A Comprehensive Evaluation of 4-Parameter Diurnal Temperature Cycle Models with In Situ and MODIS LST over Alpine Meadows in the Tibetan Plateau
Abstract
1. Introduction
2. Data and Methods
2.1. Data
2.1.1. In Situ Data
2.1.2. MODIS Data
2.2. Methods
2.2.1. GOT01 Model
2.2.2. VAN06 Model
2.2.3. INA08 Model
2.2.4. GOT09 Model
2.2.5. Solution of These Models
2.3. Evaluation Metrics
3. Results
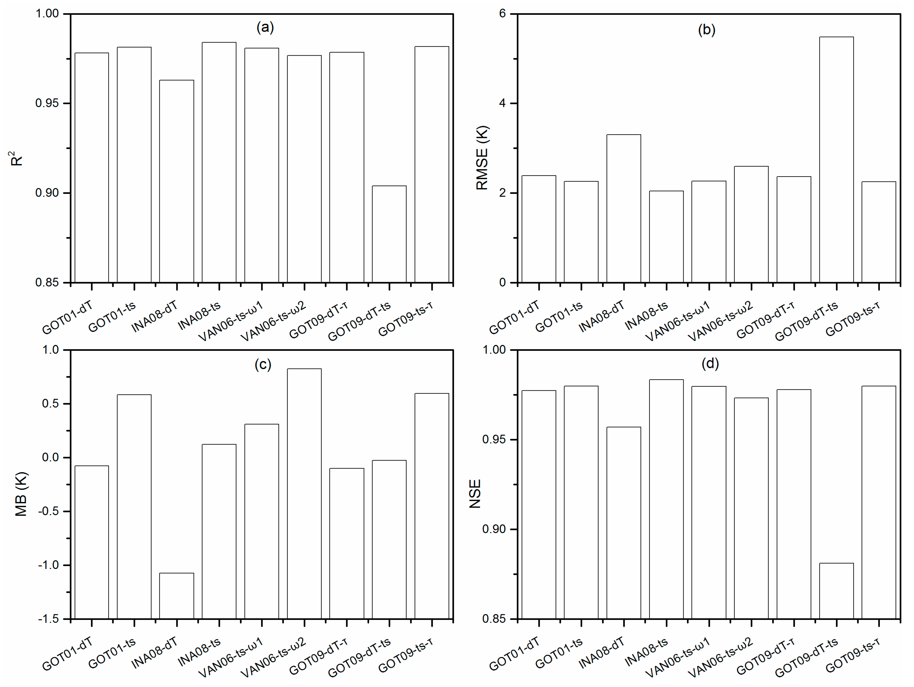
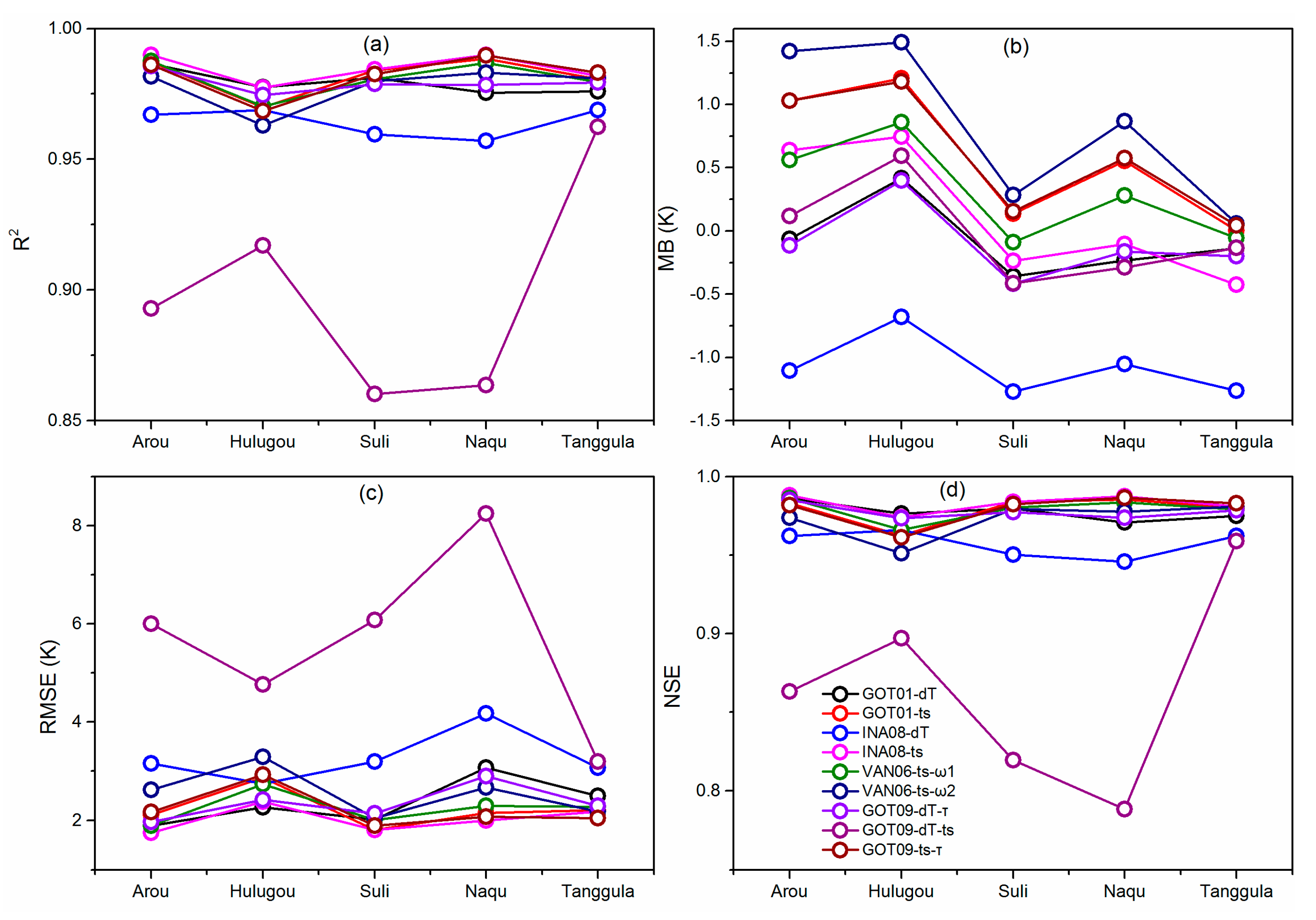
3.1. Performance of the Nine DTC Models at Each Observation Site
3.2. Diurnal Temperature Variation over Different Seasons
3.3. Diurnal Temperature Variation over Days
3.4. Performance of the INA08-ts Model with MODIS Data under Clear-Sky Day
4. Discussion
4.1. Sensitivity to the Surface Emissivity
4.2. Influence of DTC Models on Energy Balance Components
4.3. Comparison of the Model Parameters
4.4. Sensitivity Analysis for the Parameters of Nine 4-Para DTC Models
4.5. Uncertainties and Limitations of the Evaluation on the Performance of the Nine 4-Para DTC Models
5. Conclusions
- (1)
- The INA08-ts model showed best performance among all models over alpine meadows under in situ data. All models had highest accuracy in summer, though poorest performance displayed in winter.
- (2)
- Models with fixing ts (i.e., INA08-ts) could produce higher accuracy over random days. Moreover, the INA08-ts model could evaluate high accuracy DTC with MODIS data.
- (3)
- T0 values obtained from the GOT01-ts and GOT09-ts-τ models were overestimated compared with that generated by the INA08-ts model, while other models underestimated T0 value. Ta values for all models showed similar characteristics with that of T0 values. The estimated daily maximum temperature for all models showed high accuracy compared with in situ data.
- (4)
- The sensitive analysis indicated that the INA08-dT and GOT09-dT-ts models was more sensitive to dT, while ts was an insensitive parameter for the related models. ω and τ had little impact on the related models. Models with fixing ts could produce higher accuracy result than that with fixing dT.
