Automatic Mapping of Center Line of Railway Tracks using Global Navigation Satellite System, Inertial Measurement Unit and Laser Scanner
Abstract
1. Introduction
- A rule-set based on available literature to identify GNSS observations of good quality was developed.
- A Kalman filter framework to combine GNSS and IMU measurements was developed.
- An algorithm to identify rails and generate center lines from laser scanner data was developed.
- Center lines were generated from a test dataset using six different combinations of (1), (2) and (3).
- The results were compared and evaluated using center lines digitised from freely available aerial images.
2. Methodology
2.1. Dataset Description
2.2. Conditional Selection of GNSS Data
- Number of Satellites >= 4: Theoretically, the GNSS receiver needs at least four satellites to calculate the position [11,22,23,24]. This requirement is not satisfied in areas where there are fewer or no visible satellites and might lead to erroneous observations. Hence, observations made when the number of satellites is less than 4 are considered unreliable [22]. However, most of the modern receivers provide an estimate based on the previous positions when this requirement is not fulfilled. This estimate depends greatly on the quality of the previous observations and the time of the last signal receptions. Hence, all observations made when the number of visible satellites was less than 4 were discarded.
- HDOP < 6: The GNSS receiver records the Dilution of Precision (DOP), which has been widely used to determine the quality of the measurement [22,25]. Several components of DOP exist, such as Horizontal Dilution of Precision (HDOP), Vertical Dilution of Precision (VDOP), Positional Dilution of Precision (PDOP) and Time Dilution of Precision (TDOP) [11]. The components measured depend on the configuration of the GNSS receiver. The value of DOP depends on the geometry of the observed satellites with respect to the receiver. DOP values are smaller when the satellites are well-spread out in the sky and larger when they are clustered [11,22]. Carstensen Jr. [22] suggests the use of points with HDOP less than 4 for precise mapping applications, while Langley [23] suggests 6 as the cutoff value. In this study, both options were tested. Based on the results of these tests (see Appendix A.1), an HDOP value of 6 was chosen as the cutoff value.
- Difference between computed and true speed within a threshold: The GNSS receiver also measures the speed of the measurement platform. If the receiver calculates the speed using Doppler measurements, then these values are highly reliable [26]. When the estimated GNSS speed is accurate, it is possible to identify points that are likely to exhibit large position errors. When the difference between the speed calculated from successive GNSS observations and the true speed is large, then the position of the point can be considered erroneous and omitted from further processing. The point can also be discarded if the speed and acceleration values calculated from positions are unrealistic for that measurement platform [22]. The speed can be calculated from the positions if the time at which the position was measured is known.Let and be the positions of the measurement platform at time and respectively. An estimate of the speed s of the platform is calculated asIf is the speed calculated from Doppler measurements, then,where S is the maximum allowable difference in speed. S value was set to 2 km/h, the reason for which can be found in Appendix A.2.
2.3. A Kalman Filter Framework to Combine GNSS and IMU Data
2.4. Extraction of Center Lines from Georeferenced Point Cloud
- Identification of laser pulses that hit the rails: Laser pulses that hit the rail would have a higher height value than the surrounding points since the rails are raised above the track bed. They would also have a lower RSSI value than the surrounding because smoother surfaces scatter less energy than rougher surfaces [27]. The plot of height and RSSI values for laser pulses in a single scan is shown in Figure 3. The peaks in the height plot, marked with green circles indicate the rails. At corresponding points in the RSSI plot, there are drops in the value (orange circles). The width of the peaks and the drop in RSSI values was most prominent for the track on which the measurement vehicle was moving. They decreased gradually for other tracks in the area. These peaks and drops were identified using a moving window approach as explained in the next paragraph. If the viewing angle of the laser scanner was between to , points at which both a peak and a drop were found were considered as rails. For other values of viewing angle, all peaks were considered as rails and drops were ignored.Firstly, a moving average filter of size 3 measurements (equivalent to a width of 0.5 degrees) was used to reduce noise in the data. A moving window of size 5 measurements (equivalent to 0.833 degrees) was used to identify peaks in the height values. In each position of the moving window, if the center point in the window was the highest point and was 65 to 200 millimeters higher than the mean height in a bigger window of size w, the point was classified as a peak. w value was set to 41 (equivalent to 6.833 degrees) when the viewing angle was between and and to 21 (equivalent to 3.5 degrees) for other viewing angles. For the RSSI values, a moving window of size 7 (equivalent to 1.167 degrees) was used. A slightly bigger window was used because the drop in energy is more gradual than the increase in height values (see example in Figure 3). If the center point in each position of the window was the lowest point in the window, the difference between the mean RSSI value in a window of size 41 and the RSSI value of the center point was greater than 5 and the RSSI value of the center point was between 70 and 150, the point was classified as a drop. All these values were chosen by manual tuning.
