Evaluation of the MODIS (C6) Daily Albedo Products for Livingston Island, Antarctic
Abstract
1. Introduction
2. Materials and Methods
2.1. Study Area
2.2. Data
2.2.1. In Situ Data
2.2.2. MODIS Data
2.3. Methods
2.3.1. Albedo Filtering
2.3.2. Clearness Index (clr)
2.3.3. MCD43 Data Processing
2.3.4. Albedo Trend
3. Results and Discussion
3.1. Albedo Trend
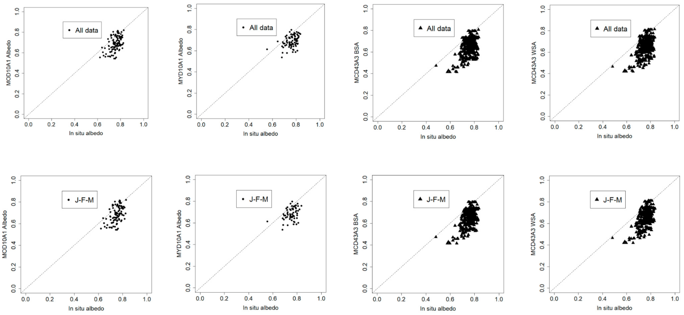
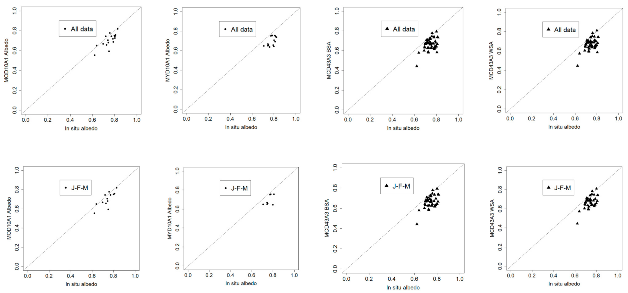
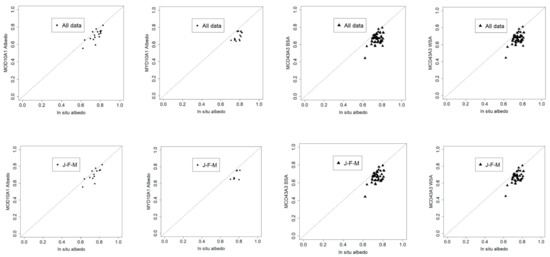
3.2. Correlation between MOD10A1, MYD10A1 and MCD43 (BSA and WSA) with In-Situ Data
4. Conclusions
Author Contributions
Funding
Data Availability Statement
Acknowledgments
Conflicts of Interest
References
- Schaepman-Strub, G.; Schaepman, M.E.; Painter, T.H.; Dangel, S.; Martonchik, J.V. Reflectance quantities in optical remote sensing—Definitions and case studies. Remote Sens. Environ. 2006, 103, 27–42. [Google Scholar] [CrossRef]
- Robock, A. The seasonal cycle of snow cover, sea ice and surface albedo. Mon. Weather. Rev. 1980, 108, 267–285. [Google Scholar] [CrossRef]
- Dozier, J.; Painter, T.H.; Rittger, K.; Frew, J.E. Time-space continuity of daily maps of fractional snow cover and albedo from MODIS. Adv. Water Resour. 2008, 31, 1515–1526. [Google Scholar] [CrossRef]
- Moritz, R.E.; Bitz, C.M.; Steig, E.J. Dynamics of Recent Climate Change in the Arctic. Science 2002, 297, 1497–1502. [Google Scholar] [CrossRef]
- Picard, G.; Fily, M.; Gallee, H. Surface melting derived from microwave radiometers: A climatic indicator in Antarctica. Ann. Glaciol. 2007, 46, 29–34. [Google Scholar] [CrossRef]
- Marshall, S.J.; Miller, K. Seasonal and interannual variability of melt-season albedo at Haig Glacier, Canadian Rocky Mountains. Cryosphere 2020, 14, 3249–3267. [Google Scholar] [CrossRef]
- Reijmer, C.H.; Knap, W.H.; Oerlemans, J. The Surface Albedo of The Vatnajökull Ice Cap, Iceland: A Comparison Between Satellite-Derived and Ground-Based Measurements. Bound. Layer Meteorol. 1999, 92, 123–143. [Google Scholar] [CrossRef]
- Ming, J.; Wang, Y.; Du, Z.; Zhang, T.; Guo, W.; Xiao, C.; Xu, X.; Ding, M.; Zhang, D.; Yang, W. Widespread Albedo Decreasing and Induced Melting of Himalayan Snow and Ice in the Early 21st Century. PLoS ONE 2015, 10, 1–13. [Google Scholar] [CrossRef]
