Precipitation Retrieval over the Tibetan Plateau from the Geostationary Orbit—Part 2: Precipitation Rates with Elektro-L2 and Insat-3D
Abstract
1. Introduction
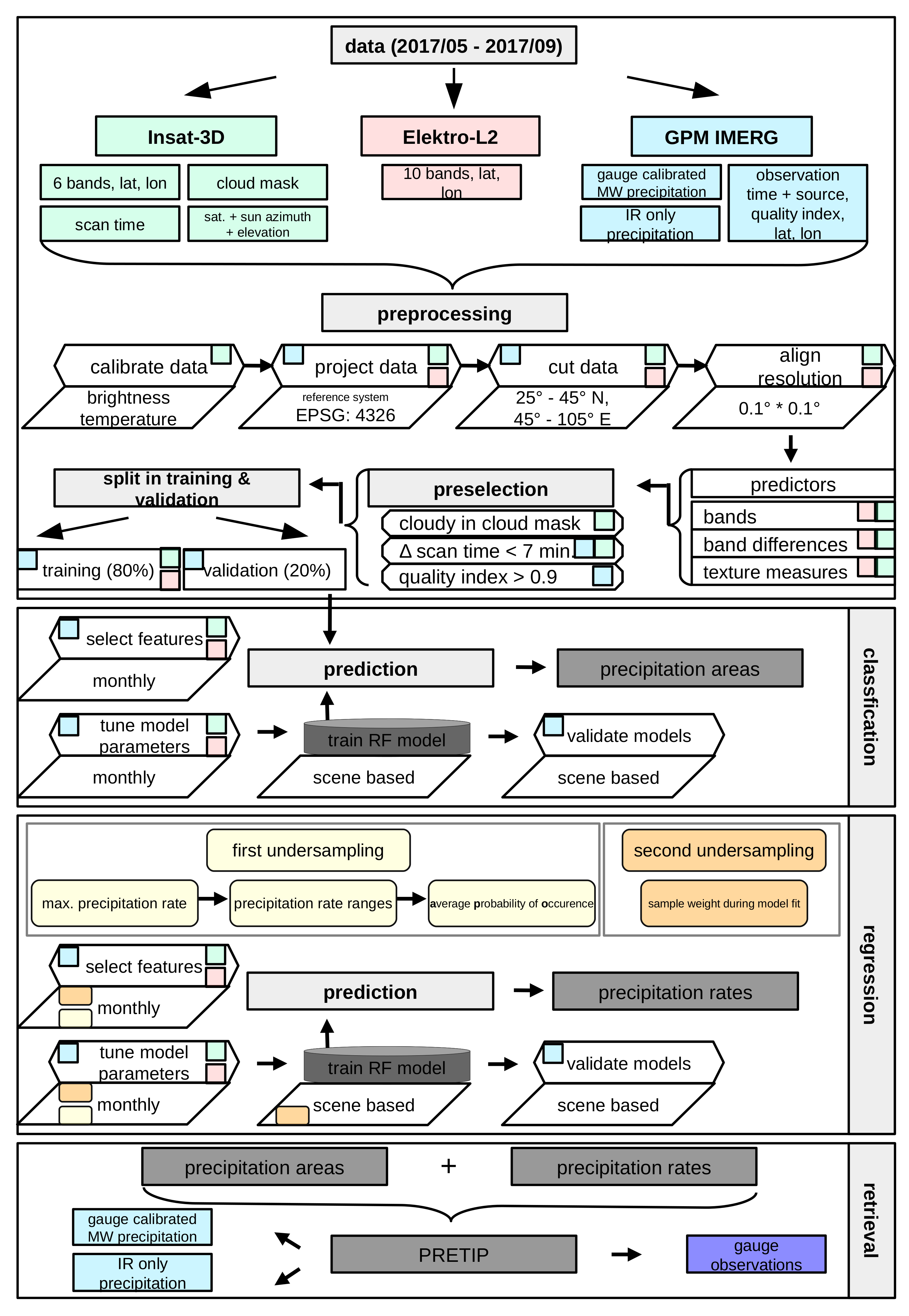
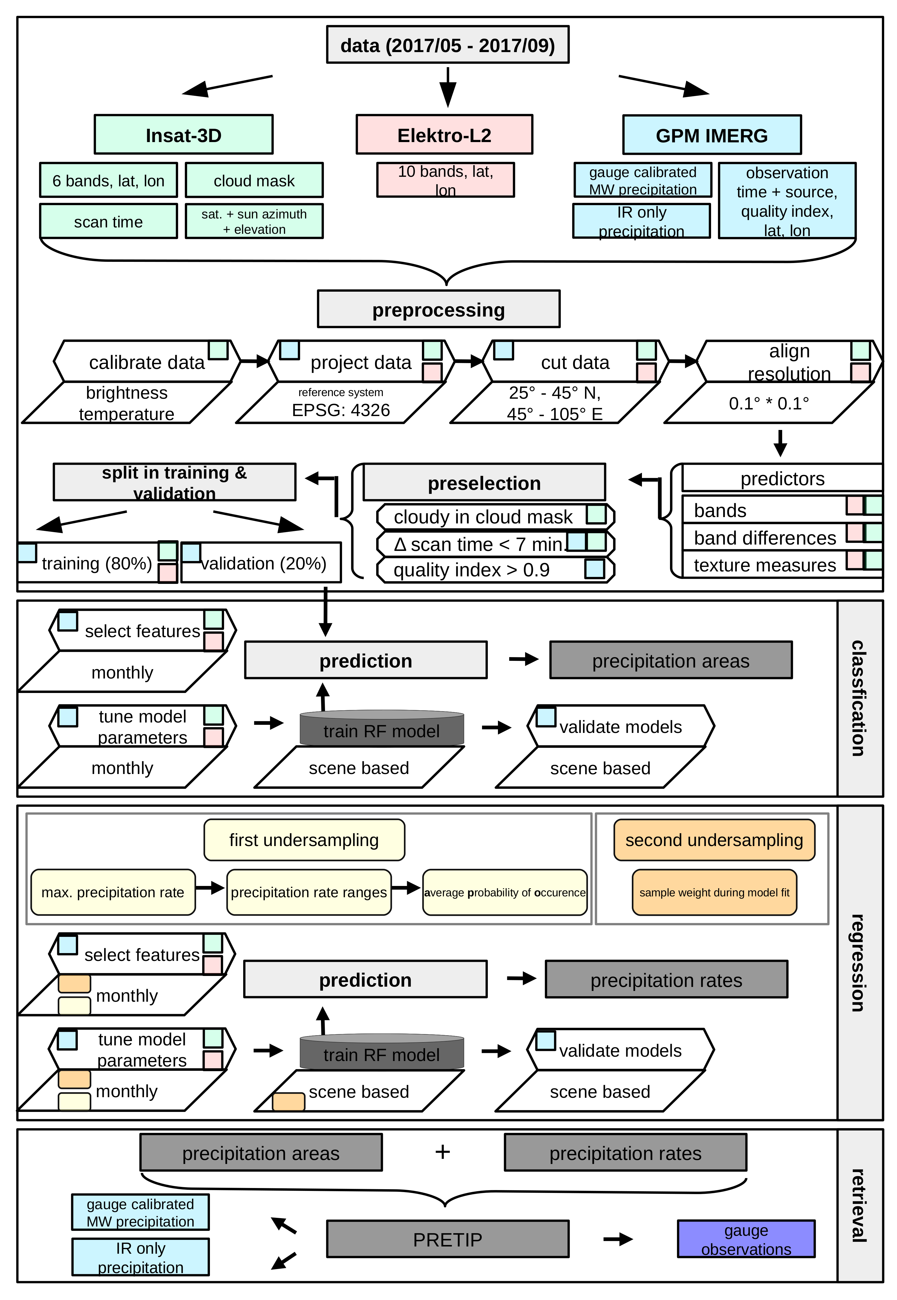
2. Overview of the Processing Scheme of the Precipitation Rates Retrieval and Data
2.1. Processing Scheme of the Precipitation Rates Retrieval
2.2. Data
3. Random Forest Model Training and Validation
3.1. Random Forest Regression
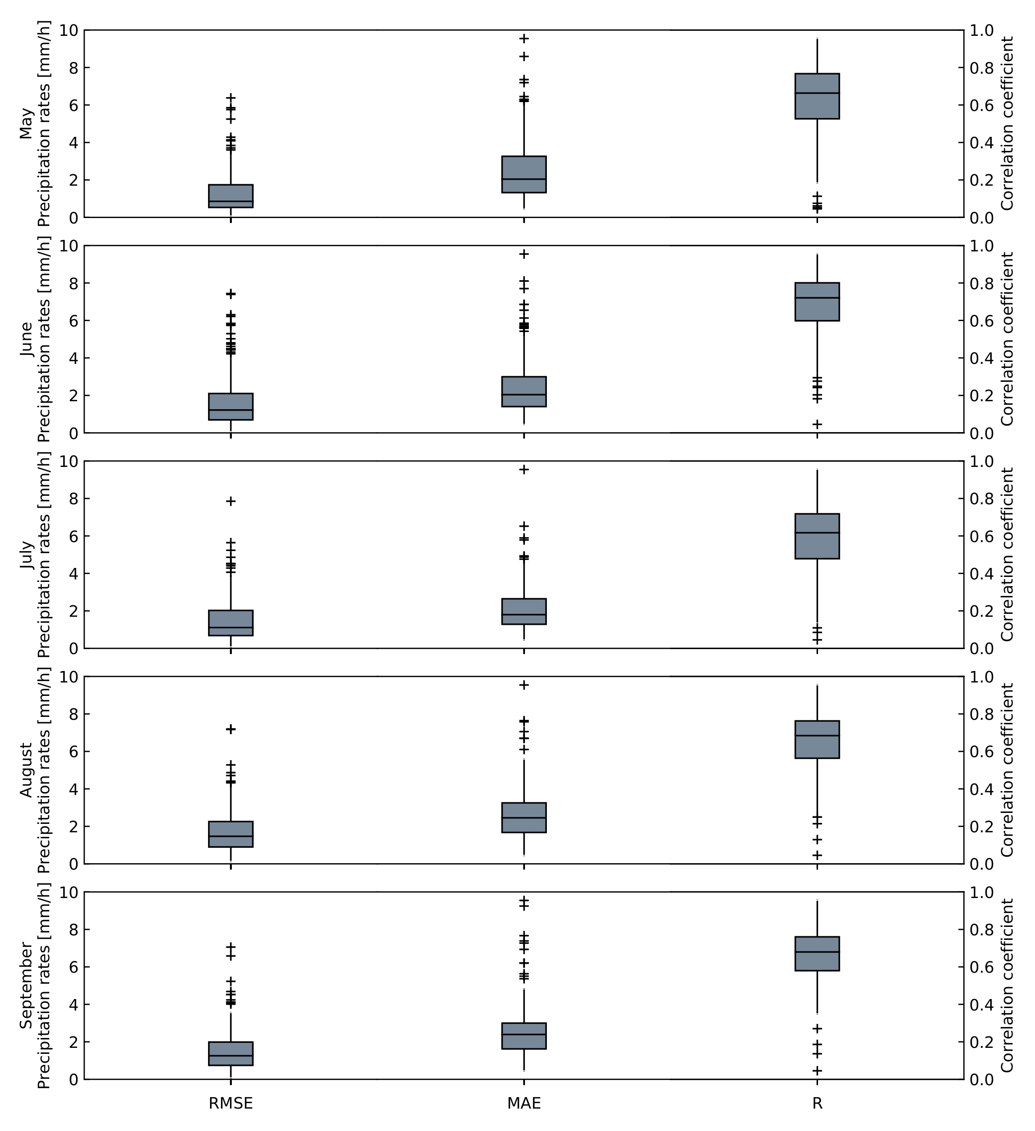
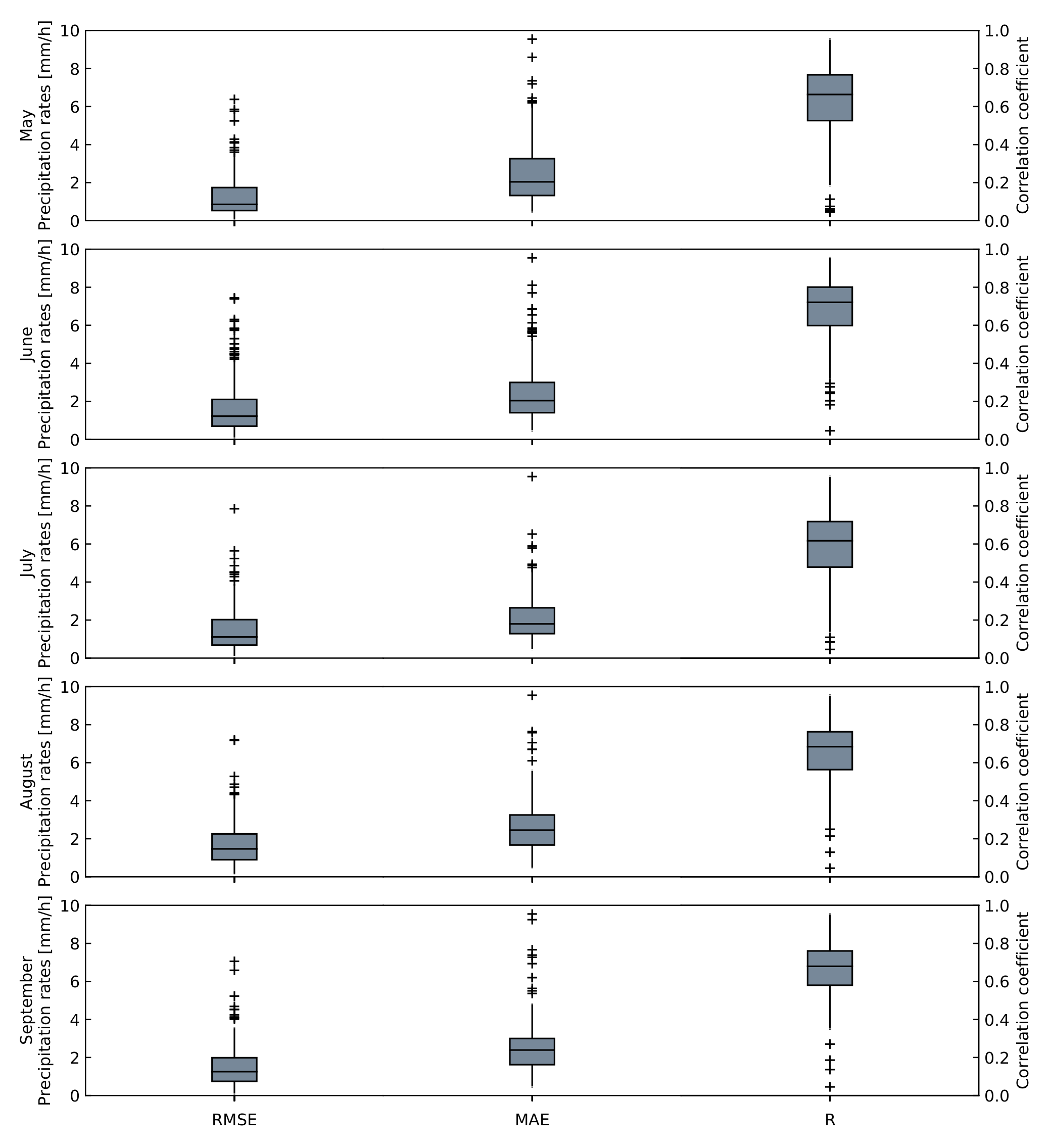
3.2. Validation of the Random Forest Models
3.3. Combination of Precipitation Area Delineation and Precipitation Rates Retrieval
4. Results
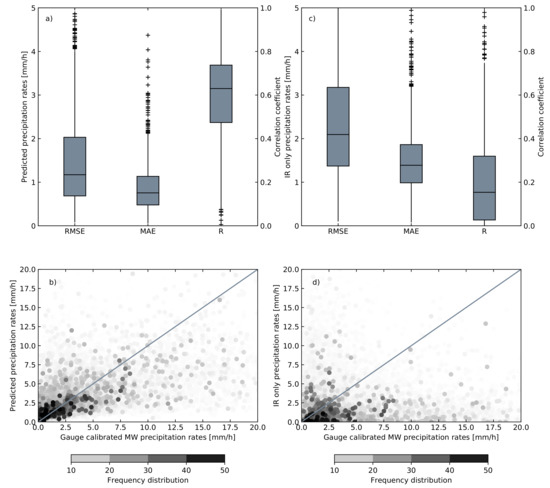
4.1. Validation of the Predicted Precipitation Rates against IMERG’s Gauge Calibrated MW Precipitation Rates
4.2. Results of the Comparison between IMERG’s IR Only Precipitation and IMERG’s Gauge Calibrated MW Precipitation
4.3. Validation of PRETIP against 28 Chinese Rain Gauge Observations
5. Discussion
6. Conclusions
Author Contributions
Funding
Acknowledgments
Conflicts of Interest
Abbreviations
| APO | Average Probability of Occurrence | 
| APRHODITE | Asian Precipitation—Highly-Resolved Observational Data Integration Towards Evaluation | 
| CHIRPS | Climate Hazards Group InfraRed Precipitation with Station data | 
| CMA | China Meteorological Administration | 
| CMORPH | Climate Prediction Centre MORPHing technique | 
| DEM | Digital Elevation Model | 
| GEO | Geostationary | 
| ECMWF | European Centre for Medium-range Weather Forecasts | 
| GPCC | Global precipitation climatology center | 
| GPM | Global Precipitation Measurement Mission | 
| GSMaP-MVK | Global Satellite Mapping of Precipitation—Moving Vector with Kalman Filter | 
| HE(M) | Hydro estimate (Method) from Insat-3D | 
| IMERG | Integrated Multi-satellitE Retrievals for GPM | 
| IMSRA | INSAT Multi-Spectral Rainfall Algorithm | 
| IR | InfraRed | 
| IR only | InfraRed only precipitation product | 
| JAXA | Japan Aerospace Exploration Agency | 
| LEO | Low Earth Orbit | 
| MAE | Mean Absolute Error | 
| MOSDAC | Meteorological and Oceanographic Satellite Data Archival Centre | 
| MSG | Meteosat Second Generation | 
