Assessment of a Proximal Sensing-integrated Crop Model for Simulation of Soybean Growth and Yield
Abstract
1. Introduction
2. Materials and Methods
2.1. Site Description
2.2. Measurement of Soybean Growth Variables
2.3. Ground-based Proximal Sensing
2.4. Model Description
2.5. Statistical Analysis
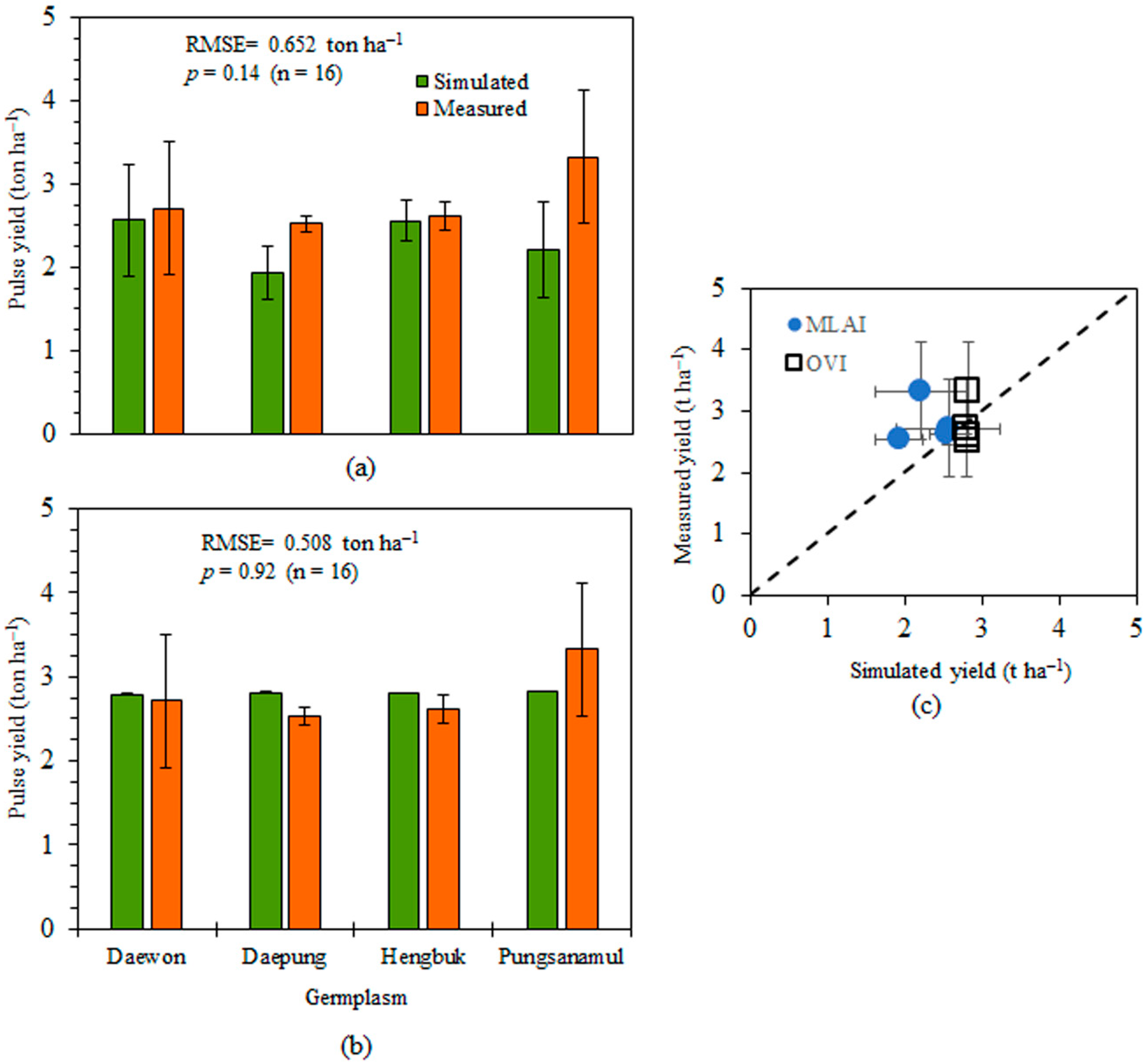
3. Results
3.1. Estimation of Crop Growth-specific Parameters
3.2. Evaluation (Calibration and Validation) of RSCM
4. Discussion
5. Conclusions
Author Contributions
Funding
Conflicts of Interest
Appendix A
| Site | Year | Germplasm | L0 | a | b | c |
|---|---|---|---|---|---|---|
| CNU | 2017 | SS0903 | 0.166 | 0.001 | 0.005 | 0.004 |
| SS0908 | 0.158 | 0.001 | 0.005 | 0.003 | ||
| Daewon | 0.124 | 0.001 | 0.004 | 0.002 | ||
| Poongsanamul | 0.186 | 0.001 | 0.004 | 0.002 | ||
| 2018 | Daepung | 0.022 | 0.001 | 0.004 | 0.007 | |
| Daewon | 0.047 | 0.001 | 0.005 | 0.003 | ||
| Hengbuk | 0.032 | 0.001 | 0.004 | 0.007 | ||
| JARES | 2017 | Daewon | 0.065 | 0.001 | 0.005 | 0.007 |
| Haepum | 0.032 | 0.001 | 0.005 | 0.011 | ||
| Poongsanamul | 0.050 | 0.001 | 0.005 | 0.010 | ||
| Taekwang | 0.060 | 0.001 | 0.005 | 0.003 |
| Option | Germplasm | LAI | AGDM | ||||||
|---|---|---|---|---|---|---|---|---|---|
| S | O | RMSE | NSE | S | O | RMSE | NSE | ||
| ---------m2 m−2 --------- | n/a | ------------ g m−2 ------------ | n/a | ||||||
| LAI | SS0903 | 5.47 | 5.46 | 0.38 | 0.88 | 634.5 | 656.5 | 97.23 | 0.95 |
| SS0908 | 5.21 | 5.20 | 0.34 | 0.85 | 647.6 | 713.6 | 102.72 | 0.92 | |
| Daewon | 5.17 | 5.17 | 0.31 | 0.92 | 636.6 | 659.5 | 88.22 | 0.93 | |
| Poongsanamul | 5.23 | 5.22 | 0.30 | 0.93 | 643.6 | 664.9 | 79.83 | 0.95 | |
| VI ♪ | SS0903 | 5.05 | 5.49 | 0.68 | 0.37 | 611.7 | 656.5 | 167.08 | 0.77 |
| SS0908 | 4.74 | 5.13 | 0.61 | 0.32 | 610.2 | 713.6 | 212.90 | 0.62 | |
| Daewon | 4.63 | 5.03 | 0.76 | −0.40 | 586.7 | 659.5 | 112.38 | 0.89 | |
| Poongsanamul | 5.21 | 5.69 | 0.69 | −0.26 | 621.9 | 658.3 | 159.71 | 0.78 | |
| Option | Germplasm | LAI | AGDM | ||||||
|---|---|---|---|---|---|---|---|---|---|
| S | O | RMSE | NSE | S | O | RMSE | NSE | ||
| ---------m2 m−2 --------- | n/a | ------------ g m−2 ------------ | n/a | ||||||
| LAI | Daepung | 3.93 | 3.88 | 0.37 | 0.96 | 379.7 | 412.7 | 79.93 | 0.96 |
| Daewon | 4.45 | 4.42 | 0.52 | 0.91 | 453.0 | 445.5 | 101.49 | 0.95 | |
