Scalable Crop Yield Prediction with Sentinel-2 Time Series and Temporal Convolutional Network
Abstract
1. Introduction
2. Materials and Methods
2.1. Study Area
2.2. Reference Data
2.3. Optical Time Series Data
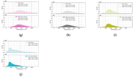
2.4. Cloud Masking
2.5. Object Representations
2.6. Prediction Models
2.7. Experimental Setup
3. Results
4. Discussion
4.1. Prediction Performance
4.2. Reference Data
4.3. Cloud Mask or Not?
4.4. Object Representations
5. Conclusions
Author Contributions
Funding
Informed Consent Statement
Data Availability Statement
Acknowledgments
Conflicts of Interest
Correction Statement
Abbreviations
| EO | Earth Observation |
| CNN | Convolutional Neural Networks |
| DNN | Deep Neural Network model |
| JRC | Joint Research Center |
| LPIS | Land Parcel Identification System |
| LUKE | Natural Research Institute Finland |
| MAE | Mean Average Error |
| NRMSE | Normalized Root Mean Squared Error |
| RF | Random Forest |
| RMSE | Root Mean Squared Error |
| RNN | Recurrent Neural Networks |
| SITS | Satellite Image Time Series |
| TCN | Temporal Convolutional Network |
Appendix A
Appendix A.1


| Crop Type | Method | Mask | June | July | August | End-Of-Season |
|---|---|---|---|---|---|---|
| Winter wheat | RF (histogram) | Cloud-masked | 1964 ± 383 | 1988 ± 386 | 2078 ± 432 | 2088 ± 427 |
| Cloudy | 1978 ± 384 | 1996 ± 393 | 2102 ± 443 | 2109 ± 442 | ||
| RF (median) | Cloud-masked | 1912 ± 336 | 1914 ± 335 | 1979 ± 376 | 2003 ± 387 | |
| Cloudy | 2001 ± 439 | 2027 ± 429 | 2090 ± 464 | 2072 ± 459 | ||
| TCN (histogram) | Cloud-masked | 1629 ± 261 | 1544 ± 135 | 1637 ± 136 | 1735 ± 247 | |
| Cloudy | 1822 ± 226 | 1594 ± 189 | 1673 ± 118 | 1754 ± 198 | ||
| TCN (median) | Cloud-masked | 1476 ± 269 | 1489 ± 351 | 1576 ±243 | 1630 ± 257 | |
| Cloudy | 1553 ± 152 | 1513 ± 262 | 1659 ± 188 | 1749 ± 307 | ||
| TCN (11-day histogram) | Cloud-masked | 2225 ± 801 | 1820 ± 573 | 1325 ± 180 | 1281 ± 180 | |
| Cloudy | 2147 ± 464 | 2324 ± 985 | 1789 ± 602 | 1616 ± 436 | ||
| TCN (11-day median) | Cloud-masked | 1539 ± 158 | 1396 ± 157 | 1405 ± 353 | 1459 ± 441 | |
| Cloudy | 2326 ± 920 | 2459 ± 875 | 2429 ± 758 | 2571 ± 957 | ||
| Barley | RF (histogram) | Cloud-masked | 1127 ± 131 | 1105 ± 114 | 1112 ± 107 | 1115 ± 123 |
| Cloudy | 1125 ± 126 | 1109 ± 109 | 1115 ± 99 | 1119 ± 114 | ||
| RF (median) | Cloud-masked | 1131 ± 147 | 1080 ± 112 | 1080 ± 104 | 1096 ± 137 | |
| Cloudy | 1148 ± 136 | 1110 ± 118 | 1111 ± 112 | 1122 ± 139 | ||
| TCN (histogram) | Cloud-masked | 1313 ± 136 | 1066 ± 93 | 1016 ± 73 | 1054 ± 88 | |
| Cloudy | 1285 ± 162 | 1039 ± 103 | 1000 ± 81 | 1048 ± 117 | ||
| TCN (median) | Cloud-masked | 1132 ± 109 | 980 ± 73 | 923 ± 62 | 998 ± 72 | |
| Cloudy | 1174 ± 107 | 969 ± 112 | 936 ± 116 | 992 ± 146 | ||
| Feed barley | RF (histogram) | Cloud-masked | 1121 ± 115 | 1099 ± 96 | 1104 ± 87 | 1107 ± 102 |
| Cloudy | 1117 ± 109 | 1103 ± 91 | 1108 ± 83 | 1108 ± 95 | ||
| RF (median) | Cloud-masked | 1128 ± 134 | 1074 ± 102 | 1073 ± 90 | 1087 ± 121 | |
| Cloudy | 1146 ± 122 | 1109 ± 108 | 1107 ± 101 | 1114 ± 122 | ||
| TCN (histogram) | Cloud-masked | 1343 ± 168 | 1108 ± 102 | 1077 ± 105 | 1100 ± 121 | |
| Cloudy | 1309 ± 147 | 1030 ± 91 | 988 ± 60 | 1043 ± 92 | ||
| TCN (median) | Cloud-masked | 1176 ± 115 | 1007 ± 91 | 963 ± 72 | 997 ± 85 | |
| Cloudy | 1250 ± 114 | 993 ± 64 | 960 ± 58 | 1007 ± 64 | ||
| TCN (11-day histogram) | Cloud-masked | 1340 ± 263 | 1541 ± 642 | 1258 ± 286 | 1188 ± 228 | |
| Cloudy | 1205 ± 138 | 1206 ± 147 | 1088 ± 138 | 1070 ± 136 | ||
| TCN (11-day median) | Cloud-masked | 1194 ± 104 | 1939 ± 1397 | 1490 ± 643 | 1348 ± 460 | |
| Cloudy | 1466 ± 575 | 2021 ± 1057 | 1917 ± 858 | 1684 ± 630 | ||
| Malting barley | RF (histogram) | Cloud-masked | 1253 ± 276 | 1217 ± 265 | 1229 ± 260 | 1234 ± 280 |