Author Contributions
Funding
Acknowledgments
Conflicts of Interest
References
- Wan, Z.M. New refinements and validation of the collection-6 MODIS land-surface temperature/emissivity product. Remote Sens. Environ. 2014, 140, 36–45. [Google Scholar] [CrossRef]
- Duan, S.B.; Li, Z.L.; Tang, B.H.; Wu, H.; Tang, R.L. Direct estimation of land-surface diurnal temperature cycle model parameters from MSG–SEVIRI brightness temperatures under clear sky conditions. Remote Sens. Environ. 2014, 150, 34–43. [Google Scholar] [CrossRef]
- Price, J.C. Thermal inertia mapping: A new view of the Earth. J. Geophys. Res. 1977, 82, 2582–2590. [Google Scholar] [CrossRef]
- Ignatov, A.; Gutman, G. Monthly Mean Diurnal Cycles in Surface Temperatures over Land for Global Climate Studies. J. Clim. 1999, 12, 1900–1910. [Google Scholar] [CrossRef]
- Zhan, W.F.; Chen, Y.H.; Voogt, J.; Zhou, J.; Wang, J.F.; Liu, W.Y.; Ma, W. Interpolating diurnal surface temperatures of an urban facet using sporadic thermal observations. Build. Environ. 2012, 57, 239–252. [Google Scholar] [CrossRef]
- Zhan, W.F.; Zhou, J.; Ju, W.M.; Li, M.C.; Sandholt, I.; Voogt, J.; Yu, C. Remotely sensed soil temperatures beneath snow-free skin-surface using thermal observations from tandem polar-orbiting satellites: An analytical three-time-scale model. Remote Sens. Environ. 2014, 143, 1–14. [Google Scholar] [CrossRef]
- Qiu, J. China: The third pole. Nature 2008, 454, 393. [Google Scholar] [CrossRef]
- Kang, S.; Xu, Y.; You, Q.; Flügel, W.A.; Pepin, N.; Yao, T. Review of climate and cryospheric change in the Tibetan Plateau. Environ. Res. Lett. 2010, 5, 015101. [Google Scholar] [CrossRef]
- Zheng, D.; Zhang, Q.S.; Wu, S.H. Mountain Geoecology and Sustainable Development of the Tibetan Plateau; Springer: Berlin, Germany, 2000. [Google Scholar]
- Lin, X.W.; Zhang, Z.H.; Wang, S.P.; Hu, Y.G.; Luo, C.Y.; Chang, X.F.; Duan, J.C.; Lin, Q.Y.; Xu, B.; Wang, Y.F.; et al. Response of ecosystem respiration to warming and grazing during the growing seasons in the alpine meadow on the Tibetan plateau. Agric. For. Meteorol. 2011, 151, 792–802. [Google Scholar] [CrossRef]
- Zhang, R.; Jiang, D.B.; Zhang, Z.S.; Xu, E.T. The impact of regional uplift of the Tibetan Plateau on the Asian monsoon climate. Palaeogeogr. Palaeocl. 2015, 417, 137–150. [Google Scholar] [CrossRef]
- Peng, F.; Sun, G.D. Identifying Sensitive Model Parameter Combinations for Uncertainties in Land Surface Process Simulations over the Tibetan Plateau. Water 2019, 11, 1724. [Google Scholar] [CrossRef]
- Li, J.G.; Zhang, G.; Chen, F.; Peng, X.D.; Gan, Y.J. Evaluation of land surface subprocesses and their impacts on model performance with global flux data. J. Adv. Model. Earth Syst. 2019, 11, 1329–1348. [Google Scholar] [CrossRef]
- Yang, K.; Wu, H.; Qin, J.; Lin, C.G.; Tang, W.J.; Chen, Y.Y. Recent climate changes over the Tibetan Plateau and their impacts on energy and water cycle: A review. Global Planet. Chang. 2014, 112, 79–91. [Google Scholar] [CrossRef]