| Hengbuk | 4.30 | 4.29 | 0.83 | 0.77 | 400.7 | 411.5 | 39.25 | 0.99 | |
| Poongsanamul | 4.08 | 4.06 | 0.55 | 0.90 | 439.9 | 431.9 | 86.91 | 0.94 | |
| VI ♪ | Daepung | 3.69 | 3.90 | 0.78 | 0.74 | 358.4 | 364.9 | 43.10 | 0.99 |
| Daewon | 3.93 | 4.31 | 0.73 | 0.70 | 418.9 | 458.9 | 105.54 | 0.93 | |
| Hengbuk | 3.85 | 4.32 | 0.87 | 0.67 | 389.7 | 396.9 | 35.78 | 0.99 | |
| Poongsanamul | 3.99 | 4.42 | 0.94 | 0.56 | 401.6 | 444.9 | 90.40 | 0.95 | |
| Cultivar | Simulated LAI | Observed LAI | RMSE | NSE |
|---|---|---|---|---|
| -------------------------------- m2 m−2 -------------------------------- | n/a | |||
| Daewon | 3.42 | 3.53 | 1.47 | 0.61 |
| Haepum | 3.07 | 2.88 | 0.93 | 0.80 |
| Poongsanamul | 3.49 | 2.96 | 1.16 | 0.68 |
| Taekwang | 3.17 | 2.91 | 1.17 | 0.45 |
References
- Mkhabela, M.S.; Bullock, P.; Raj, S.; Wang, S.; Yang, Y. Crop yield forecasting on the Canadian Prairies using MODIS NDVI data. Agric. For. Meteorol. 2011, 151, 385–393. [Google Scholar] [CrossRef]
- Reeves, M.C.; Zhao, M.; Running, S.W. Usefulness and limits of MODIS GPP for estimating wheat yield. Int. J. Remote Sens. 2005, 26, 1403–1421. [Google Scholar] [CrossRef]
- Doraiswamy, P.C.; Cook, P.W. Spring Wheat Yield Assessment Using NOAA AVHRR Data. Can. J. Remote Sens. 1995, 21, 43–51. [Google Scholar] [CrossRef]
- Ahuja, L.R.; Rojas, K.W.; Hanson, J.D.; Shaffer, M.J.; Ma, L. Root Zone Water Quality Model: Modeling Management Effects on Water Quality and Crop Production; Water Resources Publications, LLC: Highland Ranch, CO, USA, 2000. [Google Scholar]
- Ko, J.; Jeong, S.; Yeom, J.; Kim, H.; Ban, J.-O.; Kim, H.-Y. Simulation and mapping of rice growth and yield based on remote sensing. J. Appl. Remote Sens. 2015, 9, 096067. [Google Scholar] [CrossRef]
- Azzari, G.; Jain, M.; Lobell, D.B. Towards fine resolution global maps of crop yields: Testing multiple methods and satellites in three countries. Remote Sens. Environ. 2017, 202, 129–141. [Google Scholar] [CrossRef]
- Lobell, D.B.; Thau, D.; Seifert, C.; Engle, E.; Little, B. A scalable satellite-based crop yield mapper. Remote Sens. Environ. 2015, 164, 324–333. [Google Scholar] [CrossRef]
- Haboudane, D.; Miller, J.R.; Pattey, E.; Zarco-Tejada, P.J.; Strachan, I.B. Hyperspectral vegetation indices and novel algorithms for predicting green LAI of crop canopies: Modeling and validation in the context of precision agriculture. Remote Sens. Environ. 2004, 90, 337–352. [Google Scholar] [CrossRef]
