Detection of Aquatic Plants Using Multispectral UAV Imagery and Vegetation Index
Abstract
1. Introduction
2. Materials and Methods
2.1. Study Reservoir
2.2. UAV Imagery Acquisition and Processing
2.3. Analysis of UAV Imagery
2.3.1. Vegetation Index
2.3.2. Profile Analysis
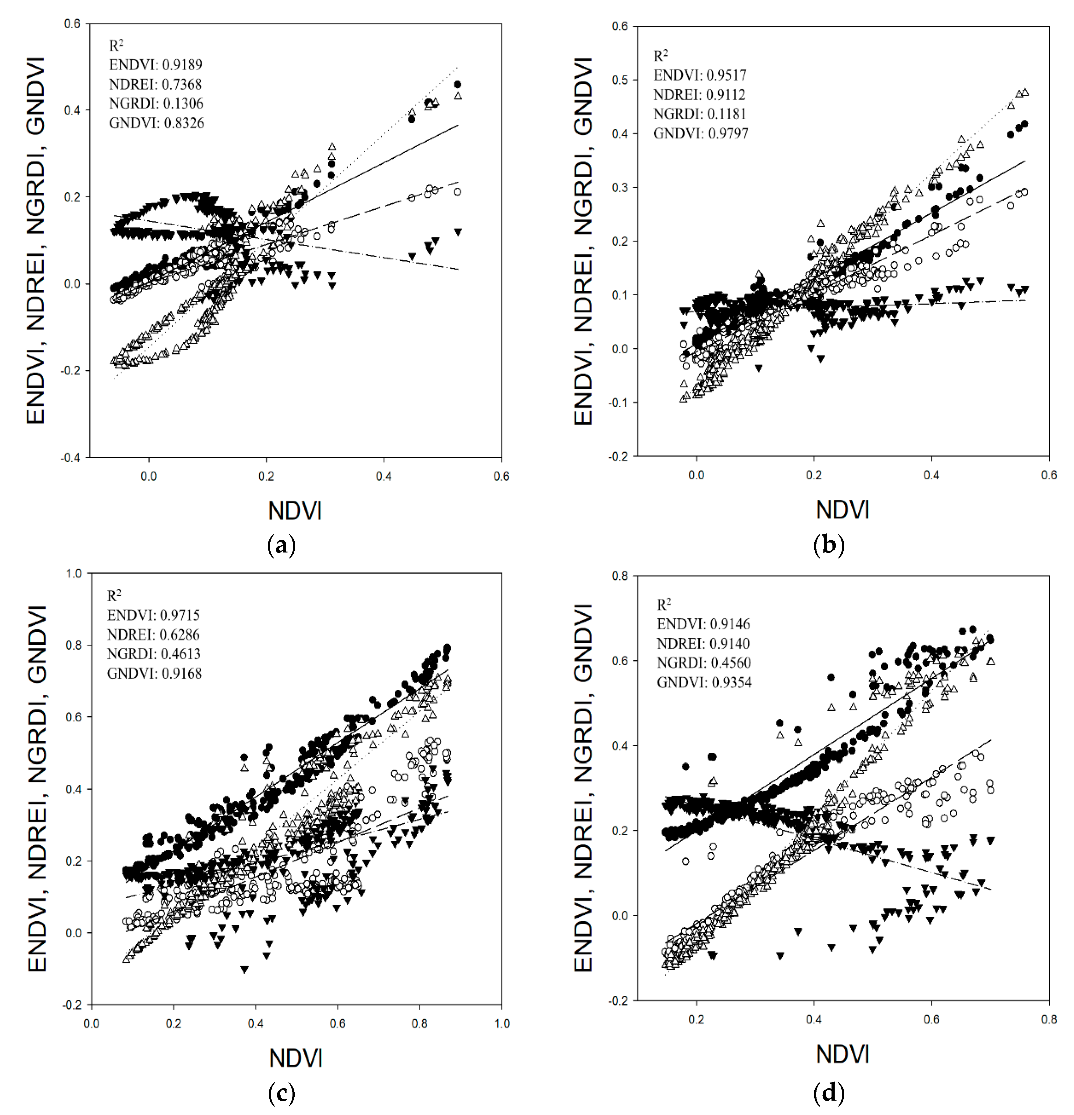
3. Results
3.1. Spectral Characteristics of Aquatic Plants
3.2. Results of Vegetation Index Analysis
3.3. Characteristics of Aquatic Plant Vegetation Indices
4. Discussion
5. Conclusions
Author Contributions
Funding
Conflicts of Interest
References
- Sudiarto, S.I.A.; Renggaman, A.; Choi, H.L. Floating aquatic plants for total nitrogen and phosphorus removal from treated swine wastewater and their biomass characteristics. J. Environ. Manag. 2019, 231, 763–769. [Google Scholar] [CrossRef] [PubMed]
- Muradov, N.; Taha, M.; Miranda, A.; Kadali, K.; Gujar, A.; Rochfort, S.; Stevenson, T.; Ball, A.S.; Mouradov, A. Dual application of duckweed and azolla plants for wastewater treatment and renewable fuels and petrochemicals production. Biotechnol. Biofuels 2014, 7, 30. [Google Scholar] [CrossRef] [PubMed]
- Tel-Or, E.; Forni, C. Phytoremediation of hazardous toxic metals and organics by photosynthetic aquatic systems. Plant Biosyst. 2011, 145, 224–235. [Google Scholar] [CrossRef]
- Lee, G.; Sung, K. Evaluation of the Nutrient Uptakes of Floating and Submerged Plants under Experimental Conditions. J. Korean Soc. Water Environ. 2012, 28, 71–77. (In Korean) [Google Scholar]
- Favas, P.J.C.; Pratas, J.; Rodriques, N.; D’Souza, R.; Varun, M.; Paul, M.S. Metal(loid) accumulation in aquatic plants of a mining area: Potential for water quality biomonitoring and biogeochemical prospecting. Chemosphere 2018, 194, 158–170. [Google Scholar] [CrossRef] [PubMed]
- Baxendale, C.L.; Ostle, N.J.; Wood, C.M.; Oakley, S.; Ward, S.E. Can digital image classification be used as a standardised method for surveying peatland vegetation cover? Ecol. Indic. 2016, 68, 150–156. [Google Scholar] [CrossRef]
- Kerkech, M.; Hafiane, A.; Canals, R. Deep leaning approach with colorimetric spaces and vegetation indices for wine diseases detection in UAV images. Comput. Electron. Agric. 2018, 155, 237–243. [Google Scholar] [CrossRef]
- Wang, Y.; Ziv, G.; Adami, M.; Mitchard, E.; Batterman, S.A.; Buermann, W.; Marimon, B.S.; Junior, B.H.M.; Reis, S.M.; Rodrigues, D.; et al. Mapping tropical disturbed forests using multi-decadal 30 m optical satellite imagery. Remote Sens. Environ. 2019, 221, 474–488. [Google Scholar] [CrossRef]
- Langner, A.; Miettinen, J.; Siegert, F. Land cover change 2002–2005 in Borneo and the role of fire derived from MODIS imagery. Glob. Chang. Biol. 2007, 13, 2329–2340. [Google Scholar] [CrossRef]