| Cloudy | 1268 ± 292 | 1214 ± 245 | 1219 ± 258 | 1220 ± 265 | ||
| RF (median) | Cloud-masked | 1254 ± 289 | 1212 ± 272 | 1205 ± 262 | 1210 ± 288 | |
| Cloudy | 1247 ± 294 | 1223 ± 292 | 1239 ± 322 | 1237 ± 330 | ||
| TCN (histogram) | Cloud-masked | 1358 ± 182 | 1044 ± 101 | 1070 ± 80 | 1101 ± 110 | |
| Cloudy | 1442 ± 186 | 1054 ± 112 | 1079 ± 80 | 1148 ± 146 | ||
| TCN (median) | Cloud-masked | 1030 ± 76 | 1003 ± 101 | 1117 ± 195 | 1159 ± 232 | |
| Cloudy | 1033 ± 65 | 1029 ± 101 | 1173 ± 246 | 1233 ± 272 | ||
| TCN (11-day histogram) | Cloud-masked | 1399 ± 357 | 2267 ± 1111 | 1706 ± 634 | 1465 ± 440 | |
| Cloudy | 1762 ± 650 | 1921 ± 1001 | 1834 ± 768 | 1717 ± 714 | ||
| TCN (11-day median) | Cloud-masked | 1445 ± 346 | 1614 ± 489 | 1202 ± 223 | 1124 ± 163 | |
| Cloudy | 1643 ± 761 | 1718 ± 993 | 1391 ± 551 | 1335 ± 468 | ||
| Oats | RF (histogram) | Cloud-masked | 1283 ± 49 | 1264 ± 27 | 1263 ± 24 | 1270 ± 30 |
| Cloudy | 1288 ± 42 | 1274 ± 30 | 1270 ± 30 | 1277 ± 35 | ||
| RF (median) | Cloud-masked | 1264 ± 50 | 1244 ± 24 | 1230 ± 28 | 1239 ± 39 | |
| Cloudy | 1294 ± 64 | 1283 ± 56 | 1273 ± 60 | 1273 ± 74 | ||
| TCN (histogram) | Cloud-masked | 1381 ± 170 | 1140 ± 145 | 1069 ± 133 | 1090 ± 135 | |
| Cloudy | 1450 ± 132 | 1147 ± 110 | 1071 ± 96 | 1092 ± 100 | ||
| TCN (median) | Cloud-masked | 1203 ± 131 | 975 ± 81 | 904 ± 61 | 922 ± 71 | |
| Cloudy | 1343 ± 175 | 1022 ± 142 | 978 ± 150 | 1025 ± 149 | ||
| TCN (11-day histogram) | Cloud-masked | 1398 ± 170 | 1413 ± 389 | 1190 ± 205 | 1166 ± 165 | |
| Cloudy | 1394 ± 190 | 1179 ± 151 | 1101 ± 87 | 1090 ± 99 | ||
| TCN (11-day median) | Cloud-masked | 1487 ± 304 | 1702 ± 595 | 1422 ± 421 | 1370 ± 443 | |
| Cloudy | 1726 ± 436 | 1855 ± 750 | 1482 ± 317 | 1453 ± 326 | ||
| Rye | RF (histogram) | Cloud-masked | 1850 ± 471 | 1884 ± 442 | 1923 ± 449 | 1919 ± 450 |
| Cloudy | 1853 ± 497 | 1876 ± 464 | 1919 ± 470 | 1911 ± 472 | ||
| RF (median) | Cloud-masked | 1760 ± 386 | 1786 ± 370 | 1829 ± 375 | 1833 ± 390 | |
| Cloudy | 1849 ± 423 | 1869 ± 422 | 1884 ± 433 | 1869 ± 462 | ||
| TCN (histogram) | Cloud-masked | 1647 ± 199 | 1519 ± 123 | 1528 ± 116 | 1610 ± 223 | |
| Cloudy | 1610 ± 222 | 1471 ± 234 | 1504 ± 165 | 1572 ± 218 | ||
| TCN (median) | Cloud-masked | 1433 ± 291 | 1441 ± 289 | 1510 ± 291 | 1692 ± 332 | |
| Cloudy | 1557 ± 323 | 1601 ± 336 | 1740 ± 333 | 1946 ± 357 | ||
| TCN (11-day histogram) | Cloud-masked | 2103 ± 794 | 1431 ± 357 | 1332 ± 271 | 1344 ± 276 | |
| Cloudy | 2586 ± 1586 | 2188 ± 1088 | 1761 ± 661 | 1702 ± 632 | ||
| TCN (11-day median) | Cloud-masked | 1471 ± 287 | 1464 ± 361 | 1500 ± 345 | 1529 ± 412 | |
| Cloudy | 1559 ± 407 | 1513 ± 363 | 1575 ± 504 | 1623 ± 527 | ||
| Spring wheat | RF (histogram) | Cloud-masked | 1310 ± 114 | 1284 ± 112 | 1316 ± 115 | 1317 ± 120 |
| Cloudy | 1316 ± 131 | 1290 ± 118 | 1324 ± 123 | 1329 ± 130 | ||
| RF (median) | Cloud-masked | 1314 ± 121 | 1250 ± 114 | 1266 ± 106 | 1276 ± 118 | |
| Cloudy | 1312 ± 145 | 1271 ± 122 | 1283 ± 124 | 1289 ± 138 | ||
| TCN (histogram) | Cloud-masked | 1475 ± 193 | 1113 ± 96 | 1056 ± 83 | 1079 ± 92 | |
| Cloudy | 1494 ± 228 | 1126 ± 140 | 1071 ± 113 | 1102 ± 156 | ||
| TCN (median) | Cloud-masked | 1231 ± 171 | 1069 ± 119 | 1048 ± 157 | 1090 ± 196 | |
| Cloudy | 1259 ± 174 | 1061 ± 157 | 1075 ± 156 | 1101 ± 189 | ||
| TCN (11-day histogram) | Cloud-masked | 1843 ± 599 | 1960 ± 1021 | 1390 ± 334 | 1319 ± 261 | |
| Cloudy | 1606 ± 252 | 1593 ± 575 | 1416 ± 305 | 1277 ± 213 | ||
| TCN (11-day median) | Cloud-masked | 1990 ± 906 | 2155 ± 1254 | 1854 ± 702 | 1702 ± 588 | |
| Cloudy | 1606 ± 348 | 1593 ± 586 | 1734 ± 482 | 1391 ± 231 |
References
- United Nations. Transforming Our World: The 2030 Agenda for Sustainable Development 2015. Available online: https://sustainabledevelopment.un.org/post2015/transformingourworld/publication (accessed on 4 February 2021).
