Conversion of Natural Wetland to Farmland in the Tumen River Basin: Human and Environmental Factors
Abstract
:1. Introduction
2. Materials and Methods
2.1. Study Area
2.2. Data Source
2.3. Methods
2.3.1. Establish Land Use and Land Cover Classification System and Its Information Extraction
2.3.2. Analysis of Driving Factors
3. Results
3.1. Distribution of Natural Wetland and Farmland in Tumen River Basin from 1986 to 2016
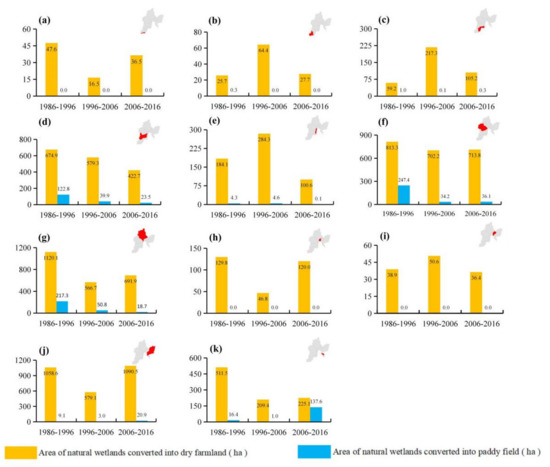
3.2. Spatial and Temporal Changes of Natural Wetlands Converted into Farmland
3.3. Spatial and Temporal Changes in Farmland Converted into Natural Wetlands
4. Discussion
4.1. Mapping Natural Wetlands and Farmland Based on Remote Sensing
4.2. The Driving Forces for the Conversion of Natural Wetlands into Farmland in the TRB
4.3. Implications of Natural Wetland Management
4.4. Future Perspectives
5. Conclusions
Author Contributions
Funding
Institutional Review Board Statement
Informed Consent Statement
Data Availability Statement
Acknowledgments
Conflicts of Interest
References
- Mao, D.H.; Wang, Z.M.; Wu, J.G.; Wu, B.F.; Zeng, Y.; Song, K.S.; Yi, K.P.; Luo, L. China’s wetlands loss to urban expansion. Land Degrad. Dev. 2018, 29, 2644–2657. [Google Scholar] [CrossRef]
- Xue, Z.S.; Zou, Y.C.; Zhang, Z.S.; Lyu, X.G.; Jiang, M.; Wu, H.T.; Liu, X.H.; Tong, S.Z. Reconstruction and future prediction of the distribution of wetlands in China. Earth’s Future 2018, 6, 1491–1629. [Google Scholar] [CrossRef]
- Zou, Y.C.; Duan, X.; Xue, Z.S.; E, M.; Sun, M.Y.; Lv, X.G.; Jiang, M.; Yu, X.F. Water use conflict between wetland and agriculture. J. Environ. Manag. 2018, 224, 140–146. [Google Scholar] [CrossRef]
- Yu, X.F.; E, M.Y.; Sun, M.Y.; Xue, Z.S.; Lu, X.G.; Jiang, M.; Zou, Y.C. Wetland recreational agriculture: Balancing wetland conservation and agro-development. Environ. Sci. Policy 2018, 87, 11–17. [Google Scholar] [CrossRef]
- Vanessa, R.; Virgilio, H.; Hamilton, S.K.; Douglas, W.; Etienne, F.C.; Bernhard, L.; Simon, L. A Global assessment of inland wetland conservation status. Bioence 2017, 67, 523–533. [Google Scholar]
- Davidson, N.C.; Finlayson, C.M. Extent, regional distribution and changes in area of different classes of wetland. Mar. Freshw. Res. 2018, 69, 1525–1533. [Google Scholar] [CrossRef] [Green Version]
- Jia, P.; Jin, W. The situation, problems and countermeasures surrounding wetland protection legislation in China. Resour. Sci. 2017, 39, 795–804. [Google Scholar]
- Mao, D.H.; Luo, L.; Wang, Z.M.; Wilson, M.C.; Zeng, Y.; Wu, B.F.; Wu, J.G. Conversions between natural wetlands and farmland in China: A multiscale geospatial analysis. Sci. Total Environ. 2018, 634, 550–560. [Google Scholar] [CrossRef]
- Meng, B.; Liu, J.-l.; Bao, K.; Sun, B. Water fluxes of Nenjiang River Basin with ecological network analysis: Conflict and coordination between agricultural development and wetland restoration. J. Clean. Prod. 2019, 213, 933–943. [Google Scholar] [CrossRef]
- Li, D.; Tian, P.; Luo, Y.; Dong, B.; Cui, Y.; Khan, S. Importance of stopping groundwater irrigation for balancing agriculture and wetland ecosystem. Ecol. Indic. 2021, 127, 107747. [Google Scholar] [CrossRef]
