Quantitative Evaluations and Error Source Analysis of Fengyun-2-Based and GPM-Based Precipitation Products over Mainland China in Summer, 2018
Abstract
1. Introduction
2. Study Area and Datasets
2.1. Study Area
2.2. Gauge Precipitation Measurements
2.3. Satellite Precipitation Estimates
2.3.1. FY-2E Quantitative Precipitation Estimates (QPE)
2.3.2. FY-2G QPE
2.3.3. IMERG
3. Methods
3.1. Contingency Statistical Indices
3.2. Statistical Indices
4. Results
4.1. Spatial Distributions of Precipitation Estimates from FY-2E, FY-2G, and IMERG
4.2. Validations of the Three Precipitation Products in the Summer, 2018
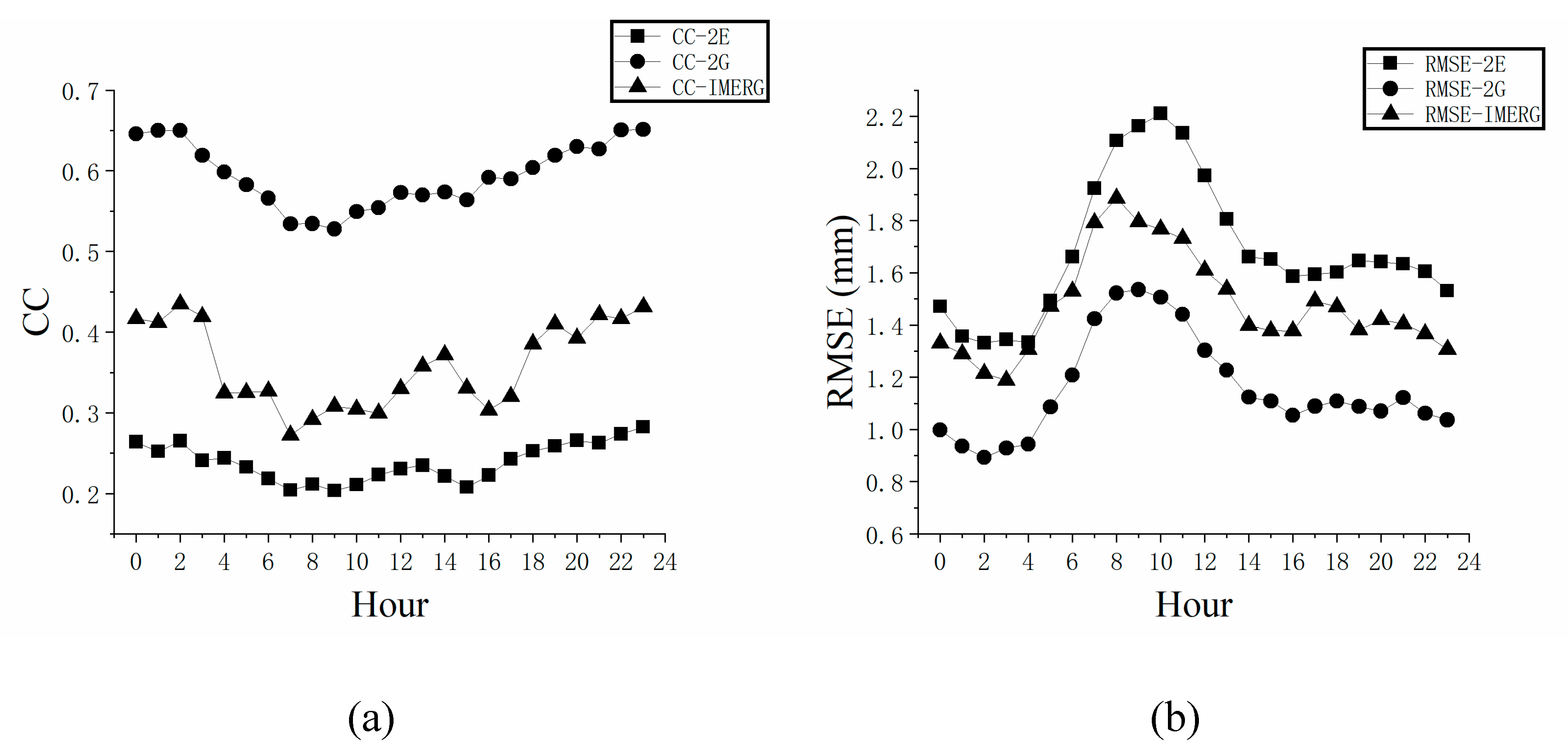
4.3. Validations of the Three Precipitation Products Based on Statistical Indices at Hourly Scale
4.4. Contingency Indices of the Three Precipitation Products at Hourly and Daily Scales
4.5. Cross-Evaluation of FY-2 Precipitation Products Based on IMERG
5. Discussion
5.1. The Advantages and Disadvantages of FY-2E QPE, FY-2G QPE, and IMERG
5.2. Possible Error Source Analysis of the GPM IMERG Product
6. Conclusions
Author Contributions
Funding
Acknowledgments
Conflicts of Interest
References
- Kidd, C.; Huffman, G. Global Precipitation Measurement. Meteorol. Appl. 2011, 18, 334–353. [Google Scholar] [CrossRef]
- Hegerl, G.; Black, E.; Allan, R.; Ingram, W.J.; Polson, D.; Trenberth, K.E.; Chadwick, R.; Arkin, P.A.; Sarojini, B.; Becker, A.; et al. Challenges in Quantifying Changes in the Global Water Cycle. Bull. Am. Meteorol. Soc. 2014, 96, 1097–1115. [Google Scholar] [CrossRef]
- Ruhi, A.; Messager, M.L.; Olden, J.D. Tracking the Pulse of the Earth’s Fresh Waters. Nat. Sustain. 2018, 1, 198–203. [Google Scholar] [CrossRef]
- Hirpa, F.A.; Gebremichael, M.; Hopson, T. Evaluation of High-Resolution Satellite Precipitation Products over Very Complex Terrain in Ethiopia. J. Appl. Meteorol. Clim. 2010, 49, 1044–1051. [Google Scholar] [CrossRef]
