Frequency–Wavenumber Analysis of Deep Learning-based Super Resolution 3D GPR Images
Abstract
1. Introduction
2. Deep Learning-based SR GPR Image Enhancement
3. SR GPR Image-Based f–k Analysis
4. Numerical and Experimental Validations
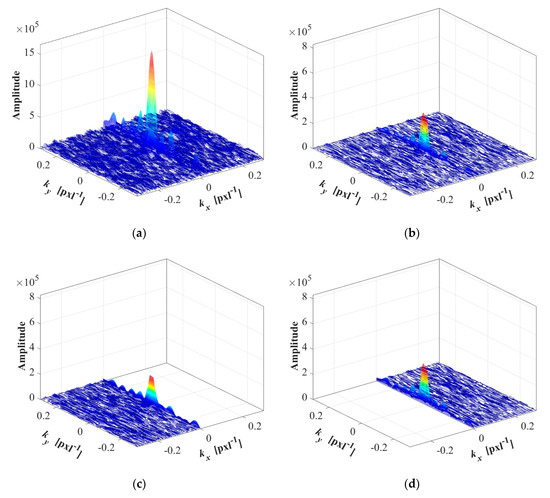
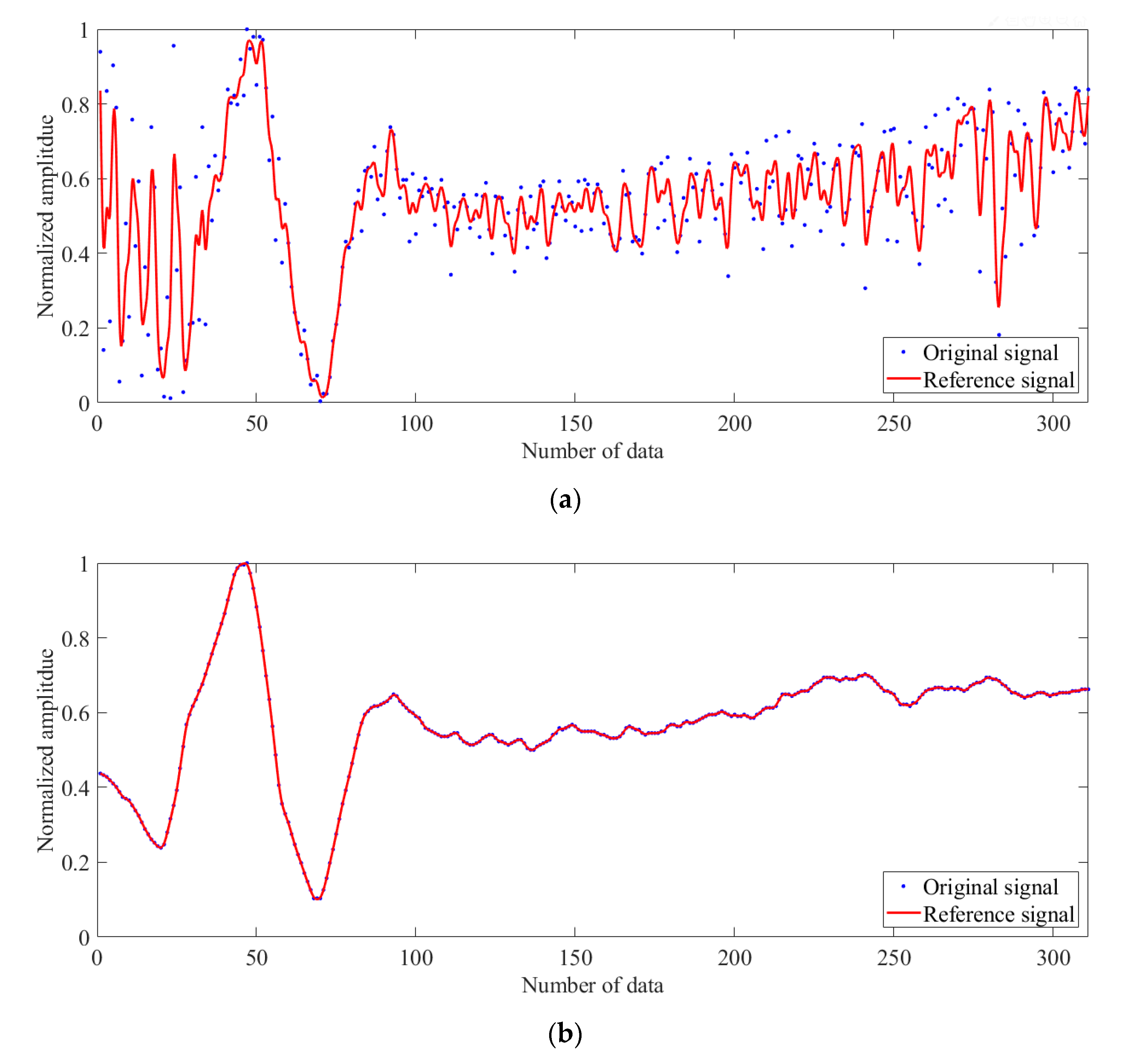
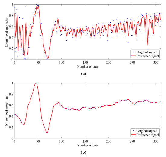
4.1. Numerical Validation
4.2. Experimental Validation Using In-Situ 3D GPR Data
5. Discussion
6. Conclusions
Author Contributions
Funding
Acknowledgments
Conflicts of Interest
References
- Brinkmann, R.; Parise, M.; Dye, D. Sinkhole distribution in a rapidly developing urban environment: Hillsborough Country, Tampa Bay area, Florida. Eng. Geol. 2008, 99, 169–184. [Google Scholar] [CrossRef]
- Strzalkowski, P. Sinkhole formation hazard assessment. Earth Sci. 2018, 78, 9. [Google Scholar] [CrossRef]
- Huang, J.; Liu, W.; Sun, X. A pavement crack detection method combining 2D with 3D information based on dempster-shafer theory. Comput. Aided Civ. Infrastruct. Eng. 2014, 29, 299–313. [Google Scholar] [CrossRef]
- Guan, H.; Li, J.; Yu, Y.; Chapman, M.; Wang, H.; Wang, C.; Zhai, R. Iterative tensor voting for pavement crack extraction using mobile laser scanning data. IEEE Trans. Geosci. Remote Sens. 2014, 53, 1527–1537. [Google Scholar] [CrossRef]
- Toksoz, D.; Yilmaz, I.; Seren, A.; Mataraci, I. A study on the performance of GPR for detection of different types of buried objects. Procedia Eng. 2016, 161, 399–406. [Google Scholar] [CrossRef][Green Version]
- Sun, H.; Pashoutani, S.; Zhu, J. Nondestructive evaluation of concrete bridge decks with automated acoustic scanning system and ground penetrating radar. Sensors 2018, 18, 1955. [Google Scholar] [CrossRef]
- Ukaegbu, I.K.; Gamage, K.A.A.; Aspinall, M.D. Integration of ground-penetrating radar and gamma-ray detectors for nonintrusive characterization of buried radioactive objects. Sensors 2019, 19, 2743. [Google Scholar] [CrossRef]
- Sharma, P.; Kumar, B.; Singh, D.; Gaba, S.P. Critical analysis of background subtraction techniques on real GPR data. Def. Sci. J. 2017, 67, 559–571. [Google Scholar] [CrossRef]
- Park, B.J.; Kim, J.G.; Lee, J.S.; Kang, M.-S.; An, Y.-K. Underground object classification for urban roads using instantaneous phase analysis of GPR data. Remote Sens. 2018, 10, 1417. [Google Scholar] [CrossRef]
- Daniels, D.J. Ground Penetrating Radar, 2nd ed.; The Institution of Electrical Engineers: London, UK, 2004. [Google Scholar]
- Ciampoli, L.B.; Tosti, F.; Economou, N.; Benedetto, F. Signal processing of GPR data for road surveys. Geosciences 2019, 9, 96. [Google Scholar] [CrossRef]
