Increased Ice Thinning over Svalbard Measured by ICESat/ICESat-2 Laser Altimetry
Abstract
1. Introduction
2. Study Area
3. ICESat and ICESat-2
4. Materials and Methods
4.1. Data Preparation
- Sorted out data not meeting the on-product variable criteria: ‘elev_use_flg == 0’, ‘sat_corr_flg < = 2’, ‘sigma_att_flag == 0’, and ‘i_numPk == 1’;
- Applied the saturation correction;
- Converted from the Topex/Poseidon ellipsoidal height to WGS84 ellipsoidal height;
- Applied the inter-laser correction: subtracting 1.7 cm from Laser 2 and adding 1.1 cm to Laser 3 according to [11] due to the same methodological approach.
- Removed data flagged by the on-product ATL06 quality summary value;
- Removed data where adjacent segment height differences were >2 m and therefore exhibited high along-track height variability;
- Removed data where surface height was >10,000 m due to atmospheric scattering.
4.2. ICESat-1/2 Crossover Analysis
4.3. Hypsometric Extrapolation
4.4. Error Assessment
5. Results
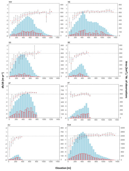
5.1. Regional Elevation Change
5.2. Mass Change
6. Discussion
6.1. Elevation and Mass Change
6.2. Contribution of Surges
6.3. Effects of Arctic Warming on Glacier Change
6.3.1. Changes in Climatic Mass Balance
6.3.2. Climatic and Oceanic Drivers of Change
6.4. Crossover Technique Performance
7. Conclusions
Supplementary Materials
Author Contributions
Funding
Institutional Review Board Statement
Informed Consent Statement
Data Availability Statement
Acknowledgments
Conflicts of Interest
References
- Attema, E.P.W. The Active Microwave Instrument On-Board the ERS-1 Satellite. Proc. IEEE 1991, 79, 791–799. [Google Scholar] [CrossRef]
- Louet, J.; Bruzzi, S. ENVISAT Mission and System. In Proceedings of the IEEE 1999 International Geoscience and Remote Sensing Symposium. IGARSS’99 (Cat. No.99CH36293); IEEE: Hamburg, Germany, 1999; Volume 3, pp. 1680–1682. [Google Scholar]
- Schutz, B.E.; Zwally, H.J.; Shuman, C.A.; Hancock, D.; DiMarzio, J.P. Overview of the ICESat Mission. Geophys. Res. Lett. 2005, 32, L21S01. [Google Scholar] [CrossRef]
- Pitz, W.; Miller, D. The TerraSAR-X Satellite. IEEE Trans. Geosci. Remote Sens. 2010, 48, 615–622. [Google Scholar] [CrossRef]
- Parrinello, T.; Shepherd, A.; Bouffard, J.; Badessi, S.; Casal, T.; Davidson, M.; Fornari, M.; Maestroni, E.; Scagliola, M. CryoSat: ESA’s Ice Mission—Eight Years in Space. Adv. Space Res. 2018, 62, 1178–1190. [Google Scholar] [CrossRef]
- Rignot, E.; Echelmeyer, K.; Krabill, W. Penetration Depth of Interferometric Synthetic-Aperture Radar Signals in Snow and Ice. Geophys. Res. Lett. 2001, 28, 3501–3504. [Google Scholar] [CrossRef]
- Thomas, R.; Rkabill, W.; Frederick, E.; Jezek, K. Thickening of Jakobshavns Isbræ, West Greenland, Measured by Airborne Laser Altimetry. Ann. Glaciol. 1995, 21, 259–262. [Google Scholar] [CrossRef]
- Kennett, M.; Eiken, T. Airborne Measurement of Glacier Surface Elevation by Scanning Laser Altimeter. Ann. Glaciol. 1997, 24, 293–296. [Google Scholar] [CrossRef]
