Microwave Land Emissivity Calculations over the Qinghai-Tibetan Plateau Using FY-3B/MWRI Measurements
Abstract
1. Introduction
2. Calculation of Surface Emissivity
2.1. Calculation of Surface Microwave Emissivity
2.2. Study Site
2.3. Datasets
2.3.1. Satellite Data
2.3.2. NCEP-FNL Modeling Data
3. Data Processing
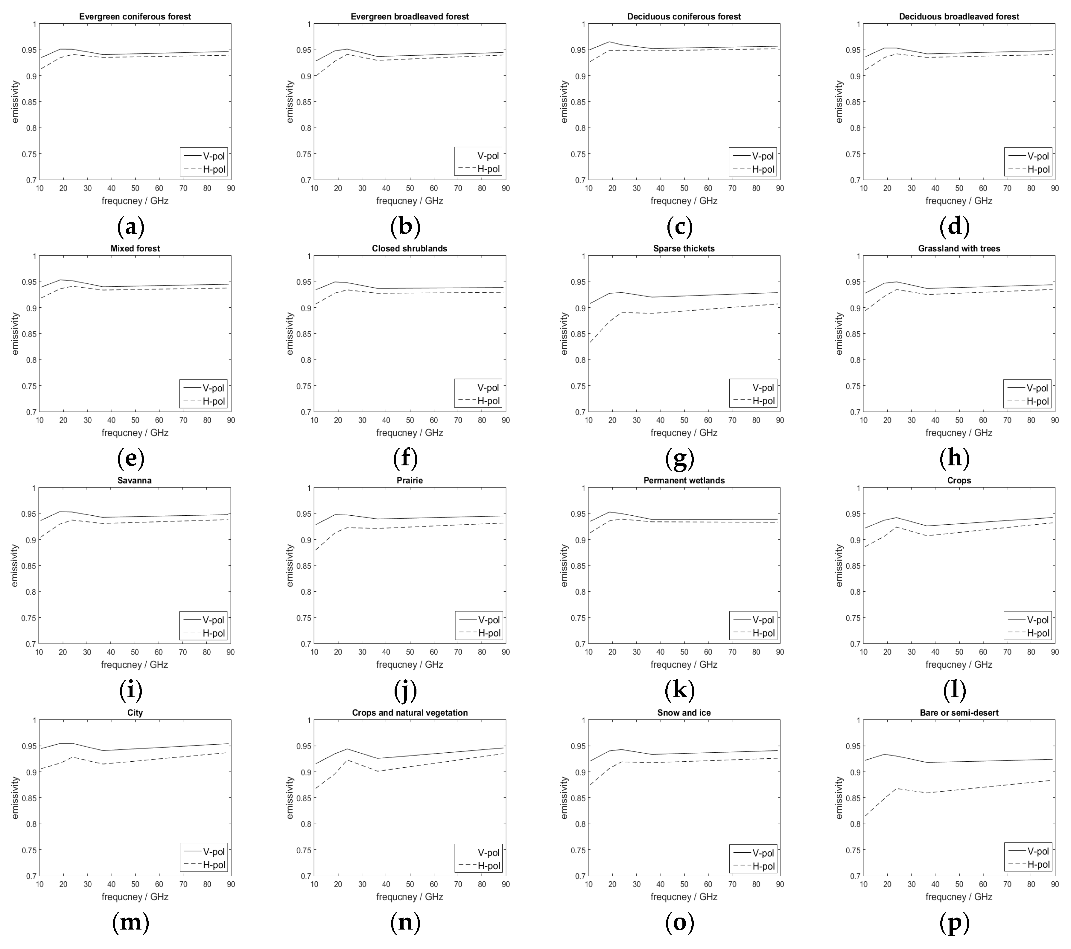
4. Results and Discussion
5. Conclusions
Author Contributions
Funding
Acknowledgments
Conflicts of Interest
References
- Errico, R.M.; Ohring, G.; Weng, F.; Bauer, P.; Ferrier, B.; Mahfouf, J.F.; Turk, J. Assimilation of satellite cloud and precipitation observations in numerical weather prediction models. J. Atmos. Sci. 2007, 64, 3737–3741. [Google Scholar] [CrossRef]
- Yan, B.H.; Weng, F.Z. Effects of microwave desert surface emissivity on AMSU-A data assimilation. IEEE Trans. Geosci. Remote Sens. 2011, 49, 1263–1276. [Google Scholar] [CrossRef]
- Prigent, C.; Liang, P.; Tian, Y.; Aires, F.; Moncet, J.-L.; Boukabara, S.A. Evaluation of modeled microwave land surface emissivities with satellite-based estimates. J. Geophys. Res. Atmos. 2015, 120, 2706–2718. [Google Scholar] [CrossRef]
- Weng, F.Z.; Zhu, T.; Yan, B.H. Satellite data assimilation in numerical weather prediction models. Part II: Uses of rain affected microwave radiances for hurricane vortex analysis. J. Atmos. Sci. 2007, 64, 3910–3925. [Google Scholar] [CrossRef]
- He, W.Y.; Chen, H.B.; Xuan, Y.J.; Li, J.; Yin, J.H.; Xia, J.R.; Ji, Q.; Cai, X.Q. Field Measurements of the surface microwave emissivity for different surface types. Prog. Geophys. 2010, 25, 1983–1993. (In Chinese) [Google Scholar] [CrossRef]
- Moncet, J.-L.; Liang, P.; Galantowicz, J.F.; Lipton, A.E.; Uymin, G.; Prigent, C.; Grassotti, C. Land surface microwave emissivities derived from AMSR-E and MODIS measurements with advanced quality control. J. Geophys. Res. 2011, 116, D16104. [Google Scholar] [CrossRef]
- Furuzawa, F.A.; Masunaga, H.; Nakamura, K. Development of a land surface emissivity algorithm for use by microwave rain retrieval algorithms. In Proceedings of the Remote Sensing of the Atmosphere, Clouds, and Precipitation IV. International Society for Optics and Photonics, Honolulu, HI, USA, 24–26 September 2018. [Google Scholar]
- Grody, N.C. Severe storm observations using the Microwave Sounding Unit. J. Appl. Meteorol. 1983, 22, 609–625. [Google Scholar] [CrossRef]
- Jones, A.S.; Vonder Haar, T.H. Retrieval of surface emittance over land using coincident microwave and infrared satellite measurements. J. Geophys. Res. 1997, 102, 13609–13626. [Google Scholar] [CrossRef]
- Prigent, C.; Rossow, W.B.; Matthews, E. Microwave land surface emissivities estimated from SSM/I observations. J. Geophys. Res. 1997, 102, 21867–21890. [Google Scholar] [CrossRef]