- Joining points to form rails: An algorithm, partly based on Reference [6] was developed to connect the points identified in Step 1. For each point identified in the first sweep made by the laser scanner, a new stack was created. Each stack represents a rail. Each point in the second sweep was assigned to the stack for which the distance was the shortest and less than a pre-defined threshold distance, = 1 meter. If it was not possible to assign the point to any of the existing stacks, then a new stack was opened. The heading of the line joining the topmost and its preceding point in each stack was calculated. From the third sweep onwards, both the distance and the heading were calculated for each new point. The difference in heading with respect to the previous line segment in that stack was also calculated. Let the heading difference threshold be , which was assigned a value of 20°. The points were assigned to stacks following the logic given below:IF there was at least one stack having only one point:IF :THEN Assign the point toELSE:Create a new stackELSE:IF :IF ANDTHEN Assign the point toELSE:Create a new stackELSE:IF :THEN Assign the point toHere, is the stack with the shortest distance to the point, is the stack with the lowest difference in heading, , , , are the distance and heading difference between the current point and the topmost point in the stacks and respectively. All points in each stack were connected by a straight line.
- Pairing rails to form tracks: In order to generate center lines of railway tracks, it is necessary to identify which pairs of lines (representing rails) form tracks. An approach partly based on the approach defined in [4] was followed to achieve this. Let be the width of the track (also called track gauge) and be the error in the distance measurement made by the laser scanner. If two points measured at the same timestamp are at a distance of , then the two points are considered to belong to the two rails of a track. If more than 50% of the corresponding points of two rails fulfill this condition, then the two rails are considered to make a track. The rails were compared only with other rails in a 5 m × 5 m neighborhood in order to reduce the running time of the algorithm.
- Separation of Guard Rails: The result of Step 2 also includes guard rails. Hence, the result from Step 3 would contain 2 pairs in sections with guard rail on one side and 3 pairs in sections with guard rails on both sides. If two rails were parallel to the same rail and they were closer than , then the rail in the middle was considered to be a guard rail. The guard rails were separated before generating center lines.
- Connecting line segments representing the same rail: The rails might be mapped as more than one line segment. In order to connect the line segments that belong to the same rail, the condition of parallelism was used. If two line segments were parallel to the same line and had no common points with respect to time, then they were connected by a straight line. The latter condition would prevent the joining of lines representing different rails.
- Generating center lines: All lines that did not belong to a track at the end of Step 3 were deleted. The midpoint for each pair of corresponding points (points from the same scan) for each pair of rails was calculated and connected to obtain the center lines.
- Filling gaps using parallel tracks: This step is similar to Steps 3 and 5. Each center line might be made up of several line segments. The center lines that were parallel to each other were identified. If more than 50% of the corresponding points were within where is the mean separation between the two line segments, they were considered to be parallel. Center lines that were parallel to the same line and had no common points with respect to time were connected. Finally, line segments whose end points were closer than 2 m were connected.