- Calleja, F.; Ondiviela, B.; Galván, C.; Recio, M.; Juanes, J.A. Mapping estuarine vegetation using satellite imagery: The case of the invasive species Baccharis halimifolia at a Natura 2000 site. Cont. Shelf Res. 2019, 174, 35–47. [Google Scholar] [CrossRef]
- Geerling, G.W.; Labrador-Garcia, M.; Clevers, J.G.P.W.; Ragas, A.M.J.; Smits, A.J.M. Classification of floodplain vegetation by data fusion of spectral (CASI) and LiDAR data. Int. J. Remote Sens. 2007, 28, 4263–4284. [Google Scholar] [CrossRef]
- Straatsma, M.W.; Baptist, M.J. Floodplain roughness parameterization using airborne laser scanning and spectral remote sensing. Remote Sens. Environ. 2008, 112, 1062–1080. [Google Scholar] [CrossRef]
- Iersel, W.; Straatsma, M.; Addink, E.; Middelkoop, H. Monitoring height and greenness of non-woody floodplain vegetation with UAV time series. ISPRS J. Photogramm. Remote Sens. 2018, 141, 112–123. [Google Scholar] [CrossRef]
- Colomina, I.; Molina, P. Unmanned aerial systems for photogrammetry and remote sensing: A review. ISPRS J. Photogramm. Remote Sens. 2014, 92, 79–97. [Google Scholar] [CrossRef]
- Husson, E.; Reese, H.; Ecke, F. Combining spectral data and a DSM from UAS-images for improved classification of non-submerged aquatic vegetation. Remote Sens. 2017, 9, 247. [Google Scholar] [CrossRef]
- Senthilnath, J.; Kandukuri, M.; Dokania, A.; Ramesh, K.N. Application of UAV imaging platform for vegetation analysis based on spectral-spatial methods. Comput. Electron. Agric. 2017, 140, 8–24. [Google Scholar] [CrossRef]
- Huang, Y.; Thomson, S.J.; Hoffmann, W.C.; Lan, Y.; Fritz, B.K. Development and prospect of unmanned aerial vehicle technologies for agricultural production management. Int. J. Agric. Biol. Eng. 2013, 6, 1–10. [Google Scholar]
- Ishida, T.; Kurihara, J.; Viray, F.A.; Namuco, S.B.; Paringit, E.C.; Perez, G.J.; Takajashi, Y.; Marciano, J.J. A novel approach for vegetation classification using UAV-based hyperspectral imaging. Comput. Electron. Agric. 2018, 144, 80–85. [Google Scholar] [CrossRef]
- Viña, A.; Gitelson, A.A.; Nguy-Robertson, A.L.; Peng, Y. Comparison of different vegetation indices for the remote assessment of green leaf area index of crops. Remote Sens. Environ. 2011, 115, 3468–3478. [Google Scholar] [CrossRef]
- Dandois, J.P.; Ellis, E.C. High spatial resolution three-dimensional mapping of vegetation spectral dynamics using computer vision. Remote Sens. Environ. 2013, 136, 259–276. [Google Scholar] [CrossRef]
