Dynamic Modal Identification of Telecommunication Towers Using Ground Based Radar Interferometry
Abstract
1. Introduction
2. Ground-Based Radar Interferometry
2.1. Basic Principles and Applications
2.2. Estimation and Visualization of Vibration Frequencies
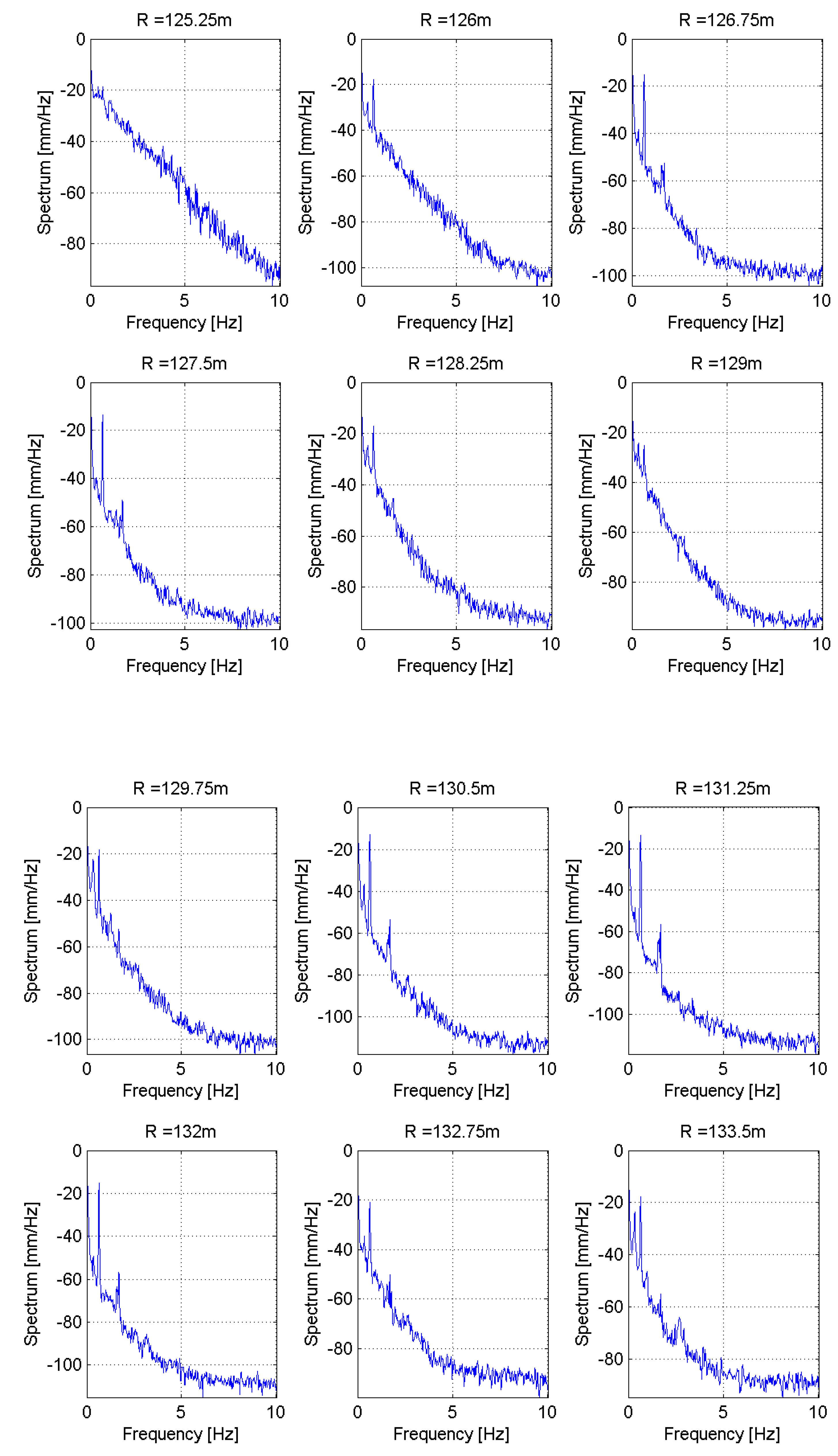
3. Results
3.1. Case Studies: Acquistion Geometries
3.2. Case Studies: Results
4. Discussion
- (1)
- The schematization of constraints differing slightly from the actual connections of the tower elements;
- (2)
- The intensities and positions of the point loads due to the parabolic, planar and linear antennas and consequently, their influence on the wind loads, being known only approximately.
