Radiometrically Consistent Climate Fingerprinting Using CrIS and AIRS Hyperspectral Observations
Abstract
1. Introduction
2. Fingerprinting Methodology
3. PCRTM Single FOV Retrieval Algorithm
4. Fingerprinting Applications
4.1. Fingerprinting of CrIS Data
4.2. Fingerprinting of AIRS Data
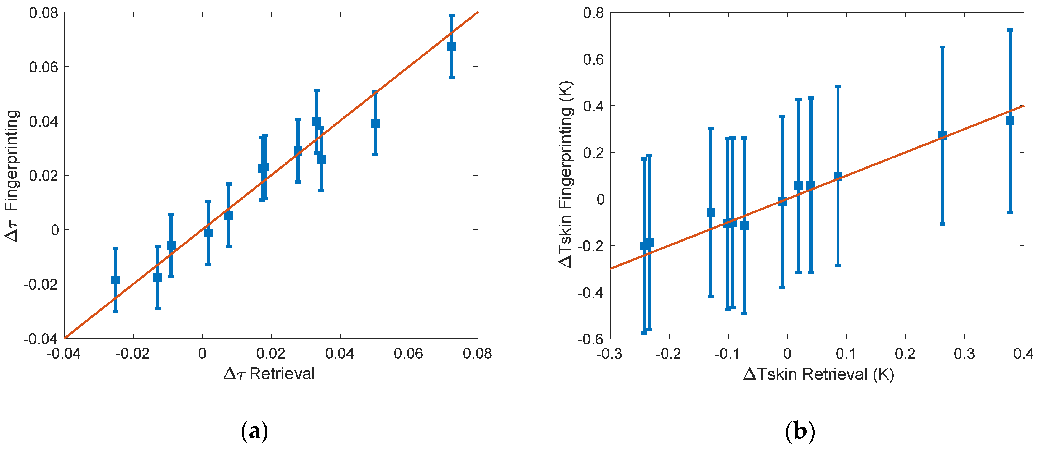
4.3. Comparison Between CrIS and AIRS Fingerprinting during the Overlapping Period
5. Conclusions and Future Work
- (1)
- The fingerprinting scheme is constructed from the PCRTM physical retrieval results to ensure the radiometric consistency between the simulation and the observations, which cannot be satisfied by using results from climate models or numerical reanalysis or by using cloud-clearing products.
- (2)
- The capability of providing rigorous radiometric fitting to observations under all-sky conditions depends on the cloud scattering simulation capability built in the PCRTM. As a comparison, operational hyperspectral sounder algorithms avoid cloud scattering simulations by using the “cloud-cleared” radiance spectra to retrieve temperature and water vapor profiles. The radiance closure needed for climate studies cannot be established using the current AIRS and CrIS operational data products due to the lack of cloud information from the corresponding radiative transfer simulations.
- (3)
- The fingerprinting scheme used for AIRS fingerprinting is consistent with that used for CrIS fingerprinting. Therefore, the discrepancy between AIRS and CrIS fingerprinting results introduced by the algorithm itself is minimized.
- (4)
- Through its consistency with the physical retrieval that uses the high vertical resolution profiling capability of hyperspectral sounders, the optimal fingerprinting also provides the vertical profiling of atmospheric anomalies that is useful for climate feedback studies.
- (5)
- The radiometrically consistent fingerprinting facilitates the characterization for the impact of instrument related measurement errors on the fingerprinting results. The difference between the fingerprinting results from the overlapping observations of CrIS and AIRS can be used to evaluate the impact of temporal-spatial sampling and instrument calibration related differences on the determination of climate trends using the combined data set.
Author Contributions
Funding
Acknowledgments
Conflicts of Interest
References
- Leroy, S.S.; Anderson, J.G.; Ohring, G. Climate Signal Detection Times and Constraints on Climate Benchmark Accuracy Requirements. J. Clim. 2008, 21, 841–846. [Google Scholar] [CrossRef]
- Wielicki, B.; Young, D.F.; Mlynczak, M.G.; Thome, K.J.; Leroy, S.; Corliss, J.; Anderson, J.G.; Ao, C.; Bantges, R.; Best, F.; et al. Achieving Climate Change Absolute Accuracy in Orbit. Bull. Am. Meteorol. Soc. 2013, 94, 1519–1539. [Google Scholar] [CrossRef]
- Liu, X.; Wu, W.; Wielicki, B.A.; Yang, Q.; Kizer, S.H.; Huang, X.; Chen, X.; Kato, S.; Shea, Y.; Mlynczak, M. Spectrally Dependent CLARREO Infrared Spectrometer Calibration Requirement for Climate Change Detection. J. Clim. 2017, 30, 3979–3998. [Google Scholar] [CrossRef]
- AIRS Version 6 Processing Files Description Document. Available online: https://docserver.gesdisc.eosdis.nasa.gov/repository/Mission/AIRS/3.3_ScienceDataProductDocumentation/3.3.4_ProductGenerationAlgorithms/V6_Released_Processing_Files_Description.pdf (accessed on 16 May 2019).