2.5. Evaluation Procedure
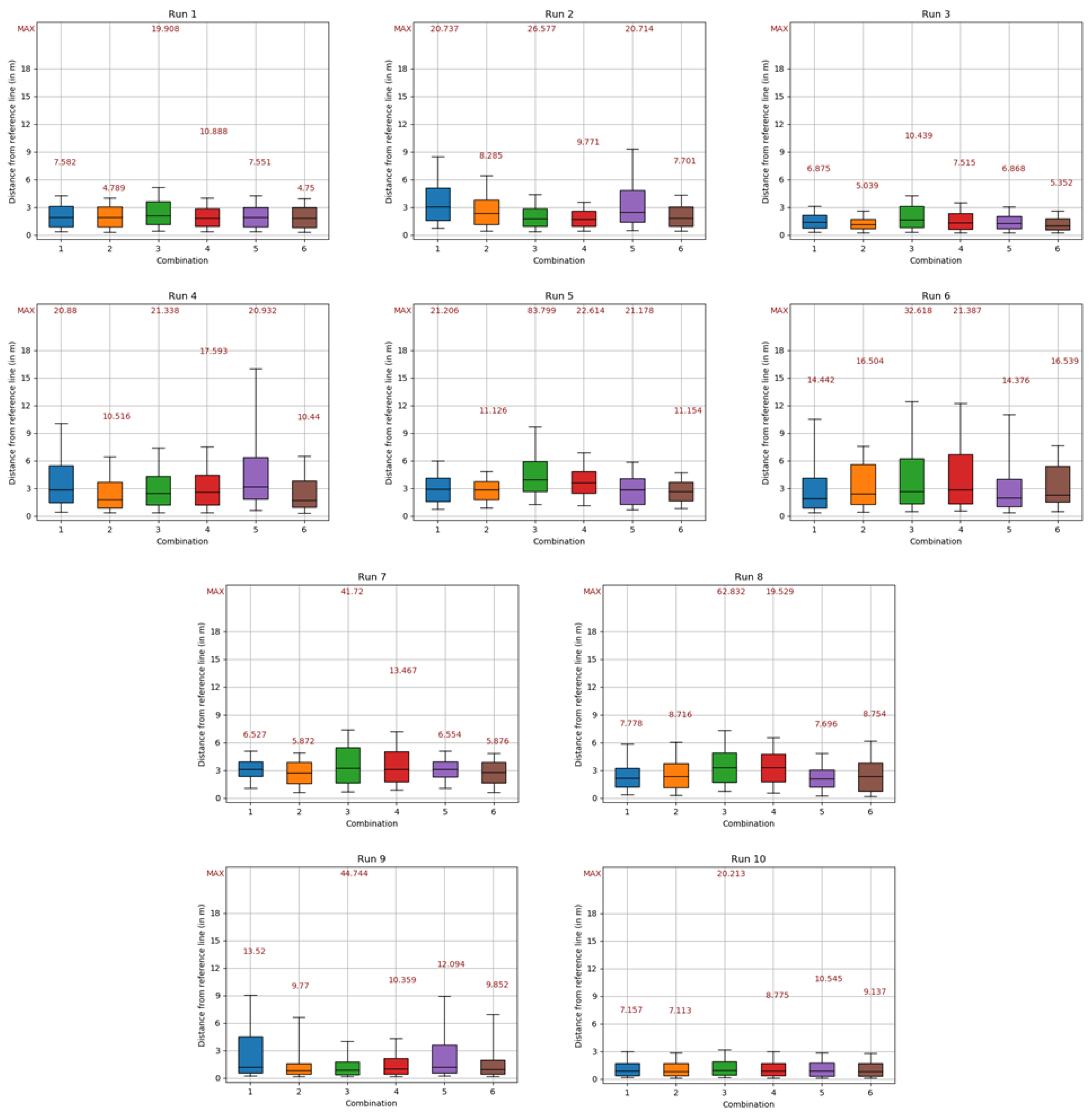
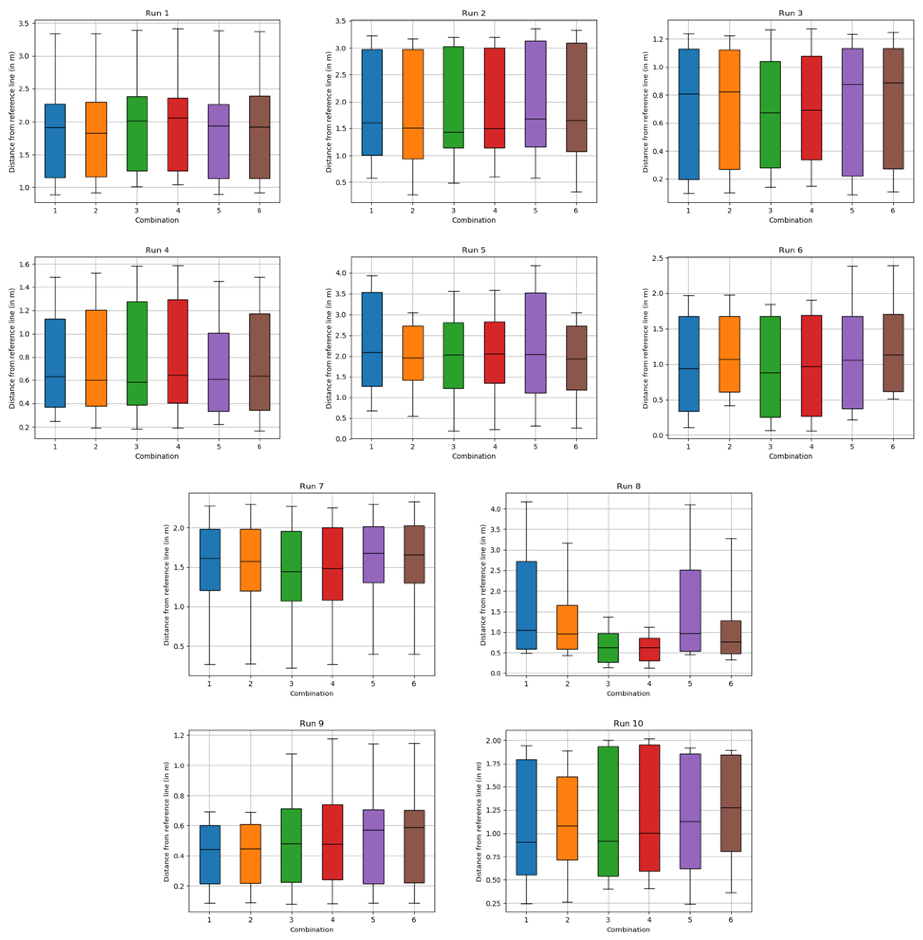
- Distance from the reference tracks: Mean perpendicular distance of the mapped center lines from the reference tracks, measured at every 10 meters.
- Completeness of the result: Percentage of the track that was automatically mapped. Higher percentage implies higher completeness and vice versa.
- Discontinuity of the result: Average number of line segments representing the tracks. Higher number of line segments implies higher discontinuity and vice versa.
3. Results and Discussion
3.1. Performance of Rules
3.2. Effect of Conditional Selection of GNSS Data on Kalman Filter Framework
3.3. Effect of Weather on Extraction of Center Lines from Laser Scanner Data
3.4. Effect of Conditional Selection of GNSS Data on Extraction of Center Lines from Laser Scanner Data
3.5. Effect of Kalman Filter Framework on Extraction of Center Lines from Laser Scanner Data
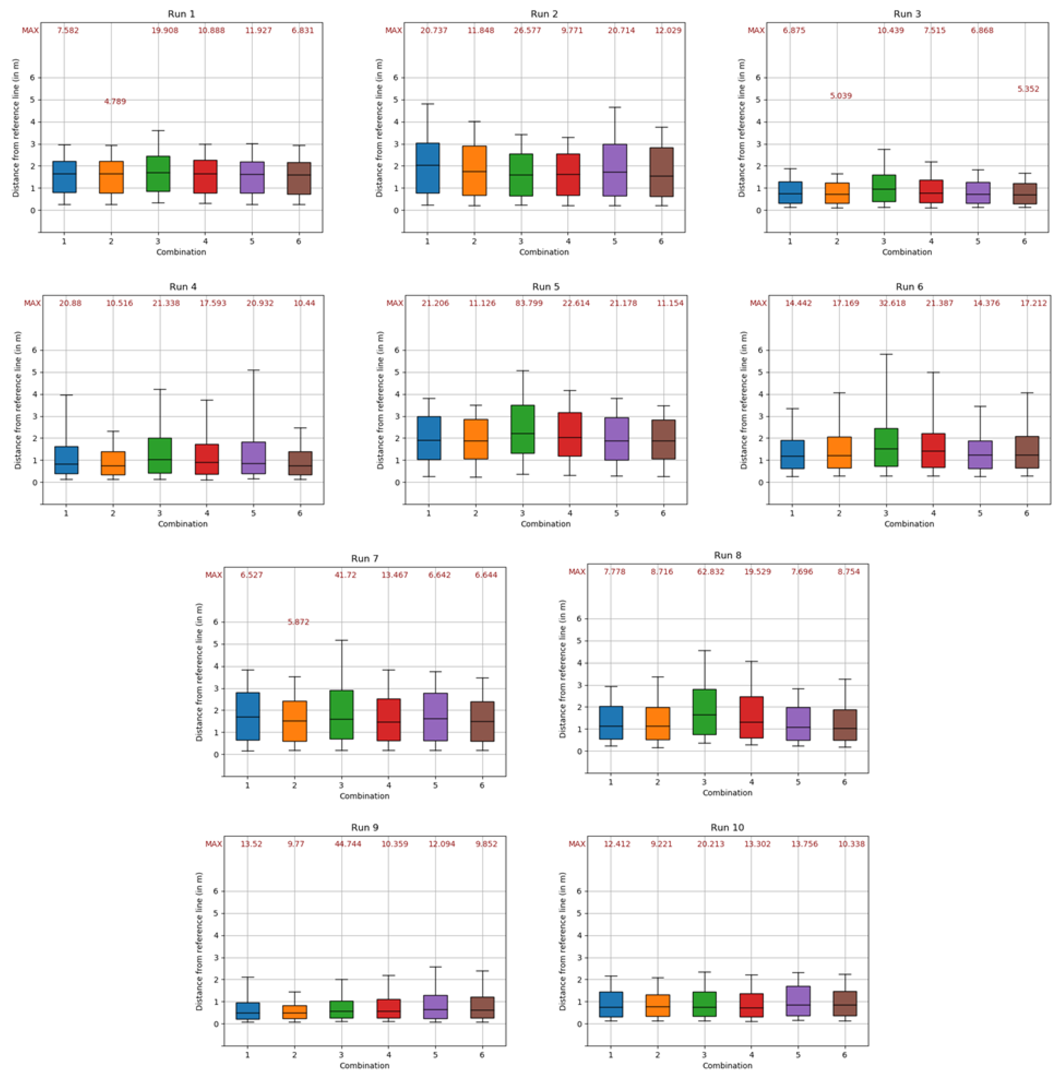
3.6. Comparison of the Result from the Six Combinations
4. Conclusions
Author Contributions
Funding
Acknowledgments
Conflicts of Interest
Abbreviations
| DOP | Dilution of Precision |
| DLR | Deutsches Zentrum für Luft- und Raumfahrt (German Aerospace Center) |
| ECS | Eddy current sensor system |
| EKF | Extended Kalman Filter |
| GNSS | Global Navigation Satellite System |
| GPS | Global Positioning System |
