Real-Time Precise Point Positioning Using Tomographic Wet Refractivity Fields
Abstract
1. Introduction
2. Methodology
2.1. Empirical Tropospheric Models
2.2. Tropospheric Delay Derived from Tomographic WR Field
2.3. PPP Processing Strategy
3. Experiments and Results
3.1. Evaluation of Tomographic SWDs by ECMWF
3.2. Static PPP Solutions
3.3. Kinematic PPP Solutions
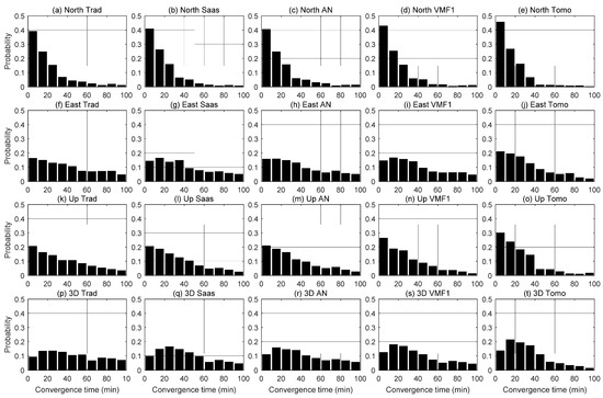
3.4. Convergence Time
4. Conclusions
Author Contributions
Funding
Acknowledgments
Conflicts of Interest
References
- Zumberge, J.F.; Heflin, M.B.; Jefferson, D.C.; Watkins, M.M.; Webb, F.H. Precise point positioning for the efficient and robust analysis of GPS data from large networks. J. Geophys. Res. Solid Earth 1997, 102, 5005–5017. [Google Scholar] [CrossRef]
- Kouba, J. A possible detection of the 26 December 2004 Great Sumatra-Andaman Islands Earthquake with solution products of the International GNSS Service. Stud. Geophys. Geod. 2005, 49, 463–483. [Google Scholar] [CrossRef]
- Li, X.; Zhang, X.; Ge, M. Regional reference network augmented precise point positioning for instantaneous ambiguity resolution. J. Geodesy 2011, 85, 151–158. [Google Scholar] [CrossRef]
- Yuan, Y.; Zhang, K.; Rohm, W.; Choy, S.; Norman, R.; Wang, C.-S. Real-time retrieval of precipitable water vapor from GPS precise point positioning. J. Geophys. Res. Atmos. 2014, 119, 10044–10057. [Google Scholar] [CrossRef]
- Leick, A.; Rapoport, L.; Tatarnikov, D. GPS Satellite Surveying, 4th ed.; Wiley: Hoboken, NJ, USA, 2015; ISBN 978-1-118-67557-1. [Google Scholar]
- Luo, X.; Lou, Y.; Xiao, Q.; Gu, S.; Chen, B.; Liu, Z. Investigation of ionospheric scintillation effects on BDS precise point positioning at low-latitude regions. GPS Solut. 2018, 22. [Google Scholar] [CrossRef]
- Hadas, T.; Kaplon, J.; Bosy, J.; Sierny, J.; Wilgan, K. Near-real-time regional troposphere models for the GNSS precise point positioning technique. Meas. Sci. Technol. 2013, 24, 055003. [Google Scholar] [CrossRef]
- Lou, Y.; Huang, J.; Zhang, W.; Liang, H.; Zheng, F.; Liu, J. A New Zenith Tropospheric Delay Grid Product for Real-Time PPP Applications over China. Sensors 2017, 18, 65. [Google Scholar] [CrossRef] [PubMed]
- Wilgan, K.; Hadas, T.; Hordyniec, P.; Bosy, J. Real-time precise point positioning augmented with high-resolution numerical weather prediction model. GPS Solut. 2017. [Google Scholar] [CrossRef]
- Böhm, J.; Möller, G.; Schindelegger, M.; Pain, G.; Weber, R. Development of an improved empirical model for slant delays in the troposphere (GPT2w). GPS Solut. 2015, 19, 433–441. [Google Scholar] [CrossRef]