- Rodriguez, W.; Feller, I.C.; Cavanaugh, K.C. Spatio-temporal changes of a mangrove-saltmarsh ecotone in the northeastern coast of Florida, USA. Glob. Ecol. Conserv. 2016, 7, 245–261. [Google Scholar] [CrossRef]
- Rusnák, M.; Slaádek, J.; Kidová, A.; Lehotský, M. Template for high-resolution river landscape mapping using UAV technology. Measurement 2018, 115, 139–151. [Google Scholar] [CrossRef]
- Prošek, J.; Šímová, P. UAV for mapping shrubland vegetation: Does fusion of spectral and vertical information derived from a single sensor increase the classification accuracy? Int. J. Appl. Earth. Obs. Geoinf. 2019, 75, 151–162. [Google Scholar] [CrossRef]
- Su, J.; Liu, G.; Coombes, M.; Hu, X.; Wang, C.; Xu, X.; Li, Q.; Guo, L.; Chen, W. Wheat yellow rust monitoring by learning from multispectral UAV aerial imagery. Comput. Electron. Agric. 2018, 155, 157–166. [Google Scholar] [CrossRef]
- Rasmussen, J.; Ntakos, G.; Nielsen, J.; Svensgaard, J.; Poulsen, R.N.; Christensen, S. Are vegetation indices derived from consumer-grade cameras mounted on UAVs sufficiently reliable for assessing experimental plots? Eur. J. Agron. 2016, 74, 75–92. [Google Scholar] [CrossRef]
- Agapiou, A.; Hadjimitsiss, D.G.; Alexakis, D.D. Evaluation of Broadband and Narrowband Vegetation Indices for the Identification of Archaeological Crop Marks. Remote Sens. 2012, 4, 3892–3919. [Google Scholar] [CrossRef]
- Hunt, E.R.; Doraiswamy, P.C.; McMurtrey, J.E.; Daughtry, C.S.T.; Perry, E.M.; Akhmedov, B. A visible band index for remote sensing leaf chlorophyll content at the canopy scale. Int. J. Appl. Earth Obs. Geoinf. 2013, 21, 103–112. [Google Scholar] [CrossRef]
- Martín-Sotoca, J.J.; Saa-Requejo, A.; Borondo, J.; Tarquis, A.M. Singularity maps applied to a vegetation index. Biosys. Eng. 2018, 168, 42–53. [Google Scholar] [CrossRef]
- Dong, T.; Liu, J.; Shang, J.; Qian, B.; Ma, B.; Kovacs, J.M.; Walters, D.; Jiao, X.; Geng, X.; Shi, Y. Assessment of red-edge vegetation indices for crop leaf area index estimation. Remote Sens. Environ. 2019, 222, 133–143. [Google Scholar] [CrossRef]
- Song, B.; Oh, J.Y.; Kim, S.S.; Lee, T.W.; Park, K.H. Analysis of 3D Topographic Information on Reservoir Using UAV and Echo Sounder. J. Disaster Manag. 2018, 18, 563–568. (In Korean) [Google Scholar] [CrossRef]
- Rouse, J.W.; Haas, R.H.; Schell, J.A.; Deering, D.W. Monitoring vegetation systems in the Great Plains with ERTS. In Proceedings of the 3th Earth Resources Technology Satellite-1 Symposium, Goddard Space Flight Center, NASA, Washington, DC, USA, 10–14 December 1973; pp. 309–317. [Google Scholar]
- Drone Aerial Mapping and Survey. Available online: http://www.aeroeye.com.au (accessed on 10 January 2019).