| MSWEP | Multi-Source Weighted-Ensemble Precipitation | 
| MW | Microwave | 
| NASA | National Aeronautics and Space Administration | 
| PERSIANN | Precipitation Estimation from Remotely Sensed Information using Artificial Neural Networks | 
| PERSIANN-CDR | PERSIANN climate data record | 
| PCV | Pseudo Cross Variogram | 
| PrecipCal | Multi-satellite precipitation estimate with gauge calibration | 
| PRETIP | Precipitation Retrieval covering the Tibetan Plateau | 
| R | Correlation Coefficient | 
| RF | Random Forest | 
| RMSE | Root Mean Square Error | 
| SEVIRI | Spinning Enhanced Visible and Infrared Imager | 
| TiP | Tibetan Plateau | 
| TMPA | TRMM Multi-satellite Precipitation Analysis | 
| TMPART | TMPA Real Time version | 
| TRMM | Tropical Rainfall Measuring Mission | 
| VIS | Visible | 
References
- Immerzeel, W.W.; van Beek, L.P.; Bierkens, M.F. Climate Change Will Affect the Asian Water Towers. Science 2010, 328, 1382–1385. [Google Scholar] [CrossRef]
 - Kidd, C.; Huffman, G.J. Global precipitation measurement. Meteorol. Appl. 2011, 18, 334–353. [Google Scholar] [CrossRef]
 - Hsu, K.L.; Gao, X.; Sorooshian, S.; Gupta, H.V. Precipitation Estimation from Remotely Sensed Information Using Artificial Neural Networks. J. Appl. Meteorol. 1997, 36, 1176–1190. [Google Scholar] [CrossRef]
 - Huffman, G.J.; Bolvin, D.T.; Nelkin, E.J.; Wolff, D.B.; Adler, R.F.; Gu, G.; Hong, Y.; Bowman, K.P.; Stocker, E.F. The TRMM Multisatellite Precipitation Analysis (TMPA): Quasi-Global, Multiyear, Combined-Sensor Precipitation Estimates at Fine Scales. J. Hydrometeorol. 2007, 8, 38–55. [Google Scholar] [CrossRef]
 - Joyce, R.J.; Janowiak, J.E.; Arkin, P.A.; Xie, P. CMORPH: A Method that Produces Global Precipitation Estimates from Passive Microwave and Infrared Data at High Spatial and Temporal Resolution. J. Hydrometeorol. 2004, 5, 487–503. [Google Scholar] [CrossRef]
 - Huffman, G.J.; Bolvin, D.T.; Nelkin, E.J. Integrated Multi-satellitE Retrievals for GPM (IMERG) Technical Documentation. NASA/GSFC Code 2015, 612, 47. [Google Scholar]
 - Bai, P.; Liu, X. Evaluation of five satellite-based precipitation products in two gauge-scarce basins on the Tibetan Plateau. Remote Sens. 2018, 10, 1316. [Google Scholar] [CrossRef]
