Abstract
Polarimetric Interferometric Synthetic Aperture Radar (PolInSAR) can improve interferometric coherence and phase quality, which has good application potential. With the development of the Mini-SAR system, Unmanned Aerial Vehicle borne (UAV-borne) PolInSAR systems became a reality. However, UAV-borne PolInSAR is easily affected by air currents and other factors, which may cause large motion errors and polarization distortion inevitably exists. However, there are few pieces of research which are about motion compensation residual error (MCRE) and polarization distortion effects on PolInSAR. Though the effects of MCRE on Interferometric SAR (InSAR) and polarization distortion on PolInSAR were studied, respectively, these two parts are independently modeled and analyzed. In this paper, a model that simultaneously considers the effects of these two kinds of errors is proposed, and simulation results are given to validate the model. Then, a quantitative analysis based on a real Quadcopter UAV PolInSAR system is performed according to the model, which is valuable for system design and practical application of the UAV-borne PolInSAR system.
1. Introduction
Interferometric Synthetic Aperture Radar (InSAR) is an important technique to acquire a digital surface model (DSM) of the ground based on the phase differences of at least two complex-valued SAR images. In 1998, Cloude and Papathanassiou found that InSAR was sensitive to different polarization modes, so they combined polarization and interferometry and proposed the theory of Polarimetric Interferometric SAR (PolInSAR) [1]. Compared with InSAR, PolInSAR can improve image coherence and obtain finer interferometric fringes. Besides this, it can decrease the offset of scattering center caused by volume decorrelation. Therefore, PolInSAR has been widely applied in digital elevation model measurement and forest canopy height retrieval.
PolInSAR systems are typically carried on satellites and crewed aircraft. With the development of Mini-SAR system, Unmanned Aerial Vehicle (UAV)-borne SAR systems became a reality [2,3,4,5,6,7,8,9,10]. Recently, the Aerospace Information Research Institute of Chinese Academy of Sciences (AIRCAS) and ZhongKeYuDa company developed a Quadrotor UAV PolInSAR system successfully, with a pair of horizontal and vertical polarimetric antennas for interferometric SAR data acquisition, and conducted a flight test.
As for PolInSAR, both polarization distortion errors and interferometric errors will affect the result, so it is necessary to comprehensively analyze the error source analysis and its impact on data quality. InSAR error sources mainly include baseline error, baseline angle error, and interferometric channel phase error, whose influences on the accuracy of interferometric elevation inversion have been adequately analyzed [11,12,13]. Furthermore, Fangfang Li et al. modeled and analyzed the influence of residual error on airborne InSAR [14]. However, to the authors’ knowledge, no research has analyzed motion compensation residual error (MCRE)’s impact on PolInSAR. For the polarization error, Cloude has analyzed influence of polarization distortion on PolInSAR optimal coherence coefficient [15]. Lintao Zhang et al. put forward a model of polarization distortion impact on PolInSAR phase [16]. However, this model supposed ideal interferometric conditions, which did not consider baseline error and MCRE.
Actually, a miniaturized UAV-borne PolInSAR is easily affected by airflow, which may cause large motion errors. Meanwhile, the control and calibration level of polarization distortion may not be as good as that of large manned airborne SAR systems, because of the cost. As a result, it is necessary to quantitatively analyze the influence of MCRE and polarization distortion on PolInSAR, to support the system design and practical application. However, there is a lack of relevant analytical models and quantitative studies.
In this paper, we propose a model of MCRE and polarization distortion impact on PolInSAR. Then, we report how we verified the accuracy of the proposed model by simulation, to ensure the correctness of analysis. Based on the model, we analyze the influence of MCRE, polarization distortion, and two factors together on a real UAV PolInSAR system. Finally, a suggested range of UAV system parameters is given.
The main contributions of this paper include the following:
- (1)
- We propose a signal model for the impact of MCRE and polarization distortion on PolInSAR.
- (2)
- We analyze the effects of MCRE, polarization distortion, and the two factors together on a real UAV PolInSAR system, which obtains a range of parameters and gives reference to system design and application.
2. Methodology
2.1. Model Basis
2.1.1. PolInSAR Optimal Coherence
As for PolInSAR, we can obtain two groups of full polarized images. Each pixel in a full polarized image has a corresponding scattering matrix, S, where S is a 2 × 2 complex matrix.
Therefore, we can get two polarized scattering matrices, called and , for two pixels at the same location.
where H represents horizontal polarization, and V represents vertical polarization. The subscript HV means V transmitting and H receiving.