- Chen, B.; Liu, Z. A Comprehensive Evaluation and Analysis of the Performance of Multiple Tropospheric Models in China Region. IEEE Trans. Geosci. Remote Sens. 2016, 54, 663–678. [Google Scholar] [CrossRef]
- Shi, J.; Xu, C.; Guo, J.; Gao, Y. Local troposphere augmentation for real-time precise point positioning. Earth Planets Space 2014, 66, 30. [Google Scholar] [CrossRef]
- Yao, Y.; Yu, C.; Hu, Y. A New Method to Accelerate PPP Convergence Time by using a Global Zenith Troposphere Delay Estimate Model. J. Navig. 2014, 67, 899–910. [Google Scholar] [CrossRef]
- Alves, D.B.M.; Sapucci, L.F.; Marques, H.A.; de Souza, E.M.; Gouveia, T.A.F.; Magário, J.A. Using a regional numerical weather prediction model for GNSS positioning over Brazil. GPS Solut. 2016, 20, 677–685. [Google Scholar] [CrossRef]
- de Oliveira, P.S.; Morel, L.; Fund, F.; Legros, R.; Monico, J.F.G.; Durand, S.; Durand, F. Modeling tropospheric wet delays with dense and sparse network configurations for PPP-RTK. GPS Solut. 2017, 21, 237–250. [Google Scholar] [CrossRef]
- Ibrahim, H.E.; El-Rabbany, A. Performance analysis of NOAA tropospheric signal delay model. Meas. Sci. Technol. 2011, 22, 115107. [Google Scholar] [CrossRef]
- Lu, C.; Zus, F.; Ge, M.; Heinkelmann, R.; Dick, G.; Wickert, J.; Schuh, H. Tropospheric delay parameters from numerical weather models for multi-GNSS precise positioning. Atmos. Meas. Tech. 2016, 9, 5965–5973. [Google Scholar] [CrossRef]
- Flores, A.; Ruffini, G.; Rius, A. 4D tropospheric tomography using GPS slant wet delays. Ann. Geophys. 2000, 18, 223–234. [Google Scholar] [CrossRef]
- Perler, D.; Geiger, A.; Hurter, F. 4D GPS water vapor tomography: New parameterized approaches. J. Geodesy 2011, 85, 539–550. [Google Scholar] [CrossRef]
- Rohm, W. The precision of humidity in GNSS tomography. Atmos. Res. 2012, 107, 69–75. [Google Scholar] [CrossRef]
- Chen, B.; Liu, Z. Assessing the performance of troposphere tomographic modeling using multi-source water vapor data during Hong Kong’s rainy season from May to October 2013. Atmos. Meas. Tech. 2016, 9, 5249–5263. [Google Scholar] [CrossRef]
- Van Baelen, J.; Reverdy, M.; Tridon, F.; Labbouz, L.; Dick, G.; Bender, M.; Hagen, M. On the relationship between water vapour field evolution and the life cycle of precipitation systems. Q. J. R. Meteorol. Soc. 2011, 137, 204–223. [Google Scholar] [CrossRef]
- Labbouz, L.; Van Baelen, J.; Tridon, F.; Reverdy, M.; Hagen, M.; Bender, M.; Dick, G.; Gorgas, T.; Planche, C. Precipitation on the lee side of the Vosges Mountains: Multi-instrumental study of one case from the COPS campaign. Meteorol. Z. 2013, 22, 413–432. [Google Scholar] [CrossRef]