- Rondeaux, G.; Steven, M.; Baret, F. Optimization of soil-adjusted vegetation indices. Remote Sens. Environ. 1996, 55, 95–107. [Google Scholar] [CrossRef]
- Zarco-Tejada, P.J.; Ustin, S.L.; Whiting, M.L. Temporal and spatial relationships between within-field yield variability in cotton and high-spatial hyperspectral remote sensing imagery. Agron. J. 2005, 97, 641–653. [Google Scholar] [CrossRef]
- Hunt, E.R.; Hively, W.D.; Fujikawa, S.; Linden, D.; Daughtry, C.S.; McCarty, G. Acquisition of NIR-Green-Blue digital photographs from unmanned aircraft for crop monitoring. Remote Sens. 2010, 2, 290–305. [Google Scholar] [CrossRef]
- Tucker, C.J.; Holben, B.N.; Elgin, J.H.; McMurtrey, J.E. Remote sensing of total dry-matter accumulation in winter wheat. Remote Sens. Environ. 1981, 11, 171–189. [Google Scholar] [CrossRef]
- Moulin, S.; Bondeau, A.; Delecolle, R. Combining agricultural crop models and satellite observations: From field to regional scales. Int. J. Remote Sens. 1998, 19, 1021–1036. [Google Scholar] [CrossRef]
- Yeom, J.-M.; Jeong, S.; Jeong, G.; Ng, C.T.; Deo, R.C.; Ko, J. Monitoring paddy productivity in North Korea employing geostationary satellite images integrated with GRAMI-rice model. Sci. Rep. 2018, 8, 16121. [Google Scholar] [CrossRef] [PubMed]
- Jeong, S.; Ko, J.; Yeom, J.-M. Nationwide Projection of Rice Yield Using a Crop Model Integrated with Geostationary Satellite Imagery: A Case Study in South Korea. Remote Sens. 2018, 10, 1665. [Google Scholar] [CrossRef]
- Zhiqiang, C.; Meng, J.; Wang, Y. Improving spring maize yield estimation at field scale by assimilating time-series HJ-1 CCD data into the WOFOST model using a new method with fast algorithms. Remote Sens. 2018, 8, 303. [Google Scholar]
- Bouman, B.A.M. Linking physical remote sensing models with crop growth simulation models, applied for sugar beet. Int. J. Remote Sens. 1992, 13, 2565–2581. [Google Scholar] [CrossRef]
- Maas, S.J. Parameterized model of gramineous crop growth: II. within-season simulation calibration. Agron. J. 1993, 85, 354–358. [Google Scholar] [CrossRef]
- Maas, S.J. Parameterized model of gramineous crop growth: I. leaf area and dry mass simulation. Agron. J. 1993, 85, 348–353. [Google Scholar] [CrossRef]