- Ebrahimi, S.; Marshall, S.J. Surface energy balance sensitivity to meteorological variability on Haig Glacier, Canadian Rocky Mountains. Cryosphere 2016, 10, 2799–2819. [Google Scholar] [CrossRef]
- Laine, V. Antarctic ice sheet and sea ice regional albedo and temperature change, 1981–2000, from AVHRR Polar Pathfinder data. Remote Sens. Environ. 2008, 112, 646–667. [Google Scholar] [CrossRef]
- Seo, M.; Kim, H.-C.; Huh, M.; Yeom, J.-M.; Lee, C.S.; Lee, K.-S.; Choi, S.; Han, K.-S. Long-Term Variability of Surface Albedo and Its Correlation with Climatic Variables over Antarctica. Remote Sens. 2016, 8, 981. [Google Scholar] [CrossRef]
- Calleja, J.F.; Corbea-Pérez, A.; Fernández, S.; Recondo, C.; Peón, J.; de Pablo, M.Á. Snow Albedo Seasonality and Trend from MODIS Sensor and Ground Data at Johnsons Glacier, Livingston Island, Maritime Antarctica. Sensors 2019, 19, 3569. [Google Scholar] [CrossRef] [PubMed]
- Schaaf, C.; Wang, Z. MCD43A3 MODIS/Terra+Aqua BRDF/Albedo Daily L3 Global - 500m V006 [Data Set]. 2015. Available online: https://doi.org/10.5067/MODIS/MCD43A3.006 (accessed on 24 April 2021).
- Klein, A.G.; Hall, D.K.; Nolin, A.W. Development of a prototype snow albedo algorithm for the NASA MODIS instrument. In Proceedings of the Eastern Snow Conference, 57th Annual Meeting, Syracuse, NY, USA, 17–19 May 2000; pp. 143–157. [Google Scholar]
- Klein, A.G.; Hall, D.K. Snow albedo determination using the NASA MODIS instrument. In Proceedings of the Eastern Snow Conference, 55th Annual Meeting, Fredericton, NB, Canada, 2–4 June 1999; pp. 77–85. [Google Scholar]
- Hall, D.K.; Riggs, G.A. MODIS/Terra Snow Cover Daily L3 Global 500m SIN Grid, Version 6. [MOD10A1]; NASA National Snow and Ice Data Center Distributed Active Archive Center: Boulder, Colorado USA, 2016. Available online: https://doi.org/10.5067/MODIS/MOD10A1.006 (accessed on 24 April 2021).
- Hall, D.K.; Riggs, G.A. MODIS/Aqua Snow Cover Daily L3 Global 500m SIN Grid, Version 6. [MYD10A1]; NASA National Snow and Ice Data Center Distributed Active Archive Center: Boulder, Colorado USA, 2016. Available online: https://doi.org/10.5067/MODIS/MYD10A1.006 (accessed on 24 April 2021).