- Neckel, N.; Kropáček, J.; Bolch, T.; Hochschild, V. Glacier Mass Changes on the Tibetan Plateau 2003–2009 Derived from ICESat Laser Altimetry Measurements. Environ. Res. Lett. 2014, 9, 014009. [Google Scholar] [CrossRef]
- Bolch, T.; Sandberg Sørensen, L.; Simonsen, S.B.; Mölg, N.; Machguth, H.; Rastner, P.; Paul, F. Mass Loss of Greenland’s Glaciers and Ice Caps 2003-2008 Revealed from ICESat Laser Altimetry Data: MASS LOSS OF GREENLAND’S GLACIERS. Geophys. Res. Lett. 2013, 40, 875–881. [Google Scholar] [CrossRef]
- Smith, B.; Fricker, H.A.; Gardner, A.S.; Medley, B.; Nilsson, J.; Paolo, F.S.; Holschuh, N.; Adusumilli, S.; Brunt, K.; Csatho, B.; et al. Pervasive Ice Sheet Mass Loss Reflects Competing Ocean and Atmosphere Processes. Science 2020, 368, 1239–1242. [Google Scholar] [CrossRef] [PubMed]
- Li, T.; Dawson, G.J.; Chuter, S.J.; Bamber, J.L. Mapping the Grounding Zone of Larsen C Ice Shelf, Antarctica, from ICESat-2 Laser Altimetry. Cryosphere 2020, 14, 3629–3643. [Google Scholar] [CrossRef]
- Adaptation Actions for a Changing Arctic: Perspectives from the Barents Area; Arctic Monitoring and Assessment Programme (AMAP): Oslo, Norway, 2017; p. xiv+267.
- Screen, J.A.; Simmonds, I. Increasing Fall-Winter Energy Loss from the Arctic Ocean and Its Role in Arctic Temperature Amplification: INCREASING ARCTIC OCEAN HEAT LOSS. Geophys. Res. Lett. 2010, 37. [Google Scholar] [CrossRef]
- Noël, B.; Jakobs, C.L.; van Pelt, W.J.J.; Lhermitte, S.; Wouters, B.; Kohler, J.; Hagen, J.O.; Luks, B.; Reijmer, C.H.; van de Berg, W.J.; et al. Low Elevation of Svalbard Glaciers Drives High Mass Loss Variability. Nat. Commun. 2020, 11, 4597. [Google Scholar] [CrossRef]
- Hanssen-Bauer, I.; Førland, E.J.; Hisdal, H.; Mayer, S.; Sandø, A.B.; Sorteberg, A. Climate in Svalbard 2100; NCCS Report No. 1/2019; NCCS: Ottawa, ON, Canada, 2019. [Google Scholar]
- Østby, T.I.; Schuler, T.V.; Hagen, J.O.; Hock, R.; Kohler, J.; Reijmer, C.H. Diagnosing the Decline in Climatic Mass Balance of Glaciers in Svalbard over 1957–2014. Cryosphere 2017, 11, 191–215. [Google Scholar] [CrossRef]
- Van Pelt, W.; Pohjola, V.; Pettersson, R.; Marchenko, S.; Kohler, J.; Luks, B.; Hagen, J.O.; Schuler, T.V.; Dunse, T.; Noël, B.; et al. A Long-Term Dataset of Climatic Mass Balance, Snow Conditions, and Runoff in Svalbard (1957–2018). Cryosphere 2019, 13, 2259–2280. [Google Scholar] [CrossRef]
- Morris, A.; Moholdt, G.; Gray, L. Spread of Svalbard Glacier Mass Loss to Barents Sea Margins Revealed by CryoSat-2. J. Geophys. Res. Earth Surf. 2020, 125. [Google Scholar] [CrossRef]
- Moholdt, G.; Nuth, C.; Hagen, J.O.; Kohler, J. Recent Elevation Changes of Svalbard Glaciers Derived from ICESat Laser Altimetry. Remote Sens. Environ. 2010, 114, 2756–2767. [Google Scholar] [CrossRef]
- Nuth, C.; Moholdt, G.; Kohler, J.; Hagen, J.O.; Kääb, A. Svalbard Glacier Elevation Changes and Contribution to Sea Level Rise. J. Geophys. Res. 2010, 115, F01008. [Google Scholar] [CrossRef]
