Modeling Small-Footprint Airborne Lidar-Derived Estimates of Gap Probability and Leaf Area Index
Abstract
1. Introduction
2. Theoretical Background and Implementations in DART
2.1. Lidar Pulse
2.2. Lidar Point Cloud and the Corresponding Radiometric Quantities
- Rapid detected peak amplitude by first-derivative zero-crossing (without GD).
- Fitted peak amplitude (after GD by non-linear least-squares minimization [63]).
- Standard deviation (after GD).
- Power integral of a return (after GD):
2.3. Radiative Transfer under Realistic Conditions
3. LPI Estimation and LAI/PAI Inversion from Small-Footprint ALS Point Clouds
3.1. Estimation of and LAI
3.1.1. Theoretical Approaches
3.1.2. Practical Empirical Correlation
3.2. Review of LPI Computation
3.2.1. Point-Number-Based (PNB) Methods for LPI Computation
3.2.2. “Intensity”-Based (IB) Methods for LPI Computation
4. Comparative Sensitivity Study of Estimation Approaches Using DART Simulations
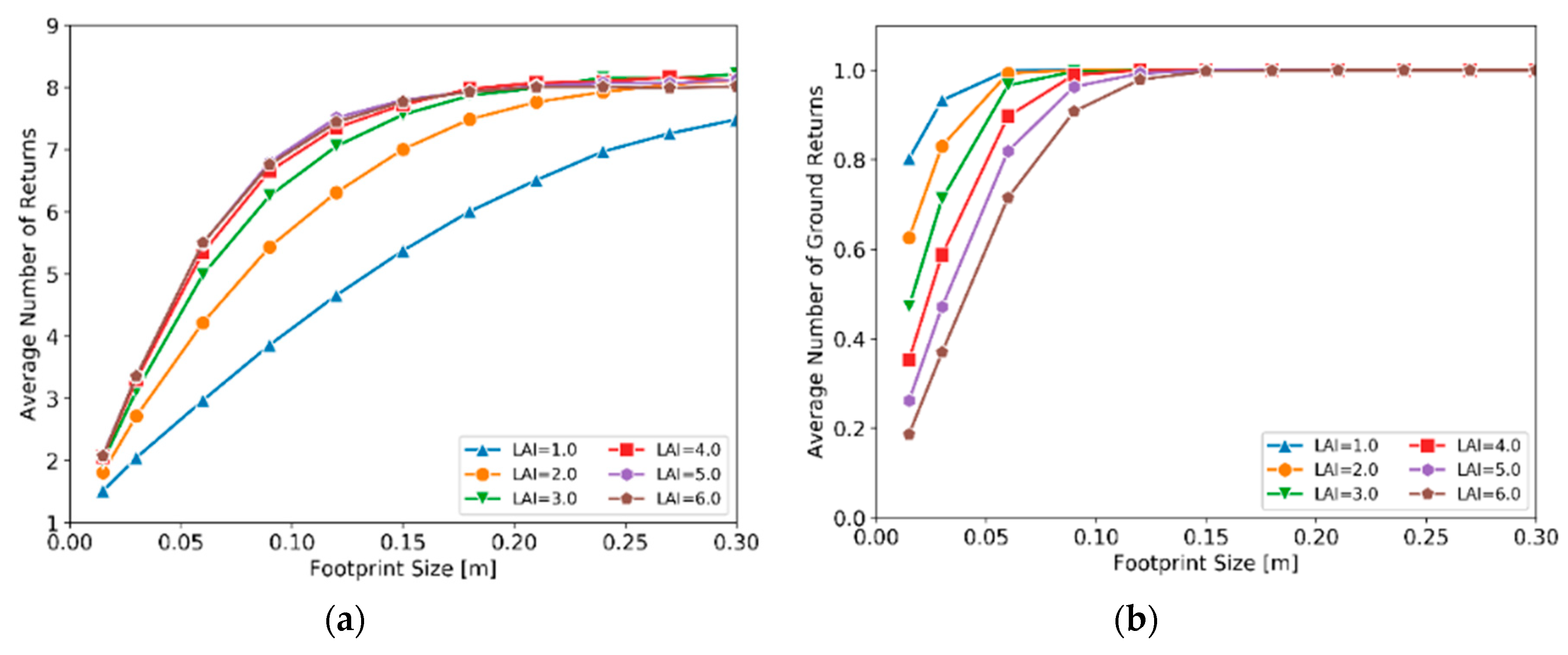
4.1. DART Simulations
4.1.1. Homogeneous Scenes
4.1.2. Heterogeneous Scenes
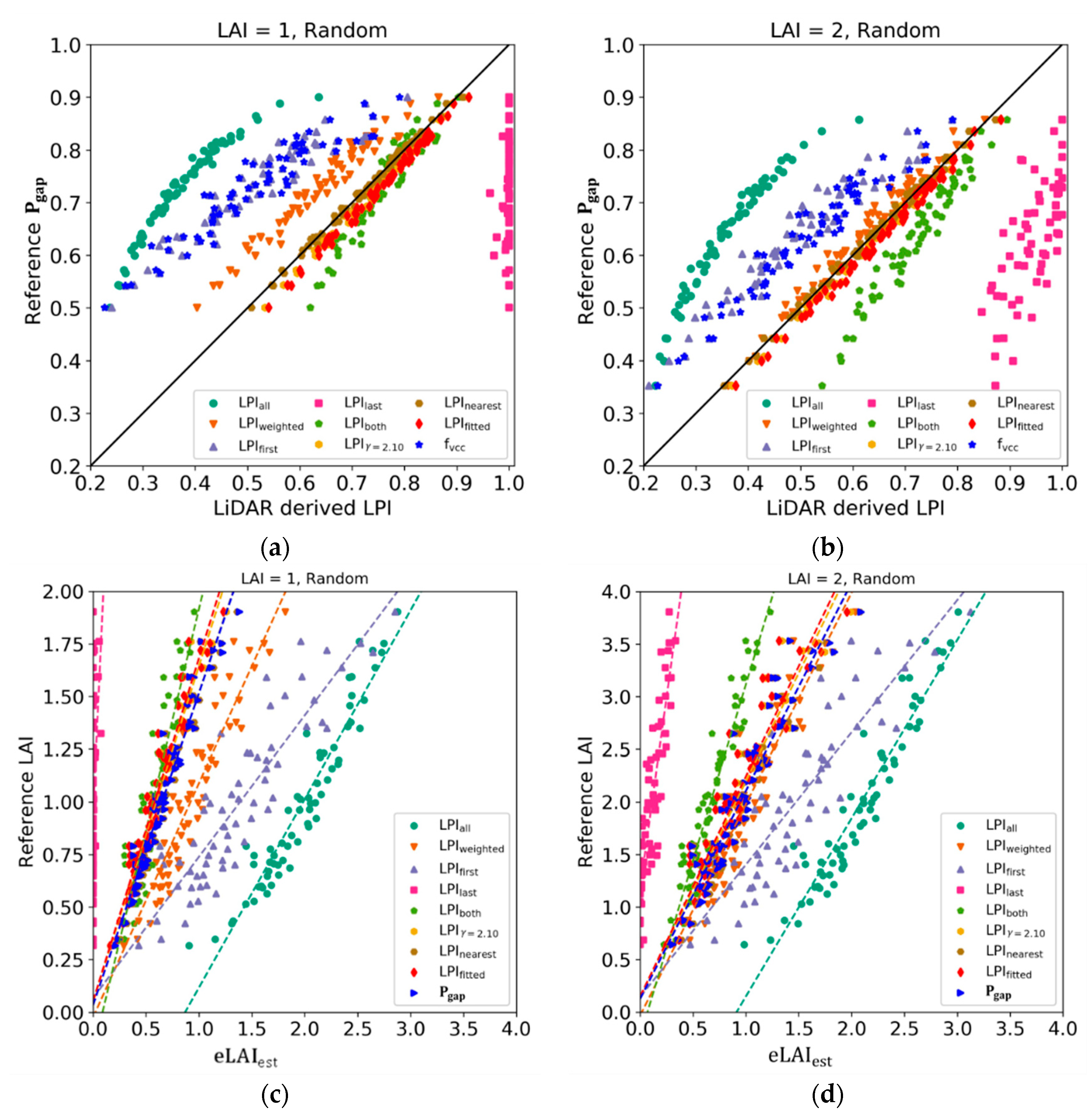
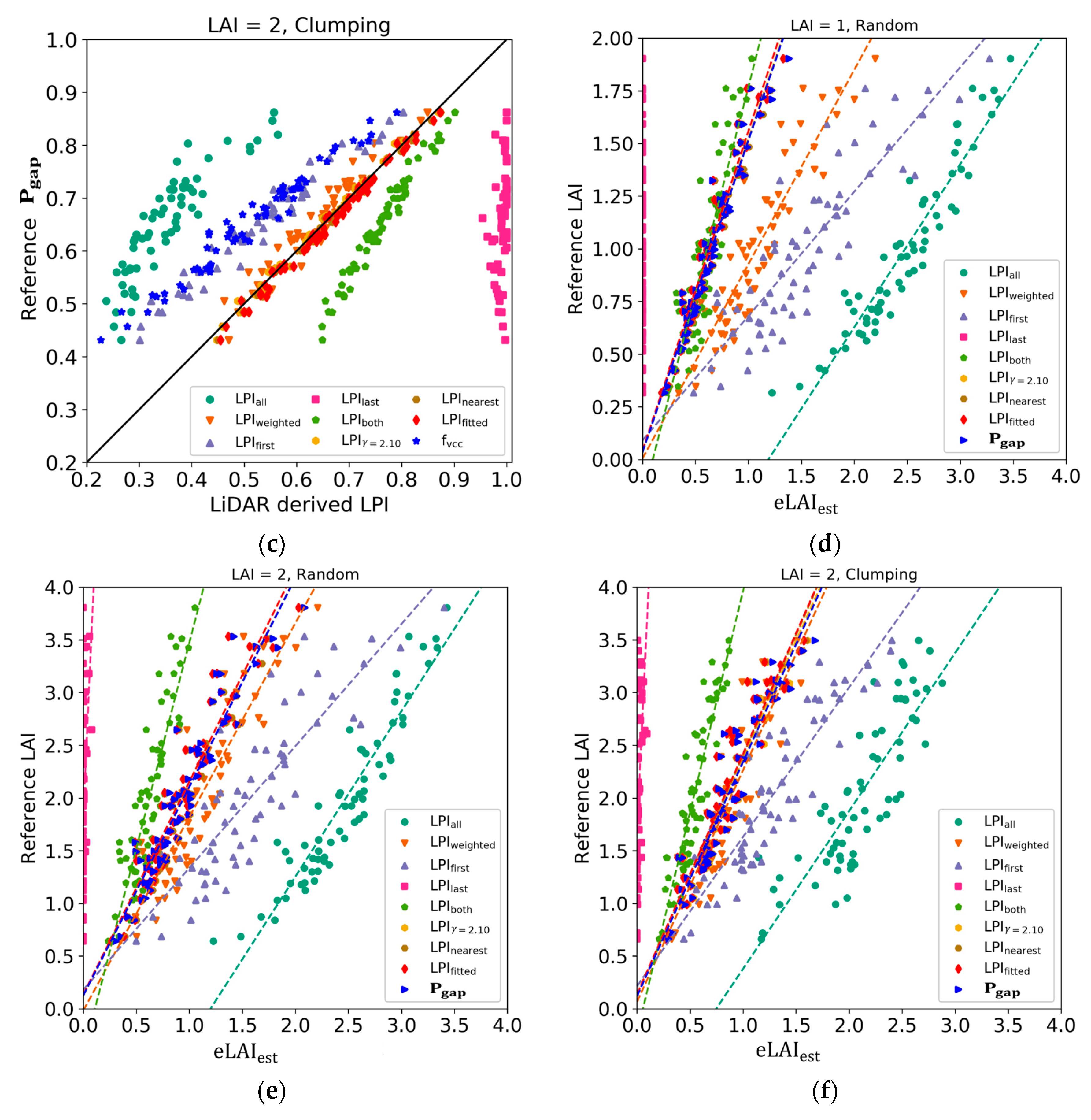
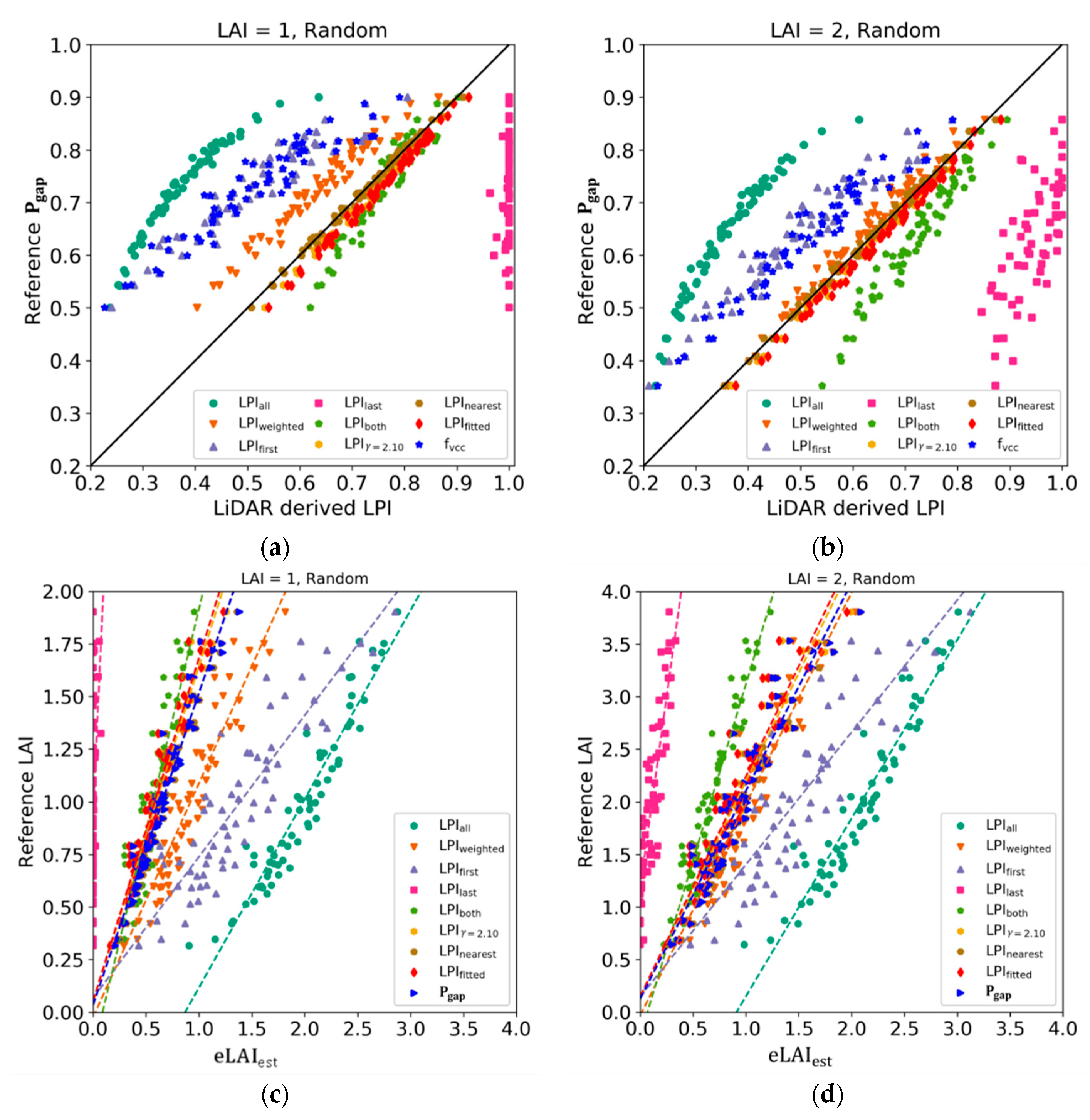
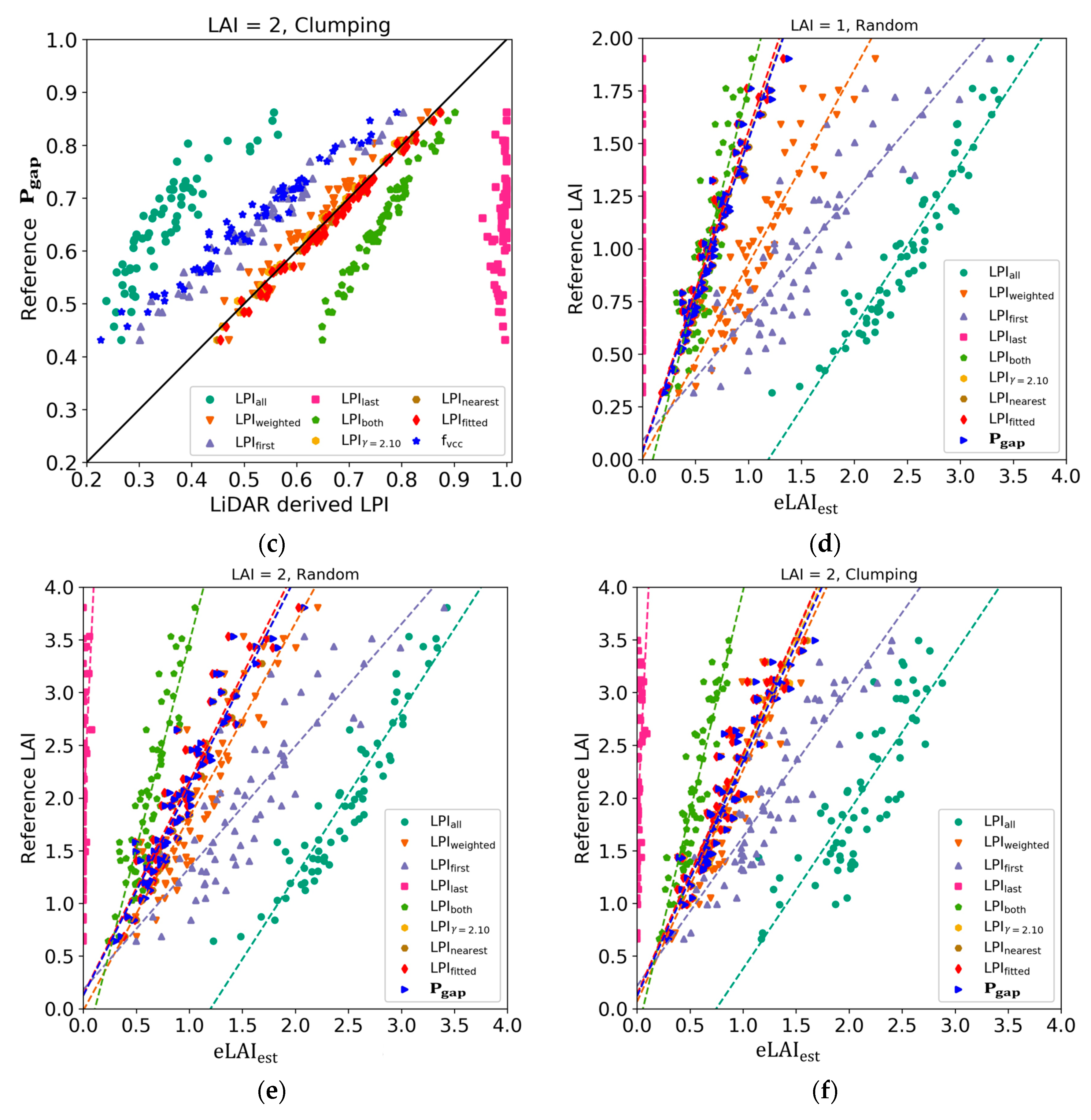
4.2. Results and Analyses
4.2.1. Homogeneous Scene
4.2.2. Heterogeneous Scene
5. Discussion
6. Conclusions and Outlook
Author Contributions
Funding
Acknowledgments
Conflicts of Interest
Nomenclature
| Receiver telescope area | |
| Footprint area at a certain distance | |
| Projection area | |
| A calibration constant with pre-defined instrumental and experimental configurations | |
| The beam cross-section diameter at the “exit gate” of the laser generator | |
| Diameter of the receiver telescope | |
| eLAI | Effective LAI |
| Proportion of crown vertical projection area by neglecting the within-crown gaps | |
| Leaf angle distribution function | |
| G | Unit leaf area projection along the pulse direction |
| Integral of a return Gaussian power profile, total power of a return | |
| The distance-weighted power integral (), proportional to | |