- Maas, S.J. GRAMI: A Crop Model Growth Model That Can Use Remotely Sensed Information; USDA-ARS: Washington, DC, USA, 1992; p. 78. [Google Scholar]
- Ko, J.; Maas, S.J.; Lascano, R.J.; Wanjura, D. Modification of the GRAMI model for cotton. Agron. J. 2005, 97, 6. [Google Scholar] [CrossRef]
- Martin, J.D.; Leonard, W.H.; Stamp, D.L.; Waldren, R.P. Principles of Field Crop Production, 4th ed.; Pearson Education, Inc.: Upper Saddle River, NJ, USA, 2005. [Google Scholar]
- Jones, J.W.; Hoogenboom, G.; Porter, C.H.; Boote, K.J.; Batchelor, W.D.; Hunt, L.; Wilkens, P.W.; Singh, U.; Gijsman, A.J.; Ritchie, J.T. The DSSAT cropping system model. Eur. J. Agron. 2003, 18, 235–265. [Google Scholar] [CrossRef]
- Jones, J.W.; Boote, K.J.; Hoogenboom, G.; Jagtap, S.S.; Wilkerson, G.G. SOYGRO V5.42. Soybean Crop Model Simulation Model. User’s Guide; University of Florida & International Benchmark Sites network for agrotechnology transfer, Florida Agri. Experi. Stat: Gainesville, FL, USA, Journal No. 8304; 1989; p. 75. [Google Scholar]
- Wilkerson, G.G.; Jones, J.W.; Coble, H.D.; Gunsolus, J.L. SOYWEED: A Simulation Model of Soybean and Common Cocklebur Growth and Competition. Agron. J. 1990, 82, 1003–1010. [Google Scholar] [CrossRef]
- Sinclair, T.R. Water and nitrogen limitations in soybean grain production I. Model development. Field Crop. Res. 1986, 15, 125–141. [Google Scholar] [CrossRef]
- Setiyono, T.D.; Cassman, K.G.; Specht, J.E.; Dobermann, A.; Weiss, A.; Yang, H.; Conley, S.P.; Robinson, A.P.; Pedersen, P.; De Bruin, J.L. Simulation of soybean growth and yield in near-optimal growth conditions. Field Crop. Res. 2010, 119, 161–174. [Google Scholar] [CrossRef]
- McCown, R.L.; Hammer, G.L.; Hargreaves, J.N.G.; Holzworth, D.P.; Freebairn, D.M. APSIM: A novel software system for model development, model testing and simulation in agricultural systems research. Agric. Syst. 1996, 50, 255–271. [Google Scholar] [CrossRef]
- Kobayashi, H.; Ryu, Y.; Baldocchi, D.D.; Welles, J.M.; Norman, J.M. On the correct estimation of gap fraction: How to remove scattered radiation in gap fraction measurements? Agric. For. Meteorol. 2013, 174–175, 170–183. [Google Scholar] [CrossRef]
- Rouse, J.W., Jr.; Haas, R.H.; Schell, J.A.; Deering, D.W. Monitoring vegetation systems in the Great Plains with ERTS. Available online: https://ntrs.nasa.gov/archive/nasa/casi.ntrs.nasa.gov/19740022614.pdf (accessed on 1 November 2019).