- Feng, X.; Yu, Y.; Liu, C.; Fehler, M. Combination of H-alpha decomposition and migration for enhancing subsurface target classification of GPR. IEEE Trans. Geosci. Remote Sens. 2015, 53, 4852–4863. [Google Scholar] [CrossRef]
- Economou, N.; Vafidis, A. GPR data time varying deconvolution by kurtosis maximization. J. Appl. Geophys. 2012, 81, 117–121. [Google Scholar] [CrossRef]
- Gurbuz, A.C.; McClellan, J.H.; Scott, W.R. Compressive sensing for subsurface imaging using ground penetrating radar. Signal. Process. 2009, 89, 1959–1972. [Google Scholar] [CrossRef]
- Pue, J.D.; Meirvenne, M.V.; Cornelis, W.M. Accounting for surface refraction in velocity semblance analysis with air-coupled GPR. IEEE J. Top. Appl. Earth Obs. Remote Sens. 2015, 9, 60–73. [Google Scholar] [CrossRef]
- Nuzzo, L. Coherent noise attenuation in GPR data by linear and parabolic radon transform techniques. Ann. Geophys. 2003, 46, 533–547. [Google Scholar]
- Baili, J.; Lahouar, S.; Hergli, M.; Al-Qadi, I.L.; Besbes, K. GPR signal de-noising by discrete wavelet transform. NDT E Int. 2009, 42, 696–703. [Google Scholar] [CrossRef]
- Ostoori, R.; Goudarzi, A.; Oskooi, B. GPR random noise reduction using BPD and EMD. J. Geophys. Eng. 2018, 15, 347–353. [Google Scholar] [CrossRef]
- Nunez-Nieto, X.; Solla, M.; Gomez-Perez, P.; Lorenzo, H. GPR signal characterization for automated landmine and UXO detection based on machine learning techniques. Remote Sens. 2014, 6, 9729–9748. [Google Scholar] [CrossRef]
- Klesk, P.; Godziuk, A.; Kapruziak, M.; Olech, B. Fast analysis of C-scans from ground penetrating radar via 3-D Haar-Like features with application to landmine detection. IEEE Trans. Geosci. Remote Sens. 2015, 53, 3996–4009. [Google Scholar] [CrossRef]
- Mazurkiewicz, E.; Tadeusiewicz, R.; Tomecka-Suchon, S. Application of neural network enhanced ground penetrating radar to localization of burial sites. Appl. Artif. Intell. 2016, 30, 844–860. [Google Scholar] [CrossRef]
- Kim, N.G.; Kim, K.D.; An, Y.-K.; Lee, H.J.; Lee, J.J. Deep learning-based underground object detection for urban road pavement. Int. J. Pavement Eng. 2018, 1–13. [Google Scholar] [CrossRef]
- Kang, M.-S.; Kim, N.G.; Lee, J.J.; An, Y.-K. Deep learning-based automated underground cavity detection using three-dimensional ground penetrating radar. Struct. Health Monit. 2019, 19, 173–185. [Google Scholar] [CrossRef]
- Kim, N.G.; Kim, S.H.; An, Y.-K.; Lee, J.J. A novel 3D GPR image arrangement for deep learning—based underground object classification. Int. J. Pavement Eng. 2019, 1–12. [Google Scholar] [CrossRef]
