping of Soil Properties Using Remote Sensing Variables in South-Western Burkina Faso: A Comparison of Machine Learning and Multiple Linear Regression Models. PLoS ONE 2017, 12, e0170478. [Google Scholar] [CrossRef] [PubMed]
- Xu, Y.; Wang, X.; Bai, J.; Wang, D.; Wang, W.; Guan, Y. Estimating the spatial distribution of soil total nitrogen and available potassium in coastal wetland soils in the Yellow River Delta by incorporating multi-source data. Ecol. Indic. 2020, 111, 106002. [Google Scholar] [CrossRef]
- Bhattarai, N.; Quackenbush, L.J.; Dougherty, M.; Marzen, L.J. A simple Landsat–MODIS fusion approach for monitoring seasonal evapotranspiration at 30 m spatial resolution. Int. J. Remote Sens. 2015, 36, 115–143. [Google Scholar] [CrossRef]
- Zhou, T.; Zhao, M.; Sun, C.; Pan, J. Exploring the Impact of Seasonality on Urban Land-Cover Mapping Using Multi-Season Sentinel-1A and GF-1 WFV Images in a Subtropical Monsoon-Climate Region. ISPRS Int. J. Geo Inf. 2017, 7, 3. [Google Scholar] [CrossRef]
- Zhang, Y.; Guo, L.; Chen, Y.; Shi, T.; Luo, M.; Ju, Q.; Zhang, H.; Wang, S. Prediction of Soil Organic Carbon based on Landsat 8 Monthly NDVI Data for the Jianghan Plain in Hubei Province, China. Remote Sens. 2019, 11, 1683. [Google Scholar] [CrossRef]
- Lausch, A.; Bannehr, L.; Beckmann, M.; Boehm, C.; Feilhauer, H.; Hacker, J.; Heurich, M.; Jung, A.; Klenke, R.; Neumann, C.; et al. Linking Earth Observation and taxonomic, structural and functional biodiversity: Local to ecosystem perspectives. Ecol. Indic. 2016, 70, 317–339. [Google Scholar] [CrossRef]
- Wang, X.; Zhang, Y.; Atkinson, P.M.; Yao, H. Predicting soil organic carbon content in Spain by combining Landsat TM and ALOS PALSAR images. Int. J. Appl. Earth Obs. Geoinf. ITC J. 2020, 92, 102182. [Google Scholar] [CrossRef]
- Wang, H.; Zhang, X.; Wu, W.; Liu, H. Prediction of Soil Organic Carbon under Different Land Use Types Using Sentinel-1/-2 Data in a Small Watershed. Remote Sens. 2021, 13, 1229. [Google Scholar] [CrossRef]
- Jeong, G.; Oeverdieck, H.; Park, S.J.; Huwe, B.; Ließ, M. Spatial soil nutrients prediction using three supervised learning methods for assessment of land potentials in complex terrain. Catena 2017, 154, 73–84. [Google Scholar] [CrossRef]
- Song, X.; Liu, F.; Ju, B.; Zhi, J.; Li, D.; Zhao, Y.; Zhang, G. Mapping soil organic carbon stocks of northeastern China using expert knowledge and GIS-based methods. Chin. Geogr. Sci. 2017, 27, 516–528. [Google Scholar] [CrossRef]
- Behrens, T.; Schmidt, K.; Ramirez-Lopez, L.; Gallant, J.; Zhu, A.-X.; Scholten, T. Hyper-scale digital soil mapping and soil formation analysis. Geoderma 2014, 213, 578–588. [Google Scholar] [CrossRef]
- Zhang, G.-L.; Liu, F.; Song, X.-D. Recent progress and future prospect of digital soil mapping: A review. J. Integr. Agric. 2017, 16, 2871–2885. [Google Scholar] [CrossRef]
- Grimm, R.; Behrens, T.; Märker, M.; Elsenbeer, H. Soil organic carbon concentrations and stocks on Barro Colorado Island—Digital soil mapping using Random Forests analysis. Geoderma 2008, 146, 102–113. [Google Scholar] [CrossRef]
- Wang, B.; Waters, C.; Orgill, S.; Gray, J.; Cowie, A.; Clark, A.; Liu, D.L. High resolution mapping of soil organic carbon stocks using remote sensing variables in the semi-arid rangelands of eastern Australia. Sci. Total Environ. 2018, 630, 367–378. [Google Scholar] [CrossRef]