- Möller, M.; Kohler, J. Differing Climatic Mass Balance Evolution Across Svalbard Glacier Regions Over 1900–2010. Front. Earth Sci. 2018, 6, 128. [Google Scholar] [CrossRef]
- Schuler, T.V.; Kohler, J.; Elagina, N.; Hagen, J.O.M.; Hodson, A.J.; Jania, J.A.; Kääb, A.M.; Luks, B.; Małecki, J.; Moholdt, G.; et al. Reconciling Svalbard Glacier Mass Balance. Front. Earth Sci. 2020, 8, 156. [Google Scholar] [CrossRef]
- Nuth, C.; Kohler, J.; König, M.; von Deschwanden, A.; Hagen, J.O.; Kääb, A.; Moholdt, G.; Pettersson, R. Decadal Changes from a Multi-Temporal Glacier Inventory of Svalbard. Cryosphere 2013, 7, 1603–1621. [Google Scholar] [CrossRef]
- Fürst, J.J.; Navarro, F.; Gillet-Chaulet, F.; Huss, M.; Moholdt, G.; Fettweis, X.; Lang, C.; Seehaus, T.; Ai, S.; Benham, T.J.; et al. The Ice-Free Topography of Svalbard. Geophys. Res. Lett. 2018, 45, 11760–11769. [Google Scholar] [CrossRef]
- Martín-Español, A.; Navarro, F.J.; Otero, J.; Lapazaran, J.J.; Błaszczyk, M. Estimate of the Total Volume of Svalbard Glaciers, and Their Potential Contribution to Sea-Level Rise, Using New Regionally Based Scaling Relationships. J. Glaciol. 2015, 61, 29–41. [Google Scholar] [CrossRef]
- Blaszczyk, M.; Jania, J.A.; Hagen, J.O. Tidewater glaciers of Svalbard: Recent changes and estimates of calving fluxes. Pol. Polar Res. 2009, 30, 85–142. [Google Scholar]
- Hagen, J.O.; Kohler, J.; Melvold, K.; Winther, J.-G. Glaciers in Svalbard: Mass Balance, Runoff and Freshwater Flux. Polar Res. 2003, 22, 145–159. [Google Scholar] [CrossRef]
- Farnsworth, W.R.; Ingólfsson, Ó.; Retelle, M.; Schomacker, A. Over 400 Previously Undocumented Svalbard Surge-Type Glaciers Identified. Geomorphology 2016, 264, 52–60. [Google Scholar] [CrossRef]
- Mansell, D.; Luckman, A.; Murray, T. Dynamics of Tidewater Surge-Type Glaciers in Northwest Svalbard. J. Glaciol. 2012, 58, 110–118. [Google Scholar] [CrossRef]
- Sevestre, H.; Benn, D.I. Climatic and geometric controls on the global distribution of surge-type glaciers: Implications for a unifying model of surging. J. Glaciol. 2015, 61, 646–662. [Google Scholar] [CrossRef]
- Lønne, I. The Influence of Climate during and after a Glacial Surge—A Comparison of the Last Two Surges of Fridtjovbreen, Svalbard. Geomorphology 2014, 207, 190–202. [Google Scholar] [CrossRef]
- National Snow & Ice Data Center (NSIDC). ICESat/GLAS Data. Ice, Cloud, and land Elevation/Geoscience Laser Altimeter System. ICESat Overview. Available online: https://nsidc.org/data/icesat (accessed on 1 July 2020).
- Abshire, J.B.; Sun, X.; Riris, H.; Sirota, J.M.; McGarry, J.F.; Palm, S.; Yi, D.; Liiva, P. Geoscience Laser Altimeter System (GLAS) on the ICESat Mission: On-Orbit Measurement Performance. Geophys. Res. Lett. 2005, 32, L21S02. [Google Scholar] [CrossRef]
- National Snow & Ice Data Center (NSIDC). ICESat/GLAS Data. Ice, Cloud, and land Elevation/Geoscience Laser Altimeter System. Laser Operational Periods. Available online: https://nsidc.org/data/icesat/laser_op_periods (accessed on 1 July 2020).