- Susskind, J.; Blaisdell, J.M.; Iredell, L. Improved methodology for surface and atmospheric soundings, error estimates, and quality control procedures: The atmospheric infrared sounder science team version-6 retrieval algorithm. J. Appl. Remote. Sens. 2014, 8, 84994. [Google Scholar] [CrossRef]
- Susskind, J.; Blaisdell, J.M.; Iredell, L.; Keita, F. Improved Temperature Sounding and Quality Control Methodology Using AIRS/AMSU Data: The AIRS Science Team Version 5 Retrieval Algorithm. IEEE Trans. Geosci. Remote. Sens. 2010, 49, 883–907. [Google Scholar] [CrossRef]
- Smith, N.; Barnet, C.D. Uncertainty Characterization and Propagation in the Community Long-Term Infrared Microwave Combined Atmospheric Product System (CLIMCAPS). Remote. Sens. 2019, 11, 1227. [Google Scholar] [CrossRef]
- Smith, N.; Barnet, C.D. CLIMCAPS Observing Capability for Temperature, Moisture and Trace Gases from AIRS/AMSU and CrIS/ATMS. Atmos. Meas. Tech. Discuss. 2020. submitted for publication. [Google Scholar] [CrossRef]
- Smith, N.; Smith, W.L.; Weisz, E.; Revercomb, H.E. AIRS, IASI, and CrIS Retrieval Records at Climate Scales: An Investigation into the Propagation of Systematic Uncertainty. J. Appl. Meteorol. Clim. 2015, 54, 1465–1481. [Google Scholar] [CrossRef]
- Smith, W.L.; Weisz, E.; Kireev, S.V.; Zhou, D.K.; Li, Z.; Borbas, E.E. Dual-Regression Retrieval Algorithm for Real-Time Processing of Satellite Ultraspectral Radiances. J. Appl. Meteorol. Clim. 2012, 51, 1455–1476. [Google Scholar] [CrossRef]
- Weisz, E.; Smith, W.L.; Smith, N. Advances in simultaneous atmospheric profile and cloud parameter regression based retrieval from high-spectral resolution radiance measurements. J. Geophys. Res. Atmos. 2013, 118, 6433–6443. [Google Scholar] [CrossRef]
- Hasselmann, K. Multi-pattern fingerprint method for detection and attribution of climate change. Clim. Dyn. 1997, 13, 601–611. [Google Scholar] [CrossRef]
- Allen, M.R.; Tett, S. Checking for model consistency in optimal fingerprinting. Clim. Dyn. 1999, 15, 419–434. [Google Scholar] [CrossRef]
- Wetherald, R.T.; Manabe, S. Cloud Feedback Processes in a General Circulation Model. J. Atmos. Sci. 1988, 45, 1397–1416. [Google Scholar] [CrossRef]
- Huang, Y.; Ramaswamy, V.; Soden, B. An investigation of the sensitivity of the clear-sky outgoing longwave radiation to atmospheric temperature and water vapor. J. Geophys. Res. Space Phys. 2007, 112, 05104. [Google Scholar] [CrossRef]
- Shell, K.; Kiehl, J.T.; Shields, C.A. Using the Radiative Kernel Technique to Calculate Climate Feedbacks in NCAR’s Community Atmospheric Model. J. Clim. 2008, 21, 2269–2282. [Google Scholar] [CrossRef]
- Soden, B.; Held, I.M.; Colman, R.; Shell, K.; Kiehl, J.T.; Shields, C.A. Quantifying Climate Feedbacks Using Radiative Kernels. J. Clim. 2008, 21, 3504–3520. [Google Scholar] [CrossRef]
- Huang, X.; Chen, X.; Liu, X.; Soden, B.J. Spectral radiative kernel and the spectrally resolved longwave feedbacks in the CMIP3 and CMIP5 experiments. In Proceedings of the 2014 AGU Fall Meeting, San Francisco, CA, USA, 15–19 December 2014. [Google Scholar]
- Huang, X.; Chen, X.; Soden, B.J.; Liu, X. Spectral radiative kernel technique and the spectrally-resolved longwave feedbacks in the CMIP3 and CMIP5 experiments. In Proceedings of the EGU General Assembly Conference 2015, Vienna, Austria, 12–17 April 2015. [Google Scholar]
- Leroy, S.S.; Anderson, J.; Dykema, J.; Goody, R. Testing Climate Models Using Thermal Infrared Spectra. J. Clim. 2008, 21, 1863–1875. [Google Scholar] [CrossRef]