- Martin, M.; Orton, T.; Lacarce, E.; Meersmans, J.; Saby, N.; Paroissien, J.; Jolivet, C.; Boulonne, L.; Arrouays, D. Evaluation of modelling approaches for predicting the spatial distribution of soil organic carbon stocks at the national scale. Geoderma 2014, 223, 97–107. [Google Scholar] [CrossRef]
- Sun, X.-L.; Wang, H.-L.; Zhao, Y.-G.; Zhang, C.; Zhang, G.-L. Digital soil mapping based on wavelet decomposed components of environmental covariates. Geoderma 2017, 303, 118–132. [Google Scholar] [CrossRef]
- Zhu, H.; Hu, W.; Ding, H.; Lv, C.; Bi, R. Scale- and location-specific multivariate controls of topsoil organic carbon density depend on landform heterogeneity. Catena 2021, 207, 105695. [Google Scholar] [CrossRef]
- Zhou, Y.; Chen, S.; Zhu, A.-X.; Hu, B.; Shi, Z.; Li, Y. Revealing the scale- and location-specific controlling factors of soil organic carbon in Tibet. Geoderma 2021, 382, 114713. [Google Scholar] [CrossRef]
- Tian, H.; Zhang, J.; Zhu, L.; Qin, J.; Liu, M.; Shi, J.; Li, G. Revealing the scale-and location-specific relationship between soil organic carbon and environmental factors in China’s north-south transition zone. Geoderma 2022, 409, 115600. [Google Scholar] [CrossRef]
- Zhao, R.; Biswas, A.; Zhou, Y.; Zhou, Y.; Shi, Z.; Li, H. Identifying localized and scale-specific multivariate controls of soil organic matter variations using multiple wavelet coherence. Sci. Total Environ. 2018, 643, 548–558. [Google Scholar] [CrossRef]
- Miller, B.A.; Koszinski, S.; Wehrhan, M.; Sommer, M. Impact of multi-scale predictor selection for modeling soil properties. Geoderma 2015, 239–240, 97–106. [Google Scholar] [CrossRef]
- Zhou, T.; Geng, Y.; Ji, C.; Xu, X.; Wang, H.; Pan, J.; Bumberger, J.; Haase, D.; Lausch, A. Prediction of soil organic carbon and the C: N ratio on a national scale using machine learning and satellite data: A comparison between Sentinel-2, Sentinel-3 and Landsat-8 images. Sci. Total Environ. 2021, 755, 142661. [Google Scholar] [CrossRef] [PubMed]
- Li, X.; Ding, J.; Liu, J.; Ge, X.; Zhang, J. Digital Mapping of Soil Organic Carbon Using Sentinel Series Data: A Case Study of the Ebinur Lake Watershed in Xinjiang. Remote Sens. 2021, 13, 769. [Google Scholar] [CrossRef]
- Garosi, Y.; Ayoubi, S.; Nussbaum, M.; Sheklabadi, M. Effects of different sources and spatial resolutions of environmental covariates on predicting soil organic carbon using machine learning in a semi-arid region of Iran. Geoderma Reg. 2022, 29, e00513. [Google Scholar] [CrossRef]
- Owusu, S.; Yigini, Y.; Olmedo, G.F.; Omuto, C.T. Spatial prediction of soil organic carbon stocks in Ghana using legacy data. Geoderma 2020, 360, 114008. [Google Scholar] [CrossRef]
- Liu, S.; Yang, Y.; Shen, H.; Hu, H.; Zhao, X.; Li, H.; Liu, T.; Fang, J. No significant changes in topsoil carbon in the grasslands of northern China between the 1980s and 2000s. Sci. Total Environ. 2018, 624, 1478–1487. [Google Scholar] [CrossRef] [PubMed]
- Guo, L.; Fu, P.; Shi, T.; Chen, Y.; Zhang, H.; Meng, R.; Wang, S. Mapping field-scale soil organic carbon with unmanned aircraft system-acquired time series multispectral images. Soil Tillage Res. 2020, 196, 104477. [Google Scholar] [CrossRef]