- Mirzaei, A.; Zibaei, M. Water conflict management between agriculture and wetland under climate change: Application of economic-hydrological-behavioral modelling. Water Resour. Manag. 2021, 35, 1–21. [Google Scholar] [CrossRef]
- Tian, Y.L.; Luo, L.; Mao, D.H.; Wang, Z.M.; Li, L.; Liang, J.P. Using Landsat images to quantify different human threats to the Shuangtai Estuary Ramsar site, China. Ocean Coast. Manag. 2017, 135, 56–64. [Google Scholar] [CrossRef]
- Niu, Z.G.; Gong, P.; Cheng, X. Wetland remote sensing mapping and geographical characteristics analysis in China. Sci. China Ser. D Earth Sci. 2009, 39, 188–203. [Google Scholar]
- Niu, Z.G.; Zhang, H.Y.; Wang, X.W.; Yao, W.B.; Zhou, D.M.; Zhao, K.Y.; Zhao, H.; Li, N.N.; Huang, H.B.; Li, C.C. Mapping wetland changes in China between 1978 and 2008. China Sci. Bull. 2012, 57, 2813–2823. [Google Scholar] [CrossRef] [Green Version]
- Chen, G.; Bu, K. Wetland extraction method combined with Sentinel-2 and AW3D30 data. Bull. Surv. Mapp. 2020, 0, 19–22. [Google Scholar] [CrossRef]
- Meisam, A.; Sahel, M.; Olivier, B. Supervised wetland classification using high spatial resolution optical, SAR, and LiDAR imagery. J. Appl. Remote Sens. 2020, 14, 024502. [Google Scholar] [CrossRef]
- Zhang, X.; Xu, J.; Chen, Y.; Xu, K.; Wang, D. Coastal wetland classification with GF-3 polarimetric SAR imagery by using object-oriented random forest algorithm. Sensors 2021, 21, 3395. [Google Scholar] [CrossRef] [PubMed]
- Maleki, S.; Soffianian, A.R.; Koupaei, S.S.; Baghdadi, N.; El-Hajj, M.; Sheikholeslam, F.; Pourmanafi, S. Wetland restoration prioritization using artificial neural networks. Wetlands 2020, 40, 179–192. [Google Scholar] [CrossRef]
- Geng, R.; Jin, S.; Fu, B.; Wang, B. Object-based wetland classification using multi-feature combination of ultra-high spatial resolution multispectral images. Can. J. Remote Sens. 2020, 46, 784–802. [Google Scholar] [CrossRef]
- He, Z.; Shi, Q.; Liu, K.; Cao, J.; Zhan, W.; Cao, B. Object-oriented mangrove species classification using hyperspectral data and 3-D Siamese residual network. IEEE Geosci. Remote Sens. Lett. 2020, 17, 2150–2154. [Google Scholar] [CrossRef]
- Mao, D.H.; Wang, Z.M.; Du, B.J.; Li, L.; Tian, Y.L.; Jia, M.M.; Zeng, Y.; Song, K.S.; Jiang, M.; Wang, Y.Q. National wetland mapping in China: A new product resulting from object-based and hierarchical classification of Landsat 8 OLI images. ISPRS J. Photogramm. Remote Sens. 2020, 164, 11–25. [Google Scholar] [CrossRef]
- Tian, Y.L.; Jia, M.M.; Wang, Z.M.; Mao, D.H.; Du, B.J.; Wang, C. Monitoring invasion process of Spartina alterniflora by seasonal Sentinel-2 imagery and an object-based random forest classification. Remote Sens. 2020, 12, 1383. [Google Scholar] [CrossRef]
- Jia, M.M.; Mao, D.H.; Wang, Z.M.; Ren, C.Y.; Zhu, Q.D.; Li, X.C.; Zhang, Y.Z. Tracking long-term floodplain wetland changes: A case study in the China side of the Amur River Basin. Int. J. Appl. Earth Obs. Geoinf. 2020, 92, 102185. [Google Scholar] [CrossRef]