| GLONASS | Global Orbiting Navigation Satellite System |
| HDOP | Horizontal Dilution of Precision |
| IMU | Inertial Measurement Unit |
| NMEA | National Marine Electronics Association |
| PDOP | Positional Dilution of Precision |
| RailDriVE | Railway Driving and Validation Environment |
| RSSI | Received Signal Strength Indicator |
| RTS | Rauch-Tung-Striebel |
| SNR | Signal-to-Noise Ratio |
| TDOP | Time Dilution of Precision |
| UTM | Universal Transverse Mercator |
| VDOP | Vertical Dilution of Precision |
Appendix A
Appendix A.1
Appendix A.2


Appendix B
- Prediction:Let be the sampling time at which the estimates are to be calculated and a be the acceleration of the measurement platform along moving direction (also known as the longitudinal acceleration) in and be the angular velocity of the measurement platform about the vertical axis in (also known as the yaw rate) and be the time steps. a and are measured by the IMU.The state estimate for the current time step is calculated aswhere the subscript means the value at time step k considering measurements upto time step . Rewriting Equation (A1), we getHere, f is non-linear and is well-approximated by linearisation. Hence, this version of the Kalman Filter is called the Extended Kalman Filter (EKF).Now, the covariance matrix for the estimate in Equation (A1) is calculated.Here, F is the Jacobian (matrix of first-order partial derivatives) of .Let and be the noise in the measured values of longitudinal acceleration and angular velocity respectively. Then, whereThe variance of a and from standstill data were considered as and , if available. If not, the square of the standard deviations given by the manufacturer were used.
- Measurement Update:Whenever a GNSS observation was available, the estimate calculated in Equation (A1) was updated. The set of points used in this step depended on the combination.where H is an identity matrix of order 4 × 4 and is the covariance matrix representing the noise in the GNSS observation .where , , and are the noise in the measurement of x coordinate, y coordinate, speed and heading, respectively. The GNSS receiver on RailDriVE provided latitude and longitude errors for 94.84% of the observations, which were squared and assigned to and . For observations that did not have these values, and calculated from standstill data was used. The heading values are noisy and unreliable at low speeds. The speed after which they were stable was identified as 6.5 km/h (see Appendix C). was assigned a value of 50° when the speed of the platform was less than 6.5 km/h and 5° when the speed was greater than 6.5 km/h.After running the Kalman filter for all time steps, a Rauch-Tung-Striebel (RTS) Smoother [18,19,20] was run backwards from to to reduce the uncertainty in the estimates.The first step is to calculate the Smoother Gain .whereThen, the smoothed state estimate and covariance matrix were calculated.