The scattering matrix, S, can also be written in a vector to get the polarization vector, k.
where k is a 3 × 1 complex vector.
Next, the following variables are defined:
where ‘+’ is the conjugate transpose, and ‘< >’ is the average.
In order to improve the coherence of and , the authors make the following projection:
where and are 3 × 1 complex unit vectors. Then, we need to find a group of . and to maximize the coherence of and .
The coherence is as follows:
According to the PolInSAR optimal coherence method [1], we have the following:
where and are coefficients of Lagrange, and is defined as an eigenvalue. Afterward, we get three real eigenvalues, namely , , and , and three pairs of eigenvectors, which are , , and .
From Equation (6), we see that all interferometric phase information should be contained in . Therefore, it needs to ensure the following:
where “arg” means the calculate phase. According to [17], we use:
Then, we can choose the maximum eigenvalue and its corresponding eigenvectors to generate polarimetric interferometry fringes.
where we have the following:
2.1.2. MCRE Model for InSAR
MCRE model has been established in Reference [14], and its principle is shown in Figure 1.
Figure 1.
Motion compensation residual error (MCRE) geometry diagram with target elevation error.
In Figure 1, D is the target at its real location, while A has the same slant range with D when but has a preset reference height, e.g., . MCRE is the error caused by the mismatch between the real motion error of D and the compensated motion error in processing refer to A. Therefore, the MCRE is , where we have the following:
where is the location of aircraft when , and is the motion error of the aircraft, supposing the azimuth non-uniform sampling caused by motion error has been compensated.
As for two antennas, we can get two MCREs. We use to show MCRE of antenna 1 and to represent MCRE of antenna 2.
For InSAR, we use to express the difference between two MCREs. The expression has been further approximated in Reference [14]:
where is the width of beam angle; and are, respectively, the incidence angle of antenna 1 and antenna 2; h is target elevation; B is baseline length; is the difference between range motion error of antenna 1 and 2; is the difference between platform height error of antenna 1 and 2; and is the horizontal angle of baseline. Moreover, and are calculated as follows:
where is the roll angle.
Therefore, the interferometric phase error caused by MCRE can be expressed as follows:
As for the same pixel, the interferometric phase error in the master image is and error in slave image is . If the mode of system is that one antenna transmits signal and two receive, then Q = 1. If its mode is that two send and two receive, then Q = 2.
2.1.3. Polarization Distortion on PolInSAR
The distortion model of the polarization SAR system can be written as follows [16]:
where and are crosstalk in receiving channel, and are crosstalk in transmitting channel, is channel imbalance of receiving channel, and is channel imbalance of transmitting channel.
This can be rewritten as (19), according to the reciprocity theorem [18].
where K is a system gain factor, is system phase, , and . Moreover, means scattering value of HH mode, and means HH scattering value with polarization distortion. Furthermore, matrix P can be expressed as follows:
The scattering vector, k, can be expressed as follows:
where , .
For scattering vector with distortion error, we have the following:
where Z is the distortion matrix, and .
At last, we obtain the expression of PolInSAR phase error caused by polarization distortion [15].
PolInSAR optimal phase error is affected by distortion matrix Z and eigenvector v, which represents the scattering mechanism. The expression of v is the same as (8). When is gradually close to a unit matrix, the PolInSAR phase error will become smaller.
2.2. The Model of MCRE and Polarization Distortion on PolInSAR
2.2.1. Improved PolInSAR Error Transfer Model
After modifying the model in Section 2.1.3, we can get a model of MCRE and polarization distortion impact on PolInSAR. The distortion model of the system can be rewritten as follows:
where E is the matrix of interferometric phase error.
, , and are separately interferometric phase error of HH, HV, and VV in part A.
Therefore, scattering vector with MCRE and polarization distortion can be written as follows:
where is distortion matrix and .
Compared with P, matrix E*P multiples a phase error on each row. As for different polarization modes (HH, HV, and VV), their differences are only in incidence angles caused by different heights of antenna H and V. Actually, the distance between antenna H and V is very small, and our system’s distance is 0.02 m. When the target elevation is 50 m, the interferometric phase among different polarization modes is only 0.003°. Therefore, we can consider .
Therefore, the expression of matrix EP can be approximated as follows:
According to Reference [16], when polarization crosstalk is lower than −34 dB, optimal PolInSAR phase error is less than 0.05°. Therefore, we can suppose that the influence of crosstalk can be ignored.
If the polarization crosstalk is ideal, it means . Then, matrix E*P can be simplified as follows:
The distortion matrix with error is as follows:
As for the same pixel, if interferometric phase error in the master image is and error in slave image is , we can get .