- Zhang, Y.; Jin, R.; Zhu, W.; Zhang, D.; Zhang, X. Impacts of land use changes on wetland ecosystem services in the Tumen River Basin. Sustainability 2020, 12, 9821. [Google Scholar] [CrossRef]
- Zheng, X.J.; Sun, P.; Zhu, W.H.; Xu, Z.; Fu, J.; Man, W.D.; Li, H.L.; Zhang, J.; Qin, L. Landscape dynamics and driving forces of wetlands in the Tumen River Basin of China over the past 50 years. Landsc. Ecol. Eng. 2017, 13, 237–250. [Google Scholar] [CrossRef]
- Jin, J.H. Exploration of the Modern Korean and the Rice Culture in Jilin Area; Jilin University: No.2699 Qianjin Street Changchun City, China, 2012. [Google Scholar]
- Nan, Y.; Ji, Z.; Dong, Y.H.; Ni, X.J. Study of land use/cover dynamic change in Tumen River across national border region during the last 30 years. J. Nat. Sci. Hunan Norm. Univ. 2012, 35, 82–89. [Google Scholar]
- Zhu, W.H.; Miao, C.Y.; Zheng, X.J.; Cao, G.L.; Wang, F.F. Study on ecological safety evaluation and warning of wetlands in Tumen River watershed based on 3S technology. Acta Ecol. Sin. 2014, 34, 1379–1390. [Google Scholar]
- Jin, Y.H.; Liu, X.P.; Chen, Y.M.; Liang, X. Land-cover mapping using random forest classification and incorporating NDVI time-series and texture: A case study of central Shandong. Int. J. Remote Sens. 2018, 39, 1102–1124. [Google Scholar] [CrossRef]
- Ma, L.; Schmitt, M.; Zhu, X. Uncertainty analysis of object-based land-cover classification using Sentinel-2 time-series data. Remote Sens. 2020, 12, 3798. [Google Scholar] [CrossRef]
- Liu, J.T.; Feng, Q.L.; Gong, J.H.; Zhou, J.P.; Li, Y. Land-cover classification of the Yellow River Delta wetland based on multiple end-member spectral mixture analysis and a random forest classifier. Int. J. Remote Sens. 2016, 37, 783–802. [Google Scholar] [CrossRef]
- Jia, K.; Liu, J.C.; Tu, Y.X.; Li, Q.Z.; Sun, Z.W.; Wei, X.Q.; Yao, Y.J.; Zhang, X.T. Land use and land cover classification using Chinese GF-2 multispectral data in a region of the North China Plain. Front. Earth Sci. 2019, 13, 327–335. [Google Scholar] [CrossRef]
- Rosalind, K.H.; Marie-Therese, P.; Markus, N.; Graeme, D.R. Underestimation of Pearson’s product moment correlation statistic. Oecologia 2018, 189, 1–7. [Google Scholar] [CrossRef] [Green Version]
- Edelmann, D.; Móri, T.F.; Székely, G.J. On relationships between the Pearson and the distance correlation coefficients. Stat. Probab. Lett. 2021, 169, 108960. [Google Scholar] [CrossRef]
- Xiang, H.X.; Jia, M.M.; Wang, Z.M.; Li, L.; Mao, D.H.; Zhang, D.; Cui, G.S.; Zhu, W.H. Impacts of land cover changes on ecosystem carbon stocks over the Transboundary Tumen River Basin in Northeast Asia. China Geogr. Sci. 2018, 28, 973–985. [Google Scholar] [CrossRef] [Green Version]
- Yu, H.N.; Li, L.; Zhu, W.H.; Piao, D.F.; Cui, G.S.; Kim, M.; Jeon, S.W.; Lee, W.-K. Drought monitoring of the wetland in the Tumen River Basin between 1991 and 2016 using Landsat TM/ETM+. Int. J. Remote Sens. 2018, 40, 1445–1459. [Google Scholar] [CrossRef]
- Lu, C.; Ren, C.; Wang, Z.; Zhang, B.; Man, W.; Yu, H.; Gao, Y.; Liu, M. Monitoring and assessment of wetland loss and fragmentation in the cross-boundary protected area: A case study of Wusuli River Basin. Remote Sens. 2019, 11, 2581. [Google Scholar] [CrossRef] [Green Version]