Appendix C
Appendix D
Appendix D.1


Appendix D.2

Appendix D.3

References
- Beger, R.; Gedrange, C.; Hecht, R.; Neubert, M. Data fusion of extremely high resolution aerial imagery and LiDAR data for automated railroad centre line reconstruction. ISPRS J. Photogramm. Remote Sens. 2011, 66, S40–S51. [Google Scholar] [CrossRef]
- Arastounia, M. An Enhanced Algorithm for Concurrent Recognition of Rail Tracks and Power Cables from Terrestrial and Airborne LiDAR Point Clouds. Infrastructures 2017, 2, 8. [Google Scholar] [CrossRef]
- Yang, B.; Fang, L. Automated Extraction of 3-D Railway Tracks from Mobile Laser Scanning Point Clouds. IEEE J. Sel. Top. Appl. Earth Obs. Remote Sens. 2014, 7, 4750–4761. [Google Scholar] [CrossRef]
- Elberink, S.O.; Khoshelham, K. Automatic Extraction of Railroad Centerlines from Mobile Laser Scanning Data. Remote Sens. 2015, 7, 5565–5583. [Google Scholar] [CrossRef]
- Elberink, S.O.; Khoshelham, K.; Arastounia, M.; Benito, D.D. Rail track detection and modelling in mobile laser scanning data. ISPRS Int. Arch. Photogramm. Remote Sens. Spat. Inf. Sci. 2013, 223–228. [Google Scholar] [CrossRef]
- Arastounia, M. Automated Recognition of Railroad Infrastructure in Rural Areas from LIDAR Data. Remote Sens. 2015, 7, 14916–14938. [Google Scholar] [CrossRef]
- Soni, A.; Robson, S.; Gleeson, B. Extracting Rail Track Geometry from Static Terrestrial Laser Scans for Monitoring Purposes. ISPRS Int. Arch. Photogramm. Remote Sens. Spat. Inf. Sci. 2014, 553–557. [Google Scholar] [CrossRef]
- Hensel, S.; Hasberg, C. Multi Sensor Mapping of Rail Networks. In Proceedings of the 12th International Conference on Information Fusion, Seattle, WA, USA, 6–9 July 2009; pp. 1339–1346. [Google Scholar]
- Zhu, L.; Hyyppa, J. The Use of Airborne and Mobile Laser Scanning for Modeling Railway Environments in 3D. Remote Sens. 2014, 6, 3075–3100. [Google Scholar] [CrossRef]
- Neubert, M.; Hecht, R.; Gedrange, C.; Trommler, M.; Herold, H.; Krüger, T.; Brimmer, F. Extraction of Railroad Objects from Very High Resolution Helicopter-borne Lidar and Ortho-image Data. Int. Arch. Photogramm. Remote Sens. Spat. Inf. Sci. 2008, 38, 25–30. [Google Scholar]
- Teunissen, P.J.; Montenbruck, O. (Eds.) Springer Handbook of Global Navigation Satellite Systems; Springer International Publishing: New York, NY, USA, 2017. [Google Scholar] [CrossRef]
- Fakharian, A.; Gustafsson, T.; Mehrfam, M. Adaptive Kalman Filtering Based Navigation: An IMU/GPS Integration Approach. In Proceedings of the International Conference on Networking, Sensing and Control, Delft, The Netherlands, 11–13 April 2011; pp. 181–185. [Google Scholar] [CrossRef]
- Li, Y.; Wang, J.; Rizos, C.; Mumford, P.; Ding, W. Low-cost tightly coupled GPS/INS integration based on a nonlinear Kalman filtering design. In Proceedings of the ION National Technical Meeting 2006, San Diego, CA, USA, 18–20 January 2006; pp. 958–966. [Google Scholar]
- Zhao, L.; Qiu, H.; Feng, Y. Analysis of a robust Kalman filter in loosely coupled GPS/INS navigation system. Measurement 2016, 80, 138–147. [Google Scholar] [CrossRef]
- Oh, S.H.; Hwang, D.H. Low-cost and high performance ultra-tightly coupled GPS/INS integrated navigation method. Adv. Space Res. 2017, 60, 2691–2706. [Google Scholar] [CrossRef]
- Liu, Y.; Fan, X.; Lv, C.; Wu, J.; Li, L.; Ding, D. An innovative information fusion method with adaptive Kalman filter for integrated INS/GPS navigation of autonomous vehicles. Mech. Syst. Signal Process. 2017, 100, 605–616. [Google Scholar] [CrossRef]
- Falco, G.; Pini, M.; Marucco, G. Loose and Tight GNSS/INS Integrations: Comparison of Performance Assessed in Real Urban Scenarios. Sensors 2017, 17, 255. [Google Scholar] [CrossRef] [PubMed]
- Roth, M. Advanced Kalman Filtering Approaches to Bayesian State Estimation. Linköping Studies in Science and Technology. Dissertations No. 1832. Ph.D. Thesis, Linköping University, Linköping, Sweden, 2017. [Google Scholar]
- Gustafsson, F. Statistical Sensor Fusion; Studentlitteratur AB: Lund, Sweden, 2010. [Google Scholar]
- Särkkä, S. Bayesian Filtering and Smoothing; Cambridge University Press: New York, NY, USA, 2013. [Google Scholar]
- RailDriVE®. Available online: https://www.dlr.de/ts/desktopdefault.aspx/tabid-10248/17519_read-12871/ (accessed on 27 September 2019).