- National Aeronautics and Space Administration (NASA). ICESat-2 Successfully Launched on Final Flight of Delta II Rocket. Available online: https://blogs.nasa.gov/icesat2/2018/09/15/icesat-2-successfully-launched-on-final-flight-of-delta-ii-rocket/?ga=2.34374946.2088343187.1605974550-1231117760.1579528981 (accessed on 1 July 2020).
- Neumann, T.; Brenner, A.; Hancock, D.; Robbins, J.; Saba, J.; Harbeck, K. ICE, CLOUD, and Land Elevation Satellite-2 (ICESat-2) Project. Algorithm Theoretical Basis Document (ATBD) for Global Geolocated Photons. ATL03; NASA: Greenbelt, MD, USA, 2018. [Google Scholar]
- Markus, T.; Neumann, T.; Martino, A.; Abdalati, W.; Brunt, K.; Csatho, B.; Farrell, S.; Fricker, H.; Gardner, A.; Harding, D.; et al. The Ice, Cloud, and Land Elevation Satellite-2 (ICESat-2): Science Requirements, Concept, and Implementation. Remote Sens. Environ. 2017, 190, 260–273. [Google Scholar] [CrossRef]
- Wang, X.; Cheng, X.; Gong, P.; Huang, H.; Li, Z.; Li, X. Earth Science Applications of ICESat/GLAS: A Review. Int. J. Remote Sens. 2011, 32, 8837–8864. [Google Scholar] [CrossRef]
- Brenner, A.C.; DiMarzio, J.P.; Zwally, H.J. Precision and Accuracy of Satellite Radar and Laser Altimeter Data Over the Continental Ice Sheets. IEEE Trans. Geosci. Remote Sensing 2007, 45, 321–331. [Google Scholar] [CrossRef]
- Slobbe, D.; Lindenbergh, R.; Ditmar, P. Estimation of Volume Change Rates of Greenland’s Ice Sheet from ICESat Data Using Overlapping Footprints. Remote Sens. Environ. 2008, 112, 4204–4213. [Google Scholar] [CrossRef]
- Felikson, D.; Urban, T.J.; Gunter, B.C.; Pie, N.; Pritchard, H.D.; Harpold, R.; Schutz, B.E. Comparison of Elevation Change Detection Methods From ICESat Altimetry Over the Greenland Ice Sheet. IEEE Trans. Geosci. Remote Sens. 2017, 55, 5494–5505. [Google Scholar] [CrossRef]
- Sun, X.; Abshire, J.B.; Borsa, A.A.; Fricker, H.A.; Yi, D.; DiMarzio, J.P.; Paolo, F.S.; Brunt, K.M.; Harding, D.J.; Neumann, G.A. ICESAT/GLAS Altimetry Measurements: Received Signal Dynamic Range and Saturation Correction. IEEE Trans. Geosci. Remote Sens. 2017, 55, 5440–5454. [Google Scholar] [CrossRef]
- Borsa, A.A.; Fricker, H.A.; Brunt, K.M. A Terrestrial Validation of ICESat Elevation Measurements and Implications for Global Reanalyses. IEEE Trans. Geosci. Remote Sens. 2019, 57, 6946–6959. [Google Scholar] [CrossRef]
- Aas, H.F.; Moholdt, G. Merged NPI-ArcticDEM Svalbard Digital Elevation Model; Norwegian Polar Institute: Tromsø, Norway, 2020. [Google Scholar] [CrossRef]
- Norwegian Polar Institute (NPI). Merged NPI-ArcticDEM Svalbard Digital Elevation Model. Available online: https://data.npolar.no/dataset/a660ff0c-c013-4592-a9a0-e1f3509f7fe0 (accessed on 11 March 2021).
- Norwegian Polar Institute (NPI). Terrengmodell Svalbard (S0 Terrengmodell). Available online: https://data.npolar.no/dataset/dce53a47-c726-4845-85c3-a65b46fe2fea (accessed on 1 July 2020).