5. Conclusions
Author Contributions
Funding
Acknowledgments
Conflicts of Interest
References
- Amiri, M.M.; Yahyai, M. Estimation of damping ratio of TV towers based on ambient vibration monitoring. Struct. Des. Tall Spéc. Build. 2011, 22, 862–875. [Google Scholar] [CrossRef]
- Matikainen, L.; Lehtomäki, M.; Ahokas, E.; Hyyppä, J.; Karjalainen, M.; Jaakkola, A.; Kukko, A.; Heinonen, T. Remote sensing methods for power line corridor surveys. ISPRS J. Photogramm. Remote. Sens. 2016, 119, 10–31. [Google Scholar] [CrossRef]
- Pieraccini, M. Monitoring of Civil Infrastructures by Interferometric Radar: A Review. Sci. World J. 2013, 2013, 1–8. [Google Scholar] [CrossRef] [PubMed]
- Di Pasquale, A.; Corsetti, M.; Guccione, P.; Lugli, A.; Nicoletti, M.; Nico, G.; Zonno, M. Ground-based SAR interferometry as a supporting tool in natural and man-made disasters. In Proceedings of the 33rd EARSel Symposium, Matera, Italy, 3–6 June 2013; pp. 173–186. [Google Scholar]
- Nico, G.; Borrelli, L.; Di Pasquale, A.; Antronico, L.; Gullà, G. Monitoring of an Ancient Landslide Phenomenon by GBSAR Technique in the Maierato Town (Calabria, Italy). Eng. Geol. Soc. Territ. 2015, 2, 129–133. [Google Scholar]
- Anghel, A.; Ding, Z.; Nies, H.; Loffeld, O.; Atencia, D.; Huaman, S.G.; Medella, A.; Moreira, J.; Tudose, M.; Cacoveanu, R.; et al. Compact Ground-Based Interferometric Synthetic Aperture Radar: Short-Range Structural Monitoring. IEEE Signal Process. Mag. 2019, 36, 42–52. [Google Scholar] [CrossRef]
- Mascolo, L.; Nico, G.; Di Pasquale, A.; Pitullo, A. Use of advanced SAR monitoring techniques for the assessment of the behaviour of old embankment dams. SPIE Remote Sens. 2014, 9245, 92450. [Google Scholar]
- Scaioni, M.; Marsella, M.; Crosetto, M.; Tornatore, V.; Wang, J. Geodetic and Remote-Sensing Sensors for Dam Deformation Monitoring. Sensors 2018, 18, 3682. [Google Scholar] [CrossRef] [PubMed]
- Nico, G.; Cifarelli, G.; Miccoli, G.; Soccodato, F.M.; Feng, W.; Sato, M.; Miliziano, S.; Marini, M. Measurement of Pier Deformation Patterns by Ground-Based SAR Interferometry: Application to a Bollard Pull Trial. IEEE J. Ocean. Eng. 2018, 43, 822–829. [Google Scholar] [CrossRef]
- Pieraccini, M.; Fratini, M.; Parrini, F.; Macaluso, G.; Atzeni, C. High-speed CW step-frequency coherent radar for dynamic monitoring of civil engineering structures. Electron. Lett. 2004, 40, 907. [Google Scholar] [CrossRef]
- Artese, S.; Achilli, V.; Zinno, R. Monitoring of Bridges by a Laser Pointer: Dynamic Measurement of Support Rotations and Elastic Line Displacements: Methodology and First Test. Sensors 2018, 18, 338. [Google Scholar] [CrossRef] [PubMed]