| of pulses with only single ground return | |
| For a pure vegetation or vegetation-ground pulse, refer to For the nearest pure ground pulse | |
| i | Return index of a lidar pulse |
| IB | Intensity-based |
| LAI | Leaf area index |
| Estimated LAI from lidar points without using correlation coefficient | |
| Laser penetration index | |
| Penetration index of a single pulse | |
| Number of returns | |
| Number of first returns | |
| Number of last returns | |
| Number of pulses with only a single return | |
| Peak amplitude of a return Gaussian profile | |
| Time-dependent amplitude profile of a lidar waveform recorded by the receiver | |
| Total pulse power | |
| Total incident power onto the ground | |
| Total incident power onto the vegetation part | |
| Gap probability of zenith angle | |
| The gap probability along vertical direction adapted in most airborne lidar processing | |
| PNB | Point-number-based |
| Distance from lidar | |
| Footprint radius | |
| Peak amplitude of transmitted laser pulse | |
| The temporal standard deviation of the convolved transmitted pulse and receiver response function | |
| The temporal standard deviation of a returned Gaussian profile of return index i | |
| The temporal standard deviation broadening of a return Gaussian profile (index i) from target interaction | |
| The standard deviation of the angular energy distribution within footprint | |
| Back-scatter transfer function of of return index i | |
| Correlation coefficient to link LPI with (exponential) and with eLAI (linear) | |
| The angular offset from the pulse direction | |
| Footprint divergence | |
| Ratio of ground apparent reflectance over vegetation apparent reflectance | |
| Radar back-scattering differential cross-section | |
| Natural reflectivity of a target | |
| Apparent reflectance of a target | |
| Direction and solid angle from target to the receiver of return index i | |
| Leaf normal direction | |
| System and atmospheric transmission factor | |
| The overall clumping index for LAI estimation over an area | |