- Gitelson, A.; Merzlyak, M.N. Quantitative estimation of chlorophyll-a using reflectance spectra: Experiments with autumn chestnut and maple leaves. J. Photochem. Photobiol. B 1994, 22, 247–252. [Google Scholar] [CrossRef]
- Pearson, R.L.; Miller, L.D. Remote mapping of standing crop biomass for estimation of the productivity of the shortgrass prairie. In Proceedings of the Eighth International Symposium on Remote Sensing of Environment, University of Michigan, Ann Arbor, MI, USA, 2–6 October 1972; pp. 1357–1381. [Google Scholar]
- Gitelson, A.; Kaufman, Y.J.; Merzlyak, M.N. Use of a Green Channel in Remote Sensing of Global Vegetation from EOS-MODIS. Remote Sens. Environ. 1996, 58, 289–298. [Google Scholar] [CrossRef]
- Jannoura, R.; Brinkmann, K.; Uteau, D.; Bruns, C.; Joergensen, R.G. Monitoring of crop biomass using true colour aerial photographs taken from a remote controlled hexacopter. Biosys. Eng. 2015, 129, 341–351. [Google Scholar] [CrossRef]
- Elazab, A.; Ordóñez, R.A.; Savin, R.; Slafer, G.A.; Araus, J.L. Detecting interactive effects of N fertilization and heat stress on maize productivity by remote sensing techniques. Eur. J. Agron. 2016, 73, 11–24. [Google Scholar] [CrossRef]
- Xu, F.; Gao, Z.; Jiang, X.; Shang, W.; Ning, J.; Song, D.; Ai, J. A UAV and S2A data-based estimation of the initial biomass of green algae in the South Yellow Sea. Mar. Pollut. Bull. 2018, 128, 408–414. [Google Scholar] [CrossRef] [PubMed]
- Smigaj, M.; Gaulton, R.; Suárez, J.C.; Barr, S.L. Combined use of spectral and structural characteristics for improved red band needle blight detection in pine plantation stands. For. Ecol. Manag. 2019, 434, 213–223. [Google Scholar] [CrossRef]
- Shimada, S.; Matsumoto, J.; Sekiyama, A.; Aosier, B.; Yokohana, M. A new spectral index to detect Poaceae grass abundance in Mongolian grasslands. Adv. Space Res. 2012, 50, 1266–1277. [Google Scholar] [CrossRef]
- Li, W.; Niu, Z.; Chen, H.; Li, D.; Wu, M.; Zhao, W. Remote estimation of canopy height and aboveground biomass of maize using high-resolution stereo images from a low-cost unmanned aerial vehicle system. Ecol. Indic. 2016, 67, 637–648. [Google Scholar] [CrossRef]










| Division | Contents |
|---|---|
| Flying speed | 50 ~ 60 km/h |
| Weight | 4.1 kg (included camera and battery) |
| Flying time | 45 min |
| Weather condition | wind speed under 10 m/s |
| Elevation | 10 ~ 1000 m (standard: 150 m) |
| Resolution | 1 ~ 25 cm |
| Band Number | Band Name | Center Wavelength (nm) | Bandwidth FWHM (nm) |
|---|---|---|---|
| 1 | Blue | 475 | 20 |
| 2 | Green | 560 | 20 |
| 3 | Red | 668 | 10 |
| 4 | Near IR | 840 | 40 |
| 5 | Red Edge | 717 | 10 |
| Specifications | |
|---|---|
| Weight | 150 g |
| Dimensions | 2.1 cm × 6.6 cm × 4.6 cm |