- FAO; IFAD; UNICEF; WFP; WHO. The State of Food Security and Nutrition in the World 2021. Transforming Food Systems for Food Security, Improved Nutrition and Affordable Healthy Diets for All. 2021. Available online: https://www.fao.org/documents/card/en/c/cb4474en (accessed on 4 February 2021). [CrossRef]
- Wheeler, T.; von Braun, J. Climate change impacts on global food security. Science 2013, 341, 508–513. [Google Scholar] [CrossRef] [PubMed]
- Ray, D.K.; Sloat, L.L.; Garcia, A.S.; Davis, K.F.; Ali, T.; Xie, W. Crop harvests for direct food use insufficient to meet the UN’s food security goal. Nat. Food 2022, 3, 367–374. [Google Scholar] [CrossRef]
- Fritz, S.; See, L.; Bayas, J.C.L.; Waldner, F.; Jacques, D.; Becker-Reshef, I.; Whitcraft, A.; Baruth, B.; Bonifacio, R.; Crutchfield, J.; et al. A comparison of global agricultural monitoring systems and current gaps. Agric. Syst. 2019, 168, 258–272. [Google Scholar] [CrossRef]
- Wulder, M.A.; Loveland, T.R.; Roy, D.P.; Crawford, C.J.; Masek, J.G.; Woodcock, C.E.; Allen, R.G.; Anderson, M.C.; Belward, A.S.; Cohen, W.B.; et al. Current status of Landsat program, science, and applications. Remote Sens. Environ. 2019, 225, 127–147. [Google Scholar] [CrossRef]
- Aschbacher, J.; Milagro-Pérez, M.P. The European Earth monitoring (GMES) programme: Status and perspectives. Remote Sens. Environ. 2012, 120, 3–8. [Google Scholar] [CrossRef]
- Schauberger, B.; Jägermeyr, J.; Gornott, C. A systematic review of local to regional yield forecasting approaches and frequently used data resources. Eur. J. Agron. 2020, 120, 126153. [Google Scholar] [CrossRef]
- Van Klompenburg, T.; Kassahun, A.; Catal, C. Crop yield prediction using machine learning: A systematic literature review. Comput. Electron. Agric. 2020, 177, 105709. [Google Scholar] [CrossRef]
- Rußwurm, M.; Körner, M. Self-attention for raw optical Satellite Time Series Classification. ISPRS J. Photogramm. Remote Sens. 2020, 169, 421–435. [Google Scholar] [CrossRef]
- Voormansik, K.; Zalite, K.; Sünter, I.; Tamm, T.; Koppel, K.; Verro, T.; Brauns, A.; Jakovels, D.; Praks, J. Separability of mowing and ploughing events on short temporal baseline Sentinel-1 coherence time series. Remote Sens. 2020, 12, 3784. [Google Scholar] [CrossRef]
- Garioud, A.; Valero, S.; Giordano, S.; Mallet, C. Recurrent-based regression of Sentinel time series for continuous vegetation monitoring. Remote Sens. Environ. 2021, 263, 112419. [Google Scholar] [CrossRef]
- De Vroey, M.; Radoux, J.; Defourny, P. Grassland mowing detection using Sentinel-1 time series: Potential and limitations. Remote Sens. 2021, 13, 348. [Google Scholar] [CrossRef]
- Planque, C.; Lucas, R.; Punalekar, S.; Chognard, S.; Hurford, C.; Owers, C.; Horton, C.; Guest, P.; King, S.; Williams, S.; et al. National Crop Mapping Using Sentinel-1 Time Series: A Knowledge-Based Descriptive Algorithm. Remote Sens. 2021, 13, 846. [Google Scholar] [CrossRef]
- You, J.; Li, X.; Low, M.; Lobell, D.B.; Ermon, S. Deep Gaussian Process for Crop Yield Prediction Based on Remote Sensing Data. In Proceedings of the Thirty-First AAAI Conference on Artificial Intelligence, San Francisco, CA, USA, 4–9 February 2017; pp. 4559–4566. Available online: https://cs.stanford.edu/~ermon/papers/cropyield_AAAI17.pdf (accessed on 4 February 2022).