| Index of clumping that is induced by only crown shape and within-crown clumping | |
| The angle between ground normal and the incident direction of a pulse |
Appendix A. DART Workflow of Point-Cloud Modeling

Appendix B. Influence of Peak Detection Threshold



| Variables | PNB Methods | IB Methods | References | |||||||
|---|---|---|---|---|---|---|---|---|---|---|
| LAI = 2 (Random) | 0.47 | 0.94 | 0.64 | 6.11 | 1.44 | 1.05 | 1.00 | 1.07 | 1.00 | |
| 1.70 | 2.01 | 1.26 | 7.26 | 3.35 | 2.10 | 2.10 | 2.10 | 1.98 | ||
| computed | 0.28 | 0.47 | 0.51 | 0.84 | 0.43 | 0.50 | 0.48 | 0.51 | 0.51 | |
| R2 | 0.90 | 0.87 | 0.78 | 0.78 | 0.91 | 0.89 | 0.89 | 0.89 | 0.90 | |
| LAI = 2 (Clumping) | 0.49 | 1.03 | 0.71 | 4.85 | 1.45 | 1.04 | 1.02 | 1.07 | 1.00 | |
| 1.66 | 2.36 | 1.51 | 6.99 | 3.51 | 2.29 | 2.27 | 2.34 | 2.23 | ||
| computed | 0.30 | 0.44 | 0.47 | 0.69 | 0.41 | 0.45 | 0.45 | 0.46 | 0.45 | |
| R2 | 0.82 | 0.86 | 0.81 | 0.81 | 0.94 | 0.89 | 0.89 | 0.89 | 0.90 | |
| LAI = 1 | 0.33 | 0.71 | 0.47 | 18.69 | 1.18 | 1.09 | 1.00 | 1.11 | 1.00 | |
| 0.90 | 1.11 | 0.67 | 0.81 | 2.10 | 1.59 | 1.48 | 1.63 | 1.48 | ||
| computed | 0.37 | 0.64 | 0.70 | 1.73 | 0.56 | 0.69 | 0.68 | 0.68 | 0.68 | |
| R2 | 0.91 | 0.87 | 0.81 | 0.14 | 0.82 | 0.95 | 0.95 | 0.95 | 0.95 | |
References
- Eitel, J.U.; Höfle, B.; Vierling, L.A.; Abellán, A.; Asner, G.P.; Deems, J.S.; Glennie, C.L.; Joerg, P.C.; LeWinter, A.L.; Magney, T.S.; et al. Beyond 3-D: The new spectrum of lidar applications for earth and ecological sciences. Remote Sens. Environ. 2016, 186, 372–392. [Google Scholar] [CrossRef]
- RDubayah, R.; Goetz, S.J.; Blair, J.B.; Fatoyinbo, T.E.; Hansen, M.; Healey, S.P.; Hofton, M.A.; Hurtt, G.C.; Kellner, J.; Luthcke, S.B.; et al. The global ecosystem dynamics investigation. In Proceedings of the American Geophysical Union, Fall Meeting (AGU, San Francisco), San Francisco, CA, USA, 15–19 December 2014. [Google Scholar]
- Abdalati, W.; Zwally, H.J.; Bindschadler, R.; Csatho, B.; Farrell, S.L.; Fricker, H.A.; Harding, D.; Kwok, R.; Lefsky, M.; Markus, T.; et al. The ICESat-2 Laser Altimetry Mission. Proc. IEEE 2010, 98, 735–751. [Google Scholar] [CrossRef]