- Zhang, K.; Manning, T.; Wu, S.; Rohm, W.; Silcock, D.; Choy, S. Capturing the signature of severe weather events in Australia using GPS measurements. IEEE J. Sel. Top. Appl. Earth Obs. Remote Sens. 2015, 8, 1839–1847. [Google Scholar] [CrossRef]
- Chen, B.; Liu, Z.; Wong, W.-K.; Woo, W.-C. Detecting Water Vapor Variability during Heavy Precipitation Events in Hong Kong Using the GPS Tomographic Technique. J. Atmos. Ocean. Technol. 2017, 34, 1001–1019. [Google Scholar] [CrossRef]
- Saastamoinen, J. Atmospheric correction for the troposphere and stratosphere in radio ranging satellites. In The Use of Artificial Satellites for Geodesy; AGU: Washington, DC, USA, 1972; pp. 247–251. [Google Scholar]
- Saastamoinen, J. Contributions to the theory of atmospheric refraction Part II, Refraction corrections in satellite geodesy. Bull. Geodesique 1973, 107, 13–34. [Google Scholar] [CrossRef]
- Askne, J.; Nordius, H. Estimation of tropospheric delay for microwaves from surface weather data. Radio Sci. 1987, 22, 379–386. [Google Scholar] [CrossRef]
- Boehm, J.; Kouba, J.; Schuh, H. Forecast Vienna Mapping Functions 1 for real-time analysis of space geodetic observations. J. Geodesy 2008, 83, 397–401. [Google Scholar] [CrossRef]
- Baldysz, Z.; Nykiel, G.; Araszkiewicz, A.; Figurski, M.; Szafranek, K. Comparison of GPS tropospheric delays derived from two consecutive EPN reprocessing campaigns from the point of view of climate monitoring. Atmos. Meas. Tech. 2016, 9, 4861–4877. [Google Scholar] [CrossRef]
- Rohm, W.; Zhang, K.; Bosy, J. Limited constraint, robust Kalman filtering for GNSS troposphere tomography. Atmos. Meas. Tech. 2014, 7, 1475–1486. [Google Scholar] [CrossRef]
- Alber, C.; Ware, R.; Rocken, C.; Braun, J. Obtaining single path phase delays from GPS double differences. Geophys. Res. Lett. 2000, 27, 2661–2664. [Google Scholar] [CrossRef]
- Chen, B.; Liu, Z. Voxel-optimized regional water vapor tomography and comparison with radiosonde and numerical weather model. J. Geodesy 2014, 88, 691–703. [Google Scholar] [CrossRef]
- Kouba, J.; Street, B. A Guide to Using International GNSS Service (IGS) Products. 2015. Available online: https://kb.igs.org/hc/en-us/articles/201271873-A-Guide-to-Using-the-IGS-Products (accessed on 12 June 2018).
- Dach, R.; Lutz, S.; Walser, P.; Fridez, P. Bernese GNSS Software Version 5.2; User Manual; Astronomical Institute, University of Bern: Bern, Switzerland, 2015. [Google Scholar]
- Chan, K.; Li, C. The Hong Kong Satellite Positioning Reference Station Network (SatRef)—System Configurations, Applications and Services 2007. Available online: https://www.fig.net/resources/proceedings/fig_proceedings/fig2007/papers/ts_5a/ts05a_04_chan_li_1332.pdf (accessed on 12 June 2018).