- Sun, J.; Di, L.; Sun, Z.; Shen, Y.; Lai, Z. County-level soybean yield prediction using deep CNN-LSTM model. Sensors 2019, 19, 4363. [Google Scholar] [CrossRef]
- Luotamo, M.; Yli-Heikkilä, M.; Klami, A. Density estimates as representations of agricultural fields for remote sensing-based monitoring of tillage and vegetation cover. Appl. Sci. 2022, 12, 679. [Google Scholar] [CrossRef]
- Breiman, L. Random forests. Mach. Learn. 2001, 45, 5–32. Available online: https://www.stat.berkeley.edu/~breiman/57randomforest2001.pdf (accessed on 4 February 2022). [CrossRef]
- Belgiu, M.; Drăgut, L. Random forest in remote sensing: A review of applications and future directions. ISPRS J. Photogramm. Remote Sens. 2016, 114, 24–31. [Google Scholar] [CrossRef]
- Pelletier, C.; Valero, S.; Inglada, J.; Champion, N.; Dedieu, G. Assessing the robustness of Random Forests to map land cover with high resolution satellite image time series over large areas. Remote Sens. Environ. 2016, 187, 156–168. [Google Scholar] [CrossRef]
- Saeed, U.; Dempewolf, J.; Becker-Reshef, I.; Khan, A.; Ahmad, A.; Wajid, S.A. Forecasting wheat yield from weather data and MODIS NDVI using Random Forests for Punjab province, Pakistan. Int. J. Remote Sens. 2017, 38, 4831–4854. [Google Scholar] [CrossRef]
- Belgiu, M.; Csillik, O. Sentinel-2 cropland mapping using pixel-based and object-based time-weighted dynamic time warping analysis. Remote Sens. Environ. 2018, 204, 509–523. [Google Scholar] [CrossRef]
- Beriaux, E.; Jago, A.; Lucau-Danila, C.; Planchon, V.; Defourny, P. Sentinel-1 Time Series for Crop Identification in the Framework of the Future CAP Monitoring. Remote Sens. 2021, 13, 2785. [Google Scholar] [CrossRef]
- Gómez, D.; Salvador, P.; Sanz, J.; Casanova, J.L. New spectral indicator Potato Productivity Index based on Sentinel-2 data to improve potato yield prediction: A machine learning approach. Int. J. Remote Sens. 2021, 42, 3426–3444. [Google Scholar] [CrossRef]
- LeCun, Y.; Bengio, Y.; Hinton, G. Deep learning. Nature 2015, 521, 436–444. [Google Scholar] [CrossRef] [PubMed]
- Zhu, X.X.; Tuia, D.; Mou, L.; Xia, G.S.; Zhang, L.; Xu, F.; Fraundorfer, F. Deep Learning in Remote Sensing: A Comprehensive Review and List of Resources. IEEE Geosci. Remote Sens. Mag. 2017, 5, 8–36. [Google Scholar] [CrossRef]
- Zhang, X.; Lin, T.; Xu, J.; Luo, X.; Ying, Y. DeepSpectra: An end-to-end deep learning approach for quantitative spectral analysis. Anal. Chim. Acta 2019, 1058, 48–57. [Google Scholar] [CrossRef] [PubMed]
- Liu, J.; Wang, H.; Feng, Y. An end-to-end deep model with discriminative facial features for facial expression recognition. IEEE Access 2021, 9, 12158–12166. [Google Scholar] [CrossRef]
- Si, K.; Xue, Y.; Yu, X.; Zhu, X.; Li, Q.; Gong, W.; Liang, T.; Duan, S. Fully end-to-end deep-learning-based diagnosis of pancreatic tumors. Theranostics 2021, 11, 1982. [Google Scholar] [CrossRef] [PubMed]
- Kussul, N.; Lavreniuk, M.; Skakun, S.; Shelestov, A. Deep Learning Classification of Land Cover and Crop Types Using Remote Sensing Data. IEEE Geosci. Remote Sens. Lett. 2017, 14, 778–782. [Google Scholar] [CrossRef]
- Zhong, L.; Hu, L.; Zhou, H. Deep learning based multi-temporal crop classification. Remote Sens. Environ. 2019, 221, 430–443. [Google Scholar] [CrossRef]
- Pelletier, C.; Webb, G.I.; Petitjean, F. Temporal Convolutional Neural Network for the Classification of Satellite Image Time Series. Remote Sens. 2019, 11, 523. [Google Scholar] [CrossRef]
- Teimouri, N.; Dyrmann, M.; Jørgensen, R.N. A Novel Spatio-Temporal FCN-LSTM Network for Recognizing Various Crop Types Using Multi-Temporal Radar Images. Remote Sens. 2019, 11, 990. [Google Scholar] [CrossRef]
- Mazzia, V.; Khaliq, A.; Chiaberge, M. Improvement in Land Cover and Crop Classification based on Temporal Features Learning from Sentinel-2 Data Using Recurrent-Convolutional Neural Network (R-CNN). Appl. Sci. 2019, 10, 238. [Google Scholar] [CrossRef]
- Garnot, V.S.F.; Landrieu, L. Lightweight Temporal Self-attention for Classifying Satellite Images Time Series. In Proceedings of the Advanced Analytics and Learning on Temporal Data; Lemaire, V., Malinowski, S., Bagnall, A., Guyet, T., Tavenard, R., Ifrim, G., Eds.; Springer International Publishing: Cham, Switzerland, 2020; pp. 171–181. [Google Scholar] [CrossRef]
- Lea, C.; Flynn, M.D.; Vidal, R.; Reiter, A.; Hager, G.D. Temporal Convolutional Networks for Action Segmentation and Detection. In Proceedings of the 2017 IEEE Conference on Computer Vision and Pattern Recognition (CVPR), Honolulu, HI, USA, 21–26 July 2017; pp. 1003–1012. [Google Scholar] [CrossRef]
- Bai, S.; Kolter, J.Z.; Koltun, V. An Empirical Evaluation of Generic Convolutional and Recurrent Networks for Sequence Modeling. arXiv 2018, arXiv:1803.01271. [Google Scholar]
- Račič, M.; Oštir, K.; Peressutti, D.; Zupanc, A.; Čehovin Zajc, L. Application of Temporal Convolutional Neural Network for the Classification of Crops on SENTINEL-2 Time Series. ISPRS-Int. Arch. Photogramm. Remote. Sens. Spat. Inf. Sci. 2020, 43B2, 1337–1342. [Google Scholar] [CrossRef]