- Xin, Y.F.; Chen, F.; Zhao, P.; Barlage, M.; Blanken, P.; Chen, Y.L.; Chen, B.; Wang, Y.J. Surface energy balance closure at ten sites over the Tibetan plateau. Agric. For. Meteorol. 2018, 259, 317–328. [Google Scholar] [CrossRef]
- Chang, Y.P.; Ding, Y.J.; Zhao, Q.D.; Zhang, S.Q. Remote estimation of terrestrial evapotranspiration by Landsat 5 TM and the SEBAL model in cold and high-altitude regions: A case study of the upper reach of the Shule River Basin, China. Hydrol. Process 2017, 31, 514–524. [Google Scholar] [CrossRef]
- Duan, S.B.; Li, Z.L.; Tang, B.H.; Wu, H.; Tang, R.L.; Bi, Y.Y.; Zhou, G.Q. Estimation of Diurnal Cycle of Land Surface Temperature at High Temporal and Spatial Resolution from Clear-Sky MODIS Data. Remote Sens. 2014, 6, 3247–3262. [Google Scholar] [CrossRef]
- Göttsche, F.M.; Olesen, F.S. Modelling of diurnal cycles of brightness temperature extracted from METEOSAT data. Remote Sens. Environ. 2001, 76, 337–348. [Google Scholar] [CrossRef]
- Inamdar, A.K.; French, A.; Hook, S.; Vaughan, G.; Luckett, W. Land surface temperature retrieval at high spatial and temporal resolutions over the southwestern United States. J. Geophys. Res. 2008, 113, D07107. [Google Scholar] [CrossRef]
- Zhou, J.; Chen, Y.H.; Zhang, X.; Zhan, W.F. Modelling the diurnal variations of urban heat islands with multi-source satellite data. Int. J. Remote Sens. 2013, 34, 7568–7588. [Google Scholar] [CrossRef]
- Schädlich, S.; Göttsche, F.M.; Olesen, F.S. Influence of Land Surface Parameters and Atmosphere on METEOSAT Brightness Temperatures and Generation of Land Surface Temperature Maps by Temporally and Spatially Interpolating Atmospheric Correction. Remote Sens. Environ. 2001, 75, 39–46. [Google Scholar] [CrossRef]
- Göttsche, F.M.; Olesen, F.S. Modelling the effect of optical thickness on diurnal cycles of land surface temperature. Remote Sens. Environ. 2009, 113, 2306–2316. [Google Scholar] [CrossRef]
- Huang, F.; Zhan, W.F.; Duan, S.B.; Ju, W.M.; Quan, J.L. A generic framework for modeling diurnal land surface temperatures with remotely sensed thermal observations under clear sky. Remote Sens. Environ. 2014, 150, 140–151. [Google Scholar] [CrossRef]
- Jiang, G.M.; Li, Z.L.; Nerry, F. Land surface emissivity retrieval from combined mid-infrared and thermal infrared data of MSG-SEVIRI. Remote Sens. Environ. 2006, 105, 326–340. [Google Scholar] [CrossRef]
- Duan, S.B.; Li, Z.L.; Wang, N.; Wu, H.; Tang, B.H. Evaluation of six land-surface diurnal temperature cycle models using clear-sky in situ and satellite data. Remote Sens. Environ. 2012, 124, 15–25. [Google Scholar] [CrossRef]
- Hong, F.L.; Zhan, W.F.; Göttsche, F.M.; Liu, Z.H.; Zhou, J.; Huang, F.; Lai, J.M.; Li, M.C. Comprehensive assessment of four-parameter diurnal land surface temperature cycle models under clear-sky. ISPRS J. Photogramm. Remote Sens. 2018, 142, 190–204. [Google Scholar] [CrossRef]