- Olaya-Abril, A.; Parras-Alcántara, L.; Lozano-García, B.; Obregón-Romero, R. Soil organic carbon distribution in Mediterranean areas under a climate change scenario via multiple linear regression analysis. Sci. Total Environ. 2017, 592, 134–143. [Google Scholar] [CrossRef] [PubMed]
- Zhou, T.; Geng, Y.; Chen, J.; Liu, M.; Haase, D.; Lausch, A. Mapping soil organic carbon content using multi-source remote sensing variables in the Heihe River Basin in China. Ecol. Indic. 2020, 114, 106288. [Google Scholar] [CrossRef]
- John, K.; Isong, I.A.; Kebonye, N.M.; Ayito, E.O.; Agyeman, P.C.; Afu, S.M. Using Machine Learning Algorithms to Estimate Soil Organic Carbon Variability with Environmental Variables and Soil Nutrient Indicators in an Alluvial Soil. Land 2020, 9, 487. [Google Scholar] [CrossRef]
- Were, K.; Bui, D.T.; Dick, Ø.B.; Singh, B.R. A comparative assessment of support vector regression, artificial neural networks, and random forests for predicting and mapping soil organic carbon stocks across an Afromontane landscape. Ecol. Indic. 2015, 52, 394–403. [Google Scholar] [CrossRef]
- Lamichhane, S.; Kumar, L.; Wilson, B. Digital soil mapping algorithms and covariates for soil organic carbon mapping and their implications: A review. Geoderma 2019, 352, 395–413. [Google Scholar] [CrossRef]
- Emadi, M.; Taghizadeh-Mehrjardi, R.; Cherati, A.; Danesh, M.; Mosavi, A.; Scholten, T. Predicting and Mapping of Soil Organic Carbon Using Machine Learning Algorithms in Northern Iran. Remote Sens. 2020, 12, 2234. [Google Scholar] [CrossRef]
- Moura-Bueno, J.M.; Dalmolin, R.S.D.; Horst-Heinen, T.Z.; Grunwald, S.; Caten, A.T. Environmental covariates improve the spectral predictions of organic carbon in subtropical soils in southern Brazil. Geoderma 2021, 393, 114981. [Google Scholar] [CrossRef]
- He, Z.; Zhang, M.; Wilson, M.J. Distribution and Classification of Red Soils in China. In The Red Soils of China; Springer: Dordrecht, The Netherlands, 2004; pp. 29–33. [Google Scholar] [CrossRef]
- Han, Y.; Yi, D.; Ye, Y.; Guo, X.; Liu, S. Response of spatiotemporal variability in soil pH and associated influencing factors to land use change in a red soil hilly region in southern China. Catena 2022, 212, 106074. [Google Scholar] [CrossRef]
- Ning, J.; Liu, J.; Kuang, W.; Xu, X.; Zhang, S.; Yan, C.; Li, R.; Wu, S.; Hu, Y.; Du, G.; et al. Spatiotemporal patterns and characteristics of land-use change in China during 2010–2015. J. Geogr. Sci. 2018, 28, 547–562. [Google Scholar] [CrossRef]
- Zhang, X.; Xue, J.; Chen, S.; Wang, N.; Shi, Z.; Huang, Y.; Zhuo, Z. Digital Mapping of Soil Organic Carbon with Machine Learning in Dryland of Northeast and North Plain China. Remote Sens. 2022, 14, 2504. [Google Scholar] [CrossRef]
- He, X.; Yang, L.; Li, A.; Zhang, L.; Shen, F.; Cai, Y.; Zhou, C. Soil organic carbon prediction using phenological parameters and remote sensing variables generated from Sentinel-2 images. Catena 2021, 205, 105442. [Google Scholar] [CrossRef]
- Fick, S.E.; Hijmans, R.J. WorldClim 2: New 1-km spatial resolution climate surfaces for global land areas. Int. J. Climatol. 2017, 37, 4302–4315. [Google Scholar] [CrossRef]
- Wang, Z.; Du, Z.; Li, X.; Bao, Z.; Zhao, N.; Yue, T. Incorporation of high accuracy surface modeling into machine learning to improve soil organic matter mapping. Ecol. Indic. 2021, 129, 107975. [Google Scholar] [CrossRef]