- Gong, L.; Yu, M.; Jiang, S.; Cutsuridis, V.; Pearson, S. Deep Learning Based Prediction on Greenhouse Crop Yield Combined TCN and RNN. Sensors 2021, 21, 4537. [Google Scholar] [CrossRef]
- Tang, P.; Du, P.; Xia, J.; Zhang, P.; Zhang, W. Channel Attention-Based Temporal Convolutional Network for Satellite Image Time Series Classification. IEEE Geosci. Remote Sens. Lett. 2022, 19, 1–5. [Google Scholar] [CrossRef]
- Main-Knorn, M.; Pflug, B.; Louis, J.; Debaecker, V.; Müller-Wilm, U.; Gascon, F. Sen2Cor for Sentinel-2. In Proceedings of the Image and Signal Processing for Remote Sensing XXIII. International Society for Optics and Photonics, Warsaw, Poland, 11–13 September 2017; Volume 10427, p. 1042704. [Google Scholar] [CrossRef]
- Zhu, Z.; Woodcock, C.E. Object-based cloud and cloud shadow detection in Landsat imagery. Remote Sens. Environ. 2012, 118, 83–94. [Google Scholar] [CrossRef]
- Tarrio, K.; Tang, X.; Masek, J.G.; Claverie, M.; Ju, J.; Qiu, S.; Zhu, Z.; Woodcock, C.E. Comparison of cloud detection algorithms for Sentinel-2 imagery. Sci. Remote Sens. 2020, 2, 100010. [Google Scholar] [CrossRef]
- Mahajan, S.; Fataniya, B. Cloud detection methodologies: Variants and development—A review. Complex Intell. Syst. 2020, 6, 251–261. [Google Scholar] [CrossRef]
- Cihlar, J.; Howarth, J. Detection and removal of cloud contamination from AVHRR images. IEEE Trans. Geosci. Remote Sens. 1994, 32, 583–589. [Google Scholar] [CrossRef]
- Li, P.; Dong, L.; Xiao, H.; Xu, M. A cloud image detection method based on SVM vector machine. Neurocomputing 2015, 169, 34–42. [Google Scholar] [CrossRef]
- Jeppesen, J.H.; Jacobsen, R.H.; Inceoglu, F.; Toftegaard, T.S. A cloud detection algorithm for satellite imagery based on deep learning. Remote Sens. Environ. 2019, 229, 247–259. [Google Scholar] [CrossRef]
- Luotamo, M.; Metsämäki, S.; Klami, A. Multiscale cloud detection in remote sensing images using a dual convolutional neural network. IEEE Trans. Geosci. Remote Sens. 2020, 59, 4972–4983. Available online: https://arxiv.org/pdf/2006.00836 (accessed on 4 February 2022). [CrossRef]
- Bolton, D.K.; Friedl, M.A. Forecasting crop yield using remotely sensed vegetation indices and crop phenology metrics. Agric. For. Meteorol. 2013, 173, 74–84. [Google Scholar] [CrossRef]
- López-Lozano, R.; Duveiller, G.; Seguini, L.; Meroni, M.; García-Condado, S.; Hooker, J.; Leo, O.; Baruth, B. Towards regional grain yield forecasting with 1km-resolution EO biophysical products: Strengths and limitations at pan-European level. Agric. For. Meteorol. 2015, 206, 12–32. [Google Scholar] [CrossRef]
- Chen, Y.; Zhang, Z.; Tao, F. Improving regional winter wheat yield estimation through assimilation of phenology and leaf area index from remote sensing data. Eur. J. Agron. 2018, 101, 163–173. [Google Scholar] [CrossRef]
- Peng, B.; Guan, K.; Pan, M.; Li, Y. Benefits of seasonal climate prediction and satellite data for forecasting US maize yield. Geophys. Res. Lett. 2018, 45, 9662–9671. [Google Scholar] [CrossRef]
- Liu, J.; Shang, J.; Qian, B.; Huffman, T.; Zhang, Y.; Dong, T.; Jing, Q.; Martin, T. Crop Yield Estimation Using Time-Series MODIS Data and the Effects of Cropland Masks in Ontario, Canada. Remote Sens. 2019, 11, 2419. [Google Scholar] [CrossRef]
- Li, Y.; Guan, K.; Yu, A.; Peng, B.; Zhao, L.; Li, B.; Peng, J. Toward building a transparent statistical model for improving crop yield prediction: Modeling rainfed corn in the U.S. Field Crop. Res. 2019, 234, 55–65. [Google Scholar] [CrossRef]
- Ma, Y.; Zhang, Z.; Kang, Y.; Özdoğan, M. Corn yield prediction and uncertainty analysis based on remotely sensed variables using a Bayesian neural network approach. Remote Sens. Environ. 2021, 259, 112408. [Google Scholar] [CrossRef]
- Cao, J.; Wang, H.; Li, J.; Tian, Q.; Niyogi, D. Improving the Forecasting of Winter Wheat Yields in Northern China with Machine Learning—Dynamical Hybrid Subseasonal-to-Seasonal Ensemble Prediction. Remote Sens. 2022, 14, 1707. [Google Scholar] [CrossRef]
- Sartore, L.; Rosales, A.N.; Johnson, D.M.; Spiegelman, C.H. Assessing machine leaning algorithms on crop yield forecasts using functional covariates derived from remotely sensed data. Comput. Electron. Agric. 2022, 194, 106704. [Google Scholar] [CrossRef]
- Paudel, D.; Boogaard, H.; de Wit, A.; van der Velde, M.; Claverie, M.; Nisini, L.; Janssen, S.; Osinga, S.; Athanasiadis, I.N. Machine learning for regional crop yield forecasting in Europe. Field Crop. Res. 2022, 276, 108377. [Google Scholar] [CrossRef]
- Carletto, C.; Gourlay, S.; Winters, P. From guesstimates to GPStimates: Land area measurement and implications for agricultural analysis. J. Afr. Econ. 2015, 24, 593–628. [Google Scholar] [CrossRef]
- Braimoh, A.K.; Durieux, M.; Trant, M.; Riungu, C.; Gaye, D.; Balakrishnan, T.K.; Umali-Deininger, D. Capacity Needs Assessment for Improving Agricultural Statistics in Kenya; World Bank: Washington, DC, USA, 2018; Available online: http://documents.worldbank.org/curated/en/801111542740476532/pdf/Capacity-Needs-Assessment-for-Improving-Agricultural-Statistics-in-Kenya.pdf (accessed on 11 February 2022).