- Blair, J.B.; Rabine, D.L.; Hofton, M.A. The Laser Vegetation Imaging Sensor: A medium-altitude, digitisation-only, airborne laser altimeter for mapping vegetation and topography. ISPRS J. Photogramm. Remote Sens. 1999, 54, 115–122. [Google Scholar] [CrossRef]
- Hyde, P.; Dubayah, R.; Peterson, B.; Blair, J.B.; Hofton, M.; Hunsaker, C.; Knox, R.; Walker, W. Mapping forest structure for wildlife habitat analysis using waveform lidar: Validation of montane ecosystems. Remote Sens. Environ. 2005, 96, 427–437. [Google Scholar] [CrossRef]
- Asner, G.P.; Boardman, J.; Field, C.B.; Knapp, D.E.; Kennedy-Bowdoin, T.; Jones, M.O. Carnegie airborne observatory: In-flight fusion of hyperspectral imaging and waveform light detection and ranging for three-dimensional studies of ecosystems. J. Appl. Remote Sens. 2007, 1, 13536. [Google Scholar] [CrossRef]
- Asner, G.P.; Knapp, D.E.; Boardman, J.; Green, R.O.; Kennedy-Bowdoin, T.; Eastwood, M.; Martin, R.E.; Anderson, C.; Field, C.B. Carnegie Airborne Observatory-2: Increasing science data dimensionality via high-fidelity multi-sensor fusion. Remote Sens. Environ. 2012, 124, 454–465. [Google Scholar] [CrossRef]
- Cook, B.; Nelson, R.; Middleton, E.; Morton, D.; McCorkel, J.; Masek, J.; Ranson, K.; Ly, V.; Montesano, P. NASA Goddard’s LiDAR, Hyperspectral and Thermal (G-LiHT) Airborne Imager. Remote Sens. 2013, 5, 4045. [Google Scholar] [CrossRef]
- Côté, J.-F.; Widlowski, J.-L.; Fournier, R.A.; Verstraete, M.M. The structural and radiative consistency of three-dimensional tree reconstructions from terrestrial lidar. Remote Sens. Environ. 2009, 113, 1067–1081. [Google Scholar] [CrossRef]
- Wagner, W.; Ullrich, A.; Melzer, T.; Briese, C.; Kraus, K. From Single-Pulse to Full-Waveform Airborne Laser Scanners: Potential and Practical Challenges. Remote Sensing and Spatial Information Sciences 35 (Part B3). 2004, pp. 201–206. Available online: https://publik.tuwien.ac.at/files/PubDat_119591.pdf (accessed on 7 December 2019).