Take (31) into (23), and the polarimetric interferometry phase error is as follows:
where , , , and . The expression of v is the same as (8).
If polarimetric distortion is not considered, which means , we can get from (32). Since , .
Therefore, the interferometric phase error does not change after polarimetric interferometry if polarimetric distortion is not considered. It also means that MCRE has the same effect on InSAR and PolInSAR.
In order to simplify the expression, we suppose , , then
Next, we define . If we just consider the eigenvectors which correspond to the biggest eigenvalue, we can define the eigenvectors as , . Then f can be written as follows:
where , , can be expressed as follows:
where “+” is conjugate transpose.
The polarimetric interferometry phase error is as follows:
2.2.2. Effects of Baseline
In this section, we consider the influence of baseline difference on interferometric phase error among different polarization modes.
In the UAV system we use, antenna H is placed above antenna V, where their distance d is 0.02 m. If we suppose the baseline length of HH is B, then the baseline length of VV is also B. As for HV and VH, their baseline can be expressed in Figure 2.
Figure 2.
Baseline among different polarization modes.
From the geometry relationship in Figure 2, we can obtain the baseline length . If , then . Because we use antenna 1 as a reference, the phase error of antenna 1 does not contain the baseline, and it is also shown in (13). Therefore, the phase error of antenna 1 does not change. Though the phase error of antenna 2 contains the baseline, the baseline of HH and VV is still B and their phase errors do not change. Only the baseline of HV in antenna 2 is .
Matrix E can be rewritten as follows:
where and . ,, and represent the phase errors of HH, HV, and VV of antenna 1. , , and represent the phase errors of HH, HV, and VV of antenna 2.
After calculating, we get , , and . In antenna 2, the difference between HV and HH is about 0.03°. Therefore, we can suppose . Therefore, it means that the baseline difference between HH and HV can be ignored.
3. Results
3.1. Simulation
3.1.1. System Parameters and Simulation Method
The simulation was carried out by employing the parameters of a practical UAV-borne PolInSAR system developed by ZhongKeYuDa company and AIRCAS. This system works in the Ku band and it is shown in Figure 3. Besides, the system parameters are shown in Table 1.
Figure 3.
Illustration of the Unmanned Aerial Vehicle (UAV)-borne Polarimetric Interferometric Synthetic Aperture Radar (PolInSAR).
Table 1.
Parameters of the UAV system.
The imaging geometry of UAV-borne PolInSAR system is shown in Figure 4. The horizontal direction is range direction, and the vertical direction is azimuth direction. The irradiation range of UAV is from near range to far range.
Figure 4.
UAV-borne PolInSAR imaging geometry.
While imaging, the roll angle of UAV is −2°, incidence angle to the simulated target is 71.72°, and the target‘s elevation is 50 m. The distance between antenna H and V is 0.02 m.
A small area of a stadium lawn of this UAV-borne PolInSAR image was chosen for simulations, and it is shown in the rectangular box in Figure 5a, whose size is 513 × 49. Then, the PolInSAR echo data were simulated by convoluting this polarized complex image with the echo signal from a point target. Here, the echo signal from a point target was calculated, considering the InSAR antenna positions and the motion error. Moreover, we used the classical Chirp Scaling algorithm to obtain a focused image, which is shown in Figure 5b. We use HH echo as an example.
Figure 5.
(a) SAR Image of a stadium lawn. (b) Amplitude of HH echo of a surface target.
3.1.2. Verification of PolInSAR Model with MCRE and Polarization Distortion
In order to verify the model of Section 2.2, we suppose that the channel imbalance of amplitude and phase is and 20°, respectively.
At first, we simulate the ideal PolInSAR images without considering motion error and polarization distortion. Then the images considering both of the two kinds of errors are derived. The PolInSAR phase error is obtained by subtracting the phase of two simulations.