- Burke, M.; Driscoll, A.; Lobell, D.B.; Ermon, S. Using satellite imagery to understand and promote sustainable development. Science 2021, 371. [Google Scholar] [CrossRef]
- Peltonen-Sainio, P. Crop production in a northern climate. In Proceedings of the FAO/OECD Workshop: Building Resilience for Adaptation to Climate Change in the Agriculture Sector; Meybeck, A., Lankoski, J., Redfern, S., Azzu, N., Gitz, V., Eds.; FAO: Rome, Italy, 2012; pp. 183–216. Available online: https://www.fao.org/3/i3084e/i3084e15.pdf (accessed on 4 February 2022).
- Mølmann, J.A.; Dalmannsdottir, S.; Hykkerud, A.L.; Hytönen, T.; Samkumar, R.A.; Jaakola, L. Influence of Arctic light conditions on crop production and quality. Physiol. Plant. 2021, 172, 1931–1940. [Google Scholar] [CrossRef]
- Natural Resources Institute Finland. Crop production statistics: Use of arable land area by Year and Species. 2021. Available online: https://stat.luke.fi/en/crop-production-statistics (accessed on 27 December 2021).
- Natural Resources Institute Finland. Statistics on Utilised Agricultural Area; Sowing Dates. 2021. Available online: https://stat.luke.fi/sites/default/files/kevatkylvot_2000-2021_0.xls (accessed on 27 December 2021).
- Aalto, J.; Pirinen, P.; Kauppi, P.E.; Rantanen, M.; Lussana, C.; Lyytikäinen-Saarenmaa, P.; Gregow, H. High-resolution analysis of observed thermal growing season variability over northern Europe. Clim. Dyn. 2022, 58, 1477–1493. [Google Scholar] [CrossRef]
- Lilja, H.; Uusitalo, R.; Yli-Halla, M.; Nevalainen, R.; Väänänen, R.; Tamminen, P.; Tuhtar, J. Suomen maannostietokanta: Käyttöopas versio 1.1 (Finnish Soil Database: Manual, version 1.1). 2017. Economydoctor. Soil Class Information Service. Available online: http://www.luke.fi/economydoctor (accessed on 22 November 2021).
- Baruth, B.; Bassu, S.; Bussay, A.; Ceglar, A.; Cerrani, I.; Chemin, Y.; De Palma, P.; Fumagalli, D.; Lecerf, R.; Manfron, G.; et al. JRC MARS Bulletin—Crop monitoring in Europe. 2020. Available online: https://publications.jrc.ec.europa.eu/repository/handle/JRC120745 (accessed on 4 February 2022).
- Natural Resources Institute Finland. Crop Production Statistics: Advance Estimates of Annual Harvests. 2021. Available online: https://stat.luke.fi/en/crop-production-statistics (accessed on 1 April 2021).
- European Space Agency. Sentinel-2 User Handbook; European Space Agency: Paris, France, 2015; Available online: https://sentinel.esa.int/documents/247904/685211/Sentinel-2_User_Handbook (accessed on 27 November 2021).
- Wittke, S.; Fouilloux, A.; Lehti, P.; Varho, J.; Karjalainen, M.; Vaaja, M.; Puttonen, E. EODIE—Earth Observation Data Information Extractor. 2022. Available online: http://dx.doi.org/10.2139/ssrn.4067133 (accessed on 4 June 2022).
- Richter, R.; Louis, J.; Müller-Wilm, U. Sentinel-2 MSI-Level 2A products algorithm theoretical basis document. Eur. Space Agency Special Publ. ESA SP 2012, 49, 1–72. Available online: https://forum.step.esa.int/uploads/default/original/2X/f/f3aa9be5ad9aab427885b536d0a30a5d47f45202.pdf (accessed on 4 February 2022).
- Louis, J. S2 MPC—Level 2A Product Format Specification; European Space Agency: Paris, France, 2017; Available online: https://sentinel.esa.int/documents/247904/685211/Sentinel-2-MSI-L2A-Product-Format-Specifications.pdf. (accessed on 27 November 2021).