| Ground sample distance | 8.2 cm/pixel (per band) at 120 m |
| Capture speed | 1 capture per second (all bands), 12-bit RAW |
| Name | Abbreviation | Formula | Value Range | Reference |
|---|---|---|---|---|
| Blue | Rb | Rb | - | |
| Green | Rg | Rg | - | |
| Red | Rr | Rr | - | |
| RedEdge | Rre | Rre | - | |
| Near-infrared | Rnir | Rnir | - | |
| Normalized Difference Vegetation Index | NDVI | (Rnir-Rr)/(Rnir+Rr) | −1 ~ 1 | [31] |
| Enhance Normalized Difference Vegetation Index | ENDVI | [(Rnir + Rg) − (2 × Rb)]/[(Rnir + Rg) + (2 × Rb)] | −1 ~ 1 | [32] |
| Normalized Difference RedEdge Index | NDREI | (Rnir − Rre)/(Rnir + Rre) | −1 ~ 1 | [33] |
| Normalized Green-Red Difference Index | NGRDI | (Rg − Rr)/(Rg + Rr) | −1 ~ 1 | [34] |
| Green NDVI | GNDVI | (Rnir − Rg)/(Rnir + Rg) | −1 ~ 1 | [35] |
| Date | NDVI | ENDVI | NDREI | NGRDI | GNDVI | |
|---|---|---|---|---|---|---|
| 25 April 2018 | Mean | 0.104 | 0.075 | 0.048 | 0.123 | −0.019 |
| Max. | 0.526 | 0.459 | 0.218 | 0.206 | 0.431 | |
| Min. | 0.059 | −0.015 | −0.040 | −0.037 | −0.019 | |
| S.D. | 0.091 | 0.067 | 0.047 | 0.053 | 0.122 | |
| 20 May 2018 | Mean | 0.147 | 0.099 | 0.074 | 0.075 | 0.075 |
| Max. | 0.558 | 0.417 | 0.291 | 0.128 | 0.476 | |
| Min. | −0.023 | −0.021 | −0.033 | −0.035 | −0.095 | |
| S.D. | 0.122 | 0.076 | 0.069 | 0.018 | 0.123 | |
| 25 June 2018 | Mean | 0.448 | 0.414 | 0.178 | 0.209 | 0.285 |
| Max. | 0.868 | 0.792 | 0.533 | 0.458 | 0.709 | |
| Min. | 0.084 | 0.170 | 0.014 | −0.101 | −0.077 | |
| S.D. | 0.211 | 0.163 | 0.128 | 0.095 | 0.207 | |
| 24 October 2018 | Mean | 0.342 | 0.327 | 0.103 | 0.203 | 0.147 |
| Max. | 0.701 | 0.672 | 0.380 | 0.282 | 0.645 | |
| Min. | 0.147 | 0.183 | −0.104 | −0.094 | −0.122 | |
| S.D. | 0.145 | 0.136 | 0.103 | 0.085 | 0.221 |
© 2020 by the authors. Licensee MDPI, Basel, Switzerland. This article is an open access article distributed under the terms and conditions of the Creative Commons Attribution (CC BY) license (http://creativecommons.org/licenses/by/4.0/).
Share and Cite
Song, B.; Park, K. Detection of Aquatic Plants Using Multispectral UAV Imagery and Vegetation Index. Remote Sens. 2020, 12, 387. https://doi.org/10.3390/rs12030387
Song B, Park K. Detection of Aquatic Plants Using Multispectral UAV Imagery and Vegetation Index. Remote Sensing. 2020; 12(3):387. https://doi.org/10.3390/rs12030387
Chicago/Turabian StyleSong, Bonggeun, and Kyunghun Park. 2020. "Detection of Aquatic Plants Using Multispectral UAV Imagery and Vegetation Index" Remote Sensing 12, no. 3: 387. https://doi.org/10.3390/rs12030387
APA StyleSong, B., & Park, K. (2020). Detection of Aquatic Plants Using Multispectral UAV Imagery and Vegetation Index. Remote Sensing, 12(3), 387. https://doi.org/10.3390/rs12030387