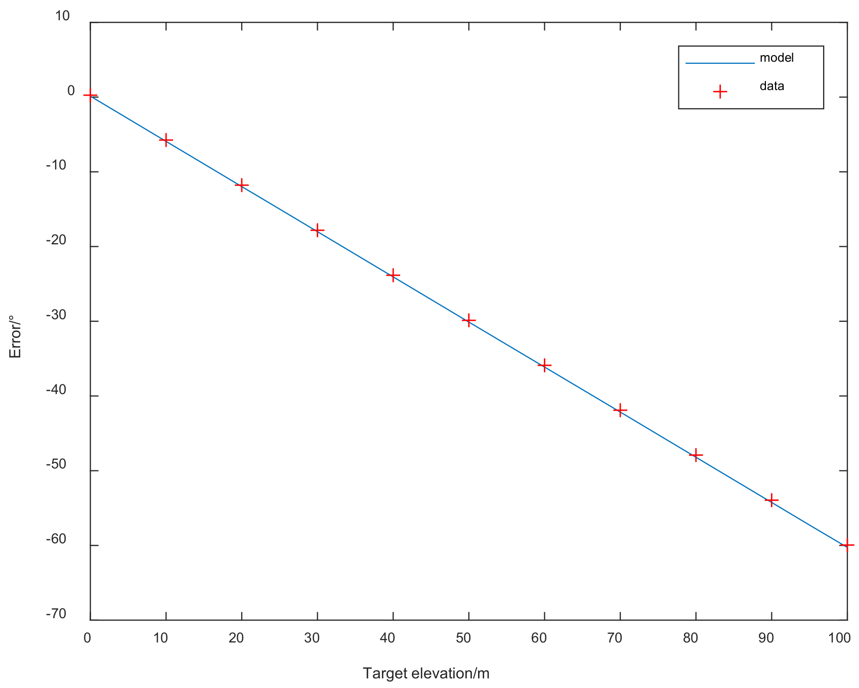
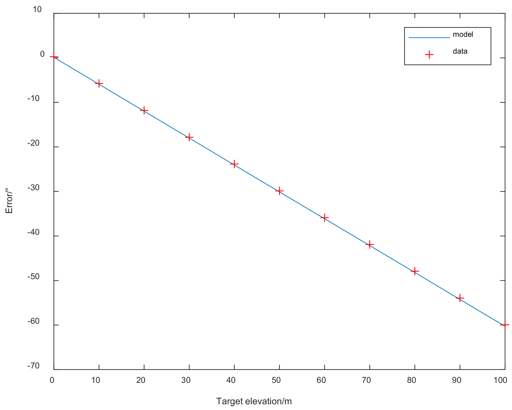
Besides this, Formula (32) is used to calculate the polarimetric interferometry phase error and we get PolInSAR phase error of model. The PolInSAR phase error of different target elevations is shown in Figure 6.
Figure 6.
The calculated polarimetric interferometry phase error, using the proposed model.
The blue line presents PolInSAR phase error calculated from the proposed model, and the red points present the phase error of simulated UAV-borne PolInSAR images.
From Figure 5, we can see that phase error difference between the proposed model and the practical PolInSAR data is about 0.3°, which means that that the proposed model is almost in accordance with the simulated result. Therefore, the correctness of the model is verified.
3.2. Effects of Different Factors on PolInSAR Phase
In this section, the effects of different factors on PolInSAR are analyzed according to the proposed model of formula (36).
We suppose that the target elevation is 50 m. For the other parameters, we use real parameters of the UAV-borne system, whose range motion error is 0.07 m, roll angle is −2 degrees, and platform height error is 0.03 m.
3.2.1. Effects of MCRE on PolInSAR
In this section, we use Equation (17) to calculate MCRE and Equation (36) to calculate errors. For the system parameters, we mainly consider the effects of these four factors, including target elevation , range motion error , roll angle , and platform height error .
The influence of these four factors on PolInSAR phase error is shown in Figure 7. The error is calculated by averaging the errors of the image. In Figure 7, we fix three of the parameters and vary the fourth in each of plots. The fourth parameter is target elevation, range motion error, roll angle, and platform height error.
Figure 7.
(a) Influence of target elevation. (b) Influence of range motion error. (c) Influence of roll angle. (d) Influence of platform height error.
From Figure 7a, we can see that, when the target elevation is 50 m, the PolInSAR phase error is about −30°. Figure 7b shows that the range motion error of 0.3 m will result in a phase error increase of . In Figure 7c, when roll angle is −2°, the phase error is about −30°. In Figure 7d, when the platform height error is 0.3 m, the phase error increase is about 0.5°.
Therefore, it can be derived that the target elevation and roll angle of UAV are the main influencing factors on polarimetric interferometric phase. Platform height error and range motion error have a small influence. Here we need to explain that the range motion error has almost the same influence on two antennas, so it has a small influence on the polarimetric interferometric phase.
