Refocusing High-Resolution SAR Images of Complex Moving Vessels Using Co-Evolutionary Particle Swarm Optimization
Abstract
1. Introduction
2. AJTF Decomposition Method
3. PSO Algorithm Applied in AJTF Decomposition
3.1. PSO Algorithm
3.2. Co-Evolutionary PSO Algorithm
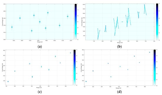
4. Experiment Results and Analysis
4.1. Simulation Test
4.2. Experimental Test
5. Conclusions
Author Contributions
Funding
Conflicts of Interest
References
- Lao, G.; Yin, C.; Ye, W.; Sun, Y.; Li, G.; Han, L. An SAR-ISAR Hybrid Imaging Method for Ship Targets Based on FDE-AJTF Decomposition. Electronics 2018, 7, 46. [Google Scholar] [CrossRef]
- Crisp, D.J. The State-of-the-Art in Ship Detection in Synthetic Aperture Radar Imagery; Defence Science And Technology Organisation: Edinburgh, Australia, 2004. [Google Scholar]
- Gao, G.; Liu, L.; Zhao, L.; Shi, G.; Kuang, G. An adaptive and fast CFAR algorithm based on automatic censoring for target detection in high-resolution SAR images. IEEE Trans. Geosci. Remote Sens. 2008, 47, 1685–1697. [Google Scholar] [CrossRef]
- Lin, M.; He, X.; Jia, Y.; Bai, Y.; Ye, X.; Gong, F. Advances in marine satellite remote sensing technology in China. Haiyang Xuebao 2019, 41, 99–112. [Google Scholar]
- Hwang, S.I.; Ouchi, K. On a novel approach using MLCC and CFAR for the improvement of ship detection by synthetic aperture radar. IEEE Geosci. Remote Sens. Lett. 2010, 7, 391–395. [Google Scholar] [CrossRef]
- Wang, C.; Zhang, H.; Wu, F.; Jiang, S.; Zhang, B.; Tang, Y. A Novel Hierarchical Ship Classifier for COSMO-SkyMed SAR Data. IEEE Geosci. Remote Sens. Lett. 2014, 11, 484–488. [Google Scholar] [CrossRef]
- An, Q.; Pan, Z.; You, H. Ship detection in Gaofen-3 SAR images based on sea clutter distribution analysis and deep convolutional neural network. Sensors 2018, 18, 334. [Google Scholar] [CrossRef]
- Kang, M.; Leng, X.; Lin, Z.; Ji, K. A modified faster R-CNN based on CFAR algorithm for SAR ship detection. In Proceedings of the 2017 International Workshop on Remote Sensing with Intelligent Processing (RSIP), Shanghai, China, 18–21 May 2017; pp. 1–4. [Google Scholar]
- Yu, L.; Li, C.; Wang, P.; Fang, Y. Imaging of maritime rotation targets in spaceborne SAR image. In Proceedings of the 2017 Progress in Electromagnetics Research Symposium-Fall (PIERS-FALL), Singapore, 19–22 November 2017; pp. 503–507. [Google Scholar]
- Noviello, C.; Fornaro, G.; Martorella, M.; Reale, D. ISAR add-on for focusing moving targets in very high resolution spaceborne SAR data. In Proceedings of the 2014 IEEE Geoscience and Remote Sensing Symposium, Quebec City, QC, Canada, 13–18 July 2014; pp. 926–929. [Google Scholar]
- Liu, P.; Jin, Y.-Q. A study of ship rotation effects on SAR image. IEEE Trans. Geosci. Remote Sens. 2017, 55, 3132–3144. [Google Scholar] [CrossRef]
- Martorella, M.; Pastina, D.; Berizzi, F.; Lombardo, P. Spaceborne radar imaging of maritime moving targets with the Cosmo-SkyMed SAR system. IEEE J. Sel. Top. Appl. Earth Obs. Remote Sens. 2014, 7, 2797–2810. [Google Scholar] [CrossRef]
- Lu, G.; Bao, Z. Range instantaneous Doppler algorithm in ISAR based on instant frequency estimation. J. Xidian Univ. 1998, 3545, 198–201. [Google Scholar]
- Hu, C.; Ferro-Famil, L.; Kuang, G. Ship discrimination using polarimetric SAR data and coherent time-frequency analysis. Remote Sens. 2013, 5, 6899–6920. [Google Scholar] [CrossRef]
- Djurović, I.; Simeunović, M. Review of the quasi-maximum likelihood estimator for polynomial phase signals. Digit. Signal Process. 2018, 72, 59–74. [Google Scholar]
- Djurović, I.; Simeunović, M.; Wang, P. Cubic phase function: A simple solution to polynomial phase signal analysis. Signal Process. 2017, 135, 48–66. [Google Scholar] [CrossRef]