- Wang, X. Determinants on population migration of Yanbian Koreans. Popul. J. 2011, 2, 69–74. [Google Scholar]
- Zhang, C.; Neubauer, F.; Liu, Z.-H.; Cui, F.-H.; Guan, Q.-B. Final-Stage Magmatic record of paleo-Asian oceanic subduction? Insights from late Permian to early Triassic intrusive rocks in the Yanbian area, Easternmost Central Asian Orogenic Belt. Minerals 2020, 10, 799. [Google Scholar] [CrossRef]
- Zhao, J. Research on the migration of surplus labor force of the Korean ethnic group in China. Mod. Commun. 2012, 11, 19. [Google Scholar]
- Zheng, Y.M.; Zhang, H.Y.; Niu, Z.G.; Gong, P. Protection efficacy of national wetland reserves in China. Sci. Bull. 2012, 57, 1116–1134. [Google Scholar] [CrossRef] [Green Version]
- Guo, B.H.; Li, Y.J. Current situation of wetland conservation and management in Jilin Province of China. China J. Wildl. 2013, 34, 370–373. [Google Scholar]
- Liu, Y.G.; Yuan, F.H.; Wang, A.Z.; Wu, J.B.; Zheng, X.B.; Yin, H.; Guan, D.X. Characteristics of climate change in Changbai Mountain ecological functional area, Northeast China. China J. Appl. Ecol. 2019, 30, 1503–1512. [Google Scholar]
- Northeast China Tiger and Leopard National Park. Available online: http://hubaogy.cn/index/news/show/id/47.html (accessed on 9 September 2020).
- Yang, H.T.; Zhao, X.D.; Han, B.Y.; Wang, T.M.; Mou, P.; Ge, J.P.; Feng, L.M. Spatiotemporal patterns of Amur leopards in northeast China: Influence of tigers, prey, and humans. Mamm. Biol. 2018, 92, 120–128. [Google Scholar] [CrossRef]
- Jeelani, N.; Yang, W.; Xia, L.; Zhu, H.L.; An, S. Ecosystem threats and management strategies for wetlands in China. Mar. Freshw. Res. 2020, 71, 1557–1563. [Google Scholar] [CrossRef]
- Liu, W.W.; Guo, Z.L.; Jiang, B.; Lu, F.; Wang, H.N.; Wang, D.; Zhang, M.Y.; Cui, L.J. Improving wetland ecosystem health in China. Ecol. Indic. 2020, 113, 106184. [Google Scholar] [CrossRef]








| Sensor | Orbit Number | Imaging Time | Resolution | Band Number | Cloud Cover |
|---|---|---|---|---|---|
| Landsat TM | 114/30 | 9 June 1988 | 30 m | 7 | 4% |
| Landsat TM | 115/29 | 14 August 1986 | 30 m | 7 | 7% |
| Landsat TM | 115/30 | 11 June 1986 | 30 m | 7 | 0% |
| Landsat TM | 115/31 | 24 June 1985 | 30 m | 7 | 28% |
| Landsat TM | 116/29 | 26 August 1988 | 30 m | 7 | 4% |
| Landsat TM | 114/30 | 16 August 1995 | 30 m | 7 | 0% |
| Landsat TM | 115/29 | 8 July 1996 | 30 m | 7 | 1% |
| Landsat TM | 115/30 | 8 July 1996 | 30 m | 7 | 1% |
| Landsat TM | 115/31 | 8 July 1996 | 30 m | 7 | 37% |
| Landsat TM | 116/29 | 31 July 1996 | 30 m | 7 | 13% |
| Landsat TM | 116/30 | 16 August 1996 | 30 m | 7 | 0% |
| Landsat TM | 116/31 | 16 August 1996 | 30 m | 7 | 3% |
| Landsat ETM+ | 114/30 | 24 July 2007 | 30 m | 8 | 0% |
| Landsat ETM+ | 115/29 | 7 June 2005 | 30 m | 8 | 4% |
| Landsat TM | 115/30 | 23 July 2007 | 30 m | 7 | 0% |
| Landsat TM | 115/31 | 23 July 2007 | 30 m | 7 | 0% |
| Landsat ETM+ | 116/29 | 3 July 2006 | 30 m | 8 | 2% |
| Landsat ETM+ | 116/30 | 3 July 2006 | 30 m | 8 | 1% |
| Landsat ETM+ | 116/31 | 3 July 2006 | 30 m | 8 | 13% |
| Landsat OLI | 114/30 | 9 August 2016 | 15 m | 11 | 2% |