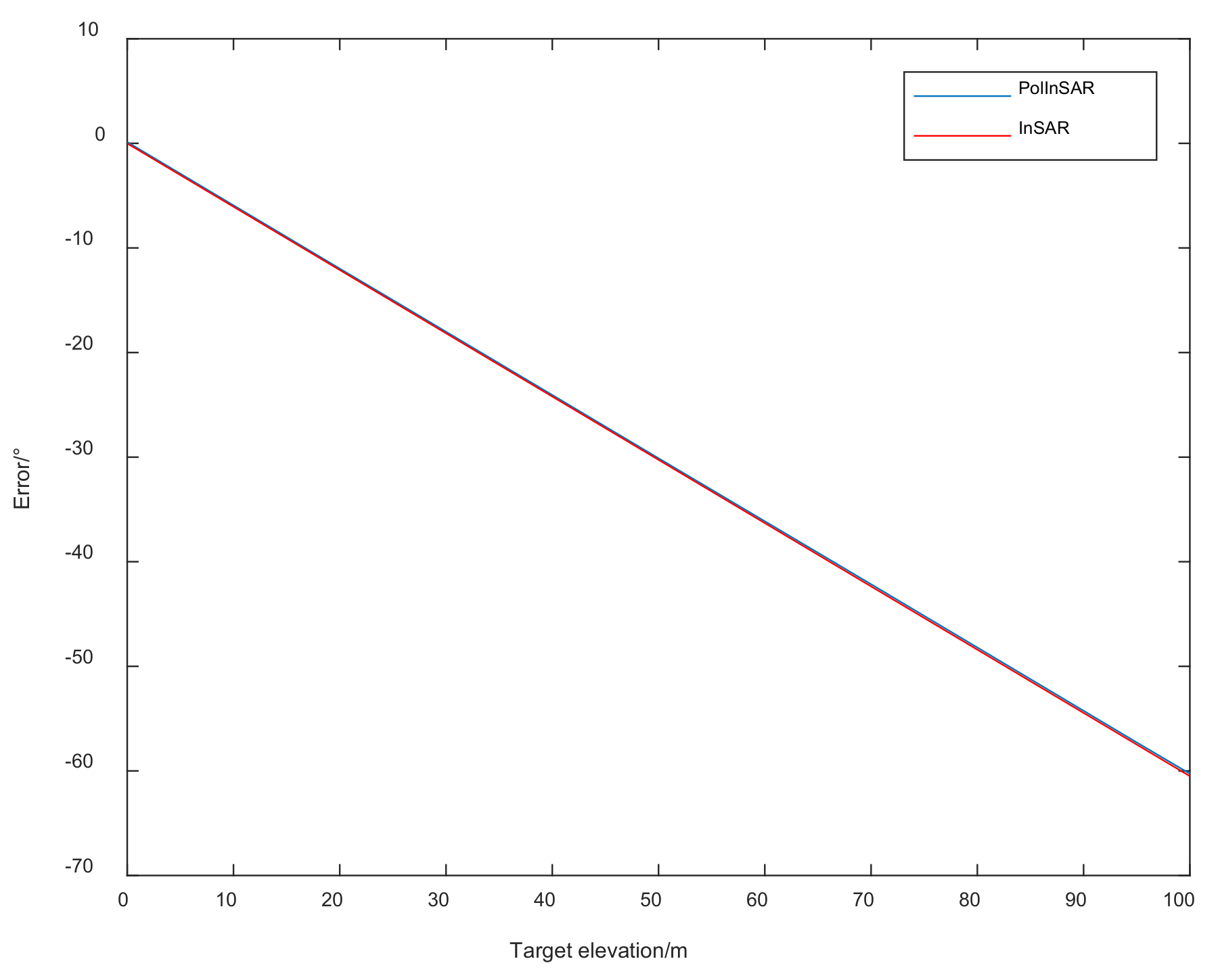
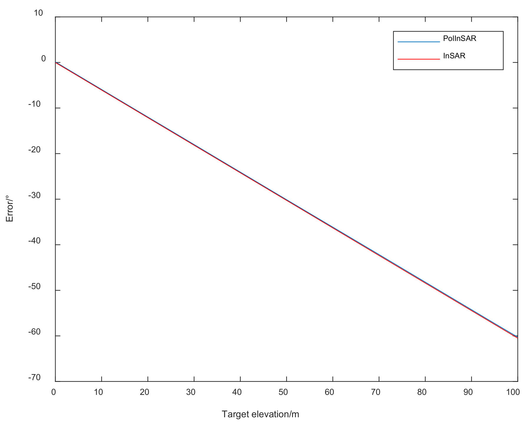
Furthermore, we compared the influence of MCRE on InSAR and PolInSAR, and the results are shown in Figure 8. We still use target elevation as an example. For InSAR, we use HH polarization channel to represent it.