- Jongjin, B.; Jongmin, P.; Dongryeol, R.; Minha, C. Geospatial Blending to Improve Spatial Mapping of Precipitation with High Spatial Resolution by Merging Satellite-based and Ground-based data. Hydrol. Process. 2016, 30, 2789–2803. [Google Scholar] [CrossRef]
- Ebert, E.E.; Janowiak, J.E.; Kidd, C. Comparison of Near-Real-Time Precipitation Estimates from Satellite Observations and Numerical Models. Bull. Am. Meteorol. Soc. 2007, 88, 47–64. [Google Scholar] [CrossRef]
- Ma, Z.; Xu, Y.; Peng, J.; Chen, Q.; Wan, D.; He, K.; Shi, Z.; Li, H. Spatial and Temporal Precipitation Patterns Characterized by TRMM TMPA over the Qinghai-Tibetan Plateau and Surroundings. Int. J. Remote Sens. 2018, 39, 3891–3907. [Google Scholar] [CrossRef]
- Li, X.; Zhang, Q.; Xu, C.-Y. Assessing the Performance of Satellite-based Precipitation Products and its Dependence on Topography over Poyang Lake Basin. Theor. Appl. Climatol. 2014, 115, 713–729. [Google Scholar] [CrossRef]
- Levizzani, V.; Bauer, P.; Joseph Turk, F. Measuring Precipitation from Space—EURAINSAT and the Future; Springer: Dordrecht, The Netherlands, 2007; pp. 49–58. [Google Scholar]
- Kucera, P.A.; Ebert, E.E.; Turk, F.J.; Levizzani, V.; Kirschbaum, D.; Tapiador, F.J.; Loew, A.; Borsche, M. Precipitation from Space: Advancing Earth System Science. Bull. Am. Meteorol. Soc. 2013, 94, 365–375. [Google Scholar] [CrossRef]
- Hou, A.Y.; Kakar, R.K.; Neeck, S.; Azarbarzin, A.A.; Kummerow, C.D.; Kojima, M.; Oki, R.; Nakamura, K.; Iguchi, T. The Global Precipitation Measurement Mission. Bull. Am. Meteorol. Soc. 2014, 95, 701–722. [Google Scholar] [CrossRef]
- Huffman, G.J.; Bolvin, D.T.; Braithwaite, D.; Hsu, K.; Joyce, R.; Kidd, C.; Nelkin, E.J.; Sorooshian, S.; Tan, J.; Xie, P. Algorithm Theoretical Basis Document (ATBD) Version 06: NASA Global Precipitation Measurement (GPM) Integrated Multi-SatellitE Retrievals for GPM (IMERG); NASA: Greenbelt, MD, USA, 2018. Available online: https://pmm.nasa.gov/sites/default/files/document_files/IMERG_ATBD_V06.pdf (accessed on 11 December 2019).