- Carstensen, L.W., Jr. GPS and GIS: Enhanced Accuracy in Map Matching through Effective Filtering of Autonomous GPS Points. Cartogr. Geogr. Inf. Syst. 1998, 25, 51–62. [Google Scholar] [CrossRef]
- Langley, R.B. Dilution of precision. GPS World 1999, 10, 52–59. [Google Scholar]
- Sairo, H.; Akopian, D.; Takala, J. Weighted dilution of precision as quality measure in satellite positioning. IEE Proc. Radar Sonar Navig. 2003, 150, 430–436. [Google Scholar] [CrossRef]
- Takeuchi, E.; Yamazaki, M.; Ohno, K.; Tadokoro, S. GPS Measurement Model with Satellite Visibility using 3D Map for Particle Filter. In Proceedings of the 2011 IEEE International Conference on Robotics and Biomimetics, Karon Beach, Phuket, 7–11 December 2011; pp. 590–595. [Google Scholar] [CrossRef]
- Petovello, M. How Does a GNSS Receiver Estimate Velocity? Inside GNSS 2015, 38–41. Available online: https://insidegnss.com/wp-content/uploads/2018/01/marapr15-SOLUTIONS.pdf (accessed on 27 January 2020).
- Shan, J.; Toth, C.K. (Eds.) Topographic Laser Ranging and Scanning: Principles and Processing; CRC Press: Boca Raton, FL, USA, 2008. [Google Scholar]
- Geoportal Sachsen. Available online: https://geoportal.sachsen.de/cps/metadaten_portal.html?id=cd01c334-7e32-482f-bd43-af286707178a (accessed on 27 September 2020).
- Maier, D.; Kleiner, A. Improved GPS Sensor Model for Mobile Robots in Urban Terrain. In Proceedings of the 2010 IEEE International Conference on Robotics and Automation, Anchorage, AK, USA, 3–7 May 2010; pp. 4385–4390. [Google Scholar] [CrossRef]
- Wang, L.; Groves, P.D.; Ziebart, M.K. Multi-Constellation GNSS Performance Evaluation for Urban Canyons Using Large Virtual Reality City Models. J. Navig. 2012, 65, 459–476. [Google Scholar] [CrossRef]
- Bilich, A.; Larson, K.M. Mapping the GPS multipath environment using the signal-to-noise ratio (SNR). Radio Sci. 2007, 42. [Google Scholar] [CrossRef]
- Bilich, A.; Larson, K.M.; Axelrad, P. Modeling GPS phase multipath with SNR: Case study from the Salar de Uyuni, Bolivia. J. Geophys. Res. Space Phys. 2008, 113. [Google Scholar] [CrossRef]
- Lau, L.; Cross, P. A New Signal-to-Noise-Ratio Based Stochastic Model for GNSS High-Precision Carrier Phase Data Processing Algorithms in the Presence of Multipath Errors. In Proceedings of the 19th International Technical Meeting of the Satellite Division of The Institute of Navigation (ION GNSS 2006), Fort Worth, TX, USA, 26–29 September 2006; pp. 76–285. [Google Scholar]
- Strode, P.R.R.; Groves, P.D. GNSS multipath detection using three-frequency signal-to-noise measurements. GPS Solut. 2016, 20, 399–412. [Google Scholar] [CrossRef]
- Benton, C.J.; Mitchell, C.N. Isolating the multipath component in GNSS signal-to-noise data and locating reflecting objects. Radio Sci. 2011, 46. [Google Scholar] [CrossRef]
- Kaasalainen, S.; Jaakkola, A.; Kaasalainen, M.; Krooks, A.; Kukko, A. Analysis of Incidence Angle and Distance Effects on Terrestrial Laser Scanner Intensity: Search for Correction Methods. Remote Sens. 2011, 3, 2207–2221. [Google Scholar] [CrossRef]