- Pedregosa, F.; Varoquaux, G.; Gramfort, A.; Michel, V.; Thirion, B.; Grisel, O.; Blondel, M.; Prettenhofer, P.; Weiss, R.; Dubourg, V.; et al. Scikit-learn: Machine learning in Python. J. Mach. Learn. Res. 2011, 12, 2825–2830. [Google Scholar]
- Remy, P. Temporal Convolutional Networks for Keras. 2020. Available online: https://github.com/philipperemy/keras-tcn (accessed on 4 February 2022).
- Abadi, M.; Agarwal, A.; Barham, P.; Brevdo, E.; Chen, Z.; Citro, C.; Corrado, G.S.; Davis, A.; Dean, J.; Devin, M.; et al. TensorFlow: Large-Scale Machine Learning on Heterogeneous Systems. arXiv 2015, arXiv:1603.04467. [Google Scholar]
- Kingma, D.P.; Ba, J. Adam: A Method for Stochastic Optimization. arXiv 2015, arXiv:1412.6980. [Google Scholar]
- Engen, M.; Sandø, E.; Sjølander, B.L.O.; Arenberg, S.; Gupta, R.; Goodwin, M. Farm-Scale Crop Yield Prediction from Multi-Temporal Data Using Deep Hybrid Neural Networks. Agronomy 2021, 11, 2576. [Google Scholar] [CrossRef]
- Sagan, V.; Maimaitijiang, M.; Bhadra, S.; Maimaitiyiming, M.; Brown, D.R.; Sidike, P.; Fritschi, F.B. Field-scale crop yield prediction using multi-temporal WorldView-3 and PlanetScope satellite data and deep learning. ISPRS J. Photogramm. Remote Sens. 2021, 174, 265–281. [Google Scholar] [CrossRef]
- Peltonen-Sainio, P.; Kangas, A.; Salo, Y.; Jauhiainen, L. Grain number dominates grain weight in temperate cereal yield determination: Evidence based on 30 years of multi-location trials. Field Crop. Res. 2007, 100, 179–188. [Google Scholar] [CrossRef]
- Rajala, A.; Peltonen-Sainio, P.; Kauppila, R.; Wilhelmson, A.; Reinikainen, P.; Kleemola, J. Within-field variation in grain yield, yield components and quality traits of two-row barley. J. Agric. Sci. 2007, 145, 445–454. [Google Scholar] [CrossRef]
- Rajala, A.; Hakala, K.; Mäkelä, P.; Muurinen, S.; Peltonen-Sainio, P. Spring wheat response to timing of water deficit through sink and grain filling capacity. Field Crop. Res. 2009, 114, 263–271. [Google Scholar] [CrossRef]
- Johnson, D.M. An assessment of pre- and within-season remotely sensed variables for forecasting corn and soybean yields in the United States. Remote Sens. Environ. 2014, 141, 116–128. [Google Scholar] [CrossRef]
- Zhang, L.; Zhang, Z.; Luo, Y.; Cao, J.; Xie, R.; Li, S. Integrating satellite-derived climatic and vegetation indices to predict smallholder maize yield using deep learning. Agric. For. Meteorol. 2021, 311, 108666. [Google Scholar] [CrossRef]
- Guan, K.; Wu, J.; Kimball, J.S.; Anderson, M.C.; Frolking, S.; Li, B.; Hain, C.R.; Lobell, D.B. The shared and unique values of optical, fluorescence, thermal and microwave satellite data for estimating large-scale crop yields. Remote Sens. Environ. 2017, 199, 333–349. [Google Scholar] [CrossRef]
- Cai, Y.; Guan, K.; Lobell, D.; Potgieter, A.B.; Wang, S.; Peng, J.; Xu, T.; Asseng, S.; Zhang, Y.; You, L.; et al. Integrating satellite and climate data to predict wheat yield in Australia using machine learning approaches. Agric. For. Meteorol. 2019, 274, 144–159. [Google Scholar] [CrossRef]
- Baetens, L.; Desjardins, C.; Hagolle, O. Validation of Copernicus Sentinel-2 Cloud Masks Obtained from MAJA, Sen2Cor, and FMask Processors Using Reference Cloud Masks Generated with a Supervised Active Learning Procedure. Remote Sens. 2019, 11, 433. [Google Scholar] [CrossRef]
- Zekoll, V.; Main-Knorn, M.; Alonso, K.; Louis, J.; Frantz, D.; Richter, R.; Pflug, B. Comparison of Masking Algorithms for Sentinel-2 Imagery. Remote Sens. 2021, 13, 137. [Google Scholar] [CrossRef]













| Crop Type | Year 2018 | Year 2019 | Year 2020 | Total |
|---|---|---|---|---|
| Winter wheat (Triticum aestivum L.) | 217 | 547 | 392 | 1156 |
| Spring wheat (Triticum aestivum L.) | 1895 | 1453 | 1544 | 4892 |
| Rye (Secale cereale L.) | 394 | 559 | 342 | 1295 |
| Feed barley (Hordeum vulgare L.) | 2633 | 2765 | 2629 | 8027 |
| Malting barley (Hordeum vulgare L.) | 707 | 396 | 486 | 1589 |
| Oats (Avena sativa L.) | 3095 | 3138 | 3445 | 9678 |