 - Lu, D.; Yong, B. Evaluation and hydrological utility of the latest GPM IMERG V5 and GSMaP V7 precipitation products over the Tibetan Plateau. Remote Sens. 2018, 10, 2022. [Google Scholar] [CrossRef]
 - Gao, Y.C.; Liu, M.F. Evaluation of high-resolution satellite precipitation products using rain gauge observations over the Tibetan Plateau. Hydrol. Earth Syst. Sci. 2013, 17, 837–849. [Google Scholar] [CrossRef]
 - Ma, L.; Zhao, L.; Tian, L.M.; Yuan, L.M.; Xiao, Y.; Zhang, L.L.; Zou, D.F.; Qiao, Y.P. Evaluation of the integrated multi-satellite retrievals for global precipitation measurement over the Tibetan Plateau. J. Mt. Sci. 2019, 16, 1500–1514. [Google Scholar] [CrossRef]
 - Tong, K.; Su, F.; Yang, D.; Zhang, L.; Hao, Z. Tibetan Plateau precipitation as depicted by gauge observations, reanalyses and satellite retrievals. Int. J. Climatol. 2014, 34, 265–285. [Google Scholar] [CrossRef]
 - Singh, A.K.; Singh, V.; Singh, K.K.; Tripathi, J.N.; Kumar, A.; Soni, A.K.; Sateesh, M.; Khadke, C. A Case Study: Heavy Rainfall Event Comparison Between Daily Satellite Rainfall Estimation Products with IMD Gridded Rainfall Over Peninsular India During 2015 Winter Monsoon. J. Indian Soc. Remote Sens. 2018, 46, 927–935. [Google Scholar] [CrossRef]
 - Reddy, M.V.; Mitra, A.K.; Momin, I.M.; Mitra, A.K.; Pai, D.S. Evaluation and inter-comparison of high-resolution multi-satellite rainfall products over India for the southwest monsoon period. Int. J. Remote Sens. 2019, 40, 4577–4603. [Google Scholar] [CrossRef]
 - Mitra, A.K.; Kaushik, N.; Kumar Singh, A.; Parihar, S.; Bhan, S.C. Evaluation of INSAT-3D satellite derived precipitation estimates for heavy rainfall events and its validation with gridded GPM (IMERG) rainfall dataset over the Indian region. Remote Sens. Appl. Soc. Environ. 2018, 9, 91–99. [Google Scholar] [CrossRef]
 - Chen, F.; Li, X. Evaluation of IMERG and TRMM 3B43 Monthly Precipitation Products over Mainland China. Remote Sens. 2016, 8, 472. [Google Scholar] [CrossRef]
 - Lu, X.; Wei, M.; Tang, G.; Zhang, Y. Evaluation and correction of the TRMM 3B43V7 and GPM 3IMERGM satellite precipitation products by use of ground-based data over Xinjiang, China. Environ. Earth Sci. 2018, 77, 209. [Google Scholar] [CrossRef]