- RGI Consortium. Randolph Glacier Inventory—A Dataset of Global Glacier Outlines: Version 6.0: Technical Report, Global Land Ice Measurements from Space, Colorado, USA. Digit. Media 2017. [Google Scholar] [CrossRef]
- Huss, M. Density Assumptions for Converting Geodetic Glacier Volume Change to Mass Change. Cryosphere 2013, 7, 877–887. [Google Scholar] [CrossRef]
- Dunse, T.; Schellenberger, T.; Hagen, J.O.; Kääb, A.; Schuler, T.V.; Reijmer, C.H. Glacier-Surge Mechanisms Promoted by a Hydro-Thermodynamic Feedback to Summer Melt. Cryosphere 2015, 9, 197–215. [Google Scholar] [CrossRef]
- McNabb, R. Characteristics of a surge of Franklinbreen detailed from remote sensing. In Proceedings of the SIOS Online Conference 2000, 16 June 2020; Available online: https://www.sios-svalbard.org/sites/sios-svalbard.org/files/common/RSconference2020/Presentations/RSconference2020_RobertMcNabb_Day2.pdf (accessed on 1 July 2020).
- Wouters, B.; Gardner, A.S.; Moholdt, G. Global Glacier Mass Loss During the GRACE Satellite Mission (2002–2016). Front. Earth Sci. 2019, 7, 96. [Google Scholar] [CrossRef]
- Strozzi, T.; Kääb, A.; Schellenberger, T. Frontal Destabilization of Stonebreen, Edgeøya, Svalbard. Cryosphere 2017, 11, 553–566. [Google Scholar] [CrossRef]
- Sund, M.; Lauknes, T.R.; Eiken, T. Surge Dynamics in the Nathorstbreen Glacier System, Svalbard. Cryosphere 2014, 8, 623–638. [Google Scholar] [CrossRef]
- Lang, C.; Fettweis, X.; Erpicum, M. Stable Climate and Surface Mass Balance in Svalbard over 1979–2013 despite the Arctic Warming. Cryosphere 2015, 9, 83–101. [Google Scholar] [CrossRef]
- Lind, S.; Ingvaldsen, R.B.; Furevik, T. Arctic Warming Hotspot in the Northern Barents Sea Linked to Declining Sea-Ice Import. Nat. Clim. Chang. 2018, 8, 634–639. [Google Scholar] [CrossRef]
- Zheng, W.; Pritchard, M.E.; Willis, M.J.; Tepes, P.; Gourmelen, N.; Benham, T.J.; Dowdeswell, J.A. Accelerating Glacier Mass Loss on Franz Josef Land, Russian Arctic. Remote Sens. Environ. 2018, 211, 357–375. [Google Scholar] [CrossRef]
- Melkonian, A.K.; Willis, M.J.; Pritchard, M.E.; Stewart, A.J. Recent Changes in Glacier Velocities and Thinning at Novaya Zemlya. Remote Sens. Environ. 2016, 174, 244–257. [Google Scholar] [CrossRef]
- Sommer, C.; Seehaus, T.; Glazovsky, A.; Braun, M.H. Brief Communication: Accelerated Glacier Mass Loss in the Russian Arctic (2010–2017). Cryosphere 2020. (preprint). [Google Scholar] [CrossRef]
- Herzfeld, U.C.; Trantow, T.; Lawson, M.; Hans, J.; Medley, G. Surface Heights and Crevasse Morphologies of Surging and Fast-Moving Glaciers from ICESat-2 Laser Altimeter Data—Application of the Density-Dimension Algorithm (DDA-Ice) and Evaluation Using Airborne Altimeter and Planet SkySat Data. Sci. Remote Sens. 2021, 3, 100013. [Google Scholar] [CrossRef]