- Klein, A.G.; Stroeve, J. Development and validation of a snow albedo algorithm for the MODIS instrument. Ann. Glaciol. 2002, 34, 45–52. [Google Scholar] [CrossRef]
- Hall, D.K.; Cullather, R.I.; Di Girolamo, N.E.; Comiso, J.C.; Medley, B.C.; Nowicki, S.M. A Multilayer Surface Temperature, Surface Albedo, and Water Vapor Product of Greenland from MODIS. Remote Sens. 2018, 10, 555. [Google Scholar] [CrossRef]
- Box, J.E.; Fettweis, X.; Stroeve, J.C.; Tedesco, M.; Hall, D.K.; Steffen, K. Greenland ice sheet albedo feedback: Thermodynamics and atmospheric drivers. Cryosphere 2012, 6, 821–839. [Google Scholar] [CrossRef]
- Brun, F.; Dumont, M.; Wagnon, P.; Berthier, E.; Azam, M.F.; Shea, J.M.; Sirguey, P.; Rabatel, A.; Ramanathan, A. Seasonal changes in surface albedo of Himalayan glaciers from MODIS data and links with the annual mass balance. Cryosphere 2015, 9, 341–355. [Google Scholar] [CrossRef]
- Tedesco, M.; Doherty, S.; Fettweis, X.; Alexander, P.; Jeyaratnam, J.; Stroeve, J. The darkening of the Greenland ice sheet: Trends, drivers, and projections (1981–2100). Cryosphere 2016, 10, 477–496. [Google Scholar] [CrossRef]
- Moustafa, S.E.; Rennermalm, A.K.; Román, M.O.; Wang, Z.; Schaaf, C.B.; Smith, L.C.; Koenig, L.S.; Erb, A. Evaluation of satellite remote sensing albedo retrievals over the ablation area of the southwestern Greenland ice sheet. Remote Sens. Environ. 2017, 198, 115–125. [Google Scholar] [CrossRef]
- Burakowski, E.A.; Ollinger, S.V.; Lepine, L.; Schaaf, C.B.; Wang, Z.; Dibb, J.E.; Hollinger, D.Y.; Kim, J.H.; Erb, A.; Martin, M. Spatial scaling of reflectance and surface albedo over a mixed-use, temperate forest landscape during snow-covered periods. Remote Sens. Environ. 2015, 158, 465–477. [Google Scholar] [CrossRef]
- Stroeve, J.C.; Box, J.E.; Haran, T. Evaluation of the MODIS (MOD10A1) daily snow albedo product over the Greenland ice sheet. Remote Sens. Environ. 2006, 105, 155–171. [Google Scholar] [CrossRef]
- Calleja, J.F.; Muniz, R.; Fernandez, S.; Corbea-Perez, A.; Peon, J.; Otero, J.; Navarro, F. Snow Albedo Seasonal Decay and Its Relation with Shortwave Radiation, Surface Temperature and Topography Over an Antarctic ICE Cap. IEEE J. Sel. Top. Appl. Earth Obs. Remote Sens. 2021, 14, 2162–2172. [Google Scholar] [CrossRef]
- Schaaf, C.B.; Gao, F.; Strahler, A.H.; Lucht, W.; Li, X.; Tsang, T.; Strugnell, N.C.; Zhang, X.; Jin, Y.; Muller, J.-P.; et al. First operational BRDF, albedo nadir reflectance products from MODIS. Remote Sens. Environ. 2002, 83, 135–148. [Google Scholar] [CrossRef]
- Yang, F.; Mitchell, K.; Hou, Y.-T.; Dai, Y.; Zeng, X.; Wang, Z.; Liang, X.-Z. Dependence of Land Surface Albedo on Solar Zenith Angle: Observations and Model Parameterization. J. Appl. Meteorol. Clim. 2008, 47, 2963–2982. [Google Scholar] [CrossRef]
- Briegleb, B.P. Delta-Eddington approximation for solar radiation in the NCAR community climate model. J. Geophys. Res. Space Phys. 1992, 97, 7603–7612. [Google Scholar] [CrossRef]
- Wang, Z.; Zeng, X. Evaluation of Snow Albedo in Land Models for Weather and Climate Studies. J. Appl. Meteorol. Clim. 2010, 49, 363–380. [Google Scholar] [CrossRef]