| Landsat ETM+ | 115/30 | 7 July 2016 | 30 m | 8 | 0% |
| Landsat OLI | 115/31 | 15 July 2016 | 15 m | 11 | 14% |
| Landsat OLI | 116/30 | 6 July 2016 | 15 m | 11 | 4% |
| Landsat OLI | 116/31 | 1 July2016 | 15 m | 11 | 4% |
| Category I | Category II | Description | OLI Image |
|---|---|---|---|
| Natural wetland | Herb swamp | Swamps with vegetation coverage ≥ 30% and mainly herbaceous plants | ![]() |
| Shrub swamp | Swamps dominated by shrubs, vegetation coverage ≥ 30% | ![]() | |
| Forest swamp | Woody plant community swamp with obvious trunks, higher than 6 m, canopy closure ≥ 0.2 | ![]() | |
| River | Linear body of water with flowing water | ![]() | |
| Farmland | Paddy field | Cultivated land used to grow aquatic crops such as rice | ![]() |
| Dry farmland | Cultivated land without irrigation facilities, mainly relying on natural precipitation to grow xerophytic crops | ![]() |
| 1986 | 1996 | 2006 | 2016 | |
|---|---|---|---|---|
| Kappa | 0.88 | 0.89 | 0.91 | 0.91 |
| Overall accuracy | 89.76 | 90.28 | 90.57 | 92.40 |
| Natural Wetlands | Farmlands | |||||
|---|---|---|---|---|---|---|
| 1986–1996 | 1996–2006 | 2006–2016 | 1986–1996 | 1996–2006 | 2006–2016 | |
| GPG | −225.8 | −421.7 | −283.2 | 69.0 | −13.9 | −178.4 |
| HQH | −342.1 | −470.7 | −94.8 | 319.0 | −7.1 | −270.8 |
| LDH | −60.0 | −223.2 | 552.6 | 159.1 | 476.1 | −146.5 |
| HLJ | −730.6 | −838.8 | 183.6 | −240.4 | 74.1 | 87.0 |
| YQG | −173.2 | −311.8 | 276.4 | 239.4 | 158.5 | −289.4 |
| BHH | −1107.3 | −887.6 | −465.4 | −5779.4 | 1631.5 | 520.8 |
| GYH | −1507.0 | −1138.8 | −113.8 | 1228.7 | −1259.3 | −140.6 |
| STH | −156.7 | −73.1 | −82.8 | 144.5 | −290.8 | 40.7 |
| MJ | 64.6 | −289.6 | 13.7 | 125.3 | −84.0 | 187.6 |
| HCH | −1380.1 | −509.1 | −1416.7 | 614.3 | −2085.1 | −687.9 |
| JXQH | −655.5 | −44.0 | −1223.0 | 389.4 | −479.7 | −273.1 |
| Total | −6273.6 | −5208.3 | −2653.2 | −2731.1 | −1879.6 | −1150.7 |
Publisher’s Note: MDPI stays neutral with regard to jurisdictional claims in published maps and institutional affiliations. |
© 2021 by the authors. Licensee MDPI, Basel, Switzerland. This article is an open access article distributed under the terms and conditions of the Creative Commons Attribution (CC BY) license (https://creativecommons.org/licenses/by/4.0/).
Share and Cite
Liu, Y.; Jin, R.; Zhu, W. Conversion of Natural Wetland to Farmland in the Tumen River Basin: Human and Environmental Factors. Remote Sens. 2021, 13, 3498. https://doi.org/10.3390/rs13173498
Liu Y, Jin R, Zhu W. Conversion of Natural Wetland to Farmland in the Tumen River Basin: Human and Environmental Factors. Remote Sensing. 2021; 13(17):3498. https://doi.org/10.3390/rs13173498
Chicago/Turabian StyleLiu, Yuyan, Ri Jin, and Weihong Zhu. 2021. "Conversion of Natural Wetland to Farmland in the Tumen River Basin: Human and Environmental Factors" Remote Sensing 13, no. 17: 3498. https://doi.org/10.3390/rs13173498
APA StyleLiu, Y., Jin, R., & Zhu, W. (2021). Conversion of Natural Wetland to Farmland in the Tumen River Basin: Human and Environmental Factors. Remote Sensing, 13(17), 3498. https://doi.org/10.3390/rs13173498