- Khanal, S.; Fulton, J.; Klopfenstein, A.; Douridas, N.; Shearer, S. Integration of high resolution remotely sensed data and machine learning techniques for spatial prediction of soil properties and corn yield. Comput. Electron. Agric. 2018, 153, 213–225. [Google Scholar] [CrossRef]
- Yang, L.; He, X.; Shen, F.; Zhou, C.; Zhu, A.-X.; Gao, B.; Chen, Z.; Li, M. Improving prediction of soil organic carbon content in croplands using phenological parameters extracted from NDVI time series data. Soil Tillage Res. 2020, 196, 104465. [Google Scholar] [CrossRef]
- Arabameri, A.; Yamani, M.; Pradhan, B.; Melesse, A.; Shirani, K.; Bui, D.T. Novel ensembles of COPRAS multi-criteria decision-making with logistic regression, boosted regression tree, and random forest for spatial prediction of gully erosion susceptibility. Sci. Total Environ. 2019, 688, 903–916. [Google Scholar] [CrossRef] [PubMed]
- Yang, R.-M.; Zhang, G.-L.; Liu, F.; Lu, Y.-Y.; Yang, F.; Yang, F.; Yang, M.; Zhao, Y.-G.; Li, D.-C. Comparison of boosted regression tree and random forest models for mapping topsoil organic carbon concentration in an alpine ecosystem. Ecol. Indic. 2016, 60, 870–878. [Google Scholar] [CrossRef]
- Ahirwal, J.; Nath, A.; Brahma, B.; Deb, S.; Sahoo, U.K.; Nath, A.J. Patterns and driving factors of biomass carbon and soil organic carbon stock in the Indian Himalayan region. Sci. Total Environ. 2021, 770, 145292. [Google Scholar] [CrossRef] [PubMed]
- Keskin, H.; Grunwald, S.; Harris, W.G. Digital mapping of soil carbon fractions with machine learning. Geoderma 2019, 339, 40–58. [Google Scholar] [CrossRef]
- Lefever, D.W. Measuring Geographic Concentration by Means of the Standard Deviational Ellipse. Am. J. Sociol. 1926, 32, 88–94. [Google Scholar] [CrossRef]
- Huang, J.; Song, L.; Yu, M.; Zhang, C.; Li, S.; Li, Z.; Geng, J.; Zhang, C. Quantitative spatial analysis of thermal infrared radiation temperature fields by the standard deviational ellipse method for the uniaxial loading of sandstone. Infrared Phys. Technol. 2022, 123, 104150. [Google Scholar] [CrossRef]
- Jenks, G.F. Optimal Data Classification for Choropleth Maps; Department of Geographiy, University of Kansas Occasional Paper: Lawrence, KS, USA, 1977. [Google Scholar]
- Poggio, L.; Gimona, A. Assimilation of optical and radar remote sensing data in 3D mapping of soil properties over large areas. Sci. Total Environ. 2017, 579, 1094–1110. [Google Scholar] [CrossRef]
- Xu, S.; Wang, M.; Shi, X. Hyperspectral imaging for high-resolution mapping of soil carbon fractions in intact paddy soil profiles with multivariate techniques and variable selection. Geoderma 2020, 370, 114358. [Google Scholar] [CrossRef]
- Chen, L.; Ren, C.; Li, L.; Wang, Y.; Zhang, B.; Wang, Z.; Li, L. A Comparative Assessment of Geostatistical, Machine Learning, and Hybrid Approaches for Mapping Topsoil Organic Carbon Content. ISPRS Int. J. Geo Inf. 2019, 8, 174. [Google Scholar] [CrossRef]
- Morellos, A.; Pantazi, X.-E.; Moshou, D.; Alexandridis, T.; Whetton, R.; Tziotzios, G.; Wiebensohn, J.; Bill, R.; Mouazen, A.M. Machine learning based prediction of soil total nitrogen, organic carbon and moisture content by using VIS-NIR spectroscopy. Biosyst. Eng. 2016, 152, 104–116. [Google Scholar] [CrossRef]