Figure 8.
Influence of MCRE on InSAR and PolInSAR.
From Figure 8, the influence of MCRE on InSAR and PolInSAR is almost the same. Therefore, we can conclude that MCRE has the same effect on InSAR and PolInSAR. This conclusion is also consistent with the conclusion of our model in Section 2.2.
3.2.2. Effects of Polarization Distortion on PolInSAR
In this section, we use Equation (23) to calculate errors caused by distortion.
According to the analysis of Section 2.2, the influence of crosstalk can be ignored. Therefore, we suppose that there is no crosstalk and , which means we only consider the influence of channel imbalance, including amplitude imbalance and phase imbalance.
For amplitude imbalance, we suppose , . Moreover, for phase imbalance, we suppose and . It indicates that only the influence of transmitting channel imbalance is considered. The results are shown in Figure 9, and the error is calculated by averaging the errors of the image.
Figure 9.
(a) Influence of amplitude imbalance on PolInSAR phase. (b) Influence of phase imbalance on PolInSAR phase.
In Figure 9a, it can be seen that an amplitude imbalance of 4 dB will lead to a phase error increase of 0.5°, compared to a 0 dB amplitude imbalance. Figure 9b shows that phase an imbalance of 60° will result in a 0.1° phase error increase, compared to a phase imbalance.
Therefore, channel imbalance has a small influence on PolInSAR, and amplitude imbalance is the main factor. When amplitude imbalance is lower than 1 dB and phase imbalance is lower than 10°, the PolInSAR phase error will be less than 0.1°.
3.2.3. Effects of MCRE and Polarization Distortion on PolInSAR
In this section, we add all error factors, to analyze PolInSAR phase errors. Channel imbalance is 2 dB/20°, target elevation is 50 m, and InSAR phase error is −30.25°. The results are shown in Figure 10.
Figure 10.
(a) Histogram of PolInSAR phase error. (b) Histogram of PolInSAR coherence.
Figure 10a shows the histogram of PolInSAR phase error. The black curve, blue curve, and red curve respectively represent the phase error caused by MCRE, polarization distortion, and these two factors.
We can see that the PolInSAR phase error caused by distortion is small, and the average value is close to zero, while the average of PolInSAR phase error caused by MCRE is about −30°. When considering both MCRE and distortion, the average phase error is still about −30°. It shows that MCRE is the main factor of PolInSAR phase error and polarization distortion has a small influence on PolInSAR. From another perspective, we can conclude that MCRE and polarization distortion have an independent influence on the results.
Figure 10b shows the histogram of PolInSAR coherence. The blue curve means coherence of ideal PolInSAR without any error. The green curve represents coherence considering MCRE. The black curve represents coherence of polarization distortion. The red curve means coherence with both MCRE and polarization distortion.
In Figure 10b, all the curves are almost the same, which indicates that PolInSAR coherence is almost not affected by MCRE and polarization distortion. This conclusion is reasonable because the change of MCRE is not severe in a small area and polarization has a small influence on PolInSAR.
In order to show the advantage of PolInSAR, we compare the results of PolInSAR and InSAR. The coherence of InSAR and PolInSAR is shown in Figure 11. We use coherence of HH polarization channel without any error, to represent InSAR.
Figure 11.
(a) Coherence of ideal InSAR (HH). (b) Coherence of PolInSAR with MCRE and polarization distortion.
The coherence histograms of InSAR and PolInSAR is also shown in Figure 12.
Figure 12.
Histogram of coherence.
It is evident that the effect of MCRE on the coherence of InSAR phase is also very slight. Compared to InSAR, PolInSAR can greatly increase the coherence even with two kinds of errors. This is the main advantage of the PolInSAR technique. Therefore, the accuracy of PolInSAR measurement results can be improved.
3.3. UAV PolInSAR System Parameters Suggestion
In order to draw a figure to show the relationship between PolInSAR phase error and UAV system parameters, we fixed the platform height error, and its value is 0.03 m. Figure 13 is presented to show their influences, to provide a reference to UAV system design.
Figure 13.
Polarimetric interferometry phase error.
In Figure 13, the x-axis represents the roll angle, the y-axis represents target elevation, and the z-axis represents range motion error. The value of the figure represents PolInSAR phase error. From the figure, we can give a suggestion of value range as an example.
According to the height measurement of InSAR, if the accuracy of tree height measurement is 1 m, the PolInSAR phase error should be less than 6°. Therefore, when the target elevation is over 50 m and range motion error is 0.05 m, the roll angle should be lower than 0.5°.