- Li, P.; Zhang, X. Integrating GPS and GLONASS to accelerate convergence and initialization times of precise point positioning. GPS Solut. 2014, 18, 461–471. [Google Scholar] [CrossRef]
- Dee, D.P.; Uppala, S.M.; Simmons, A.J.; Berrisford, P.; Poli, P.; Kobayashi, S.; Andrae, U.; Balmaseda, M.A.; Balsamo, G.; Bauer, P.; et al. The ERA-Interim reanalysis: Configuration and performance of the data assimilation system. Q. J. R. Meteorol. Soc. 2011, 137, 553–597. [Google Scholar] [CrossRef]









| Station | North (m) | East (m) | Up (m) |
|---|---|---|---|
| HKLT | 2,483,181.3881 + (−0.0280 × DOY + 5.1185) × 10−3 | 808,564.3867 + (0.0826 × DOY − 15.1100) × 10−3 | 125.8913 + (−0.0120 × DOY + 2.1869) × 10−3 |
| HKSC | 2,469,482.0314 + (−0.0353 × DOY + 6.4634) × 10−3 | 514,546.6899 + (0.0894 × DOY − 16.3550) × 10−3 | 20.2015 + (−0.0228 × DOY + 4.1775) × 10−3 |
| HKST | 2,477,581.4294 + (−0.0324 × DOY + 5.9206) × 10−3 | 518,972.5105 + (0.0850 × DOY − 15.5520) × 10−3 | 258.6856 + (−0.0200 × DOY + 3.6576) × 10−3 |
| Comparison | Elevation | ||||||
|---|---|---|---|---|---|---|---|
| 5–10° | 10–15° | 15–20° | 20–30° | 30–60° | >60° | 5–90° | |
| Bias (mm) | 16.24 | 4.62 | 2.57 | 0.78 | −2.66 | −3.24 | 0.57 |
| RMS (mm) | 91.36 | 45.62 | 38.67 | 33.63 | 21.24 | 14.78 | 35.65 |
| Stations | Models | North (cm) | East (cm) | Up (cm) | 3D RMS (cm) | |||
|---|---|---|---|---|---|---|---|---|
| Bias | RMS | Bias | RMS | Bias | RMS | |||
| HKSC | Trad | 0.12 | 0.39 | −0.45 | 0.91 | 2.30 | 2.58 | 2.76 |
| Saas | 0.14 | 0.40 | −0.46 | 0.92 | 1.99 | 2.31 | 2.52 | |
| AN | 0.14 | 0.40 | −0.47 | 0.92 | 1.94 | 2.26 | 2.47 | |
| VMF1 | 0.14 | 0.40 | −0.47 | 0.92 | 1.93 | 2.24 | 2.46 | |
| Tomo | −0.38 | 0.59 | −0.53 | 1.05 | 0.04 | 1.22 | 1.72 | |
| HKLT | Trad | −0.42 | 0.58 | −0.16 | 0.74 | 3.00 | 3.19 | 3.33 |
| Saas | −0.43 | 0.58 | −0.14 | 0.75 | 2.73 | 2.96 | 3.11 | |
| AN | −0.43 | 0.58 | −0.14 | 0.75 | 2.67 | 2.90 | 3.06 | |
| VMF1 | −0.43 | 0.58 | −0.15 | 0.78 | 2.66 | 2.90 | 3.06 | |
| Tomo | −0.19 | 0.48 | −0.39 | 0.93 | 0.06 | 1.36 | 1.73 | |
| HKST | Trad | −0.35 | 0.52 | −0.45 | 0.88 | 2.62 | 2.85 | 3.03 |
| Saas | −0.34 | 0.51 | −0.47 | 0.90 | 2.34 | 2.59 | 2.79 | |
| AN | −0.34 | 0.51 | −0.47 | 0.90 | 2.31 | 2.56 | 2.76 | |
| VMF1 | −0.34 | 0.51 | −0.48 | 0.90 | 2.30 | 2.56 | 2.76 | |
| Tomo | −0.29 | 0.53 | −0.48 | 0.96 | 0.46 | 1.26 | 1.67 | |
| Stations | Models | North (cm) | East (cm) | Up (cm) | 3D RMS (cm) | |||
|---|---|---|---|---|---|---|---|---|
| Bias | RMS | Bias | RMS | Bias | RMS | |||
| HKSC | Trad | −0.24 | 2.88 | −0.88 | 4.42 | 0.87 | 9.22 | 10.63 |
| Saas | −0.23 | 2.96 | −0.87 | 4.51 | 0.54 | 9.35 | 10.80 | |
| AN | −0.21 | 2.91 | −0.93 | 4.48 | 0.54 | 9.12 | 10.57 | |