- Krooks, A.; Kaasalainen, S.; Hakala, T.; Nevalainen, O. Correction of Intensity Incidence Angle Effect in Terrestrial Laser Scanning. ISPRS Ann. Photogramm. Remote Sens. Spat. Inf. Sci. 2013, 2, 145–150. [Google Scholar] [CrossRef]
- Höfle, B.; Pfeifer, N. Correction of laser scanning intensity data: Data and model-driven approaches. ISPRS J. Photogramm. Remote Sens. 2007, 62, 415–433. [Google Scholar] [CrossRef]










| Date | Run | Length (in km) | Duration (in Minutes) | Weather Condition |
|---|---|---|---|---|
| 2 May 2016 | 1 | 21.573 | 92.60 | sunny |
| 2 | 24.214 | 83.42 | ||
| 3 May 2016 | 3 | 21.628 | 88.84 | sunny |
| 4 | 23.601 | 80.86 | ||
| 5 | 23.818 | 80.86 | ||
| 6 | 23.898 | 92.72 | ||
| 7 | 16.611 | 48.21 | ||
| 8 | 14.558 | 50.99 | ||
| 4 May 2016 | 9 | 21.634 | 68.65 | rainy |
| 10 | 24.243 | 89.54 | cloudy |
| Sentence | Information Extracted |
|---|---|
| GGA | Latitude, Longitude, Altitude, Number of Satellites observed |
| GSA | PDOP, HDOP, VDOP |
| GST | Latitude error, Longitude error, Altitude error |
| VTG | Speed |
| HDT | Heading |
| GMP | Projection, Zone, X and Y value in Projected Coordinate System |
| GPGSV | Number of GPS satellites observed |
| GLGSV | Number of GLONASS satellites observed |
| Metric | Main Track | First Parallel Tracks | Second Parallel Tracks | |
|---|---|---|---|---|
| Completeness (%) | C3 | 81.31 | 57.15 | 32.30 |
| C4 | 85.42 | 64.23 | 38.06 | |
| C5 | 94.85 | 71.80 | 39.41 | |
| C6 | 94.28 | 69.79 | 40.40 | |
| Discontinuity | C3 | 1805 | 9.013 | 4.508 |
| C4 | 795.6 | 6.199 | 3.955 | |
| C5 | 461.5 | 8.841 | 3.576 | |
| C6 | 455.4 | 3.839 | 3.525 | |
© 2020 by the authors. Licensee MDPI, Basel, Switzerland. This article is an open access article distributed under the terms and conditions of the Creative Commons Attribution (CC BY) license (http://creativecommons.org/licenses/by/4.0/).
Share and Cite
Shankar, S.; Roth, M.; Schubert, L.A.; Verstegen, J.A. Automatic Mapping of Center Line of Railway Tracks using Global Navigation Satellite System, Inertial Measurement Unit and Laser Scanner. Remote Sens. 2020, 12, 411. https://doi.org/10.3390/rs12030411
Shankar S, Roth M, Schubert LA, Verstegen JA. Automatic Mapping of Center Line of Railway Tracks using Global Navigation Satellite System, Inertial Measurement Unit and Laser Scanner. Remote Sensing. 2020; 12(3):411. https://doi.org/10.3390/rs12030411
Chicago/Turabian StyleShankar, Sangeetha, Michael Roth, Lucas Andreas Schubert, and Judith Anne Verstegen. 2020. "Automatic Mapping of Center Line of Railway Tracks using Global Navigation Satellite System, Inertial Measurement Unit and Laser Scanner" Remote Sensing 12, no. 3: 411. https://doi.org/10.3390/rs12030411
APA StyleShankar, S., Roth, M., Schubert, L. A., & Verstegen, J. A. (2020). Automatic Mapping of Center Line of Railway Tracks using Global Navigation Satellite System, Inertial Measurement Unit and Laser Scanner. Remote Sensing, 12(3), 411. https://doi.org/10.3390/rs12030411