4. Discussions
4.1. Effects of MCRE on PolInSAR
According to Section 2.2, MCRE has the same influence on InSAR and PolInSAR, which means an MCRE analysis on InSAR is also suitable for PolInSAR.
As for InSAR, References [11,13] analyzed the effects of several parameters, and Reference [14] analyzed some other parameters. We analyzed parameters including target elevation, roll angle, range motion error, and baseline differences among four polarization modes. The results show that target elevation error and roll angle error are the main influencing factors of MCRE. Therefore, we should use different UAV parameters according to different height targets, to ensure the quality of SAR imaging.
4.2. Effects of Polarization Distortion on PolInSAR
Reference [16] used a line of SAR data from the image and analyzed the effects of polarization distortion on PolInSAR. They used a line to show the influence but not the whole image, because different pixels in PolInSAR have different projection directions and it may cause large errors in a few pixels. If the whole image is used, the maximum error will be 360°, and the minimum error will be 0. Then, the error curve will become a straight line, and error analysis will be meaningless. Therefore, they choose a line whose error is stable, to show the influence caused by polarization distortion.
In this study, we used the error of the whole image and use the mean error to represent the “Polarimetric interferometric phase error”. Therefore, we could avoid the problem that the maximum of error becomes 2*pi.
4.3. Effects of MCRE and Polarization Distortion on PolInSAR
No one has combined MCRE and polarization distortion in PolInSAR before, so we propose a model to analyze the effects. According to Section 2.2, MCRE and polarization distortion have an independent influence on results. It means that the effects of MCRE are superimposed on the effects of polarization distortion. MCRE can be superimposed because it basically remains the same in a small area.
Furthermore, we could not acquire real polarimetric interferometric phase. It is different from target height, because real target height can be measured by laser radar, but polarimetric interferometric phase is an intermediate variable, and it cannot be measured by any equipment. Therefore, we used a semi-physical simulation to generate a surface target of a PolInSAR system, and we used its scattering value as the real value.
5. Conclusions
The PolInSAR technique can be widely used in many fields, due to its capability of coherence optimization. Consequently, it is very critical to perform the deep analysis of the effects of different factors on PolInSAR coherence in order to guide system design and improve the application potential, especially for the UAV-borne systems.
In this paper, a novel phase error analysis model of PolInSAR is proposed, which considers the influence of both MCRE and polarization distortion. Then the correctness of the model is validated by exploring the simulation data.
According to the model, a quantitative analysis based on the UAV PolInSAR system was performed.
For the influence of MCRE on PolInSAR, target elevation and roll angle of UAV are the main factors. Platform height has a small influence on MCRE, and the influence of range motion error can be ignored. Besides this, MCRE has the same effect on InSAR and PolInSAR, and it is the same as our derivation.
For polarization distortion, amplitude imbalance is the main factor, and the influence of phase imbalance can be ignored. When amplitude imbalance is lower than 1 dB and phase imbalance is lower than 10°, PolInSAR phase error can be less than 0.1°.
For two factors on PolInSAR, the analysis indicates that MCRE is the main factor of PolInSAR phase error, while polarization distortion has a small influence. From another perspective, we can conclude that MCRE and polarization distortion have an independent influence on results. Moreover, MCRE and distortion only result in a slight coherence decrease of PolInSAR.
Based on the analysis result, a suggested value range of UAV system parameters is given to support the future UAV-borne PolInSAR system design.
Author Contributions
Conceptualization, Z.L., X.Q. and C.D.; methodology, Z.L., X.Q. and F.L.; software, Z.L.; validation, Z.L.; writing—original draft preparation, Z.L.; writing—review and editing, Z.L., X.Q., F.L. and C.D.; project administration, X.Q. and C.D.; funding acquisition, X.Q. All authors have read and agreed to the published version of the manuscript.
Funding
This research was funded by The National Natural Science Foundation of China, grant number Y910490J10.
Data Availability Statement
Data available on request due to restrictions eg privacy or ethical. The data presented in this study are available on request from the corresponding author. The data are not publicly available because it belongs to the funding.
Acknowledgments
We thank Yao Cheng for imaging the UAV data.
Conflicts of Interest
The authors declare no conflict of interest.