| Total | 8941 | 8858 | 8838 | 26,637 |
| Level | Feature Type | Cloud-Masked | # of Tiles | Temporal | RMSE (kg/ha) | RMSE (%) | MAE | |
|---|---|---|---|---|---|---|---|---|
| Farm | Histogram | 1–6 | 121 days | 617 | 17 | 494 | 0.54 | |
| Farm | Histogram | 1 | 121 days | 642 | 18 | 540 | 0.67 | |
| Farm | Histogram | x | 1–6 | 121 days | 709 | 20 | 585 | 0.56 |
| Farm | Median | x | 1–6 | 121 days | 728 | 20 | 570 | 0.50 |
| Farm | Median | 1–6 | 121 days | 738 | 21 | 566 | 0.43 | |
| Farm | Histogram | x | 1 | 121 days | 750 | 21 | 645 | 0.67 |
| Farm | Median | x | 1 | 121 days | 769 | 22 | 631 | 0.55 |
| Farm | Median | 1 | 121 days | 809 | 23 | 631 | 0.54 | |
| Region | Histogram | x | 1–6 | 121 days | 809 | 23 | 650 | 0.13 |
| Region | Histogram | x | 1 | 121 days | 841 | 24 | 692 | 0.10 |
| Region | Histogram | 1–6 | 121 days | 862 | 24 | 676 | 0.11 | |
| Region | Histogram | 1 | 121 days | 909 | 26 | 739 | 0.06 | |
| Farm | Histogram | 1–6 | 11-day | 1006 | 28 | 809 | 0.62 | |
| Farm | Median | 1–6 | 11-day | 1006 | 28 | 744 | 0.45 | |
| Region | Histogram | 1–6 | 11-day | 1035 | 29 | 829 | 0.07 | |
| Region | Histogram | x | 1–6 | 11-day | 1038 | 29 | 819 | 0.12 |
| Farm | Median | 1 | 11-day | 1043 | 29 | 765 | 0.58 | |
| Farm | Histogram | 1 | 11-day | 1060 | 30 | 848 | 0.71 | |
| Region | Histogram | 1 | 11-day | 1094 | 31 | 885 | 0.00 | |
| Region | Histogram | x | 1 | 11-day | 1126 | 32 | 904 | 0.07 |
| Farm | Histogram | x | 1–6 | 11-day | 1132 | 32 | 923 | 0.64 |
| Farm | Median | x | 1 | 11-day | 1161 | 33 | 903 | 0.58 |
| Farm | Histogram | x | 1 | 11-day | 1180 | 33 | 963 | 0.75 |
| Farm | Median | x | 1–6 | 11-day | 1193 | 34 | 938 | 0.50 |
| Crop | Month | LUKE (%) | MCYFS (%) | TCN (%) |
|---|---|---|---|---|
| Spring wheat | June | NaN | NaN | 1.0 |
| July | −0.5 | NaN | 1.0 | |
| August | 0.7 | NaN | 1.2 | |
| Barley | June | NaN | −1.6 | −5.1 |
| July | −9.2 | −8.3 | −4.9 | |
| August | −8.0 | −8.7 | −1.8 | |
| Feed barley | June | NaN | NaN | −6.0 |
| July | NaN | NaN | −3.9 | |
| August | NaN | NaN | −1.4 | |
| Malting barley | June | NaN | NaN | 1.3 |
| July | NaN | NaN | 3.0 | |
| August | NaN | NaN | 0.9 | |
| Oats | June | NaN | NaN | −4.4 |
| July | −3.7 | NaN | −2.1 | |
| August | −7.2 | NaN | 1.2 | |
| Winter wheat | June | NaN | NaN | 0.9 |
| July | −5.8 | NaN | 7.9 | |
| August | −4.9 | NaN | −0.8 | |
| Rye | June | NaN | −5.9 | −1.0 |
| July | −9.6 | −4.4 | 2.2 | |
| August | −5.9 | −4.0 | −10.7 | |
| Absolute mean deviation | 5.5 | 5.5 | 3.0 |
Publisher’s Note: MDPI stays neutral with regard to jurisdictional claims in published maps and institutional affiliations. |
© 2022 by the authors. Licensee MDPI, Basel, Switzerland. This article is an open access article distributed under the terms and conditions of the Creative Commons Attribution (CC BY) license (https://creativecommons.org/licenses/by/4.0/).
Share and Cite
Yli-Heikkilä, M.; Wittke, S.; Luotamo, M.; Puttonen, E.; Sulkava, M.; Pellikka, P.; Heiskanen, J.; Klami, A. Scalable Crop Yield Prediction with Sentinel-2 Time Series and Temporal Convolutional Network. Remote Sens. 2022, 14, 4193. https://doi.org/10.3390/rs14174193
Yli-Heikkilä M, Wittke S, Luotamo M, Puttonen E, Sulkava M, Pellikka P, Heiskanen J, Klami A. Scalable Crop Yield Prediction with Sentinel-2 Time Series and Temporal Convolutional Network. Remote Sensing. 2022; 14(17):4193. https://doi.org/10.3390/rs14174193
Chicago/Turabian StyleYli-Heikkilä, Maria, Samantha Wittke, Markku Luotamo, Eetu Puttonen, Mi Sulkava, Petri Pellikka, Janne Heiskanen, and Arto Klami. 2022. "Scalable Crop Yield Prediction with Sentinel-2 Time Series and Temporal Convolutional Network" Remote Sensing 14, no. 17: 4193. https://doi.org/10.3390/rs14174193
APA StyleYli-Heikkilä, M., Wittke, S., Luotamo, M., Puttonen, E., Sulkava, M., Pellikka, P., Heiskanen, J., & Klami, A. (2022). Scalable Crop Yield Prediction with Sentinel-2 Time Series and Temporal Convolutional Network. Remote Sensing, 14(17), 4193. https://doi.org/10.3390/rs14174193