- Wang, Z.; Schaaf, C.B.; Sun, Q.; Shuai, Y.; Román, M.O. Capturing rapid land surface dynamics with Collection V006 MODIS BRDF/NBAR/Albedo (MCD43) products. Remote Sens. Environ. 2018, 207, 50–64. [Google Scholar] [CrossRef]
- Casey, K.A.; Polashenski, C.M.; Chen, J.; Tedesco, M. Impact of MODIS sensor calibration updates on Greenland Ice Sheet surface reflectance and albedo trends. Cryosphere 2017, 11, 1781–1795. [Google Scholar] [CrossRef]
- Lyapustin, A.; Wang, Y.; Xiong, X.; Meister, G.; Platnick, S.; Levy, R.; Franz, B.; Korkin, S.; Hilker, T.; Tucker, J.; et al. Scientific impact of MODIS C5 calibration degradation and C6+ improvements. Atmos. Meas. Tech. 2014, 7, 4353–4365. [Google Scholar] [CrossRef]
- Polashenski, C.M.; Dibb, J.E.; Flanner, M.G.; Chen, J.Y.; Courville, Z.R.; Lai, A.M.; Schauer, J.J.; Shafer, M.M.; Bergin, M.H. Neither dust nor black carbon causing apparent albedo decline in Greenland’s dry snow zone: Implications for MODIS C5 surface reflectance. Geophys. Res. Lett. 2015, 42, 9319–9327. [Google Scholar] [CrossRef]
- Riggs, G.; Hall, D. MODIS Snow Products Collection 6 User Guide. Natl. Snow Ice Data Cent. Distrib. Act. Arch. Cent. 2016, 6, 1–80. [Google Scholar]
- Björck, S.; Håkansson, H.; Zale, R.; Karlén, W.; Jönsson, B.L. A late Holocene lake sediment sequence from Livingston Island, South Shetland Islands, with palaeoclimatic implications. Antarct. Sci. 1991, 3, 61–72. [Google Scholar] [CrossRef]
- Vieira, G.; Lopez-Martinez, J.; Serrano, E.; Ramos, M.; Gruber, S.; Hauck, C.; Blanco, J.J. Geomorphological observations of permafrost and ground-ice degradation on Deception and Livingston islands, maritime Antarctica. In Proceedings of the 9th International Conference on Permafrost 2008, Fairbanks, AK, USA, 28 June–3 July 2008; American Society of Neuroradiology: Fairbanks, Alaska, 2008. [Google Scholar]
- Vieira, G.; Bockheim, J.; Guglielmin, M.; Balks, M.; Abramov, A.A.; Boelhouwers, J.; Cannone, N.; Ganzert, L.; Gilichinsky, D.A.; Goryachkin, S.; et al. Thermal state of permafrost and active-layer monitoring in the antarctic: Advances during the international polar year 2007–2009. Permafr. Periglac. Process. 2010, 21, 182–197. [Google Scholar] [CrossRef]
- King, J.C.; Turner, J. Antarctic Meteorology and Climatology; Cambridge University Press: Cambridge, UK, 1997. [Google Scholar]
- Angiel, P.J.; Potocki, M.; Biszczuk-Jakubowska, J. Weather Condition Characteristics at the H. Arctowski Station (South Shetlands, Antarctica) for 2006, in Comparison with Multi-Year Research Results. Misc. Geogr. 2010, 14, 79–89. [Google Scholar] [CrossRef]
- Bañón, M. Personal Communication; AEMET: Madrid, Spain, 2017. [Google Scholar]
- Gorelick, N.; Hancher, M.; Dixon, M.; Ilyushchenko, S.; Thau, D.; Moore, R. Google Earth Engine: Planetary-scale geospatial analysis for everyone. Remote Sens. Environ. 2017, 202, 18–27. [Google Scholar] [CrossRef]
- Schaaf, C.; Wang, Z. MCD43A1 MODIS/Terra + Aqua BRDF/Albedo Model Parameters Daily L3 Global—500 m V006 [Data Set]. NASA EOSDIS Land Processes DAAC. Available online: https://doi.org/10.5067/MODIS/MCD43A1.006 (accessed on 25 April 2021).