- Shukla, S.; McNally, A.; Husak, G.; Funk, C. A Seasonal Agricultural Drought Forecast System for Food-insecure Regions of East Africa. Hydrol. Earth Syst. Sci. 2014, 18, 3907–3921. [Google Scholar] [CrossRef]
- Anjum, M.N.; Ding, Y.; Shangguan, D.; Ijaz, M.W.; Zhang, S. Evaluation of High-Resolution Satellite-Based Real-Time and Post-Real-Time Precipitation Estimates during 2010 Extreme Flood Event in Swat River Basin, Hindukush Region. Adv. Meteorol. 2016, 2016, 2604980. [Google Scholar] [CrossRef]
- Derin, Y.; Yilmaz, K.K. Evaluation of Multiple Satellite-Based Precipitation Products over Complex Topography. J. Hydrometeorol. 2014, 15, 1498–1516. [Google Scholar] [CrossRef]
- Beck, H.E.; Vergopolan, N.; Pan, M.; Levizzani, V.; Van Dijk, A.I.J.M.; Weedon, G.P.; Brocca, L.; Pappenberger, F.; Huffman, G.J.; Wood, E.F. Global-scale Evaluation of 22 Precipitation Datasets Using Gauge Observations and Hydrological Modeling. Hydrol. Earth Syst. Sci. 2017, 21, 6201–6217. [Google Scholar] [CrossRef]
- Porcù, F.; Milani, L.; Petracca, M. On the Uncertainties in Validating Satellite Instantaneous Rainfall Estimates with Raingauge Operational Network. Atmos. Res. 2014, 144, 73–81. [Google Scholar] [CrossRef]
- Rivera, J.A.; Marianetti, G.; Hinrichs, S. Validation of CHIRPS precipitation dataset along the Central Andes of Argentina. Atmos. Res. 2018, 213, 437–449. [Google Scholar] [CrossRef]
- Darand, M.; Amanollahi, J.; Zandkarimi, S. Evaluation of the Performance of TRMM Multi-satellite Precipitation Analysis (TMPA) Estimation over Iran. Atmos. Res. 2017, 190, 121–127. [Google Scholar] [CrossRef]
- Gadelha, A.N.; Coelho, V.H.R.; Xavier, A.C.; Barbosa, L.R.; Melo, D.C.D.; Xuan, Y.; Huffman, G.J.; Petersen, W.A.; Almeida, C.D.N. Grid Box-level Evaluation of IMERG over Brazil at Various Space and Time Scales. Atmos. Res. 2019, 218, 231–244. [Google Scholar] [CrossRef]
- Sun, R.; Yuan, H.; Liu, X.; Jiang, X. Evaluation of the Latest Satellite–gauge Precipitation Products and their Hydrologic Applications over the Huaihe River basin. J. Hydrol. 2016, 536, 302–319. [Google Scholar] [CrossRef]
- Tang, G.; Ma, Y.; Long, D.; Zhong, L.; Hong, Y. Evaluation of GPM Day-1 IMERG and TMPA Version-7 Legacy Products over Mainland China at Multiple Spatiotemporal Scales. J. Hydrol. 2015, 533, 152–167. [Google Scholar] [CrossRef]
- Feidas, H.; Porcu, F.; Puca, S.; Rinollo, A.; Lagouvardos, C.; Kotroni, V. Validation of the H-SAF Precipitation Product H03 over Greece Using Rain Gauge Data. Theor. Appl. Climatol. 2018, 131, 377–398. [Google Scholar] [CrossRef]