- Ni-Meister, W.; Lee, S.; Strahler, A.H.; Woodcock, C.E.; Schaaf, C.; Yao, T.; Ranson, K.J.; Sun, G.; Blair, J.B. Assessing general relationships between aboveground biomass and vegetation structure parameters for improved carbon estimate from lidar remote sensing. J. Geophys. Res. Biogeosci. 2010, 115, G00E11. [Google Scholar] [CrossRef]
- Tang, H.; Dubayah, R.; Swatantran, A.; Hofton, M.; Sheldon, S.; Clark, D.B.; Blair, B. Retrieval of vertical LAI profiles over tropical rain forests using waveform lidar at La Selva, Costa Rica. Remote Sens. Environ. 2012, 124, 242–250. [Google Scholar] [CrossRef]
- Tang, H.; Brolly, M.; Zhao, F.; Strahler, A.H.; Schaaf, C.L.; Ganguly, S.; Zhang, G.; Dubayah, R. Deriving and validating Leaf Area Index (LAI) at multiple spatial scales through lidar remote sensing: A case study in Sierra National Forest, CA. Remote Sens. Environ. 2014, 143, 131–141. [Google Scholar] [CrossRef]
- Tang, H.; Dubayah, R.; Brolly, M.; Ganguly, S.; Zhang, G. Large-scale retrieval of leaf area index and vertical foliage profile from the spaceborne waveform lidar (GLAS/ICESat). Remote Sens. Environ. 2014, 154, 8–18. [Google Scholar] [CrossRef]
- Harding, D.J.; Carabajal, C.C. ICESat waveform measurements of within-footprint topographic relief and vegetation vertical structure. Geophys. Res. Lett. 2005, 32, L21S10. [Google Scholar] [CrossRef]
- Armston, J.; Disney, M.; Lewis, P.; Scarth, P.; Phinn, S.; Lucas, R.; Bunting, P.; Goodwin, N. Direct retrieval of canopy gap probability using airborne waveform lidar. Remote Sens. Environ. 2013, 134, 24–38. [Google Scholar] [CrossRef]
- Chen, X.T.; Disney, M.I.; Lewis, P.; Armston, J.; Han, J.T.; Li, J.C. Sensitivity of direct canopy gap fraction retrieval from airborne waveform lidar to topography and survey characteristics. Remote Sens. Environ. 2014, 143, 15–25. [Google Scholar] [CrossRef]
- Hancock, S.; Essery, R.; Reid, T.; Carle, J.; Baxter, R.; Rutter, N.; Huntley, B. Characterising forest gap fraction with terrestrial lidar and photography: An examination of relative limitations. Agric. For. Meteorol. 2014, 189–190, 105–114. [Google Scholar] [CrossRef]
- Hancock, S.; Gaulton, R.; Danson, F.M. Angular Reflectance of Leaves With a Dual-Wavelength Terrestrial Lidar and Its Implications for Leaf-Bark Separation and Leaf Moisture Estimation. IEEE Trans. Geosci. Remote Sens. 2017, 55, 3084–3090. [Google Scholar] [CrossRef]
- Chen, J.M.; Rich, P.M.; Gower, S.T.; Norman, J.M.; Plummer, S. Leaf area index of boreal forests: Theory, techniques, and measurements. J. Geophys. Res. Atmos. 1997, 102, 29429–29443. [Google Scholar] [CrossRef]
- Chen, J.M.; Menges, C.H.; Leblanc, S.G. Global mapping of foliage clumping index using multi-angular satellite data. Remote Sens. Environ. 2005, 97, 447–457. [Google Scholar] [CrossRef]
- Wei, S.; Fang, H.; Schaaf, C.B.; He, L.; Chen, J.M. Global 500 m clumping index product derived from MODIS BRDF data (2001–2017). Remote Sens. Environ. 2019, 232, 111296. [Google Scholar] [CrossRef]
- Hu, R.; Yan, G.; Nerry, F.; Liu, Y.; Jiang, Y.; Wang, S. Using Airborne Laser Scanner and Path Length Distribution Model to Quantify Clumping Effect and Estimate Leaf Area Index. IEEE Trans. Geosci. Remote Sens. 2018, 56, 3196–3209. [Google Scholar] [CrossRef]
- Anderson, K.; Hancock, S.; Disney, M.; Gaston, K.J. Is waveform worth it? A comparison of LiDAR approaches for vegetation and landscape characterization. Remote Sens. Ecol. Conserv. 2016, 2, 5–15. [Google Scholar] [CrossRef]
- Disney, M.I.; Kalogirou, V.; Lewis, P.; Prieto-Blanco, A.; Hancock, S.; Pfeifer, M. Simulating the impact of discrete-return lidar system and survey characteristics over young conifer and broadleaf forests. Remote Sens. Environ. 2010, 114, 1546–1560. [Google Scholar] [CrossRef]
- Hancock, S.; Armston, J.; Li, Z.; Gaulton, R.; Lewis, P.; Disney, M.; Danson, F.M.; Strahler, A.; Schaaf, C.; Anderson, K.; et al. Waveform lidar over vegetation: An evaluation of inversion methods for estimating return energy. Remote Sens. Environ. 2015, 164, 208–224. [Google Scholar] [CrossRef]
- Yan, G.; Hu, R.; Luo, J.; Weiss, M.; Jiang, H.; Mu, X.; Xie, D.; Zhang, W. Review of indirect optical measurements of leaf area index: Recent advances, challenges, and perspectives. Agric. For. Meteorol. 2019, 265, 390–411. [Google Scholar] [CrossRef]
- Grau, E.; Durrieu, S.; Fournier, R.; Gastellu-Etchegorry, J.-P.; Yin, T. Estimation of 3D vegetation density with Terrestrial Laser Scanning data using voxels. A sensitivity analysis of influencing parameters. Remote Sens. Environ. 2017, 191, 373–388. [Google Scholar] [CrossRef]
- Béland, M.; Widlowski, J.-L.; Fournier, R.A.; Côté, J.-F.; Verstraete, M.M. Estimating leaf area distribution in savanna trees from terrestrial LiDAR measurements. Agric. Forest Meteorol. 2011, 151, 1252–1266. [Google Scholar] [CrossRef]
- Solberg, S.; Næsset, E.; Hanssen, K.H.; Christiansen, E. Mapping defoliation during a severe insect attack on Scots pine using airborne laser scanning. Remote Sens. Environ. 2006, 102, 364–376. [Google Scholar] [CrossRef]
- Solberg, S.; Brunner, A.; Hanssen, K.H.; Lange, H.; Næsset, E.; Rautiainen, M.; Stenberg, P. Mapping LAI in a Norway spruce forest using airborne laser scanning. Remote Sens. Environ. 2009, 113, 2317–2327. [Google Scholar] [CrossRef]
- Solberg, S. Mapping gap fraction, LAI and defoliation using various ALS penetration variables. Int. J. Remote Sens. 2010, 31, 1227–1244. [Google Scholar] [CrossRef]
- Morsdorf, F.; Kötz, B.; Meier, E.; Itten, K.I.; Allgöwer, B. Estimation of LAI and fractional cover from small footprint airborne laser scanning data based on gap fraction. Remote Sens. Environ. 2006, 104, 50–61. [Google Scholar] [CrossRef]
- Korhonen, L.; Korpela, I.; Heiskanen, J.; Maltamo, M. Airborne discrete-return LIDAR data in the estimation of vertical canopy cover, angular canopy closure and leaf area index. Remote Sens. Environ. 2011, 115, 1065–1080. [Google Scholar] [CrossRef]
- Schneider, F.D.; Leiterer, R.; Morsdorf, F.; Gastellu-Etchegorry, J.P.; Lauret, N.; Pfeifer, N.; Schaepman, M.E. Simulating imaging spectrometer data: 3D forest modeling based on LiDAR and in situ data. Remote Sens. Environ. 2014, 152, 235–250. [Google Scholar] [CrossRef]