| Region | A | N | dh/dt | dV/dt | dM/dt1 | dM/dt2 |
|---|---|---|---|---|---|---|
| [km2] | [m yr−1] | [km3 yr−1] | [Gt yr−1] | [Gt yr−1] | ||
| NW | 6230 | 1590 | −0.63 ± 0.21 | −3.94 ± 1.31 | −3.62 ± 1.20 | −3.35 ± 1.11 |
| NE | 8125 | 1860 | −0.07 ± 0.16 | −0.55 ± 1.30 | −0.51 ± 1.19 | −0.47 ± 1.11 |
| AF 1 | 7010 | 2236 | −0.07 ± 0.09 | −0.47 ± 0.63 | −0.43 ± 0.58 | −0.40 ± 0.54 |
| Storisstraumen | 1213 | 264 | −2.35 ± 0.09 | −2.86 ± 0.11 | −2.62 ± 0.10 | −2.43 ± 0.09 |
| VF | 2383 | 790 | −0.09 ± 0.12 | −0.22 ± 0.29 | −0.21 ± 0.26 | −0.19 ± 0.24 |
| SS | 5715 | 592 | −0.80 ± 0.18 | −4.60 ± 1.03 | −4.22 ± 0.94 | −3.91 ± 0.87 |
| BE | 2286 | 423 | −0.54 ± 0.13 | −1.24 ± 0.30 | −1.14 ± 0.27 | −1.06 ± 0.25 |
| KV | 637 | 266 | −0.74 ± 0.09 | −0.47 ± 0.06 | −0.43 ± 0.05 | −0.40 ± 0.05 |
| SVAL | 33599 | 8021 | −0.30 ± 0.15 1 | −14.35 ± 5.04 | −13.18 ± 4.62 | −12.21 ± 4.28 |
| Region | Nuth et al. 2010 [21] 1 | Moholdt et al. 2010 [20] 1 | Morris et al. 2020 [19] 2 | This Study (dM/dt2) |
|---|---|---|---|---|
| Timespan | 1965–1990 to 2005 | 2003–2008 | 2011–2017 | 2003–2008 to 2019 |
| NW | −2.23 ± 0.21 | −2.89 ± 0.78 | −3.34 ± 1.28 | −3.35 ± 1.11 |
| NE | −2.08 ± 0.21 | 0.44 ± 0.59 | −1.08 ± 1.41 | −0.47 ± 1.11 |
| AF | - | 0.52 ± 0.37 | −0.94 ± 1.59 | −0.40 ± 0.54 3 |
| Storisstraumen | - | - | −3.56 | −2.43 ± 0.09 |
| VF | 1.00 ± 0.29 | −0.33 ± 0.24 | −0.58 ± 0.48 | −0.19 ± 0.24 |
| SS | −2.86 ± 0.26 | −0.70 ± 1.06 | −4.57 ± 1.49 | −3.91 ± 0.87 |
| BE | −1.18 ± 0.15 | −0.39 ± 0.30 | −1.93 ± 0.60 | −1.06 ± 0.25 |
| KV | - | - | - | −0.40 ± 0.05 |
| SVAL | - | −3.40 ± 1.60 | −16.00 ± 3.00 | −12.21 ± 4.28 |
Publisher’s Note: MDPI stays neutral with regard to jurisdictional claims in published maps and institutional affiliations. |
© 2021 by the authors. Licensee MDPI, Basel, Switzerland. This article is an open access article distributed under the terms and conditions of the Creative Commons Attribution (CC BY) license (https://creativecommons.org/licenses/by/4.0/).
Share and Cite
Sochor, L.; Seehaus, T.; Braun, M.H. Increased Ice Thinning over Svalbard Measured by ICESat/ICESat-2 Laser Altimetry. Remote Sens. 2021, 13, 2089. https://doi.org/10.3390/rs13112089
Sochor L, Seehaus T, Braun MH. Increased Ice Thinning over Svalbard Measured by ICESat/ICESat-2 Laser Altimetry. Remote Sensing. 2021; 13(11):2089. https://doi.org/10.3390/rs13112089
Chicago/Turabian StyleSochor, Lukas, Thorsten Seehaus, and Matthias H. Braun. 2021. "Increased Ice Thinning over Svalbard Measured by ICESat/ICESat-2 Laser Altimetry" Remote Sensing 13, no. 11: 2089. https://doi.org/10.3390/rs13112089
APA StyleSochor, L., Seehaus, T., & Braun, M. H. (2021). Increased Ice Thinning over Svalbard Measured by ICESat/ICESat-2 Laser Altimetry. Remote Sensing, 13(11), 2089. https://doi.org/10.3390/rs13112089

