Urban Imperviousness Effects on Summer Surface Temperatures Nearby Residential Buildings in Different Urban Zones of Parma
Abstract
:1. Introduction
2. Materials and Methods
2.1. Study Area and Summer Climate Characteristics
2.2. Daytime and Nighttime LST
2.3. Urban Imperviousness
2.4. Study Framework and Statistical Analyses
3. Results
3.1. Relationships between Daytime and Nighttime ST_BTFA and Imperviousness Density Groups
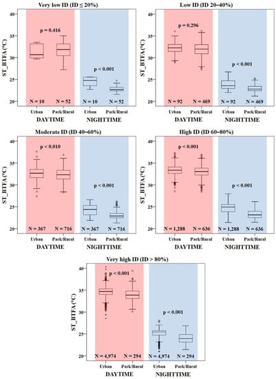
3.2. Relationships between Urban and Park/Rural ST_BTFA in Different Imperviousness Density Groups
4. Discussion
- The rise of ST_BTFA observed increasing the ID was mostly more consistent during daytime than nighttime, and in densely urban zones than park/rural zones:
- +1.0 °C and +0.7 °C per 20% increase of imperviousness were observed during daytime and nighttime respectively at the end of June;
- daytime ΔST_BTFA among ID groups was 3.3 °C in urban areas and 2.2 °C in park/rural areas; and
- nighttime ΔST_BTFA among ID groups was 1.3 °C in urban areas and 1.2 °C in park/rural areas.
- Within the same ID group, ST_BTFA differences between urban and park/rural areas were higher during nighttime (above 1 °C) than during daytime (about 0.5 °C).
- The strongest ID-related ST_BTFA increases were observed on days characterized by the maximum summer day-length and solar radiative load (days at the end of June).
5. Conclusions
Acknowledgments
Author Contributions
Conflicts of Interest
References
- United Nations, Department of Economic and Social Affairs, Population Division. World Urbanization Prospects: The 2014 Revision, Highlights ST/ESA/SER.A/352. Available online: https://esa.un.org/unpd/wup/publications/files/wup2014-highlights.Pdf (accessed on 3 October 2017).
- European Commission. Guidelines on Best Practice to Limit, Mitigate or Compensate Soil Sealing. Brussels, 12.4.2012, SWD, 101 Final. Available online: http://ec.europa.eu/environment/soil/pdf/soil_sealing_guidelines_en.pdf (accessed on 3 October 2017).
- European Environment Agency (EEA). The European Environment—State and Outlook 2015: Synthesis Report; European Environment Agency: Copenhagen, Denmark, 2015; ISBN 978-92-9213-515-7. [Google Scholar]
- Prokop, G.; Jobstmann, H.; Schönbauer, A. Report on Best Practices for Limiting Soil Sealing and Mitigating Its Effects; European Commission: Brussels, Belgium, 2011; 231p. [Google Scholar]
- Artmann, M. Assessment of Soil Sealing Management Responses, Strategies, and Targets Toward Ecologically Sustainable Urban Land Use Management. Ambio 2014, 43, 530–541. [Google Scholar] [CrossRef] [PubMed]
- Oke, T. City size and the urban heat island. Atmos. Environ. 1973, 7, 769–779. [Google Scholar] [CrossRef]
- McGregor, G.R.; Bessemoulin, P.; Ebi, K.L.; Menne, B. Heatwaves and Health: Guidance on Warning-System Development; World Meteorological Organization and World Health Organization: Geneva, Switzerland, 2015; Available online: http://www.who.int/globalchange/publications/WMO_WHO_Heat_Health_Guidance_2015.pdf (accessed on 5 May 2017)ISBN 978-92-63-11142-5.