| VMF1 | −0.21 | 2.87 | −0.96 | 4.52 | 0.63 | 9.35 | 10.77 | |
| Tomo | −1.19 | 2.98 | −0.05 | 4.02 | −0.64 | 6.39 | 8.11 | |
| HKLT | Trad | −0.33 | 2.52 | −1.43 | 4.53 | 2.07 | 8.76 | 10.18 |
| Saas | −0.35 | 2.44 | −1.53 | 4.29 | 1.81 | 8.72 | 10.02 | |
| AN | −0.35 | 2.45 | −1.43 | 4.42 | 1.76 | 7.49 | 9.88 | |
| VMF1 | −0.35 | 2.49 | −1.37 | 4.40 | 1.79 | 8.56 | 9.95 | |
| Tomo | −0.66 | 2.47 | −0.33 | 3.86 | −0.80 | 5.76 | 7.36 | |
| HKST | Trad | −0.54 | 2.54 | −1.46 | 4.23 | 1.47 | 8.74 | 10.04 |
| Saas | −0.54 | 2.49 | −1.47 | 4.33 | 1.23 | 8.79 | 10.11 | |
| AN | −0.52 | 2.45 | −1.48 | 4.27 | 1.16 | 8.57 | 9.89 | |
| VMF1 | −0.52 | 2.39 | −1.52 | 4.17 | 1.26 | 8.48 | 9.75 | |
| Tomo | −0.82 | 2.46 | −0.50 | 3.62 | −0.33 | 6.10 | 7.51 | |
| Stations | Models | North (min) | East (min) | Up (min) | 3D (min) | ||||
|---|---|---|---|---|---|---|---|---|---|
| Mean | STD | Mean | STD | Mean | STD | Mean | STD | ||
| HKSC | Trad | 22 | 22 | 55 | 45 | 43 | 29 | 63 | 71 |
| Saas | 21 | 21 | 56 | 50 | 42 | 29 | 54 | 42 | |
| AN | 21 | 22 | 53 | 43 | 42 | 30 | 56 | 51 | |
| VMF1 | 19 | 23 | 50 | 40 | 38 | 41 | 50 | 45 | |
| Tomo | 18 | 17 | 47 | 38 | 33 | 33 | 44 | 35 | |
| HKLT | Trad | 21 | 17 | 58 | 44 | 45 | 34 | 55 | 35 |
| Saas | 20 | 15 | 55 | 41 | 40 | 31 | 50 | 32 | |
| AN | 19 | 14 | 55 | 42 | 42 | 32 | 51 | 33 | |
| VMF1 | 19 | 14 | 51 | 39 | 36 | 29 | 45 | 31 | |
| Tomo | 18 | 14 | 49 | 37 | 33 | 24 | 43 | 27 | |
| HKST | Trad | 24 | 19 | 49 | 32 | 44 | 32 | 54 | 32 |
| Saas | 19 | 13 | 48 | 32 | 41 | 30 | 49 | 29 | |
| AN | 21 | 15 | 48 | 32 | 42 | 30 | 51 | 31 | |
| VMF1 | 18 | 12 | 46 | 32 | 35 | 26 | 45 | 27 | |
| Tomo | 17 | 11 | 44 | 30 | 32 | 22 | 41 | 23 | |
© 2018 by the authors. Licensee MDPI, Basel, Switzerland. This article is an open access article distributed under the terms and conditions of the Creative Commons Attribution (CC BY) license (http://creativecommons.org/licenses/by/4.0/).
Share and Cite
Yu, W.; Chen, B.; Dai, W.; Luo, X. Real-Time Precise Point Positioning Using Tomographic Wet Refractivity Fields. Remote Sens. 2018, 10, 928. https://doi.org/10.3390/rs10060928
Yu W, Chen B, Dai W, Luo X. Real-Time Precise Point Positioning Using Tomographic Wet Refractivity Fields. Remote Sensing. 2018; 10(6):928. https://doi.org/10.3390/rs10060928
Chicago/Turabian StyleYu, Wenkun, Biyan Chen, Wujiao Dai, and Xiaomin Luo. 2018. "Real-Time Precise Point Positioning Using Tomographic Wet Refractivity Fields" Remote Sensing 10, no. 6: 928. https://doi.org/10.3390/rs10060928
APA StyleYu, W., Chen, B., Dai, W., & Luo, X. (2018). Real-Time Precise Point Positioning Using Tomographic Wet Refractivity Fields. Remote Sensing, 10(6), 928. https://doi.org/10.3390/rs10060928