- Roujean, J.-L.; Breon, F.-M. Estimating PAR absorbed by vegetation from bidirectional reflectance measurements. Remote Sens. Environ. 1995, 51, 375–384. [Google Scholar] [CrossRef]
- Monteith, J.L. Solar Radiation and Productivity in Tropical Ecosystems. J. Appl. Ecol. 1972, 9, 747–766. [Google Scholar] [CrossRef]
- Angus, J.F.; Cunningham, R.B.; Moncur, M.W.; Mackenzie, D.H. Phasic development in field crops I. Thermal response in the seedling phase. Field Crop. Res. 1980, 3, 365–378. [Google Scholar] [CrossRef]
- Press, W.H.; Teukolsky, S.A.; Vetterling, W.T.; Flannery, B.P. Numerical Recipes: The Art of Scientific Computing; Cambridge University Press: New York, NY, USA, 1992. [Google Scholar]
- Nash, J.E.; Sutcliffe, J.V. River flow forecasting through conceptual models part I—A discussion of principles. J. Hydrol. 1970, 10, 282–290. [Google Scholar] [CrossRef]
- Wilson, J.W. Stand structure and light penetration. III. Sunlit foliage area. J. Appl. Ecol. 1967, 159–165. [Google Scholar] [CrossRef]
- Sinclair, T.R.; Muchow, R.C. Radiation use efficiency. In Advances in Agronomy; Elsevier: Amsterdam, The Netherlands, 1999; Volume 65, pp. 215–265. [Google Scholar]
- Collino, D.; Dardanelli, J.; Sereno, R.; Racca, R. Physiological responses of argentine peanut varieties to water stress: Light interception, radiation use efficiency and partitioning of assimilates. Field Crop. Res. 2001, 70, 177–184. [Google Scholar] [CrossRef]
- Liu, X.; Rahman, T.; Yang, F.; Song, C.; Yong, T.; Liu, J.; Zhang, C.; Yang, W. PAR Interception and Utilization in Different Maize and Soybean Intercropping Patterns. PLoS ONE 2017, 12, e0169218. [Google Scholar] [CrossRef] [PubMed]
- Reich, P.B.; Wright, I.J.; Lusk, C.H. Predicting leaf physiology from simple plant and climate attributes: A global GLOPNET analysis. Ecol. Appl. 2007, 17, 1982–1988. [Google Scholar] [CrossRef] [PubMed]
- Dubey, P.; Raghubanshi, A.; Dwivedi, A.K. Relationship among specific leaf area, leaf nitrogen, leaf phosphorus and photosynthetic rate in herbaceous species of tropical dry deciduous in Vindhyan highlands. Ann. Plant Sci. 2017, 6, 1531–1536. [Google Scholar] [CrossRef][Green Version]
- Vile, D.; Garnier, E.; Shipley, B.; Laurent, G.; Navas, M.-L.; Roumet, C.; Lavorel, S.; Diaz, S.; Hodgson, J.G.; Lloret, F.; et al. Specific Leaf Area and Dry Matter Content Estimate Thickness in Laminar Leaves. Ann. Bot. 2005, 96, 1129–1136. [Google Scholar] [CrossRef]
- Grime, J.P.; Cornelissen, J.H.; Thompson, K.; Hodgson, J.G. Evidence of a causal connection between anti-herbivore defence and the decomposition rate of leaves. Oikos 1996, 3, 489–494. [Google Scholar] [CrossRef]
- Maddonni, G.; Otegui, M.E.; Cirilo, A.G. Plant population density, row spacing and hybrid effects on maize canopy architecture and light attenuation. Field Crop. Res. 2001, 71, 183–193. [Google Scholar] [CrossRef]
- Carpenter, A.; Board, J. Growth dynamic factors controlling soybean yield stability across plant populations. Crop Sci. 1997, 37, 1520–1526. [Google Scholar] [CrossRef]
- Hirose, T. Development of the Monsi-Saeki theory on canopy structure and function. Annu. Bot. 2005, 95, 483–494. [Google Scholar] [CrossRef]