- Kim, N.G.; Kim, S.H.; An, Y.-K.; Lee, J.J. Triplanar imaging of 3-D GPR data for deep-learning-based underground object detection. IEEE J. Sel. Top. Appl. Earth Obs. Remote Sens. 2019, 12, 4446–4456. [Google Scholar] [CrossRef]
- Benedetto, F.; Tosti, F. A signal processing methodology for assessing the performance of ASTM standard test methods for GPR systems. Signal. Process. 2017, 132, 327–337. [Google Scholar] [CrossRef]
- Ruzzene, M. Frequency-wavenumber domain filtering for improved damage visualization. Smart Mater. Struct. 2007, 16, 2116–2129. [Google Scholar] [CrossRef]
- An, Y.-K.; Park, B.J.; Sohn, H. Complete noncontact laser ultrasonic imaging for automated crack visualization in a plate. Smart Mater. Struct. 2013, 22, 1–10. [Google Scholar] [CrossRef]
- An, Y.-K.; Kwon, Y.S.; Sohn, H. Noncontact laser ultrasonic crack detection for plates with additional structural complexities. Struct. Health Monit. 2013, 12, 522–538. [Google Scholar] [CrossRef]
- Miwa, T.; Arai, I. Super-resolution imaging for point reflectors near transmitting and receiving array. IEEE Trans. Antennas Propag. 2004, 52, 220–229. [Google Scholar] [CrossRef]
- Yamaguchi, T.; Mizutani, T.; Tarumi, M.; Su, D. Sensitive damage detection of reinforced concrete bridge slab by “Time-variant deconvolution” of SHF-band radar signal. IEEE Trans. Geosci. Remote Sens. 2019, 57, 1478–1488. [Google Scholar] [CrossRef]
- Chang, P.; Flatau, A.; Liu, S. Review paper: Health monitoring of civil infrastructure. Struct. Health Monit. 2003, 2, 257–267. [Google Scholar] [CrossRef]
- Irani, M.; Peleg, S. Improving resolution by imaging registration. CVGIP Graph. Models Image Process. 1991, 53, 231–239. [Google Scholar] [CrossRef]
- Kim, K.I.; Kwon, Y. Single-image super-resolution using sparse regression and natural image prior. IEEE Trans. Pattern Anal. 2010, 32, 1127–1133. [Google Scholar]
- Yang, J.; Wright, J.; Huang, T.S.; Ma, Y. Image super-resolution via sparse representation. IEEE Trans. Image Process. 2010, 19, 2861–2873. [Google Scholar] [CrossRef]
- Dong, C.; Loy, C.C.; He, K.; Tang, X. Image super-resolution using deep convolutional networks. IEEE Trans. Pattern Anal. 2015, 38, 295–307. [Google Scholar] [CrossRef] [PubMed]
- Kim, J.; Lee, J.K.; Lee, K.M. Accurate Image Super-Resolution Using Very Deep Convolutional Networks; IEEE Computer Vision and Pattern Recognition: Las Vegas, NV, USA, 2016. [Google Scholar]