- Chen, Y.; Wang, J.; Liu, G.; Yang, Y.; Liu, Z.; Deng, H. Hyperspectral Estimation Model of Forest Soil Organic Matter in Northwest Yunnan Province, China. Forests 2019, 10, 217. [Google Scholar] [CrossRef]
- Guo, P.; Li, T.; Gao, H.; Chen, X.; Cui, Y.; Huang, Y. Evaluating Calibration and Spectral Variable Selection Methods for Predicting Three Soil Nutrients Using Vis-NIR Spectroscopy. Remote Sens. 2021, 13, 4000. [Google Scholar] [CrossRef]
- Adhikari, K.; Hartemink, A.E. Digital Mapping of Topsoil Carbon Content and Changes in the Driftless Area of Wisconsin, USA. Soil Sci. Soc. Am. J. 2015, 79, 155–164. [Google Scholar] [CrossRef]
- Guo, Z.; Adhikari, K.; Chellasamy, M.; Greve, M.B.; Owens, P.R.; Greve, M.H. Selection of terrain attributes and its scale dependency on soil organic carbon prediction. Geoderma 2019, 340, 303–312. [Google Scholar] [CrossRef]
- Xu, Y.; Smith, S.E.; Grunwald, S.; Abd-Elrahman, A.; Wani, S.P. Evaluating the effect of remote sensing image spatial resolution on soil exchangeable potassium prediction models in smallholder farm settings. J. Environ. Manag. 2017, 200, 423–433. [Google Scholar] [CrossRef] [PubMed]
- Jelinski, D.E.; Wu, J. The modifiable areal unit problem and implications for landscape ecology. Landsc. Ecol. 1996, 11, 129–140. [Google Scholar] [CrossRef]
- Katuwal, S.; Knadel, M.; Moldrup, P.; Norgaard, T.; Greve, M.H.; De Jonge, L.W. Visible–Near-Infrared Spectroscopy can predict Mass Transport of Dissolved Chemicals through Intact Soil. Sci. Rep. 2018, 8, 11188. [Google Scholar] [CrossRef] [PubMed]
- Castaldi, F.; Chabrillat, S.; Don, A.; van Wesemael, B. Soil Organic Carbon Mapping Using LUCAS Topsoil Database and Sentinel-2 Data: An Approach to Reduce Soil Moisture and Crop Residue Effects. Remote Sens. 2019, 11, 2121. [Google Scholar] [CrossRef]
- Castaldi, F.; Hueni, A.; Chabrillat, S.; Ward, K.; Buttafuoco, G.; Bomans, B.; Vreys, K.; Brell, M.; van Wesemael, B. Evaluating the capability of the Sentinel 2 data for soil organic carbon prediction in croplands. ISPRS J. Photogramm. Remote Sens. 2019, 147, 267–282. [Google Scholar] [CrossRef]
- Yang, R.-M.; Guo, W.-W.; Zheng, J.-B. Soil prediction for coastal wetlands following Spartina alterniflora invasion using Sentinel-1 imagery and structural equation modeling. Catena 2019, 173, 465–470. [Google Scholar] [CrossRef]
- Yang, R.-M.; Guo, W.-W. Using time-series Sentinel-1 data for soil prediction on invaded coastal wetlands. Environ. Monit. Assess. 2019, 191, 462. [Google Scholar] [CrossRef] [PubMed]
- Kalambukattu, J.G.; Kumar, S.; Raj, R.A. Digital soil mapping in a Himalayan watershed using remote sensing and terrain parameters employing artificial neural network model. Environ. Earth Sci. 2018, 77, 203. [Google Scholar] [CrossRef]
- Mahmoudzadeh, H.; Matinfar, H.R.; Taghizadeh-Mehrjardi, R.; Kerry, R. Spatial prediction of soil organic carbon using machine learning techniques in western Iran. Geoderma Reg. 2020, 21, e00260. [Google Scholar] [CrossRef]
- Xiaodong, S.; Feng, L.; Zhang, G.; Decheng, L.; Yuguo, Z.; Jinling, Y. Mapping soil organic carbon using local terrain attributes: A comparison of different polynomial models. Pedosphere 2017, 27, 681–693. [Google Scholar]