- Chen, S.; Hong, Y.; Cao, Q.; Gourley, J.J.; Kirstetter, P.E.; Yong, B.; Tian, Y.D.; Zhang, Z.X.; Shen, Y.; Hu, J.J.; et al. Similarity and Difference of the Two Successive V6 and V7 TRMM Multisatellite Precipitation Analysis Performance over China. J. Geophys. Res. Atmos. 2013, 118, 13060–13074. [Google Scholar] [CrossRef]
- Teng, H.; Shi, Z.; Ma, Z.; Li, Y. Estimating Spatially Downscaled Rainfall by Regression Kriging using TRMM Precipitation and Elevation in Zhejiang Province, Southeast China. Int. J. Remote Sens. 2014, 35, 7775–7794. [Google Scholar] [CrossRef]
- Prakash, S.; Mitra, A.K.; AghaKouchak, A.; Liu, Z.; Norouzi, H.; Pai, D.S. A Preliminary Assessment of GPM-based Multi-satellite Precipitation Estimates over a Monsoon Dominated Region. J. Hydrol. 2018, 556, 865–876. [Google Scholar] [CrossRef]
- Katiraie-Boroujerdy, P.-S.; Akbari Asanjan, A.; Hsu, K.-L.; Sorooshian, S. Intercomparison of PERSIANN-CDR and TRMM-3B42V7 Precipitation Estimates at Monthly and Aaily Time Scales. Atmos. Res. 2017, 193, 36–49. [Google Scholar] [CrossRef]
- Ma, S.; Zhou, T.; Dai, A.; Han, Z. Observed Changes in the Distributions of Daily Precipitation Frequency and Amount over China from 1960 to 2013. J. Clim. 2015, 28, 6960–6978. [Google Scholar] [CrossRef]
- Shen, Y.; Xiong, A.; Wang, Y.; Xie, P. Performance of High Resolution Satellite Precipitation Products over China. J. Geophys. Res. Atmos. 2010, 115. [Google Scholar] [CrossRef]
- Wilks, D.S. Statistical Methods in the Atmospheric Sciences; Academic Press: Oxford, UK, 2011. [Google Scholar]
- Nurmi, P. Recommendations on the Verification of Local Weather Forecasts; ECMWF Technical Memorandum. No. 430; ECMWF: Reading, UK, 2003. [Google Scholar]
- Taylor, K.E. Summarizing Multiple Aspects of Model Performance in a Single Diagram. J. Geophys. Res. Atmos. 2001, 106, 7183–7192. [Google Scholar] [CrossRef]
- Guo, H.; Chen, S.; Bao, A.; Behrangi, A.; Hong, Y.; Ndayisaba, F.; Hu, J.; Stepanian, P.M. Early assessment of Integrated Multi-satellite Retrievals for Global Precipitation Measurement over China. Atmos. Res. 2016, 176–177, 121–133. [Google Scholar] [CrossRef]
- Ning, S.; Wang, J.; Jin, J.; Ishidaira, H. Assessment of the Latest GPM-Era High-Resolution Satellite Precipitation Products by Comparison with Observation Gauge Data over the Chinese Mainland. Water 2016, 8, 481. [Google Scholar] [CrossRef]
- National Satellite Meteorological Centre (China). Announcement on the Discontinued Operations of FY-2E. 2019. Available online: http://www.nsmc.org.cn/NSMC/Contents/103440.html (accessed on 5 December 2019). (in Chinese).