- Ledig, C.; Theis, L.; Huszar, F.; Caballero, J.; Cunningham, A.; Acosta, A.; Aitken, A.; Tejani, A.; Totz, J.; Wang, Z.; et al. Photo-Realistic Single Image Super-Resolution Using a Generative Adversarial Networks; IEEE Computer Vision and Pattern Recognition: Honolulu, HI, USA, 2017. [Google Scholar]
- Zhang, Y.; Li, K.; Li, K.; Wang, L.; Zhong, B.; Fu, Y. Image Super-Resolution Using Very Deep Residual Channel Attention Networks. In Proceedings of the 15th European Conference on Computer Vision, Munich, Germany, 8–14 September 2018. [Google Scholar]
- Tai, Y.; Yang, J.; Liu, X. Image Super-Resolution via Deep Recursive Residual Network; IEEE Computer Vision and Pattern Recognition: Honolulu, HI, USA, 2017. [Google Scholar]
- Bae, H.; Jang, K.; An, Y.-K. Deep super resolution crack network (SrcNet) for improving computer vision-based automated crack detectability in in situ bridges. Struct. Health Monit. 2020. [Google Scholar] [CrossRef]
- Kang, M.-S.; Kim, N.G.; Im, S.B.; Lee, J.J.; An, Y.-K. 3D GPR image—Based UcNet for enhancing underground cavity detectability. Remote Sens. 2019, 11, 2545. [Google Scholar] [CrossRef]
- Warren, C.; Giannopoulos, A.; Giannakis, I. gprMax: Open source software to simulate electromagnetic wave propagation for ground penetrating radar. Comput. Phys. Commun. 2016, 209, 163–170. [Google Scholar] [CrossRef]
- Yee, K. Numerical solution of initial boundary value problems involving Maxwell’s equations in isotropic media. IEEE Trans. Antennas Propag. 1966, 14, 302–307. [Google Scholar]

















| SNR (dB) | 19.2 | 54.1 |
| SNR (dB) | Pipe 1 | 29 | 50 |
| Pipe 2 | 28 | 50.3 |
© 2020 by the authors. Licensee MDPI, Basel, Switzerland. This article is an open access article distributed under the terms and conditions of the Creative Commons Attribution (CC BY) license (http://creativecommons.org/licenses/by/4.0/).
Share and Cite
Kang, M.-S.; An, Y.-K. Frequency–Wavenumber Analysis of Deep Learning-based Super Resolution 3D GPR Images. Remote Sens. 2020, 12, 3056. https://doi.org/10.3390/rs12183056
Kang M-S, An Y-K. Frequency–Wavenumber Analysis of Deep Learning-based Super Resolution 3D GPR Images. Remote Sensing. 2020; 12(18):3056. https://doi.org/10.3390/rs12183056
Chicago/Turabian StyleKang, Man-Sung, and Yun-Kyu An. 2020. "Frequency–Wavenumber Analysis of Deep Learning-based Super Resolution 3D GPR Images" Remote Sensing 12, no. 18: 3056. https://doi.org/10.3390/rs12183056
APA StyleKang, M.-S., & An, Y.-K. (2020). Frequency–Wavenumber Analysis of Deep Learning-based Super Resolution 3D GPR Images. Remote Sensing, 12(18), 3056. https://doi.org/10.3390/rs12183056