- Parton, W.J.; Logan, J.A. A model for diurnal variation in soil and air temperature. Agric. Meteorol. 1981, 23, 205–216. [Google Scholar] [CrossRef]
- Sun, D.; Pinker, R.T. Implementation of GOES-based land surface temperature diurnal cycle to AVHRR. Int. J. Remote Sens. 2005, 26, 3975–3984. [Google Scholar] [CrossRef]
- Van den Bergh, F.; van Wyk, M.A.; van Wyk, B.J. A comparison of data-driven and model-driven approaches to brightness temperature diurnal cycle interpolation. In Proceedings of the 17th Annual Symposium of the Pattern Recognition Association of South Africa, Parys, South Africa, 29 November–1 December 2006. [Google Scholar]
- Zhang, L.; Wang, C.Z.; Yang, H.X.; Zhang, B.H. Phenological metrics dataset, land cover types map for the Tibetan Plateau and grassland biomass dataset for Qinghai Lake Basin. China Sci. Data 2017, 2. [Google Scholar] [CrossRef]
- Qin, J.; Yang, K.; Liang, S.L.; Guo, X.F. The altitudinal dependence of recent rapid warming over the Tibetan Plateau. Clim. Chang. 2009, 97, 321–327. [Google Scholar] [CrossRef]
- Xu, Y.M.; Shen, Y.; Wu, Z.Y. Spatial and Temporal Variations of Land Surface Temperature Over the Tibetan Plateau Based on Harmonic Analysis. Mt. Res. Dev. 2013, 33, 85–94. [Google Scholar] [CrossRef]
- Zheng, W.; Wei, H.L.; Wang, Z.; Zeng, X.B.; Meng, J.; Ek, M.; Mitchell, K.; Derber, J. Improvement of daytime land surface skin temperature over arid regions in the NCEP GFS model and its impact on satellite data assimilation. J. Geophys. Res. 2012, 117, D06117. [Google Scholar] [CrossRef]
- Trigo, I.F.; Boussetta, S.; Viterbo, P.; Balsamo, G.; Beljaars, A.; Sandu, I. Comparison of model land skin temperature with remotely sensed estimates and assessment of surfaceatmosphere coupling. J. Geophys. Res. Atmos. 2015, 120, 12096–12111. [Google Scholar] [CrossRef]
- Hu, Y.; Zhong, L.; Ma, Y.; Zou, M.; Xu, K.; Huang, Z.; Feng, L. Estimation of the Land Surface Temperature over the Tibetan Plateau by Using Chinese FY-2C Geostationary Satellite Data. Sensors 2018, 18, 376. [Google Scholar] [CrossRef] [PubMed]
- Min, W.; Li, Y.; Zhou, J. Validation of MODIS land surface temperature products in east of the Qinghai-Xizang Plateau. Plateau Meteo 2015, 34, 1511–1516. [Google Scholar]
- Zhou, C.; Wang, K.; Ma, Q. Evaluation of Eight Current Reanalyses in Simulating Land Surface Temperature from 1979 to 2003 in China. J. Clim. 2017, 30, 7379–7398. [Google Scholar] [CrossRef]
- Yang, K.; Koike, T.; Ishikawa, H.; Kim, J.; Li, X.; Liu, H.Z.; Liu, S.M.; Ma, Y.M.; Wang, J.M. Turbulent flux transfer over bare-soil surfaces: Characteristics and parameterization. J. Appl. Meteorol. Clim. 2008, 47, 276–290. [Google Scholar] [CrossRef]
- Liu, S.M.; Li, X.; Xu, Z.W.; Che, T.; Xiao, Q.; Mingguo, M.G.; Liu, Q.H.; Jin, R.; Guo, J.W.; Wang, L.X.; et al. The Heihe integrated observatory network: A basin-scale land surface processes observatory in China. Vadose Zone J. 2018, 17, 180072. [Google Scholar] [CrossRef]