- Yang, R.-M.; Liu, L.-A.; Zhang, X.; He, R.-X.; Zhu, C.-M.; Zhang, Z.-Q.; Li, J.-G. The effectiveness of digital soil mapping with temporal variables in modeling soil organic carbon changes. Geoderma 2022, 405, 115407. [Google Scholar] [CrossRef]
- Ning, L.; Cheng, C.; Lu, X.; Shen, S.; Zhang, L.; Mu, S.; Song, Y. Improving the Prediction of Soil Organic Matter in Arable Land Using Human Activity Factors. Water 2022, 14, 1668. [Google Scholar] [CrossRef]
- Wu, J.; Zhong, B.; Tian, S.; Yang, A.; Wu, J. Downscaling of Urban Land Surface Temperature Based on Multi-Factor Geographically Weighted Regression. IEEE J. Sel. Top. Appl. Earth Obs. Remote Sens. 2019, 12, 2897–2911. [Google Scholar] [CrossRef]








| Category | Variables | Description | Source | Resolution |
|---|---|---|---|---|
| SAR images | Multi-temporal backscattering coefficient predictors under VV/VH polarization | Processed from Sentinel-1 Level-1 Ground Range Detected (GRD) product (COPERNICUS/S1_GRD) | Google Earth Engine (GEE) platform (https://earthengine.google.com/, accessed on 14 March 2022) | 10 m |
| Optical images | Surface reflectance predictors and vegetation indices (VIs) | Processed from Sentinel-2 Level-2A surface reflectance (SR) product (COPERNICUS/S2_SR) | GEE platform (https://earthengine.google.com/, accessed on 9 March 2022) | B2–B4, B8, VIs: 10 m |
| B5–B7, B8A, B11, B12: 20 m | ||||
| Terrain variables | Terrain attributes predictors | ASTER GDEM product and DEM derivatives processed with SAGA GIS | Geospatial Data Cloud website (GDC) (https://www.gscloud.cn/, accessed on 12 March 2022) | 30 m |
| Climate variables | Bioclimatic predictors | WorldClim version 2.1 bioclimatic data | WorldClim (https://www.worldclim.org, accessed on 10 March 2022) | 1 km |
| No. | Covariate Set | Predictor Variables |
|---|---|---|
| 1 | Set I | Sentinel-1 SAR images |
| 2 | Set II | Sentinel-2 multispectral images |
| 3 | Set III | Sentinel-1 and Sentinel-2 predictors |
| 4 | Set IV | Terrain attributes and climate variables |
| 5 | Set V | Sentinel-1 predictors, terrain and climate variables |
| 6 | Set VI | Sentinel-2 predictors, terrain and climate variables |
| 7 | Set VII | Sentinel-1/2-derived predictors, terrain and climate variables |
| Date | Imaging Mode | Polarization | Abbreviation |
|---|---|---|---|
| 15 March 2020 | IW | VV | S1_VV1 |
| VH | S1_VH1 | ||
| 8 April 2020 | IW | VV | S1_VV2 |
| VH | S1_VH2 | ||
| 10 November 2020 | IW | VV | S1_VV3 |
| VH | S1_VH3 | ||
| 22 November 2020 | IW | VV | S1_VV4 |
| VH | S1_VH4 | ||
| 16 December 2020 | IW | VV | S1_VV5 |
| VH | S1_VH5 |
| Code | Name | Abbreviation |
|---|---|---|
| BIO1 | Annual Mean Temperature | AMT |
| BIO2 | Mean Diurnal Range (Mean of monthly (max temp–min temp)) | MDR |
| BIO3 | Isothermality (BIO2/BIO7) (×100) | ITM |
| BIO4 | Temperature Seasonality (standard deviation × 100) | TS |
| BIO5 | Max Temperature of Warmest Month | MTWM |
| BIO6 | Min Temperature of Coldest Month | MTCM |
| BIO7 | Temperature Annual Range (BIO5-BIO6) | TAR |
| BIO8 | Mean Temperature of Wettest Quarter | MTWetQ |
| BIO9 | Mean Temperature of Driest Quarter | MTDQ |
| BIO10 | Mean Temperature of Warmest Quarter | MTWarQ |
| BIO11 | Mean Temperature of Coldest Quarter | MTCQ |
| BIO12 | Annual Precipitation | AP |
| BIO13 | Precipitation of Wettest Month | PWM |
| BIO14 | Precipitation of Driest Month | PDW |