- Prigent, C.; Wigneron, J.-P.; Rossow, W.B.; Pardo-Carrion, J.R. Frequency and angular variations of land surface microwave emissivities: Can we estimate SSM/T and AMSU emissivities from SSM/I emissivities? IEEE Trans. Geosci. Remote Sens. 2000, 38, 2373–2386. [Google Scholar] [CrossRef]
- Prigent, C.; Aires, F.; Rosso, W.B. Land surface microwave emissivities over the globe for a decade. Bull. Am. Meteorol. Soc. 2006, 87, 1573–1584. [Google Scholar] [CrossRef]
- Wilke, G.D.; Mcfarland, M.J. Correlations between Nimbus-7 Scanning Multichannel Microwave Radiometer data and an antecedent precipitation index. J. Appl. Meteorol. 1986, 25, 227–238. [Google Scholar] [CrossRef]
- Galantowicz, J.F.; Moncet, J.-L.; Liang, P.; Lipton, A.E. Subsurface emission effects in AMSR-E measurements: Implications for land surface microwave emissivity retrieval. J. Geophys. Res. 2011, 116. [Google Scholar] [CrossRef]
- Ringerud, S.; Kummerow, C.D.; Peters-Lidard, C.D. A Semi-Empirical Model for Computing Land Surface Emissivity in the Microwave Region. IEEE Trans. Geosci. Remote Sens. 2015, 53, 1935–1946. [Google Scholar] [CrossRef]
- Qiu, Y.; Shi, J.; Hallikainen, M.; Lemmetyinen, J. The AMSR-E instantaneous emissivity estimation and its correlation, frequency dependency analysis over different land covers. In Proceedings of the IEEE International Geoscience and Remote Sensing Symposium (IGARSS), Boston, MA, USA, 8–11 July 2008; pp. 749–752. [Google Scholar]
- Tian, Y.; Peters-Lidard, C.D.; Harrison, K.W.; Prigent, C. Quantifying uncertainties in land-surface microwave emissivity retrievals. IEEE Trans. Geosci. Remote Sens. 2012, 52, 829–840. [Google Scholar] [CrossRef]
- Li, Z.L.; Wu, H.; Wang, N.; Qiu, S. Land surface emissivity retrieval from satellite data. Int. J. Remote Sens. 2013, 34, 3084–3127. [Google Scholar] [CrossRef]
- Wang, Y.Q.; Shi, J.C.; Liu, Z.H.; Peng, Y.J.; Liu, W.J. Retrieval algorithm for microwave surface emissivities based on multi-source, remote-sensing data: An assessment on the Qinghai-Tibet Plateau. Sci. China Earth Sci. 2013, 56, 93–101. [Google Scholar] [CrossRef]
- Gao, C.; Li, Z.L.; Qiu, S.; Tang, B.; Wu, H.; Jiang, X. An improved algorithm for retrieving land surface emissivity and temperature from MSG-2/SEVIRI data. IEEE Trans. Geosci. Remote Sens. 2014, 52, 3175–3191. [Google Scholar] [CrossRef]
- Masiello, G.; Serio, C.; De Feis, I.; Amoroso, M. Kalman filter physical retrieval of surface emissivity and temperature from geostationary infrared radiances. Atmos. Meas. Tech. 2013, 6, 3613–3634. [Google Scholar] [CrossRef]
- Masiello, G.; Serio, C.; Venafra, S.; Liuzzi, G. Kalman filter physical retrieval of surface emissivity and temperature from SEVIRI infrared channels: A validation and intercomparison study. Atmos. Meas. Tech. 2015, 8, 2981–2997. [Google Scholar] [CrossRef]