- Schaaf, C.; Wang, Z. MCD43A2 MODIS/Terra + Aqua BRDF/Albedo Quality Daily L3 Global—500 m V006 [Data Set]. NASA EOSDIS Land Processes DAAC. Available online: https://doi.org/10.5067/MODIS/MCD43A2.006 (accessed on 25 April 2021).
- Vermote, E.; Wolfe, R. MOD09GA MODIS/Terra Surface Reflectance Daily L2G Global 1 km and 500 m SIN Grid V006 [Data Set]. Available online: https://doi.org/10.5067/MODIS/MOD09GA.006 (accessed on 26 January 2021).
- Vermote, E.; Wolfe, R. MYD09GA MODIS/Aqua Surface Reflectance Daily L2G Global 1 km and 500 m SIN Grid V006 [Data set]. NASA EOSDIS Land Processes DAAC. Available online: https://doi.org/10.5067/MODIS/MYD09GA.006 (accessed on 26 January 2021).
- Malik, M.J.; van der Velde, R.; Vekerdy, Z.; Su, Z. Assimilation of Satellite-Observed Snow Albedo in a Land Surface Model. J. Hydrometeorol. 2012, 13, 1119–1130. [Google Scholar] [CrossRef]
- Stroeve, J.; Box, J.E.; Wang, Z.; Schaaf, C.; Barrett, A. Re-evaluation of MODIS MCD43 Greenland albedo accuracy and trends. Remote Sens. Environ. 2013, 138, 199–214. [Google Scholar] [CrossRef]
- Wang, X.; Zender, C.S.S. Arctic and Antarctic diurnal and seasonal variations of snow albedo from multiyear Baseline Surface Radiation Network measurements. J. Geophys. Res. Space Phys. 2011, 116. [Google Scholar] [CrossRef]
- Stroeve, J.; Box, J.E.E.; Gao, F.; Liang, S.; Nolin, A.; Schaaf, C. Accuracy assessment of the MODIS 16-day albedo product for snow: Comparisons with Greenland in situ measurements. Remote Sens. Environ. 2005, 94, 46–60. [Google Scholar] [CrossRef]
- Pirazzini, R. Surface albedo measurements over Antarctic sites in summer. J. Geophys. Res. Earth Surf. Space Phys. 2004, 109. [Google Scholar] [CrossRef]
- Yamanouchi, T. Variations of Incident Solar Flux and Snow Albedo on the Solar Zenith Angle and Cloud Cover, at Mizuho Station, Antarctica. J. Meteorol. Soc. Jpn. 1983, 61, 879–893. [Google Scholar] [CrossRef][Green Version]
- Konzelmann, T.; Ohmura, A. Radiative fluxes and their impact on the energy balance of the Greenland ice sheet. J. Glaciol. 1995, 41, 490–502. [Google Scholar] [CrossRef][Green Version]
- Warren, S.G. Optical properties of snow. Rev. Geophys. 1982, 20, 67–89. [Google Scholar] [CrossRef]
- Mahalanobis, P.C. On the general distance in statistics. Natl. Inst. Sci. India 1936, 12, 49–55. [Google Scholar]
- De Maesschalck, R.; Jouan-Rimbaud, D.; Massart, D.L. The Mahalanobis distance. Chemom. Intell. Lab. Syst. 2000, 50, 1–18. [Google Scholar] [CrossRef]
- Kleynhans, W.; Salmon, B.P.; Wessels, K.J. A novel spatio-temporal change detection approach using hyper-temporal satellite data. In Proceedings of the 2014 IEEE Geoscience and Remote Sensing Symposium, Quebec City, QC, Canada, 13–18 July 2014; Institute of Electrical and Electronics Engineers (IEEE): Piscataway, NJ, USA, 2014; pp. 4208–4211. [Google Scholar]