 - Ma, Y.; Tang, G.; Long, D.; Yong, B.; Zhong, L.; Wan, W.; Hong, Y. Similarity and error intercomparison of the GPM and its predecessor-TRMM multisatellite precipitation analysis using the best available hourly gauge network over the Tibetan Plateau. Remote Sens. 2016, 8, 569. [Google Scholar] [CrossRef]
 - Wang, W.; Lu, H.; Zhao, T.; Jiang, L.; Shi, J. Evaluation and Comparison of Daily Rainfall From Latest GPM and TRMM Products Over the Mekong River Basin. IEEE J. Sel. Top. Appl. Earth Obs. Remote Sens. 2017, 10, 2540–2549. [Google Scholar] [CrossRef]
 - Xu, R.; Tian, F.; Yang, L.; Hu, H.; Lu, H.; Hou, A. Ground validation of GPM IMERG and TRMM 3B42V7 rainfall products over Southern Tibetan plateau based on a high-density rain gauge network. J. Geophys. Res. 2017, 122, 910–924. [Google Scholar] [CrossRef]
 - Yang, M.; Li, Z.; Anjum, M.N.; Gao, Y. Performance Evaluation of Version 5 (V05) of Integrated Multi-Satellite Retrievals for Global Precipitation Measurement (IMERG) over the Tianshan Mountains of China. Water 2019, 11, 1139. [Google Scholar] [CrossRef]
 - Zhang, C.; Chen, X.; Shao, H.; Chen, S.; Liu, T.; Chen, C.; Ding, Q.; Du, H. Evaluation and Intercomparison of High-Resolution Satellite Precipitation Estimates—GPM, TRMM, and CMORPH in the Tianshan Mountain Area. Remote Sens. 2018, 10, 1543. [Google Scholar] [CrossRef]
 - Schneider, U.; Becker, A.; Ziese, M.; Rudolf, B. Global Precipitation Analysis Products of the GPCC. Internet Publ. 2011, 1–13. [Google Scholar] [CrossRef]
 - Kidd, C.; Kniveton, D.R.; Todd, M.C.; Bellerby, T.J. Satellite Rainfall Estimation Using Combined Passive Microwave and Infrared Algorithms. J. Hydrometeorol. 2003, 4, 1088–1104. [Google Scholar] [CrossRef]
 - Kidd, C.; Levizzani, V. Status of satellite precipitation retrievals. Hydrol. Earth Syst. Sci. 2011, 15, 1109–1116. [Google Scholar] [CrossRef]
 - Huffman, G.J.; Bolvin, D.T.; Nelkin, E.J. Integrated Multi-satellitE Retrievals for GPM (IMERG) Technical Documentation. NASA/GSFC Code 2018, 612, 47. [Google Scholar] [CrossRef]
 - Tan, J.; Petersen, W.A.; Tokay, A. A Novel Approach to Identify Sources of Errors in IMERG for GPM Ground Validation. J. Hydrometeorol. 2016, 17, 2477–2491. [Google Scholar] [CrossRef]