- Luo, S.-Z.; Wang, C.; Zhang, G.-B.; Xi, X.-H.; Li, G.-C. Forest Leaf Area Index (LAI) Estimation Using Airborne Discrete-Return Lidar Data. Chin. J. Geophys. 2013, 56, 233–242. [Google Scholar]
- Wagner, W.; Ullrich, A.; Ducic, V.; Melzer, T.; Studnicka, N. Gaussian decomposition and calibration of a novel small-footprint full-waveform digitising airborne laser scanner. ISPRS J. Photogramm. Remote Sens. 2006, 60, 100–112. [Google Scholar] [CrossRef]
- Ullrich, A.; Pfennigbauer, M. Categorisation of Full Waveform Data Provided by Laser Scanning Devices. In Electro-Optical Remote Sensing, Photonic Technologies, and Applications; SPIE Security + Defence: Bellingham, WA, USA, 2011; Volume 8186. [Google Scholar]
- Pfennigbauer, M.; Rieger, P.; Studnicka, N.; Ullrich, A. Detection of concealed objects with a mobile laser scanning system. In Laser Radar Technology and Applications XIV; SPIE Defense, Security, and Sensing: Orlando, FL, USA, 2009; p. 732308. [Google Scholar]
- Pfennigbauer, M.; Ullrich, A. Improving quality of laser scanning data acquisition through calibrated amplitude and pulse deviation measurement. In Laser Radar Technology and Applications XV; SPIE Defense, Security, and Sensing: Orlando, FL, USA, 2010; p. 76841F. [Google Scholar]
- Pfennigbauer, M.; Wolf, C.; Ullrich, A. Enhancing online waveform processing by adding new point attributes. In Proc. SPIE 8731, Laser Radar Technology and Applications XVIII; SPIE Defense, Security, and Sensing: Bellingham, WA, USA, 2013; p. 873104. [Google Scholar]
- Riegl. LAS Extrabytes Implementation in RIEGL Software-WHITEPAPER. 2017. Available online: http://www.riegl.com/uploads/tx_pxpriegldownloads/Whitepaper_LASextrabytes_implementation_in-RIEGLSoftware_2017-12-04.pdf (accessed on 7 December 2019).
- Schofield, L.A.; Danson, F.M.; Entwistle, N.S.; Gaulton, R.; Hancock, S. Radiometric calibration of a dual-wavelength terrestrial laser scanner using neural networks. Remote Sens. Lett. 2016, 7, 299–308. [Google Scholar] [CrossRef]
- Wagner, W. Radiometric calibration of small-footprint full-waveform airborne laser scanner measurements: Basic physical concepts. ISPRS J. Photogramm. Remote Sens. 2010, 65, 505–513. [Google Scholar] [CrossRef]
- Roncat, A.; Briese, C.; Jansa, J.; Pfeifer, N. Radiometrically Calibrated Features of Full-Waveform Lidar Point Clouds Based on Statistical Moments. IEEE Geosci. Remote Sens. Lett. 2014, 11, 549–553. [Google Scholar] [CrossRef]
- Sun, G.; Ranson, K.J. Modeling lidar returns from forest canopies. Geosci. Remote Sens. IEEE Trans. 2000, 38, 2617–2626. [Google Scholar]
- North, P.R.J.; Rosette, J.A.B.; Suárez, J.C.; Los, S.O. A Monte Carlo radiative transfer model of satellite waveform LiDAR. Int. J. Remote Sens. 2010, 31, 1343–1358. [Google Scholar] [CrossRef]
- Gastellu-Etchegorry, J.P.; Yin, T.; Lauret, N.; Grau, E.; Rubio, J.; Cook, B.D.; Morton, D.C.; Sun, G. Simulation of satellite, airborne and terrestrial LiDAR with DART (I): Waveform simulation with quasi-Monte Carlo ray tracing. Remote Sens. Environ. 2016, 184, 418–435. [Google Scholar] [CrossRef]
- Ni-Meister, W.; Yang, W.; Lee, S.; Strahler, A.H.; Zhao, F. Validating modeled lidar waveforms in forest canopies with airborne laser scanning data. Remote Sens. Environ. 2018, 204, 229–243. [Google Scholar] [CrossRef]
- Brown, S.D.; Blevins, D.D.; Schott, J.R. Time-Gated Topographic LIDAR Scene Simulation. In SPIE Proceedings Volume 5791, Laser Radar Technology and Applications X; SPIE Defense, Security, and Sensing: Orlando, FL, USA, 2005; pp. 342–353. [Google Scholar]
- Wu, J.; Aardt, J.A.N.V.; Asner, G.P. A Comparison of Signal Deconvolution Algorithms Based on Small-Footprint LiDAR Waveform Simulation. IEEE Trans. Geosci. Remote Sens. 2011, 49, 2402–2414. [Google Scholar] [CrossRef]
- Govaerts, Y.M. A Model of Light Scattering in Three-Dimensional Plant Canopies: A Monte Carlo Ray Tracing Approach; JRC Catalogue No. CL-NA-16394-EN-C; Office for Official Publications of the European Communities: Luxembourg, 1996; 186p. [Google Scholar]
- Govaerts, Y.M.; Verstraete, M.M. Raytran: A Monte Carlo ray-tracing model to compute light scattering in three-dimensional heterogeneous media. IEEE Trans. Geosci. Remote Sens. 1998, 36, 493–505. [Google Scholar] [CrossRef]
- Disney, M.I.; Lewis, P.E.; Bouvet, M.; Prieto-Blanco, A.; Hancock, S. Quantifying Surface Reflectivity for Spaceborne Lidar via Two Independent Methods. IEEE Trans. Geosci. Remote Sens. 2009, 47, 3262–3271. [Google Scholar] [CrossRef]
- Kobayashi, H.; Iwabuchi, H. A coupled 1-D atmosphere and 3-D canopy radiative transfer model for canopy reflectance, light environment, and photosynthesis simulation in a heterogeneous landscape. Remote Sens. Environ. 2008, 112, 173–185. [Google Scholar] [CrossRef]
- Gastellu-Etchegorry, J.P.; Yin, T.; Grau, E.; Lauret, N.; Rubio, J. Lidar radiative transfer modeling in the Atmosphere. In Proceedings of the 2013 IEEE International Geoscience and Remote Sensing Symposium-IGARSS, Melbourne, VIC, Australia, 21–26 July 2013; IEEE: Melbourne, Australia, 2013; pp. 4554–4557. [Google Scholar]
- Widlowski, J.L.; Pinty, B.; Lopatka, M.; Atzberger, C.; Buzica, D.; Chelle, M.; Disney, M.; Gastellu-Etchegorry, J.P.; Gerboles, M.; Gobron, N.; et al. The fourth radiation transfer model intercomparison (RAMI-IV): Proficiency testing of canopy reflectance models with ISO-13528. J. Geophys. Res. Atmos. 2013, 118, 6869–6890. [Google Scholar] [CrossRef]
- Yin, T.; Lauret, N.; Gastellu-Etchegorry, J.-P. Simulation of satellite, airborne and terrestrial LiDAR with DART (II): ALS and TLS multi-pulse acquisitions, photon counting, and solar noise. Remote Sens. Environ. 2016, 184, 454–468. [Google Scholar] [CrossRef]
- Qi, J.; Yin, T.; Xie, D.; Gastellu-Etchegorry, J.-P. Hybrid Scene Structuring for Accelerating 3D Radiative Transfer Simulations. Remote Sens. 2019, 11, 2637. [Google Scholar] [CrossRef]
- Roundy, C.B. Current Technology of Laser Beam Profile Measurements; Spiricon. Inc., 2000. Available online: http://aries.ucsd.edu/LASERLAB/TUTOR/profile-tutorial.pdf (accessed on 7 December 2019).