- Han, C.T.; Chen, R.S.; Liu, Z.W.; Yang, Y.; Liu, J.F.; Song, Y.X.; Wang, L.; Liu, G.H.; Guo, S.H.; Wang, X.Q. Cryospheric hydrometeorology observation in the Hulu catchment (CHOICE), Qilian mountains, China. Vadose Zone J. 2018, 17, 180058. [Google Scholar] [CrossRef]
- Chang, Y.P.; Qin, D.H.; Ding, Y.J.; Zhao, Q.D.; Zhang, S.Q. A modified MOD16 algorithm to estimate evapotranspiration over alpine meadow on the Tibetan Plateau, China. J. Hydrol. 2018, 561, 16–30. [Google Scholar] [CrossRef]
- Sun, G.H.; Hu, Z.Y.; Wang, J.M.; Ma, W.Q.; Gu, L.L.; Sun, F.L.; Xie, Z.P.; Yan, X.Q. The spatial heterogeneity of land surface conditions and its influence on surface fluxes over a typical underlying surface in the Tibetan Plateau. Theor. Appl. Climatol. 2018, 135, 221–235. [Google Scholar] [CrossRef]
- Yao, J.M.; Zhao, L.; Gu, L.L.; Qiao, Y.P.; Jiao, K.Q. The surface energy budget in the permafrost region of the Tibetan Plateau. Atmos. Res. 2011, 102, 394–407. [Google Scholar] [CrossRef]
- Wan, Z.M.; Zhang, Y.L.; Zhang, Q.C.; Li, Z.L. Validation of the land-surface temperature products retrieved from Terra Moderate Resolution Imaging Spectroradiometer data. Remote Sens. Environ. 2002, 83, 163–180. [Google Scholar] [CrossRef]
- Press, W.H.; Teukolsky, S.A.; Vetterling, W.T.; Flannery, B.P. Numerical Recipes in C: The Art of Scientific Computing, 2nd ed.; Cambridge University Press: New York, NY, USA, 1997; pp. 683–688. [Google Scholar]
- Duan, S.B.; Li, Z.L.; Wu, H.; Tang, B.H.; Jiang, X.G.; Zhou, G.Q. Modeling of Day-to-Day Temporal Progression of Clear-Sky Land Surface Temperature. IEEE Geosci. Remote Sens. Lett. 2013, 10, 1050–1054. [Google Scholar] [CrossRef]
- Wang, B.B.; Ma, Y.M.; Ma, W.Q. Estimation of land surface temperature retrieved from EOS/MODIS in Naqu area over Tibetan Plateau. Int. J. Remote Sens. 2012, 16, 1289–1309. [Google Scholar]











| Site Name | Latitude (°) | Longitude (°) | Elevation (MASL) | Year | Data Source |
|---|---|---|---|---|---|
| Arou | 38.05 | 100.46 | 3033 | 2014 | Liu et al., 2018 [39] |
| Hulugou | 38.25 | 99.88 | 3232 | 2013 | Han et al., 2018 [40] |
| Suli | 38.42 | 98.32 | 3885 | 2010 | Chang et al., 2018 [41] |
| Naqu | 31.37 | 91.9 | 4509 | 2011 | Sun et al., 2018 [42] |
| Tanggula | 33.07 | 91.93 | 5100 | 2010 | Yao et al., 2011 [43] |
| Cases | All Parameters | Fixed Parameters | Category | Reference |
|---|---|---|---|---|
| GOT01-dT | T0, Ta, tm, ts, dT | dT = 0 | SEM | Schädlich et al. [21] |
| GOT01-ts | T0, Ta, tm, ts, dT | ts = tss − 1 | SEM | Hong et al. [26] |
| Van06-ts-ω1 | T0, Ta, tm, ts, ω1, ω2 | ts = tss − 1; ω1 = DD | SEM | this study |
| Van06-ts-ω2 | T0, Ta, tm, ts, ω1, ω2 | ts = tss − 1; ω2 = DD | SEM | this study |
| INA08-dT | T0, Ta, tm, ts, dT | dT = 0 | SEM | Hong et al. [26] |
| INA08-ts | T0, Ta, tm, ts, dT | ts = tss − 1 | SEM | Hong et al. [26] |
| GOT09-dT-τ | T0, Ta, tm, ts, dT, τ | dT = 0; τ = 0.01 | SEM | Hong et al. [26] |