 - Yin, Z.Y.; Zhang, X.; Liu, X.; Colella, M.; Chen, X. An Assessment of the Biases of Satellite Rainfall Estimates over the Tibetan Plateau and Correction Methods Based on Topographic Analysis. J. Hydrometeorol. 2008, 9, 301–326. [Google Scholar] [CrossRef]
 - Meyer, H.; Drönner, J.; Nauss, T. Satellite-based high-resolution mapping of rainfall over southern Africa. Atmos. Meas. Tech. 2017, 10, 2009–2019. [Google Scholar] [CrossRef]
 - Min, M.; Bai, C.; Guo, J.; Sun, F.; Liu, C.; Wang, F.; Xu, H.; Tang, S.; Li, B.; Di, D.; et al. Estimating Summertime Precipitation from Himawari-8 and Global Forecast System Based on Machine Learning. IEEE Trans. Geosci. Remote Sens. 2019, 57, 2557–2570. [Google Scholar] [CrossRef]
 - Upadhyaya, S.; Ramsankaran, R. Modified-INSAT Multi-Spectral Rainfall Algorithm (M-IMSRA) at climate region scale: Development and validation. Remote Sens. Environ. 2016, 187, 186–201. [Google Scholar] [CrossRef]
 - Kühnlein, M.; Appelhans, T.; Thies, B.; Nauss, T. Improving the accuracy of rainfall rates from optical satellite sensors with machine learning—A random forests-based approach applied to MSG SEVIRI. Remote Sens. Environ. 2014, 141, 129–143. [Google Scholar] [CrossRef]
 - Kühnlein, M.; Appelhans, T.; Thies, B.; Nauss, T. Precipitation estimates from MSG SEVIRI daytime, nighttime, and twilight data with random forests. J. Appl. Meteorol. Climatol. 2014, 53, 2457–2480. [Google Scholar] [CrossRef]
 - Kolbe, C.; Thies, B.; Egli, S.; Lehnert, L.; Schulz, H.; Bendix, J. Precipitation Retrieval over the Tibetan Plateau from the Geostationary Orbit—Part 1: Precipitation Area Delineation with Elektro-L2 and Insat-3D. Remote Sens. 2019, 11, 2302. [Google Scholar] [CrossRef]
 - Skofronick-Jackson, G.; Huffman, G.; Stocker, E.; Petersen, W. Successes with the Global Precipitation Measurement (GPM) mission. In Proceedings of the 2016 IEEE International Geoscience and Remote Sensing Symposium (IGARSS), Beijing, China, 10–15 July 2016. [Google Scholar]
 - Beusch, L.; Foresti, L.; Gabella, M.; Hamann, U. Satellite-based rainfall retrieval: From generalized linear models to artificial neural networks. Remote Sens. 2018, 10, 939. [Google Scholar] [CrossRef]