- Tian, Y.; Peters-Lidard, C.D.; Harrison, K.W.; You, Y. An examination of methods for estimating land surface microwave emissivity. J. Geophys. Res. Atmos. 2015, 120, 11114–11128. [Google Scholar] [CrossRef]
- Orimoloye, I.R.; Mazinyo, S.P.; Nel, W.; Kalumba, A.M. Spatiotemporal monitoring of land surface temperature and estimated radiation using remote sensing: Human health implications for East London, South Africa. Environ. Earth Sci. 2018, 77, 77. [Google Scholar] [CrossRef]
- Qu, Y.; Zhu, Z.; Chai, L.; Liu, S.; Montzka, C.; Liu, J.; Yang, X.; Lu, Z.; Jin, R.; Li, X.; et al. Rebuilding a Microwave Soil Moisture Product Using Random Forest Adopting AMSR-E/AMSR2 Brightness Temperature and SMAP over the Qinghai–Tibet Plateau, China. Remote Sens. 2019, 11, 683. [Google Scholar] [CrossRef]
- Weng, F.; Yan, B.; Grody, N.C. A microwave land emissivity model. J. Geophys. Res. 2001, 106, 20115–20123. [Google Scholar] [CrossRef]
- Yang, H.; Weng, F.Z. Error sources in remote sensing of microwave land surface emissivity. IEEE Trans. Geosci. Remote Sens. 2011, 49, 3437–3442. [Google Scholar] [CrossRef]
- Melesse, A.M.; Frank, A.; Nangia, V.; Hanson, J. Analysis of energy fluxes and land surface parameters in a grassland ecosystem: A remote sensing perspective. Int. J. Remote Sens. 2008, 29, 3325–3341. [Google Scholar] [CrossRef]
- Abramowitz, G.; Pouyanné, L.; Ajami, H. On the information content of surface meteorology for downward atmospheric long-wave radiation synthesis. Geophys. Res. Lett. 2012, 39, L04808. [Google Scholar] [CrossRef]
- French, A.N.; Schmugge, T.J.; Ritchie, J.C.; Hsu, A. Detecting land cover change at the Jornada Experimental Range, New Mexico with ASTER emissivities. Remote Sens. Environ. 2008, 11, 1730–1748. [Google Scholar] [CrossRef]
- Edwards, J.M. Radiative processes in the stable boundary layer. Part I. Radiative aspects. Bound.-Layer Meteorol. 2009, 131, 105–126. [Google Scholar] [CrossRef]
- Yang, H.; Weng, F.; Lv, L.; Lu, N.; Liu, G.; Bai, M.; Qian, Q.; He, J.; Xu, H. The FengYun-3 microwave radiation imager on-orbit verification. IEEE Trans. Geosci. Remote Sens. 2011, 49, 4552–4560. [Google Scholar] [CrossRef]
- Yang, H.; Lv, L.; Xu, H.; He, J. Evaluation of FY3B-MWRI instrument on-orbit calibration accuracy. In Proceedings of the IEEE International Geoscience and Remote Sensing Symposium, Vancouver, BC, Canada, 24–29 July 2011. [Google Scholar]
- Zhang, R.; Koike, T.; Xu, X.; Ma, Y. A China-Japan cooperative JICA atmospheric observing network over the Tibetan Plateau (JICA/Tibet project): An overviews. J. Meteorol. Soc. Jpn. 2012, 90, 1–16. [Google Scholar] [CrossRef]
- NCEP GDAS/FNL 0.25 Degree Global Tropospheric Analyses and Forecast Grids (ds083.3). Available online: https://rda.ucar.edu/#!lfd?nb=y&b=topic&v=Land%20Surface (accessed on 12 January 2019).