- Mallet, C.; Bretar, F. Full-waveform topographic lidar: State-of-the-art. ISPRS J. Photogramm. Remote Sens. 2009, 64, 1–16. [Google Scholar] [CrossRef]
- Schaepman-Strub, G.; Schaepman, M.E.; Painter, T.H.; Dangel, S.; Martonchik, J.V. Reflectance quantities in optical remote sensing—definitions and case studies. Remote Sens. Environ. 2006, 103, 27–42. [Google Scholar] [CrossRef]
- Newville, M.; Stensitzki, T.; Allen, D.B.; Rawlik, M.; Ingargiola, A.; Nelson, A. Lmfit: Non-Linear Least-Square Minimization and Curve-Fitting For Python; Astrophysics Source Code Library, 2016. [Google Scholar]
- Milenković, M.; Wagner, W.; Quast, R.; Hollaus, M.; Ressl, C.; Pfeifer, N. Total canopy transmittance estimated from small-footprint, full-waveform airborne LiDAR. ISPRS J. Photogramm. Remote Sens. 2017, 128, 61–72. [Google Scholar] [CrossRef]
- Zheng, G.; Ma, L.; Eitel, J.U.; He, W.; Magney, T.S.; Moskal, L.M.; Li, M. Retrieving Directional Gap Fraction, Extinction Coefficient, and Effective Leaf Area Index by Incorporating Scan Angle Information From Discrete Aerial Lidar Data. IEEE Trans. Geosci. Remote Sens. 2017, 55, 577–590. [Google Scholar] [CrossRef]
- Roussel, J.-R.; Béland, M.; Caspersen, J.; Achim, A. A mathematical framework to describe the effect of beam incidence angle on metrics derived from airborne LiDAR: The case of forest canopies approaching turbid medium behaviour. Remote Sens. Environ. 2018, 209, 824–834. [Google Scholar] [CrossRef]
- Zhao, K.; Popescu, S.; Nelson, R. Lidar remote sensing of forest biomass: A scale-invariant estimation approach using airborne lasers. Remote Sens. Environ. 2009, 113, 182–196. [Google Scholar] [CrossRef]
- Fleck, S.; Raspe, S.; Čater, M.; Schleppi, P.; Ukonmaanaho, L.; Greve, M.; Hertel, C.; Weis, W.; Rumpf, S. Leaf area measurements. In Manual Part XVII. United Nations Economic Commission for Europe Convention on Long-Range Transboundary Air Pollution, ICP Forests, Hamburg; Thünen Institute of Forest Ecosystems: Eberswalde, Germany, 2012. [Google Scholar]
- Riaño, D.; Valladares, F.; Condés, S.; Chuvieco, E. Estimation of leaf area index and covered ground from airborne laser scanner (Lidar) in two contrasting forests. Agric. Forest Meteorol. 2004, 124, 269–275. [Google Scholar] [CrossRef]
- Lovell, J.L.; Jupp, D.L.B.; Culvenor, D.S.; Coops, N.C. Using airborne and ground-based ranging lidar to measure canopy structure in Australian forests. Can. J. Remote Sens. 2003, 29, 607–622. [Google Scholar] [CrossRef]
- Cook, B.D.; Bolstad, P.V.; Næsset, E.; Anderson, R.S.; Garrigues, S.; Morisette, J.T.; Nickeson, J.; Davis, K.J. Using LiDAR and quickbird data to model plant production and quantify uncertainties associated with wetland detection and land cover generalizations. Remote Sens. Environ. 2009, 113, 2366–2379. [Google Scholar] [CrossRef]
- Lefsky, M.A.; Cohen, W.B.; Acker, S.A.; Parker, G.G.; Spies, T.A.; Harding, D. Lidar Remote Sensing of the Canopy Structure and Biophysical Properties of Douglas-Fir Western Hemlock Forests. Remote Sens. Environ. 1999, 70, 339–361. [Google Scholar] [CrossRef]
- Kashani, A.G.; Olsen, M.J.; Parrish, C.E.; Wilson, N. A Review of LIDAR Radiometric Processing: From Ad Hoc Intensity Correction to Rigorous Radiometric Calibration. Sensors 2015, 15, 28099. [Google Scholar] [CrossRef]
- Zhang, W.; Qi, J.; Wan, P.; Wang, H.; Xie, D.; Wang, X.; Yan, G. An Easy-to-Use Airborne LiDAR Data Filtering Method Based on Cloth Simulation. Remote Sens. 2016, 8, 501. [Google Scholar] [CrossRef]
- Zhang, K.; Chen, S.-C.; Whitman, D.; Shyu, M.-L.; Yan, J.; Zhang, C. A progressive morphological filter for removing nonground measurements from airborne LIDAR data. IEEE Trans. Geosci. Remote Sens. 2003, 41, 872–882. [Google Scholar] [CrossRef]
- Gastellu-Etchegorry, J.P.; Yin, T.; Lauret, N.; Cajgfinger, T.; Gregoire, T.; Grau, E.; Feret, J.B.; Lopes, M.; Guilleux, J.; Dedieu, G.; et al. Discrete Anisotropic Radiative Transfer (DART 5) for Modeling Airborne and Satellite Spectroradiometer and LIDAR Acquisitions of Natural and Urban Landscapes. Remote Sens. 2015, 7, 1667–1701. [Google Scholar] [CrossRef]
- Gastellu-Etchegorry, J.P.; Martin, E.; Gascon, F. DART: A 3D model for simulating satellite images and studying surface radiation budget. Int. J. Remote Sens. 2004, 25, 73–96. [Google Scholar] [CrossRef]
- Gastellu-Etchegorry, J.-P. 3D modeling of satellite spectral images, radiation budget and energy budget of urban landscapes. Meteorol. Atmos. Phys. 2008, 102, 187. [Google Scholar] [CrossRef]
- Danson, F.M.; Hetherington, D.; Morsdorf, F.; Koetz, B.; Allgower, B. Forest Canopy Gap Fraction From Terrestrial Laser Scanning. IEEE Geosci. Remote Sens. Lett. 2007, 4, 157–160. [Google Scholar] [CrossRef]
- Abshire, J.B.; Sun, X.; Riris, H.; Sirota, J.M.; McGarry, J.F.; Palm, S.; Yi, D.; Liiva, P. Geoscience Laser Altimeter System (GLAS) on the ICESat Mission: On-orbit measurement performance. Geophys. Res. Lett. 2005, 32. [Google Scholar] [CrossRef]
- Vincent, G.; Antin, C.; Laurans, M.; Heurtebize, J.; Durrieu, S.; Lavalley, C.; Dauzat, J. Mapping plant area index of tropical evergreen forest by airborne laser scanning. A cross-validation study using LAI2200 optical sensor. Remote Sens. Environ. 2017, 198, 254–266. [Google Scholar] [CrossRef]
- Béland, M.; Baldocchi, D.D.; Widlowski, J.-L.; Fournier, R.A.; Verstraete, M.M. On seeing the wood from the leaves and the role of voxel size in determining leaf area distribution of forests with terrestrial LiDAR. Agric. Forest Meteorol. 2014, 184, 82–97. [Google Scholar] [CrossRef]
- Bunting, P.; Armston, J.; Lucas, R.M.; Clewley, D. Sorted Pulse Data (SPD) Library. Part I: A generic file format for LiDAR data from pulsed laser systems in terrestrial environments. Comput. Geosci. 2013, 56, 197–206. [Google Scholar] [CrossRef]
- Brown, G. Laspy: Documentation. 2018. Available online: https://github.com/grantbrown/laspy (accessed on 7 December 2019).