 - Indian Space Research Organisation. Insat-3D. India’s Advanced Weather Satellite; Technical Report; Indian Space Research Organisation: Bangalore, India, 2013. [Google Scholar]
 - National Satellite Meteorological Centre. Insat-3D Data Products Catalog; Technical Report; National Satellite Meteorological Centre: New Delhi, India, 2014. [Google Scholar]
 - News, S.P. INSAT-3D Now Operational. 2014. Available online: https://www.wmo-sat.info/ vlab/2014/02/insat-3d-now-operational/ (accessed on 29 June 2020).
 - MOSDAC, Space Applications Centre, Indian Space Research Organisation, Govt. of India. Meteorological & Oceanographic Satellite Data Archival Centre. Available online: https://www.mosdac.gov.in/ (accessed on 29 June 2020).
 - Zak, A. Zenit Delivers Elektro-L2. 2016. Available online: http://www.russianspaceweb.com/ elektro-l2.html (accessed on 29 June 2020).
 - Wijaya, A.; Marpu, P.; Gloaguen, R. Geostatistical Texture Classification of Tropical Rainforest in Indonesia. In Quality Aspects in Spatial Data Mining; Number 1; CRC Press: Freiberg, Germany, 2008; pp. 199–210. [Google Scholar] [CrossRef]
 - ORNL DAAC. Digital Elevation Model: Global 30 Arc-Second Elevation Data Set (GTOPO30); 2017. Available online: https://webmap.ornl.gov/ogc/dataset.jsp?dg_id=10003_1 (accessed on 29 June 2020).
 - Breiman, L. Random forests. Mach. Learn. 2001, 45, 5–32. [Google Scholar] [CrossRef]
 - Breiman, L. Bagging predictors. Mach. Learn. 1996, 24, 123–140. [Google Scholar] [CrossRef]
 - Pedregosa, F.; Varoquaux, G.; Gramfort, A.; Michel, V.; Thirion, B.; Grisel, O.; Blondel, M.; Prettenhofer, P.; Weiss, R.; Dubourg, V.; et al. Scikit-learn: Machine Learning in Python. J. Mach. Learn. Res. 2011, 12, 2825–2830. [Google Scholar]
 - Rüthrich, F.; Reudenbach, C.; Thies, B.; Bendix, J. Lake Related Cloud-Dynamics on the Tibetan Plateau: Spatial Patterns and Interannual Variability. J. Clim. 2015, 28, 9080–9104. [Google Scholar] [CrossRef]
 - Bookhagen, B.; Burbank, D.W. Toward a complete Himalayan hydrological budget: Spatiotemporal distribution of snowmelt and rainfall and their impact on river discharge. J. Geophys. Res. Earth Surf. 2010, 115, 1–25. [Google Scholar] [CrossRef]