- Zhang, Y.; Du, B.; Zhang, L.; Wang, S. A Low-Rank and Sparse Matrix Decomposition-Based Mahalanobis Distance Method for Hyperspectral Anomaly Detection. IEEE Trans. Geosci. Remote Sens. 2015, 54, 1376–1389. [Google Scholar] [CrossRef]
- Gunnarsson, A.; Gardarsson, S.M.; Pálsson, F.; Jóhannesson, T.; Sveinsson, Ó.G.B. Annual and inter-annual variability and trends of albedo of Icelandic glaciers. Cryosphere 2021, 15, 547–570. [Google Scholar] [CrossRef]
- Box, J.E.; van As, D.; Steffen, K.; Fausto, R.S.; AhlstrØm, A.P.; Citterio, M.; Andersen, S.B. Greenland, Canadian and Icelandic land-ice albedo grids (2000–2016). Geol. Surv. Den. Greenl. Bull. 2017, 38, 53–56. [Google Scholar] [CrossRef][Green Version]
- Long, C.N.; Ackerman, T.P. Identification of clear skies from broadband pyranometer measurements and calculation of downwelling shortwave cloud effects. J. Geophys. Res. Space Phys. 2000, 105, 15609–15626. [Google Scholar] [CrossRef]
- Jin, Y.; Schaaf, C.B.; Woodcock, C.E.; Gao, F.; Li, X.; Strahler, A.H.; Lucht, W.; Liang, S. Consistency of MODIS surface bidirectional reflectance distribution function and albedo retrievals: 1. Validation. J. Geophys. Res. D Atmos. 2003, 108, 4158. [Google Scholar] [CrossRef]
- Jin, Y.; Schaaf, C.B.; Woodcock, C.E.; Gao, F.; Li, X.; Strahler, A.H.; Lucht, W.; Liang, S. Consistency of MODIS surface bidirectional reflectance distribution function and albedo retrievals: 2. Validation. J. Geophys. Res. Atmos. 2003, 108, 4159. [Google Scholar] [CrossRef]
- Strugnell, N.C.; Lucht, W.; Schaaf, C. A global albedo data set derived from AVHRR data for use in climate simulations. Geophys. Res. Lett. 2001, 28, 191–194. [Google Scholar] [CrossRef]
- Liang, S. Narrowband to broadband conversions of land surface albedo I: Algorithms. Remote Sens. Environ. 2000, 76, 213–238. [Google Scholar] [CrossRef]
- Cleveland, W.S. Robust Locally Weighted Regression and Smoothing Scatterplots. J. Am. Stat. Assoc. 1979, 74, 829–836. [Google Scholar] [CrossRef]
- Cleveland, W.S. LOWESS: A Program for Smoothing Scatterplots by Robust Locally Weighted Regression. Am. Stat. 1981, 35, 54. [Google Scholar] [CrossRef]
- Derkacheva, A.; Mouginot, J.; Millan, R.; Maier, N.; Gillet-Chaulet, F. Data Reduction Using Statistical and Regression Approaches for Ice Velocity Derived by Landsat-8, Sentinel-1 and Sentinel-2. Remote Sens. 2020, 12, 1935. [Google Scholar] [CrossRef]