- ASPRS. LAS SPECIFICATION VERSION 1.3–R10. 2009. Available online: www.asprs.org/a/society/committees/standards/asprs_las_spec_v13.pdf (accessed on 7 December 2019).
- Girardeau-Montaut, D. Cloudcompare-Open Source Project; OpenSource Project; 2011; Available online: http://www.cloudcompare.org/ (accessed on 7 December 2019).
- Kükenbrink, D.; Schneider, F.D.; Leiterer, R.; Schaepman, M.E.; Morsdorf, F. Quantification of hidden canopy volume of airborne laser scanning data using a voxel traversal algorithm. Remote Sens. Environ. 2017, 194, 424–436. [Google Scholar] [CrossRef]











| Deviation | Full Waveform Storage | ||||
|---|---|---|---|---|---|
| V-line | × | × ** | × | ||
| Q-line | × | × * | × | × |
| Representation | Expressions | Reference Examples | ||
|---|---|---|---|---|
| Point Number Based (PNB) Methods | Luo et al. [36] Hu et al. [23] | |||
| Fleck et al. [68] Schneider et al. [35] Grau et al. [28] | ||||
| Solberg et al. [30,31,32] Riaño et al. [69] Lovell et al. [70] Morsdorf et al. [33] Korhonen et al. [34] Cook et al. [71] | ||||
| “Intensity” Based (IB) Methods | Empirical constant | Lefsky et al. [72] Luo et al. [36] | ||
| Statistically derived | Armston et al. [16] Chen et al. [17] | |||
| Milenković, et al. [64] | ||||
| Parameter | Value | Parameter | Value |
|---|---|---|---|
| Wavelength | 1550 nm | Scanning speed | 100 lines/second |
| Laser sampling interval | 1 ns | Laser pulse repetition rate | 200 kHz |
| Laser beam divergence | 0.3 mrad |
| Variables | PNB Methods | IB Methods | References | |||||||
|---|---|---|---|---|---|---|---|---|---|---|
| LAI = 2 (Random) | 0.40 | 0.97 | 0.60 | 27.14 | 1.56 | 1.00 | 1.00 | 1.02 | 1.00 | |
| 1.57 | 1.84 | 1.16 | 22.08 | 3.90 | 1.98 | 1.98 | 2.01 | 1.98 | ||
| computed | 0.25 | 0.53 | 0.52 | 1.23 | 0.40 | 0.51 | 0.51 | 0.51 | 0.51 | |
| R2 | 0.88 | 0.84 | 0.77 | 0.19 | 0.79 | 0.89 | 0.89 | 0.89 | 0.90 | |
| LAI = 2
(Clumping) | 0.42 | 0.97 | 0.67 | 24.20 | 1.62 | 1.01 | 1.03 | 1.03 | 1.00 | |
| 1.50 | 2.20 | 1.42 | 21.11 | 4.2 | 2.24 | 2.28 | 2.28 | 2.23 | ||
| computed | 0.28 | 0.44 | 0.47 | 1.15 | 0.39 | 0.45 | 0.45 | 0.45 | 0.45 | |
| R2 | 0.71 | 0.80 | 0.80 | 0.34 | 0.84 | 0.89 | 0.89 | 0.89 | 0.90 | |
| LAI = 1 | 0.27 | 0.61 | 0.42 | - | 1.10 | 1.00 | 1.02 | 1.03 | 1.00 | |
| 0.77 | 0.92 | 0.59 | - | 1.95 | 1.49 | 1.49 | 1.52 | 1.48 | ||
| computed | 0.35 | 0.66 | 0.71 | - | 0.56 | 0.67 | 0.68 | 0.68 | 0.68 | |
| R2 | 0.90 | 0.84 | 0.78 | - | 0.77 | 0.94 | 0.95 | 0.94 | 0.95 | |
© 2019 by the authors. Licensee MDPI, Basel, Switzerland. This article is an open access article distributed under the terms and conditions of the Creative Commons Attribution (CC BY) license (http://creativecommons.org/licenses/by/4.0/).
Share and Cite
Yin, T.; Qi, J.; Cook, B.D.; Morton, D.C.; Wei, S.; Gastellu-Etchegorry, J.-P. Modeling Small-Footprint Airborne Lidar-Derived Estimates of Gap Probability and Leaf Area Index. Remote Sens. 2020, 12, 4. https://doi.org/10.3390/rs12010004
Yin T, Qi J, Cook BD, Morton DC, Wei S, Gastellu-Etchegorry J-P. Modeling Small-Footprint Airborne Lidar-Derived Estimates of Gap Probability and Leaf Area Index. Remote Sensing. 2020; 12(1):4. https://doi.org/10.3390/rs12010004
Chicago/Turabian StyleYin, Tiangang, Jianbo Qi, Bruce D. Cook, Douglas C. Morton, Shanshan Wei, and Jean-Philippe Gastellu-Etchegorry. 2020. "Modeling Small-Footprint Airborne Lidar-Derived Estimates of Gap Probability and Leaf Area Index" Remote Sensing 12, no. 1: 4. https://doi.org/10.3390/rs12010004
APA StyleYin, T., Qi, J., Cook, B. D., Morton, D. C., Wei, S., & Gastellu-Etchegorry, J.-P. (2020). Modeling Small-Footprint Airborne Lidar-Derived Estimates of Gap Probability and Leaf Area Index. Remote Sensing, 12(1), 4. https://doi.org/10.3390/rs12010004