 - Bothe, O.; Fraedrich, K.; Zhu, X. Precipitation climate of Central Asia and the large-scale atmospheric circulation. Theor. Appl. Climatol. 2012, 108, 345–354. [Google Scholar] [CrossRef]
 - Curio, J.; Maussion, F.; Scherer, D. A 12-year high-resolution climatology of atmospheric water transport over the Tibetan Plateau. Earth Syst. Dyn. 2015, 6, 109–124. [Google Scholar] [CrossRef]
 - Mölg, T.; Maussion, F.; Scherer, D. Mid-latitude westerlies as a driver of glacier variability in monsoonal High Asia. Nat. Clim. Chang. 2014, 4, 68–73. [Google Scholar] [CrossRef]
 - Wu, L.; Zhai, P. Validation of daily precipitation from two high-resolution satellite precipitation datasets over the Tibetan Plateau and the regions to its east. Acta Meteorol. Sin. 2012, 26, 735–745. [Google Scholar] [CrossRef]
 - Chao, L.; Zhang, K.; Li, Z.; Zhu, Y.; Wang, J.; Yu, Z. Geographically weighted regression based methods for merging satellite and gauge precipitation. J. Hydrol. 2018, 558, 275–289. [Google Scholar] [CrossRef]
 - Mishra, A.K.; Gairola, R.M.; Varma, A.K.; Agarwal, V.K. Improved rainfall estimation over the Indian region using satellite infrared technique. Adv. Space Res. 2011, 48, 49–55. [Google Scholar] [CrossRef]
 - Shen, Y.; Hong, Z.; Pan, Y.; Yu, J.; Maguire, L. China’s 1 km Merged Gauge, Radar and Satellite Experimental Precipitation Dataset. Remote Sens. 2018, 10, 264. [Google Scholar] [CrossRef]
 - Hussain, Y.; Satgé, F.; Hussain, M.B.; Martinez-Carvajal, H.; Bonnet, M.P.; Cárdenas-Soto, M.; Roig, H.L.; Akhter, G. Performance of CMORPH, TMPA, and PERSIANN rainfall datasets over plain, mountainous, and glacial regions of Pakistan. Theor. Appl. Climatol. 2018, 131, 1119–1132. [Google Scholar] [CrossRef]
 - Yamamoto, M.K.; Ueno, K.; Nakamura, K. Comparison of Satellite Precipitation Products with Rain Gauge Data for the Khumb Region, Nepal Himalayas. J. Meteorol. Soc. Jpn. 2011, 89, 597–610. [Google Scholar] [CrossRef]
 - Alazzy, A.A.; Lü, H.; Chen, R.; Ali, A.B.; Zhu, Y.; Su, J. Evaluation of Satellite Precipitation Products and Their Potential Influence on Hydrological Modeling over the Ganzi River Basin of the Tibetan Plateau. Adv. Meteorol. 2017, 2017, 1–23. [Google Scholar] [CrossRef]