- Artese, S. THE Survey of the san francesco bridge by santiago calatrava in cosenza, Italy. ISPRS Int. Arch. Photogramm. Remote. Sens. Spat. Inf. Sci. 2019, 33–37. [Google Scholar] [CrossRef]
- Pieraccini, M.; Fratini, M.; Parrini, F.; Atzeni, C.; Bartoli, G. Interferometric radar vs. accelerometer for dynamic monitoring of large structures: An experimental comparison. NDT E Int. 2008, 41, 258–264. [Google Scholar] [CrossRef]
- Artese, S.; Nico, G. TLS and GB-RAR Measurements of Vibration Frequencies and Oscillation Amplitudes of Tall Structures: An Application to Wind Towers. Appl. Sci. 2020, 10, 2237. [Google Scholar] [CrossRef]
- Di Pasquale, A.; Nico, G.; Pitullo, A.; Prezioso, G. Monitoring Strategies of Earth Dams by Ground-Based Radar Interferometry: How to Extract Useful Information for Seismic Risk Assessment. Sensors 2018, 18, 244. [Google Scholar] [CrossRef] [PubMed]
- Farrar, C.R.; Doebling, S.W.; Nix, D.A. Vibration–based structural damage identification. Philos. Trans. R. Soc. A Math. Phys. Eng. Sci. 2001, 359, 131–149. [Google Scholar] [CrossRef]
- Farrar, C.R.; Worden, K. An introduction to structural health monitoring. Philos. Trans. R. Soc. A Math. Phys. Eng. Sci. 2006, 365, 303–315. [Google Scholar] [CrossRef] [PubMed]
- Thomson, W.T. Theory of Vibration with Application; Kindersley Publishing, Inc.: London, UK, 2007. [Google Scholar]















| Target | (Case Study 1) | (Case Study 2) |
|---|---|---|
| Distance [m] | Distance [m] | |
| A | 125 | 115 |
| E1 | 24 | 46 |
| E2 | 42 | 53 |
| E3 | 60 | 52 |
| Range Distance [m] | Frequency [Hz] | Range Distance [m] | Frequency [Hz] |
|---|---|---|---|
| 126.00 | 0.6 | 138.00 | 0.6 |
| 126.75 | 0.6; 1.7 | 138.75 | 0.6 |
| 127.50 | 0.6; 1.7 | 139.50 | 0.6 |
| 128.25 | 0.6 | 140.25 | 0.6 |
| 129.00 | 0.6 | 141.00 | 0.6; 1.7 |
| 129.75 | 0.6 | 141.75 | 0.6 |
| 130.50 | 0.6; 1.7 | 142.50 | 0.6; 1.7 |
| 131.25 | 0.6; 1.7 | 143.25 | 0.6; 1.7 |
| 132.00 | 0.6; 1.7 | 144.00 | 0.6; 1.7 |
| 132.75 | 0.6 | 144.75 | 0.6; 1.7 |
| 133.50 | 0.6 | 145.50 | 0.6; 1.7 |
| 134.25 | 0.6 | 146.25 | 0.6; 1.7 |
| 135.00 | 0.6; 2.8 | 147.00 | 0.6; 1.7; 2.4; 2.7 |
| 135.75 | 0.6; 1.7; 2.8 | 147.75 | 0.6 |
| 136.50 | 0.6; 1.7 | 148.50 | 0.6 |
| 137.25 | 0.6; 1.7 |
| Range Distance [m] | Frequency [Hz] |
|---|---|
| 102.00 | 1.1 |
| 102.75 | 1.1; 5.2; 5.9 |
| 103.50 | 1.1 |
| 104.25 | 1.1; 2.9; 3.3; 4.5; 5.2; 5.3; 5.9 |
| 105.00 | 1.1; 5.2; 8.8 |
| 105.75 | 1.1; 4.5; 5.3; 5.4; 6.0; 6.8; 7.7; 7.8; 8.6; 8.8 |
| 106.50 | 1.1; 2.9 |
| 107.25 | 1.1; 1.6; 3.1; 5.2 |
| 108.00 | 1.1; 1.6; 3.9 |
| 108.75 | 1.1; 2.9; 3.9; 5.2; 9.0; 9.2 |
| 109.50 | 1.1; 1.5; 2.9; 5.2 |
| 110.25 | 1.1 |
| 111.00 | 1.1; 5.2 |
| 111.75 | 1.1 |