| GOT09-dT-ts | T0, Ta, tm, ts, dT, τ | dT = 0; ts = tss − 1 | SEM | Hong et al. [26] |
| GOT09-ts-τ | T0, Ta, tm, ts, dT, τ | ts = tss − 1; τ = 0.01 | SEM | Hong et al. [26] |
| Parameter | GOT01-dT | GOT01-ts | Van06-ts-ω1 | Van06-ts-ω2 | INA08-dT | INA08-ts | GOT09-dT-τ | GOT09-dT-ts | GOT09-ts-τ |
|---|---|---|---|---|---|---|---|---|---|
| T0 (K) | Tmin | Tmin | Tmin | Tmin | Tmin | Tmin | Tmin | Tmin | Tmin |
| Ta (K) | Tmax − Tmin | Tmax − Tmin | Tmax − Tmin | Tmax − Tmin | Tmax − Tmin | Tmax − Tmin | Tmax − Tmin | Tmax − Tmin | Tmax − Tmin |
| tm (h) | 13.5 | 13.5 | 13.5 | 13.5 | 13.5 | 13.5 | 13.5 | 13.5 | 13.5 |
| ts (h) | tss − 1 | − | − | − | tss − 1 | − | tss − 1 | − | − |
| dT (K) | − | 0.5 | − | − | − | 0.5 | − | − | 0.5 |
| ω1 (h) | − | − | − | DD | − | − | − | − | − |
| ω2 (h) | − | − | DD | − | − | − | − | − | − |
| τ | − | − | − | − | − | − | − | 0.01 | − |
| Index | Abbreviation | Equation |
|---|---|---|
| Coefficient of determination | R2 | |
| Root mean square error | RMSE | |
| Mean bias | MB | |
| Nash–Sutcliffe efficiency coefficient | NSE |
| Cases | Sensitive Parameter | Ranges of Variation; Steps |
|---|---|---|
| GOT01-dT | dT | −8:8; 1 |
| GOT01-ts | ts | ts − 1:ts + 1; 0.1 |
| VAN06-ts-ω1 | ts | ts − 1:ts + 1; 0.1 |
| ω1 | DD − 1:DD + 1; 0.1 | |
| VAN06-ts-ω2 | ts | ts − 1:ts + 1; 0.1 |
| ω2 | DD − 1:DD + 1; 0.1 | |
| INA08-dT | dT | −8:8; 1 |
| INA08-ts | ts | ts − 1:ts + 1; 0.1 |
| GOT09-dT-τ | dT | −8:8; 1 |
| Τ | 0:0.2; 0.01 | |
| GOT09-dT-ts | dT | −8: 8; 1 |
| ts | ts − 1:ts + 1; 0.1 | |
| GOT09-ts-τ | ts | ts − 1:ts + 1; 0.1 |
| Τ | 0:0.2; 0.01 |
© 2019 by the authors. Licensee MDPI, Basel, Switzerland. This article is an open access article distributed under the terms and conditions of the Creative Commons Attribution (CC BY) license (http://creativecommons.org/licenses/by/4.0/).
Share and Cite
Chang, Y.; Ding, Y.; Zhao, Q.; Zhang, S. A Comprehensive Evaluation of 4-Parameter Diurnal Temperature Cycle Models with In Situ and MODIS LST over Alpine Meadows in the Tibetan Plateau. Remote Sens. 2020, 12, 103. https://doi.org/10.3390/rs12010103
Chang Y, Ding Y, Zhao Q, Zhang S. A Comprehensive Evaluation of 4-Parameter Diurnal Temperature Cycle Models with In Situ and MODIS LST over Alpine Meadows in the Tibetan Plateau. Remote Sensing. 2020; 12(1):103. https://doi.org/10.3390/rs12010103
Chicago/Turabian StyleChang, Yaping, Yongjian Ding, Qiudong Zhao, and Shiqiang Zhang. 2020. "A Comprehensive Evaluation of 4-Parameter Diurnal Temperature Cycle Models with In Situ and MODIS LST over Alpine Meadows in the Tibetan Plateau" Remote Sensing 12, no. 1: 103. https://doi.org/10.3390/rs12010103
APA StyleChang, Y., Ding, Y., Zhao, Q., & Zhang, S. (2020). A Comprehensive Evaluation of 4-Parameter Diurnal Temperature Cycle Models with In Situ and MODIS LST over Alpine Meadows in the Tibetan Plateau. Remote Sensing, 12(1), 103. https://doi.org/10.3390/rs12010103