 - Song, C.; Huang, B.; Ke, L.; Ye, Q. Precipitation variability in High Mountain Asia from multiple datasets and implication for water balance analysis in large lake basins. Glob. Planet. Chang. 2016, 145, 20–29. [Google Scholar] [CrossRef]
 












| Validation Measure | Equation | Range | Optimal Value | 
|---|---|---|---|
| Correlation coefficient | R = | [−1,1] | −1 or 1 | 
| Mean Absolute Error | MAE = | [0,∞] | 0 | 
| Root Mean Square Error | RMSE = | [0,∞] | 0 | 
| Validation Measure | RF Predicted Precipitation Rates (PRETIP) | IMERG IR Only Precipitation Rates | 
|---|---|---|
| R | 0.59 | 0.18 | 
| MAE | 0.91 | 1.56 | 
| RMSE | 1.63 | 2.18 | 
| Validation | PRETIP | Kühnlein | Kühnlein | Meyer et al., | Min et al., | 
|---|---|---|---|---|---|
| Measure | et al., 2014a | et al., 2014b | 2017 | 2019 | |
| R/Rsq | 0.59/0.35 | -/0.36–0.52 | -/0.48–0.5 | -/0.33 | - | 
| MAE [mm/h] | 0.91 | 0.52–0.99 | 0.72–0.8 | - | 0.51 | 
| RMSE [mm/h] | 1.63 | 0.89–1.94 | 1.26–1.46 | 0.72 | 2.0 | 
© 2020 by the authors. Licensee MDPI, Basel, Switzerland. This article is an open access article distributed under the terms and conditions of the Creative Commons Attribution (CC BY) license (http://creativecommons.org/licenses/by/4.0/).
Share and Cite
Kolbe, C.; Thies, B.; Turini, N.; Liu, Z.; Bendix, J. Precipitation Retrieval over the Tibetan Plateau from the Geostationary Orbit—Part 2: Precipitation Rates with Elektro-L2 and Insat-3D. Remote Sens. 2020, 12, 2114. https://doi.org/10.3390/rs12132114
Kolbe C, Thies B, Turini N, Liu Z, Bendix J. Precipitation Retrieval over the Tibetan Plateau from the Geostationary Orbit—Part 2: Precipitation Rates with Elektro-L2 and Insat-3D. Remote Sensing. 2020; 12(13):2114. https://doi.org/10.3390/rs12132114
Chicago/Turabian StyleKolbe, Christine, Boris Thies, Nazli Turini, Zhiyu Liu, and Jörg Bendix. 2020. "Precipitation Retrieval over the Tibetan Plateau from the Geostationary Orbit—Part 2: Precipitation Rates with Elektro-L2 and Insat-3D" Remote Sensing 12, no. 13: 2114. https://doi.org/10.3390/rs12132114
APA StyleKolbe, C., Thies, B., Turini, N., Liu, Z., & Bendix, J. (2020). Precipitation Retrieval over the Tibetan Plateau from the Geostationary Orbit—Part 2: Precipitation Rates with Elektro-L2 and Insat-3D. Remote Sensing, 12(13), 2114. https://doi.org/10.3390/rs12132114
        