- Oliva, M.; Navarro, F.J.; Hrbáček, F.; Hernández, A.; Nývlt, D.; Pereira, P.; Ruiz-Fernández, J.; Trigo, R. Recent regional climate cooling on the Antarctic Peninsula and associated impacts on the cryosphere. Sci. Total Environ. 2017, 580, 210–223. [Google Scholar] [CrossRef] [PubMed]
- Plenzler, J.; Budzik, T.; Puczko, D.; Bialik, R.J. Climatic conditions at Arctowski Station (King George Island, West Antarctica) in 2013–2017 against the background of regional changes. Pol. Polar Res. 2019, 40, 1–27. [Google Scholar] [CrossRef]
- Sancho, L.G.; Pintado, A.; Navarro, F.; Ramos, M.; de Pablo, M.A.; Blanquer, J.M.; Raggio, J.; Valladares, F.; Green, T.G.A. Recent Warming and Cooling in the Antarctic Peninsula Region has Rapid and Large Effects on Lichen Vegetation. Sci. Rep. 2017, 7, 5689. [Google Scholar] [CrossRef] [PubMed]
- Warren, S.G.; Hahn, C.J.; London, J.; Chervin, R.M.; Jenne, R.L. Global Distribution of Total Cloud Cover and Cloud Type Amounts Over Land. 1986. Available online: https://opensky.ucar.edu/islandora/object/technotes:444 (accessed on 11 May 2021).
- Griggs, M.; Griggs, M. Aircraft Measurements of Albedo and Absorption of Stratus Clouds, and Surface Albedos. J. Appl. Meteorol. 1968, 7, 1012–1017. [Google Scholar] [CrossRef][Green Version]
- Wang, Z.S.; Schaaf, C.B.; Chopping, M.J.; Strahler, A.H.; Wang, J.; Román, M.O.; Rocha, A.V.; Woodcock, C.E.; Shuai, Y.M. Evaluation of Moderate-resolution Imaging Spectroradiometer (MODIS) snow albedo product (MCD43A) over tundra. Remote Sens. Environ. 2012, 117, 264–280. [Google Scholar] [CrossRef]
- Wang, D.; Liang, S.; He, T.; Yu, Y.; Schaaf, C.; Wang, Z. Estimating daily mean land surface albedo from MODIS data. J. Geophys. Res. Atmos. 2015, 120, 4825–4841. [Google Scholar] [CrossRef]
- Ding, A.; Jiao, Z.; Dong, Y.; Zhang, X.; Peltoniemi, J.I.; Mei, L.; Guo, J.; Yin, S.; Cui, L.; Chang, Y.; et al. Evaluation of the Snow Albedo Retrieved from the Snow Kernel Improved the Ross-Roujean BRDF Model. Remote Sens. 2019, 11, 1611. [Google Scholar] [CrossRef]
- Jiao, Z.; Ding, A.; Kokhanovsky, A.; Schaaf, C.; Bréon, F.-M.; Dong, Y.; Wang, Z.; Liu, Y.; Zhang, X.; Yin, S.; et al. Development of a snow kernel to better model the anisotropic reflectance of pure snow in a kernel-driven BRDF model framework. Remote Sens. Environ. 2019, 221, 198–209. [Google Scholar] [CrossRef]
- Qu, Y.; Liu, Q.; Liang, S.; Wang, L.; Liu, N.; Liu, S. Direct-Estimation Algorithm for Mapping Daily Land-Surface Broadband Albedo from MODIS Data. IEEE Trans. Geosci. Remote Sens. 2014, 52, 907–919. [Google Scholar] [CrossRef]







| AEMET Station | Latitude | Longitude |
|---|---|---|
| Juan Carlos I (JCI) | 62°39′48″S | 60°23′19″W |
| Johnson Glacier (JG) | 62°40′16″S | 60°21′51″W |
| In-Situ | MOD10A1 | MYD10A1 | MCD43 (BSA) | MCD43 (WSA) | |