- Huang, Y.; Leroy, S.; Gero, P.J.; Dykema, J.; Anderson, J. Separation of longwave climate feedbacks from spectral observations. J. Geophys. Res. Space Phys. 2010, 115, 07104. [Google Scholar] [CrossRef]
- Kato, S.; Wielicki, B.; Rose, F.G.; Liu, X.; Taylor, P.C.; Kratz, D.P.; Mlynczak, M.; Young, D.F.; Phojanamongkolkij, N.; Sun-Mack, S.; et al. Detection of Atmospheric Changes in Spatially and Temporally Averaged Infrared Spectra Observed from Space. J. Clim. 2011, 24, 6392–6407. [Google Scholar] [CrossRef]
- Kato, S.; Rose, F.G.; Liu, X.; Wielicki, B.A.; Mlynczak, M. Retrieval of Atmospheric and Cloud Property Anomalies and Their Trend from Temporally and Spatially Averaged Infrared Spectra Observed from Space. J. Clim. 2014, 27, 4403–4420. [Google Scholar] [CrossRef]
- Pan, F.; Huang, X.; Leroy, S.S.; Lin, P.; Strow, L.L.; Ming, Y.; Ramaswamy, V. The Stratospheric Changes Inferred from 10 Years of AIRS and AMSU-A Radiances. J. Clim. 2017, 30, 6005–6016. [Google Scholar] [CrossRef]
- Pan, F.; Huang, X.; Strow, L.L.; Guo, H. Linear Trends and Closures of 10-yr Observations of AIRS Stratospheric Channels. J. Clim. 2015, 28, 8939–8950. [Google Scholar] [CrossRef]
- Strow, L.L.; DeSouza-Machado, S. Establishment of AIRS Climate-Level Radiometric Stability using Radiance Anomaly Retrievals of Minor Gases and SST. Atmos. Meas. Tech. Discuss. 2020. submitted for publication. [Google Scholar] [CrossRef]
- Leroy, S.S.; Anderson, J.G. Optimal Detection of Regional Trends Using Global Data. J. Clim. 2010, 23, 4438–4446. [Google Scholar] [CrossRef]
- Wu, W.; Liu, X.; Wielicki, B.; Yang, Q.; Kizer, S. Climate Signal Trend Uncertainty Analysis Using Autoregressive and Moving Average Model. In Proceedings of the 2017 CLARREO Science Definition Team Meeting, Boulder, CO, USA, 17–19 May 2017. [Google Scholar]
- Liu, X.; Smith, W.L.; Zhou, D.K.; Larar, A. Principal component-based radiative transfer model for hyperspectral sensors: Theoretical concept. Appl. Opt. 2006, 45, 201–209. [Google Scholar] [CrossRef]
- Liu, X.; Zhou, D.K.; Larar, A.; Smith, W.L.; Mango, S.A. Case-study of a principal-component-based radiative transfer forward model and retrieval algorithm using EAQUATE data. Q. J. R. Meteorol. Soc. 2007, 133, 243–256. [Google Scholar] [CrossRef]
- Liu, X.; Zhou, D.K.; Larar, A.M.; Smith, W.L.; Schluessel, P.; Newman, S.M.; Taylor, J.; Wu, W. Retrieval of atmospheric profiles and cloud properties from IASI spectra using super-channels. Atmos. Chem. Phys. Discuss. 2009, 9, 9121–9142. [Google Scholar] [CrossRef]
- Wu, W.; Liu, X.; Zhou, D.K.; Larar, A.M.; Yang, Q.; Kizer, S.H.; Liu, Q. The Application of PCRTM Physical Retrieval Methodology for IASI Cloudy Scene Analysis. IEEE Trans. Geosci. Remote Sens. 2017, 55, 5042–5056. [Google Scholar] [CrossRef]
- Chahine, M.T. Remote Sounding of Cloudy Atmospheres. I. The Single Cloud Layer. J. Atmos. Sci. 1974, 31, 233–243. [Google Scholar] [CrossRef]
- Rodgers, C.D. Inverse Methods for Atmospheric Sounding; World Scientific Publishing Co. Pte. Ltd.: Singapore, 2000; pp. 166–167. [Google Scholar]
- Rodgers, C.D. Retrieval of atmospheric temperature and composition from remote measurements of thermal radiation. Rev. Geophys. 1976, 14, 609. [Google Scholar] [CrossRef]
- AIRS Level 1b Algorithm Theoretical Basis Document (ATBD) Part 1 (IR). Available online: https://eospso.gsfc.nasa.gov/sites/default/files/atbd/AIRS_L1B_ATBD_Part_1.pdf (accessed on 13 March 2019).