| BIO15 | Precipitation Seasonality (Coefficient of Variation) | PS |
| BIO16 | Precipitation of Wettest Quarter | PWetQ |
| BIO17 | Precipitation of Driest Quarter | PDQ |
| BIO18 | Precipitation of Warmest Quarter | PWarQ |
| BIO19 | Precipitation of Coldest Quarter | PCQ |
| N | Min (g/kg) | Max (g/kg) | Mean (g/kg) | SD (g/kg) | CV | Skew | K-S | |
|---|---|---|---|---|---|---|---|---|
| Total | 186 | 6.45 | 41.43 | 23.78 | 5.42 | 0.23 | 0.07 | 0.20 |
| Training | 135 | 7.57 | 40.40 | 23.78 | 5.41 | 0.23 | 0.05 | 0.20 |
| Validation | 51 | 6.45 | 41.43 | 23.77 | 5.49 | 0.23 | 0.13 | 0.20 |
| Model Type | Models | R2 | RMSE (g/kg) | MAE (g/kg) |
|---|---|---|---|---|
| Linear model | MLR | |||
| 10 m | 0.15 | 5.24 | 3.75 | |
| 30 m | 0.09 | 5.93 | 4.36 | |
| 90 m | 0.06 | 5.91 | 4.73 | |
| 250 m | 0.04 | 6.42 | 4.85 | |
| 1000 m | 0.02 | 6.16 | 4.70 | |
| PLSR | ||||
| 10 m | 0.27 | 4.67 | 3.44 | |
| 30 m | 0.19 | 5.00 | 3.73 | |
| 90 m | 0.15 | 5.02 | 3.75 | |
| 250 m | 0.13 | 5.12 | 3.95 | |
| 1000 m | 0.11 | 5.28 | 4.13 | |
| SMLR | ||||
| 10 m | 0.22 | 4.84 | 3.67 | |
| 30 m | 0.15 | 5.22 | 3.97 | |
| 90 m | 0.13 | 5.15 | 3.96 | |
| 250 m | 0.09 | 5.64 | 4.25 | |
| 1000 m | 0.06 | 5.55 | 4.38 | |
| Non-linear model | RF | |||
| 10 m | 0.39 | 4.56 | 3.28 | |
| 30 m | 0.32 | 4.58 | 3.31 | |
| 90 m | 0.29 | 4.86 | 3.50 | |
| 250 m | 0.25 | 4.83 | 3.52 | |
| 1000 m | 0.16 | 5.05 | 3.62 | |
| BRT | ||||
| 10 m | 0.42 | 4.28 | 3.21 | |
| 30 m | 0.35 | 4.47 | 3.34 | |
| 90 m | 0.32 | 4.52 | 3.47 | |
| 250 m | 0.29 | 4.70 | 3.75 | |
| 1000 m | 0.18 | 4.96 | 3.76 | |
| XGBoost | ||||
| 10 m | 0.49 | 3.90 | 2.98 | |
| 30 m | 0.46 | 4.20 | 3.24 | |
| 90 m | 0.34 | 4.43 | 3.37 | |
| 250 m | 0.32 | 4.61 | 3.64 | |
| 1000 m | 0.21 | 4.97 | 3.70 | |
Publisher’s Note: MDPI stays neutral with regard to jurisdictional claims in published maps and institutional affiliations. |
© 2022 by the authors. Licensee MDPI, Basel, Switzerland. This article is an open access article distributed under the terms and conditions of the Creative Commons Attribution (CC BY) license (https://creativecommons.org/licenses/by/4.0/).
Share and Cite
Tan, Q.; Geng, J.; Fang, H.; Li, Y.; Guo, Y. Exploring the Impacts of Data Source, Model Types and Spatial Scales on the Soil Organic Carbon Prediction: A Case Study in the Red Soil Hilly Region of Southern China. Remote Sens. 2022, 14, 5151. https://doi.org/10.3390/rs14205151
Tan Q, Geng J, Fang H, Li Y, Guo Y. Exploring the Impacts of Data Source, Model Types and Spatial Scales on the Soil Organic Carbon Prediction: A Case Study in the Red Soil Hilly Region of Southern China. Remote Sensing. 2022; 14(20):5151. https://doi.org/10.3390/rs14205151
Chicago/Turabian StyleTan, Qiuyuan, Jing Geng, Huajun Fang, Yuna Li, and Yifan Guo. 2022. "Exploring the Impacts of Data Source, Model Types and Spatial Scales on the Soil Organic Carbon Prediction: A Case Study in the Red Soil Hilly Region of Southern China" Remote Sensing 14, no. 20: 5151. https://doi.org/10.3390/rs14205151
APA StyleTan, Q., Geng, J., Fang, H., Li, Y., & Guo, Y. (2022). Exploring the Impacts of Data Source, Model Types and Spatial Scales on the Soil Organic Carbon Prediction: A Case Study in the Red Soil Hilly Region of Southern China. Remote Sensing, 14(20), 5151. https://doi.org/10.3390/rs14205151