|---|---|---|---|---|---|
| Intercept | 0.7477 ± 0.0003 | 0.647 ± 0.003 | 0.654 ± 0.003 | 0.6007 ± 0.0007 | 0.6064 ± 0.0006 |
| Slope | 0.0000090 ± 0.0000002 | 0.000035 ± 0.000002 | 0.000022 ± 0.000002 | 0.0000428 ± 0.0000005 | 0.0000420 ± 0.0000004 |
| p-value | <0.001 | <0.001 | <0.001 | <0.001 | <0.001 |
| MOD10A1 All Data | MOD10A1 J–F–M | Myd10a1 All Data | MYD10A1 J–F–M | MCD43 BSA All Data | MCD43 BSA J–F–M | MCD43 WSA All Data | MCD43 WSA J–F–M | |
|---|---|---|---|---|---|---|---|---|
| r | 0.5 | 0.5 | 0.4 | 0.4 | 0.5 | 0.6 | 0.5 | 0.6 |
| p value | <0.001 | <0.001 | <0.001 | <0.005 | <0.001 | <0.001 | <0.001 | <0.001 |
| n | 116 | 99 | 90 | 66 | 403 | 329 | 403 | 329 |
| RMSE | 0.060 | 0.063 | 0.048 | 0.052 | 0.067 | −0.066 | 0.071 | 0.068 |
| bias | 0.0001 | 0.00003 | −0.002 | −0.003 | −0.001 | −0.001 | −0.001 | −0.0003 |
| MOD10A1 Clear Sky | MOD10A1 J–F–M | MYD10A1 Clear Sky | MYD10A1 J–F–M | MCD43 BSA Clear Sky | MCD43 BSA J–F–M | MCD43 WSA Clear Sky | MCD43 WSA J–F–M | |
|---|---|---|---|---|---|---|---|---|
| r | 0.7 | 0.7 | 0.5 | 0.4 | 0.4 | 0.5 | 0.5 | 0.6 |
| p value | <0.001 | <0.005 | <0.05 | 0.15 * | <0.005 | <0.001 | <0.001 | <0.001 |
| n | 18 | 13 | 15 | 8 | 49 | 40 | 49 | 40 |
| RMSE | 0.042 | 0.046 | 0.038 | 0.041 | 0.053 | 0.052 | 0.051 | 0.051 |
| bias | −0.001 | −0.005 | −0.0004 | −0.005 | −0.001 | −0.001 | −0.001 | −0.0006 |
Publisher’s Note: MDPI stays neutral with regard to jurisdictional claims in published maps and institutional affiliations. |
© 2021 by the authors. Licensee MDPI, Basel, Switzerland. This article is an open access article distributed under the terms and conditions of the Creative Commons Attribution (CC BY) license (https://creativecommons.org/licenses/by/4.0/).
Share and Cite
Corbea-Pérez, A.; Calleja, J.F.; Recondo, C.; Fernández, S. Evaluation of the MODIS (C6) Daily Albedo Products for Livingston Island, Antarctic. Remote Sens. 2021, 13, 2357. https://doi.org/10.3390/rs13122357
Corbea-Pérez A, Calleja JF, Recondo C, Fernández S. Evaluation of the MODIS (C6) Daily Albedo Products for Livingston Island, Antarctic. Remote Sensing. 2021; 13(12):2357. https://doi.org/10.3390/rs13122357
Chicago/Turabian StyleCorbea-Pérez, Alejandro, Javier F. Calleja, Carmen Recondo, and Susana Fernández. 2021. "Evaluation of the MODIS (C6) Daily Albedo Products for Livingston Island, Antarctic" Remote Sensing 13, no. 12: 2357. https://doi.org/10.3390/rs13122357
APA StyleCorbea-Pérez, A., Calleja, J. F., Recondo, C., & Fernández, S. (2021). Evaluation of the MODIS (C6) Daily Albedo Products for Livingston Island, Antarctic. Remote Sensing, 13(12), 2357. https://doi.org/10.3390/rs13122357