- Li, J.; Hao, L.; Chen, V. An Algorithm to Detect the Presence of 3D Target Motion from ISAR Data. Multidimens. Syst. Signal Process. 2003, 14, 223–240. [Google Scholar] [CrossRef]
- Yu, L.; Lao, G.; Li, C.; Sun, Y.; Li, Y. A Novel Multicomponent PSO Algorithm Applied in FDE–AJTF Decomposition. Electronics 2019, 8, 51. [Google Scholar] [CrossRef]
- Brinkman, W.; Thayaparan, T. Focusing ISAR images using the AJTF optimized with the GA and the PSO algorithm-comparison and results. In Proceedings of the 2006 IEEE Conference on Radar, Verona, NY, USA, 24–27 April 2006; p. 8. [Google Scholar]
- Li, Y.; Fu, Y.; Li, X.; Le-Wei, L. ISAR imaging of multiple targets using particle swarm optimization–adaptive joint time-frequency approach. IET Signal Process. 2010, 4, 343–351. [Google Scholar] [CrossRef]
- Liu, Q.Y.; Li, Z.S.; Li, H.Y.; Liang, H. Parameter estimation of multicomponent Polynomial Phase Signal. Acta Electronic. Sinica. 2004, 12, 2031–2034. [Google Scholar]
- Shi, Y.; Eberhart, R. A Modified Particle Swarm Optimizer. In Proceedings of the 1998 IEEE International Conference on Evolutionary Computation Proceedings. IEEE World Congress on Computational Intelligence (Cat. No.98TH8360), Anchorage, AK, USA, 4–9 May 1998. [Google Scholar]
- Shi, Y.; Krohling, R.A. Co-evolutionary particle swarm optimization to solve min-max problems. In Proceedings of the 2002 Congress on Evolutionary Computation CEC’02 (Cat. No.02TH8600), Honolulu, HI, USA, 12–17 May 2002. [Google Scholar]
- Wehner, D.R. High Resolution Radar; Artech House, Inc.: Norwood, MA, USA, 1987; p. 484. [Google Scholar]
- Global Weather Visual Simulation Network. Available online: https://earth.nullschool.net (accessed on 10 September 2019).
- Yu, L.; Li, C.; Wang, P.; Fang, Y.; Feng, X. Research into SAR imaging of moving ship target based on ISAR technology. In Proceedings of the International Geoscience and Remote Sensing Symposium (IGARSS 2018), Valencia, Spain, 22–27 July 2018; pp. 2290–2293. [Google Scholar]




| Item | Value |
|---|---|
| Scattering point model of the vessel with 9 points [X,Y] | [0 0, 100 0, −100 0, 50 50, 50 0, 50 −50, −50 50, −50 0, −50 −50] [m] |
| Vessel rotation amplitude Vessel rotation period [Roll, Pitch, Yaw] | [38.4, 3.4, 3.8] [deg] [12.2, 6.7, 14.2] [s] |
| Looking Angle Imaging Mode Band Width PRF | 31.2 [deg] Spotlight 240 [MHz] 3725.6 [Hz] |
| Sample Rate | 266.667 [MHz] |
| Aperture Time | 4.0 [s] |
| Shortest Slant Range | 898.388 [Km] |
| CS | Classical PSO | Co-Evolutionary PSO | |
|---|---|---|---|
| PSLR (dB) | −5.02 | −10.12 | −11.57 |
| ISLR (dB) | −5.41 | −13.55 | −15.65 |
| Ave computation time (s) | 65 | 1421 | 725 |
© 2020 by the authors. Licensee MDPI, Basel, Switzerland. This article is an open access article distributed under the terms and conditions of the Creative Commons Attribution (CC BY) license (http://creativecommons.org/licenses/by/4.0/).
Share and Cite
Yu, L.; Li, C.; Chen, J.; Wang, P.; Men, Z. Refocusing High-Resolution SAR Images of Complex Moving Vessels Using Co-Evolutionary Particle Swarm Optimization. Remote Sens. 2020, 12, 3302. https://doi.org/10.3390/rs12203302
Yu L, Li C, Chen J, Wang P, Men Z. Refocusing High-Resolution SAR Images of Complex Moving Vessels Using Co-Evolutionary Particle Swarm Optimization. Remote Sensing. 2020; 12(20):3302. https://doi.org/10.3390/rs12203302
Chicago/Turabian StyleYu, Lei, Chunsheng Li, Jie Chen, Pengbo Wang, and Zhirong Men. 2020. "Refocusing High-Resolution SAR Images of Complex Moving Vessels Using Co-Evolutionary Particle Swarm Optimization" Remote Sensing 12, no. 20: 3302. https://doi.org/10.3390/rs12203302
APA StyleYu, L., Li, C., Chen, J., Wang, P., & Men, Z. (2020). Refocusing High-Resolution SAR Images of Complex Moving Vessels Using Co-Evolutionary Particle Swarm Optimization. Remote Sensing, 12(20), 3302. https://doi.org/10.3390/rs12203302