- Bengtsson, L.; Hodges, K.I.; Hagemann, S. Sensitivity of the ERA-40 reanalysis to the observing system: Determination of the global atmospheric circulation from reduced observations. Tellus 2004, 56, 456–471. [Google Scholar] [CrossRef]
- Prabhakara, C.; Nucciarone, J.J.; Yoo, J.-M. Examination of ‘global atmospheric temperature monitoring with satellite microwave measurements’: 1) theoretical considerations. Clim. Chang. 1995, 30, 349–366. [Google Scholar] [CrossRef]
- Savage, R.C. The Transfer of Thermal Microwaves through Hydrometeors. Ph.D. Thesis, University of Wisconsin-Madison, Madison, WI, USA, 1976. [Google Scholar]
- Grody, N.C. Classification of snow cover and precipitation using the special sensor microwave imager. J. Geophys. Res. Atmos. 1991, 96, 7423–7435. [Google Scholar] [CrossRef]
- Huang, C.; Duan, S.B.; Jiang, X.G.; Han, X.J.; Leng, P.; Gao, M.F.; Li, Z.L. A physically based algorithm for retrieving land surface temperature under cloudy conditions from AMSR2 passive microwave measurements. Int. J. Remote Sens. 2019, 40, 1828–1843. [Google Scholar] [CrossRef]
- Zhou, F.C.; Li, Z.L.; Wu, H.; Duan, S.B. A remote sensing method for retrieving land surface emissivity and temperature in cloudy areas: A case study over South China. Int. J. Remote Sens. 2019, 40, 1724–1735. [Google Scholar] [CrossRef]
- Favrichon, S.; Prigent, C.; Jimenez, C.; Aires, F. Detecting cloud contamination in passive microwave satellite measurements over land. Atmos. Meas. Tech. 2019, 12, 1531–1543. [Google Scholar] [CrossRef]
- Wilheit, T.; Kummerow, C.D.; Ferraro, R. Rainfall algorithms for AMSR-E. IEEE Trans. Geosci. Remote Sens. 2003, 41, 204–214. [Google Scholar] [CrossRef]
- Ferraro, R.R.; Grody, N.C.; Marks, G.F. Effects of surface conditions on rain identification using the SSM/I. Remote Sens. Rev. 1994, 11, 195–209. [Google Scholar] [CrossRef]
- Ferraro, R.R.; Smith, E.A.; Berg, W.; Huffman, G. A review of screening techniques for passive microwave precipitation retrieval algorithms. J. Atmos. Sci. 1998, 55, 1583–1600. [Google Scholar] [CrossRef]
- Ferraro, R.R.; Marks, G.F. The development of SSM/I rain rate retrieval algorithms using ground-based radar measurements. J. Atmos. Ocean. Technol. 1995, 12, 755–770. [Google Scholar] [CrossRef]
- Adler, R.F.; Huffman, G.J.; Keehn, P.R. Global tropical rain estimates from microwave adjusted geosynchronous IR data. Remote Sens. Rev. 1994, 11, 125–152. [Google Scholar] [CrossRef]
- Norouzi, H.; Temimi, M.; Prigent, C.; Turk, J. Assessment of the consistency among global microwave land surface emissivity products. Atmos. Meas. Tech. 2015, 8, 1197–1205. [Google Scholar] [CrossRef]
- Zhang, Y.P.; Jiang, L.M.; Qiu, Y.B.; Wu, S. Study of the microwave emissivity characteristics over different land cover types. Spectrosc. Spectr. Anal. 2010, 30, 1446–1451. [Google Scholar] [CrossRef]
- Wang, S.; Wigneron, J.-P.; Jiang, L.M.; Parrens, M. Global-scale evaluation of roughness effects on C-Band AMSR-E observations. Remote Sens. 2015, 7, 5734–5757. [Google Scholar] [CrossRef]
- Ulaby, F.T.; Moore, R.K.; Fung, A.K. Microwave Remote Sensing: Active and Passive; Artech House: Norwood, MA, USA, 1986; Volume II. [Google Scholar]