| 112.50 | 1.1; 1.5; 4.2 |
| 113.25 | 1.1; 4.2; 4.9 |
| 114.00 | 1.1; 2.1; 2.9; 3.1; 3.3; 4.0; 4.1; 5.2 Comb effect with Δf = 1.0 Hz and f0 = 1.0 Hz |
| 114.75 | 1.1; 2.1; 2.9; 3.1; 3.3; 4.0; 4.1; 5.2 Comb effect with Δf = 1.0 Hz and f0 = 1.0 Hz |
| 115.50 | 1.1; 2.1; 2.9; 3.1; 3.3; 4.0; 4.1; 5.2 Comb effect with Δf = 1.0 Hz and f0 = 1.0 Hz |
| 116.25 | 1.1; 2.1; 2.9; 3.1; 3.3; 3.9; 4.2; 5.2 Comb effect with Δf = 1.0 Hz and f0 = 1.0 Hz |
| 117.00 | 1.1; 2.2; 2.9; 5.9; 6.9; 12.0; 12.7; 13.7; 20.0 |
| 117.75 | 1.1; 2.1; 2.9; 3.1; 3.3; 4.0; 4.2; 5.2 Comb effect with Δf = 1.0 Hz and f0 = 1.0 Hz |
| 118.50 | 1.1; 2.1; 2.9; 3.1; 3.3; 4.0; 4.2; 5.2 Comb effect with Δf = 1.0 Hz and f0 = 1.0 Hz |
| 119.25 | 1.1; 2.1; 2.9; 3.1; 3.3; 4.0; 4.2; 5.2 Comb effect with Δf = 1.0 Hz and f0 = 1.0 Hz |
| 120.00 | 1.1 |
| 120.75 | 1.1; 2.2 |
| 121.50 | 1.1; 2.2; 7.8 |
| 122.25 | 1.1; 2.1; 2.9 |
| 123.00 | 1.1 |
| 123.75 | 1.1; 2.2; 2.9; 5.2 |
| 124.50 | 1.1 |
| 125.25 | 1.1; 2.2 |
| 126.00 | 1.1 |
| 126.75 | 1.1 |
| 127.50 | 1.1 |
| 128.25 | 1.1 |
| 129.00 | 1.1 |
| 129.75 | 1.1 |
| Case Study 1 | Case Study 2 | |
|---|---|---|
| E [N/m2] | 2.1 × 1011 | 2.1 × 1011 |
| Legs members sections [mm] | 140 × 140 × 14 120 × 120 × 12 80 × 80 × 80 | 120 × 120 × 12 80 × 80 × 8 |
| Diagonal members [mm] | 80 × 80 × 7 60 × 60 × 6 55 × 55 × 5 50 × 50 × 4 45 × 45 × 4 | 80 × 80 × 7 60 × 60 × 6 55 × 55 × 5 50 × 50 × 4 45 × 45 × 4 |
| Horizontal members [mm] | 60 × 60 × 6 50 × 50 × 5 45 × 45 × 4 | 45 × 45 ×5 |
| L [m] | 90 | 65 |
© 2020 by the authors. Licensee MDPI, Basel, Switzerland. This article is an open access article distributed under the terms and conditions of the Creative Commons Attribution (CC BY) license (http://creativecommons.org/licenses/by/4.0/).
Share and Cite
Nico, G.; Prezioso, G.; Masci, O.; Artese, S. Dynamic Modal Identification of Telecommunication Towers Using Ground Based Radar Interferometry. Remote Sens. 2020, 12, 1211. https://doi.org/10.3390/rs12071211
Nico G, Prezioso G, Masci O, Artese S. Dynamic Modal Identification of Telecommunication Towers Using Ground Based Radar Interferometry. Remote Sensing. 2020; 12(7):1211. https://doi.org/10.3390/rs12071211
Chicago/Turabian StyleNico, Giovanni, Giuseppina Prezioso, Olimpia Masci, and Serena Artese. 2020. "Dynamic Modal Identification of Telecommunication Towers Using Ground Based Radar Interferometry" Remote Sensing 12, no. 7: 1211. https://doi.org/10.3390/rs12071211
APA StyleNico, G., Prezioso, G., Masci, O., & Artese, S. (2020). Dynamic Modal Identification of Telecommunication Towers Using Ground Based Radar Interferometry. Remote Sensing, 12(7), 1211. https://doi.org/10.3390/rs12071211