References
- Cloude, S.R.; Papathanassiou, K.P. Polarimetric SAR Interferometry. IEEE Trans. Geosci. Remote Sens. 1998, 36, 1551–1565. [Google Scholar] [CrossRef]
- Remy, M.A.; de Macedo, K.A.; Moreira, J.R. The first UAV-based P- and X-band interferometric SAR system. In Proceedings of the 2012 IEEE International Geoscience and Remote Sensing Symposium, Munich, Germany, 22–27 July 2012. [Google Scholar]
- Xugang, G.; Yanmei, Y. Design and Realization of UAV High Resolution Miniature SAR. Radar Sci. Technol. 2014, 12, 35–38. [Google Scholar]
- Yanfei, W.; Chang, L.; Xueli, Z.; Song, H. Technology and Applications of UAV Synthetic Aperture Radar. J. Radars 2016, 5, 333–349. [Google Scholar]
- Samczyński, P. Applications of a Modern micro-SAR System for Small UAV Operations (From Active to Passive SAR Technology). In Proceedings of the 2018 19th International Radar Symposium (IRS), Bonn, Germany, 20–22 June 2018. [Google Scholar]
- Qiuju, L. An overview of Unmanned Airborne Miniature SAR’s Development. Digit. Technol. Appl. 2019, 37, 197–199. [Google Scholar]
- Cuerda, J.M.; González, M.J.; Gómez, B.; Larrañaga, J.R.; Garcia, M. INTA’s developments for UAS and small platforms: QUASAR. In Proceedings of the 2009 IEEE International Geoscience and Remote Sensing Symposium, Cape Town, South Africa, 12–17 July 2009. [Google Scholar]
- Shiroma, G.; de Macedo, K.A.C.; Wimmer, C.; Moreira, J.; Fernandes, D. The Dual-Band PolInSAR Method for Forest Parametrization. IEEE J. Sel. Top. Appl. Earth Obs. Remote Sens. 2016, 9, 3189–3201. [Google Scholar] [CrossRef]
- Yanfei, W.; Chang, L.; Xueli, Z.; Heping, L. An Ultrafine Multifunctional Unmanned Aerial Vehicle SAR System. J. Electron. Inf. Technol. 2013, 35, 1569–1574. [Google Scholar]
- Technological Regulation of Operation Flight with Unmanned Aerial Vehicle System. Available online: http://www.doc88.com/p-9883864636638.html (accessed on 29 January 2021).
- Zhongchang, S.; Huadong, G.; Xinwu, L.; Mengmei, J. Error analysis of DEM derived from airborne single-pass interferometric SAR data. In Proceedings of the 2011 IEEE International Geoscience and Remote Sensing Symposium, Vancouver, BC, Canada, 24–29 July 2011. [Google Scholar]
- Shuyuan, Z.; Defeng, G.; Yi, B.; Dongyun, Y. Error analysis for the baseline estimation and calibration of distributed InSAR satellites. In Proceedings of the 2016 IEEE International Geoscience and Remote Sensing Symposium, Beijing, China, 10–15 July 2016. [Google Scholar]
- Qiangqiang, S. InSAR DEM Accuracy Analysis and Quantitative Evaluation. Master’s Thesis, Xidian University, Xi’an, China, 2018. [Google Scholar]
- Fangfang, L. Research on Key Technology of Airborne InSAR Data Processing in Moutainous Areas. Ph.D. Thesis, Institute of Electronics, Chinese Academy of Sciences, Beijing, China, 2013. [Google Scholar]
- Cloude, S.R. Calibration Requirements for Forest Parameter Estimation Using POLinSAR; AEL Consultants: Cupar, Scotland, UK, 2002; pp. 151–158. [Google Scholar]
- Lintao, Z.; Jun, H.; Feng, M. Study on the Impact of Polarimetric Error on Optimal Coherence Phase of PolInSAR. J. Electron. Inf. Technol. 2011, 33, 412–417. [Google Scholar]
- Home Page of Motoyuki Sato. Available online: http://cobalt.cneas.tohoku.ac.jp/users/sato/10%20POL_InSAR.pdf (accessed on 24 July 2019).
- Ainsworth, L.; Ferro-Faxail, L.; Lee, J.-S. Orientation angle preserving a posteriori polarimetric SAR calibration. IEEE Trans. Geosci. Remote Sens. 2006, 44, 994–1003. [Google Scholar] [CrossRef]
Publisher’s Note: MDPI stays neutral with regard to jurisdictional claims in published maps and institutional affiliations. |
© 2021 by the authors. Licensee MDPI, Basel, Switzerland. This article is an open access article distributed under the terms and conditions of the Creative Commons Attribution (CC BY) license (http://creativecommons.org/licenses/by/4.0/).