- Ferrazzoli, P.; Guerriero, L. Passive microwave remote sensing of forests: A model investigation. IEEE Trans. Geosci. Remote Sens. 1996, 34, 433–443. [Google Scholar] [CrossRef]
- Prigent, C.; Aires, F.; Rossow, W.; Matthews, E. Joint characterization of vegetation by satellite observations from visible to microwave wavelengths: A sensitivity analysis. J. Geophys. Res. 2001, 106, 20665–20685. [Google Scholar] [CrossRef]
- Nerry, F.; Labed, J.; Stoll, M.P. Spectral properties of land surfaces in the thermal infrared: 1. Laboratory measurements of absolute spectral emissivity signatures. J. Geophys. Res. 1990, 95, 7027–7044. [Google Scholar] [CrossRef]
- Van de Griend, A.A.; Owe, M.; Groen, M.; Stoll, M.P. Measurement and spatial variation of thermal infrared surface emissivity in a savanna environment. Water Resour. Res. 1991, 27, 371–379. [Google Scholar] [CrossRef]
- Pinker, R.T.; Sun, D.L.; Hung, M.P.; Li, C. Evaluation of satellite estimates of land surface temperature from goes over the United States. J. Appl. Meteorol. Climatol. 2009, 48, 167–180. [Google Scholar] [CrossRef]





| Center Frequency/GHz | Polarization | Band Width /MHz | Instantaneous FOV/km | NEΔT/K | Calibration Error (K) | 
|---|---|---|---|---|---|
| 10.65 | H/V | 180 | 51 × 85 | 0.5 | 1.5 | 
| 18.7 | H/V | 200 | 30 × 50 | 0.5 | 1.5 | 
| 23.8 | H/V | 400 | 27 × 45 | 0.5 | 1.5 | 
| 36.5 | H/V | 900 | 18 × 30 | 0.5 | 1.5 | 
| 89.0 | H/V | 3000 | 9 × 15 | 0.8 | 2.0 | 
| Surface Coverage Type | Number | Surface Coverage Type | Number | 
|---|---|---|---|
| Evergreen coniferous forest | 1 | Savanna | 9 | 
| Evergreen broadleaved forest | 2 | Prairie | 10 | 
| Deciduous coniferous forest | 3 | Permanent wetlands | 11 | 
| Deciduous broadleaved forest | 4 | Crops | 12 | 
| Mixed forest | 5 | City | 13 | 
| Closed shrublands | 6 | Crops and natural vegetation | 14 | 
| Sparse thickets | 7 | Snow and ice | 15 | 
| Grassland with trees | 8 | Bare or semi-desert | 16 | 
© 2019 by the authors. Licensee MDPI, Basel, Switzerland. This article is an open access article distributed under the terms and conditions of the Creative Commons Attribution (CC BY) license (http://creativecommons.org/licenses/by/4.0/).
Share and Cite
Wu, Y.; Qian, B.; Bao, Y.; Petropoulos, G.P.; Liu, X.; Li, L. Microwave Land Emissivity Calculations over the Qinghai-Tibetan Plateau Using FY-3B/MWRI Measurements. Remote Sens. 2019, 11, 2206. https://doi.org/10.3390/rs11192206
Wu Y, Qian B, Bao Y, Petropoulos GP, Liu X, Li L. Microwave Land Emissivity Calculations over the Qinghai-Tibetan Plateau Using FY-3B/MWRI Measurements. Remote Sensing. 2019; 11(19):2206. https://doi.org/10.3390/rs11192206
Chicago/Turabian StyleWu, Ying, Bo Qian, Yansong Bao, George P. Petropoulos, Xulin Liu, and Lin Li. 2019. "Microwave Land Emissivity Calculations over the Qinghai-Tibetan Plateau Using FY-3B/MWRI Measurements" Remote Sensing 11, no. 19: 2206. https://doi.org/10.3390/rs11192206
APA StyleWu, Y., Qian, B., Bao, Y., Petropoulos, G. P., Liu, X., & Li, L. (2019). Microwave Land Emissivity Calculations over the Qinghai-Tibetan Plateau Using FY-3B/MWRI Measurements. Remote Sensing, 11(19), 2206. https://doi.org/10.3390/rs11192206
 
        



 
                         
       