- Ma, Z.; Shi, Z.; Zhou, Y.; Xu, J.; Yu, W.; Yang, Y. A Spatial Data Mining Algorithm for Downscaling TMPA 3B43 V7 Data over the Qinghai–Tibet Plateau With the Effects of Systematic Anomalies Removed. Remote Sens. Environ. 2017, 200, 378–395. [Google Scholar] [CrossRef]
- He, K.; Ma, Z.; Zhao, R.; Biswas, A.; Teng, H.; Xu, J.; Yu, W.; Shi, Z. A Methodological Framework to Retrospectively Obtain Downscaled Precipitation Estimates over the Tibetan Plateau. Remote Sens. 2018, 10, 1974. [Google Scholar] [CrossRef]
- Ma, Z.Q.; Zhou, L.Q.; Yu, W.; Yang, Y.Y.; Teng, H.F.; Shi, Z. Improving TMPA 3B43 V7 Data Sets Using Land-Surface Characteristics and Ground Observations on the Qinghai–Tibet Plateau. IEEE Geosci. Remote Sens. Lett. 2018, 15, 178–182. [Google Scholar] [CrossRef]
- Ma, Z.; He, K.; Tan, X.; Xu, J.; Fang, W.; He, Y.; Hong, Y. Comparisons of Spatially Downscaling TMPA and IMERG over the Tibetan Plateau. Remote Sens. 2018, 10, 1883. [Google Scholar] [CrossRef]
- Tian, Y.; Peters-Lidard, C.D.; Choudhury, B.J.; Garcia, M. Multitemporal Analysis of TRMM-based Satellite Precipitation Products for Land Data Assimilation Applications. J. Hydrometeorol. 2007, 8, 1165–1183. [Google Scholar] [CrossRef]
- Pfeifroth, U.; Mueller, R.; Ahrens, B. Evaluation of Satellite-based and Reanalysis Precipitation Data in the Tropical Pacific. J. Appl. Meteorol. Clim. 2013, 52, 634–644. [Google Scholar] [CrossRef]
- Gehne, M.; Hamill, T.M.; Kiladis, G.N.; Trenberth, K.E. Comparison of Global Precipitation Estimates across a Range of Temporal and Spatial Scales. J. Clim. 2016, 29, 7773–7795. [Google Scholar] [CrossRef]
- Herold, N.; Behrangi, A.; Alexander, L.V. Large Uncertainties in Observed Daily Precipitation Extremes over Land. J. Geophys. Res. Atmos. 2017, 22, 668–681. [Google Scholar] [CrossRef]
- Sun, Q.H.; Miao, C.Y.; Duan, Q.Y.; Ashouri, H.; Sorooshian, S.; Hsu, K.L. A Review of Global Precipitation Data Sets: Data Sources, Estimation, and Intercomparisons. Rev. Geophys. 2018, 56, 79–107. [Google Scholar] [CrossRef]
- Chen, H.; Yong, B.; Gourley, J.J.; Liu, J.; Ren, L.; Wang, W.; Hong, Y.; Zhang, J. Impact of the Crucial Geographic and Climatic Factors on the Input Source Errors of GPM-based Global Satellite Precipitation Estimates. J. Hydrol. 2019, 575, 1–16. [Google Scholar] [CrossRef]
- Gao, F.; Zhang, Y.; Chen, Q.; Wang, P.; Yang, H.; Yao, Y.; Cai, W. Comparison of Two Long-term and High-resolution Satellite Precipitation Datasets in Xinjiang, China. Atmos. Res. 2018, 212, 150–157. [Google Scholar] [CrossRef]
- Marra, F.; Morin, E. Autocorrelation Structure of Convective Rainfall in Semiarid-arid Climate Derived from High-resolution X-Band Radar Estimates. Atmos. Res. 2018, 200, 126–138. [Google Scholar] [CrossRef]
- Hong, Y.; Hsu, K.-L.; Sorooshian, S.; Gao, X. Precipitation Estimation from Remotely Sensed Imagery Using an Artificial Neural Network Cloud Classification System. J. Appl. Meteorol. Clim. 2004, 43, 1834–1853. [Google Scholar] [CrossRef]
- Bitew, M.M.; Gebremichael, M. Evaluation through independent measurements: Complex terrain and humid tropical region in Ethiopia. In Satellite Rainfall Applications for Surface Hydrology; Springer: Dordrecht, The Netherlands, 2010; pp. 205–214. [Google Scholar]
- Maggioni, V.; Meyers, P.; Robinson, M. A Review of Merged High Resolution Satellite Precipitation Product Accuracy during the Tropical Rainfall Measuring Mission (TRMM)-Era. J. Hydrometeorol. 2016, 17, 1101–1117. [Google Scholar] [CrossRef]
- Passive Microwave Algorithm Team Facility. Global Precipitation Measurement (GPM) Mission Algorithm Theoretical Basis Document GPROF2017 Version 1. 2017. Available online: https://pmm.nasa.gov/sites/default/files/document_files/ATBD_GPM_GPROF_June1_2017.pdf (accessed on 15 October 2019).