- Granger, S.; Leroy, S.; Manning, E.; Fetzer, E.; Oliphant, R.; Braverman, A.; Lee, S.-Y.; Lambrigtsen, B. Development of level 3 (gridded) products for the atmospheric infrared sounder (AIRS). In Proceedings of the IEEE International Geoscience and Remote Sensing Symposium, 2004. IGARSS ’04, Anchorage, AK, USA, 20–24 September 2004. [Google Scholar]
- AIRS Level 1C Algorithm Theoretical Basis. 2015. Available online: https://eospso.gsfc.nasa.gov/sites/ default /files /atbd/V6.1.0_201_AIRS_L1C_ATBD.pdf (accessed on 16 May 2019).
- AIRS L1c Frequency Calibration Report. Available online: https://asl.umbc.edu/reports/l1c/ (accessed on 18 February 2020).



















| PC Compressed Variables | Number of PCs |
|---|---|
| CrIS spectra (Long Wave) | 50 |
| CrIS spectra (Mid Wave) | 40 |
| CrIS spectra (Short Wave) | 30 |
| Temperature | 20 |
| Water Vapor | 15 |
| Surface Emissivity | 10 |
| Ozone | 10 |
| CO2 | 2 |
| N2O | 2 |
| CO | 4 |
| CH4 | 2 |
| Parameters at Different Pressure Levels | k = 1 | (Month) | k = 1 | (Month) | |
|---|---|---|---|---|---|
| Temperature @ 9.5 hPa | 0.22 K | 3.87 | 0.82 K | 1.98 | 1.07 |
| Temperature @ 300hPa | 0.11 K | 5.76 | 0.46 K | 7.24 | 1.02 |
| Temperature @ 497hPa | 0.21 K | 35.39 | 0.33 K | 4.46 | 2.06 |
| Temperature @ 707hPa | 0.19 K | 24.88 | 0.29 K | 5.55 | 1.72 |
| Temperature @ 802hPa | 0.21 K | 24.04 | 0.23 K | 7.04 | 1.94 |
| Surface Skin Temp. | 0.15 K | 4.26 | 0.24 K | 9.18 | 1.09 |
| H2O @ 300hPa | 0.003 (g/kg) | 2.80 | 0.012 (g/kg) | 4.32 | 1.02 |
| H2O @ 497hPa | 0.064 (g/kg) | 6.52 | 0.088 (g/kg) | 4.48 | 1.33 |
| H2O @ 707hPa | 0.167 (g/kg) | 6.71 | 0.183 (g/kg) | 5.72 | 1.40 |
| H2O @ 802hPa | 0.157 (g/kg) | 6.19 | 0.185 (g/kg) | 5.45 | 1.35 |
© 2020 by the authors. Licensee MDPI, Basel, Switzerland. This article is an open access article distributed under the terms and conditions of the Creative Commons Attribution (CC BY) license (http://creativecommons.org/licenses/by/4.0/).
Share and Cite
Wu, W.; Liu, X.; Yang, Q.; Zhou, D.K.; Larar, A.M. Radiometrically Consistent Climate Fingerprinting Using CrIS and AIRS Hyperspectral Observations. Remote Sens. 2020, 12, 1291. https://doi.org/10.3390/rs12081291
Wu W, Liu X, Yang Q, Zhou DK, Larar AM. Radiometrically Consistent Climate Fingerprinting Using CrIS and AIRS Hyperspectral Observations. Remote Sensing. 2020; 12(8):1291. https://doi.org/10.3390/rs12081291
Chicago/Turabian StyleWu, Wan, Xu Liu, Qiguang Yang, Daniel K. Zhou, and Allen M. Larar. 2020. "Radiometrically Consistent Climate Fingerprinting Using CrIS and AIRS Hyperspectral Observations" Remote Sensing 12, no. 8: 1291. https://doi.org/10.3390/rs12081291
APA StyleWu, W., Liu, X., Yang, Q., Zhou, D. K., & Larar, A. M. (2020). Radiometrically Consistent Climate Fingerprinting Using CrIS and AIRS Hyperspectral Observations. Remote Sensing, 12(8), 1291. https://doi.org/10.3390/rs12081291