- Ebadi, A.; Sajed, K.; Gharib-Eshghi, A. Evaluation of light extinction coefficient, radiation use efficiency and grain yield of soybean genotypes. Afr. J. Agric. Res. 2014, 9, 222–229. [Google Scholar]
- Rosenberg, N.J.; Blad, B.L.; Verma, S.B. Microclimate: The biological environment; John Wiley and Sons: Hoboken, NJ, USA, 1983. [Google Scholar]
- Bell, M.; Wright, G.; Harch, G. Environmental and agronomic effects on the growth of four peanut cultivars in a sub-tropical environment. I. Dry matter accumulation and radiation use efficiency. Exp. Agric. 1993, 29, 473–490. [Google Scholar] [CrossRef]
- Nguyen, V.; Jeong, S.; Ko, J.; Ng, C.; Yeom, J. Mathematical integration of remotely-sensed information into a crop modelling process for mapping crop productivity. Remote Sens. 2019, 11, 2131. [Google Scholar] [CrossRef]
- Šimunek, J.; Van Genuchten, M.T.; Šejna, M. HYDRUS: Model use, calibration, and validation. Trans. Asabe 2012, 55, 1263–1274. [Google Scholar]
- Arnold, J.G.; Moriasi, D.N.; Gassman, P.W.; Abbaspour, K.C.; White, M.J.; Srinivasan, R.; Santhi, C.; Harmel, R.; Van Griensven, A.; Van Liew, M.W. SWAT: Model use, calibration, and validation. Trans. Asabe 2012, 55, 1491–1508. [Google Scholar] [CrossRef]
- Maas, S.J. Within-season calibration of modeled wheat growth using remote sensing and field sampling. Agron. J. 1993, 85, 669–672. [Google Scholar] [CrossRef]
- Jeong, S.; Ko, J.; Choi, J.; Xue, W.; Yeom, J.-M. Application of an unmanned aerial system for monitoring paddy productivity using the GRAMI-rice model. Int. J. Remote Sens. 2018, 39, 2441–2462. [Google Scholar] [CrossRef]
- Kim, H.-Y.; Ko, J.; Jeong, S.; Kim, J.-H.; Lee, B. Geospatial delineation of South Korea for adjusted barley cultivation under changing climate. J. Crop Sci. Biotechnol. 2017, 20, 417–427. [Google Scholar] [CrossRef]









© 2020 by the authors. Licensee MDPI, Basel, Switzerland. This article is an open access article distributed under the terms and conditions of the Creative Commons Attribution (CC BY) license (http://creativecommons.org/licenses/by/4.0/).
Share and Cite
Shawon, A.R.; Ko, J.; Ha, B.; Jeong, S.; Kim, D.K.; Kim, H.-Y. Assessment of a Proximal Sensing-integrated Crop Model for Simulation of Soybean Growth and Yield. Remote Sens. 2020, 12, 410. https://doi.org/10.3390/rs12030410
Shawon AR, Ko J, Ha B, Jeong S, Kim DK, Kim H-Y. Assessment of a Proximal Sensing-integrated Crop Model for Simulation of Soybean Growth and Yield. Remote Sensing. 2020; 12(3):410. https://doi.org/10.3390/rs12030410
Chicago/Turabian StyleShawon, Ashifur Rahman, Jonghan Ko, Bokeun Ha, Seungtaek Jeong, Dong Kwan Kim, and Han-Yong Kim. 2020. "Assessment of a Proximal Sensing-integrated Crop Model for Simulation of Soybean Growth and Yield" Remote Sensing 12, no. 3: 410. https://doi.org/10.3390/rs12030410
APA StyleShawon, A. R., Ko, J., Ha, B., Jeong, S., Kim, D. K., & Kim, H.-Y. (2020). Assessment of a Proximal Sensing-integrated Crop Model for Simulation of Soybean Growth and Yield. Remote Sensing, 12(3), 410. https://doi.org/10.3390/rs12030410