| Index | Equation 1 | Best Value |
|---|---|---|
| POD | 1 | |
| FAR | 0 | |
| CSI | 1 | |
| FBI | 1 |
| Index | Equation 1 | Best Value |
|---|---|---|
| CC | 1 | |
| RMSE | 0 | |
| bias | 0 | |
| MAE | 0 |
| Data Type | Index | June | July | August | Summer |
|---|---|---|---|---|---|
| FY-2E QPE | CC | 0.23 | 0.25 | 0.23 | 0.24 |
| RMSE (mm) | 1.51 | 1.84 | 1.70 | 1.69 | |
| bias (%) | 35.35 | 36.07 | −25.42 | 15.76 | |
| MAE (mm) | 0.33 | 0.40 | 0.31 | 0.35 | |
| FY-2G QPE | CC | 0.45 | 0.66 | 0.66 | 0.59 |
| RMSE (mm) | 1.14 | 1.13 | 1.21 | 1.16 | |
| bias (%) | −7.45 | −2.28 | −4.34 | −4.66 | |
| MAE (mm) | 0.20 | 0.18 | 0.19 | 0.19 | |
| IMERG | CC | 0.36 | 0.36 | 0.37 | 0.36 |
| RMSE (mm) | 1.26 | 1.54 | 1.62 | 1.48 | |
| bias (%) | 14.59 | 11.34 | 10.07 | 12.00 | |
| MAE (mm) | 0.25 | 0.31 | 0.32 | 0.29 |
| Data Type | Index | June | July | August | Summer |
|---|---|---|---|---|---|
| FY-2E QPE | POD | 0.49 | 0.53 | 0.47 | 0.50 |
| FAR | 0.70 | 0.65 | 0.62 | 0.66 | |
| CSI | 0.23 | 0.26 | 0.26 | 0.25 | |
| FBI | 1.79 | 1.61 | 1.28 | 1.56 | |
| FY-2G QPE | POD | 0.61 | 0.84 | 0.84 | 0.77 |
| FAR | 0.56 | 0.46 | 0.44 | 0.48 | |
| CSI | 0.36 | 0.49 | 0.51 | 0.45 | |
| FBI | 1.39 | 1.59 | 1.54 | 1.51 | |
| IMERG | POD | 0.59 | 0.63 | 0.61 | 0.61 |
| FAR | 0.60 | 0.61 | 0.59 | 0.60 | |
| CSI | 0.31 | 0.31 | 0.32 | 0.31 | |
| FBI | 1.60 | 1.70 | 1.64 | 1.64 |
| Data Type | Advances | Weaknesses |
|---|---|---|
| FY-2E QPE | Low latency | Poor data quality Short time span Limited coverage |
| FY-2G QPE | Best data quality Low latency | Short time span Limited coverage |
| IMERG Final-run | Fine data quality High temporal resolution Long time span Wide coverage | High latency Not so satisfying performance at hourly and diurnal scales |
© 2019 by the authors. Licensee MDPI, Basel, Switzerland. This article is an open access article distributed under the terms and conditions of the Creative Commons Attribution (CC BY) license (http://creativecommons.org/licenses/by/4.0/).
Share and Cite
Xu, J.; Ma, Z.; Tang, G.; Ji, Q.; Min, X.; Wan, W.; Shi, Z. Quantitative Evaluations and Error Source Analysis of Fengyun-2-Based and GPM-Based Precipitation Products over Mainland China in Summer, 2018. Remote Sens. 2019, 11, 2992. https://doi.org/10.3390/rs11242992
Xu J, Ma Z, Tang G, Ji Q, Min X, Wan W, Shi Z. Quantitative Evaluations and Error Source Analysis of Fengyun-2-Based and GPM-Based Precipitation Products over Mainland China in Summer, 2018. Remote Sensing. 2019; 11(24):2992. https://doi.org/10.3390/rs11242992
Chicago/Turabian StyleXu, Jintao, Ziqiang Ma, Guoqiang Tang, Qingwen Ji, Xiaoxiao Min, Wei Wan, and Zhou Shi. 2019. "Quantitative Evaluations and Error Source Analysis of Fengyun-2-Based and GPM-Based Precipitation Products over Mainland China in Summer, 2018" Remote Sensing 11, no. 24: 2992. https://doi.org/10.3390/rs11242992
APA StyleXu, J., Ma, Z., Tang, G., Ji, Q., Min, X., Wan, W., & Shi, Z. (2019). Quantitative Evaluations and Error Source Analysis of Fengyun-2-Based and GPM-Based Precipitation Products over Mainland China in Summer, 2018. Remote Sensing, 11(24), 2992. https://doi.org/10.3390/rs11242992