- Ward, K.; Lauf, S.; Kleinschmit, B.; Endlicher, W. Heat waves and urban heat islands in Europe: A review of relevant drivers. Sci. Total Environ. 2016, 569, 527–539. [Google Scholar] [CrossRef] [PubMed]
- Wangpattarapong, K.; Maneewan, S.; Ketjoy, N.; Rakwichian, W. The impacts of climatic and economic factors on residential electricity consumption of Bangkok Metropolis. Energy Build. 2008, 40, 1419–1425. [Google Scholar] [CrossRef]
- Van Vliet, M.T.H.; Yearsley, J.R.; Ludwig, F.; Vögele, S.; Lettenmaier, D.P.; Kabat, P. Vulnerability of US and European electricity supply to climate change. Nat. Clim. Chang. 2012, 2, 676–681. [Google Scholar] [CrossRef]
- Qaid, A.; Lamit, H.B.; Ossen, D.R.; Shahminan, R.N.R. Urban heat island and thermal comfort conditions at micro-climate scale in a tropical planned city. Energy Build. 2016, 133, 577–595. [Google Scholar] [CrossRef]
- Gabriel, K.M.A.; Endlicher, W.R. Urban and rural mortality rates during heat waves in Berlin and Brandenburg, Germany. Environ. Pollut. 2011, 159, 2044–2050. Available online: http://www.theurbanclimatologist.com/uploads/4/4/2/5/44250401/urbanruralmortality.pdf (accessed on 6 October 2017). [CrossRef] [PubMed]
- Morabito, M.; Crisci, A.; Gioli, B.; Gualtieri, G.; Toscano, P.; Di Stefano, V.; Orlandini, S.; Gensini, G.F. Urban-hazard risk analysis: Mapping of heat-related risks in the elderly in major Italian cities. PLoS ONE 2015, 10, e0127277. [Google Scholar] [CrossRef] [PubMed]
- Chen, X.-L.; Zhao, H.-M.; Li, P.-X.; Yin, Z.-Y. Remote sensing image-based analysis of the relationship between urban heat island and land use/cover changes. Remote Sens. Environ. 2006, 104, 133–146. [Google Scholar] [CrossRef]
- Yuan, F.; Bauer, M.E. Comparison of impervious surface area and normalized difference vegetation index as indicators of surface urban heat island effects in Landsat imagery. Remote Sens. Environ. 2007, 106, 375–386. [Google Scholar] [CrossRef]
- Xiong, Y.; Huang, S.; Chen, F.; Ye, H.; Wang, C.; Zhu, C. The Impacts of Rapid Urbanization on the Thermal Environment: A Remote Sensing Study of Guangzhou, South China. Remote Sens. 2012, 4, 2033–2056. [Google Scholar] [CrossRef]
- Bektaş Balçik, F. Determining the impact of urban components on land surface temperature of Istanbul by using remote sensing indices. Environ. Monit. Assess. 2014, 186, 859–872. [Google Scholar] [CrossRef] [PubMed]
- Grover, A.; Singh, R.B. Monitoring Spatial Patterns of Land Surface Temperature and Urban Heat Island for Sustainable Megacity: A Case Study of Mumbai, India, Using Landsat TM Data. Environ. Urban. ASIA 2016, 7, 38–54. [Google Scholar] [CrossRef]
- Zhang, X.; Wang, D.; Hao, H.; Zhang, F.; Hu, Y. Effects of Land Use/Cover Changes and Urban Forest Configuration on Urban Heat Islands in a Loess Hilly Region: Case Study Based on Yan’an City, China. Int. J. Environ. Res. Public Health 2017, 26, 14. [Google Scholar] [CrossRef] [PubMed]
- Wu, C. Quantifying high-resolution impervious surfaces using spectral mixture analysis. Int. J. Remote Sens. 2009, 30, 2915–2932. [Google Scholar] [CrossRef]
- Lu, D.; Weng, Q. Extraction of urban impervious surfaces from IKONOS imagery. Int. J. Remote Sens. 2009, 30, 1297–1311. [Google Scholar] [CrossRef]
- Lu, D.; Hetrick, S.; Moran, E. Impervious surface mapping with Quickbird imagery. Int. J. Remote Sens. 2011, 32, 2519–2533. [Google Scholar] [CrossRef] [PubMed]
- Weng, Q. Remote sensing of impervious surfaces in the urban areas: Requirements, methods, and trends. Remote Sens. Environ. 2012, 117, 34–49. [Google Scholar] [CrossRef]
- Zhang, Y.; Guindon, B. Multispectral analysis for manmade surface extraction from RapidEye and SPOT5. Can. J. Remote Sens. 2012, 38, 180–196. [Google Scholar] [CrossRef]
- Zhang, H.; Jing, X.-M.; Chen, J.-Y.; Li, J.-J.; Schwegler, B. Characterizing Urban Fabric Properties and Their Thermal Effect Using QuickBird Image and Landsat 8 Thermal Infrared (TIR) Data: The Case of Downtown Shanghai, China. Remote Sens. 2016, 8, 541. [Google Scholar] [CrossRef]
- Congedo, L.; Sallustio, L.; Munafò, M.; Ottaviano, M.; Tonti, D.; Marchetti, M. Copernicus high-resolution layers for land cover classification in Italy. J. Maps 2016, 12, 1195–1205. [Google Scholar] [CrossRef]
- Munafò, M.; Assennato, F.; Congedo, L.; Luti, T.; Marinosci, I.; Monti, G.; Riitano, N.; Sallustio, L.; Strollo, A.; Tombolini, I.; et al. II Consumo di Suolo in Italia. Edizione 2015. Rapporti 218/2015; Istituto Superiore per la Protezione e la Ricerca Ambientale (ISPRA): Roma, Italy, 2015; ISBN 978-88-448-0703-0.
- ISPRA. Consumo di Suolo, Dinamiche Territoriali e Servizi Ecosistemici. Edizione 2016. Rapporti 248/2016; Istituto Superiore per la Protezione e la Ricerca Ambientale (ISPRA): Roma, Italy, 2016; ISBN 978-88-448-0776-4.
- Morabito, M.; Crisci, A.; Messeri, A.; Orlandini, S.; Raschi, A.; Maracchi, G.; Munafò, M. The impact of built-up surfaces on land surface temperatures in Italian urban areas. Sci. Total Environ. 2016, 551, 317–326. [Google Scholar] [CrossRef] [PubMed]
- Zhao, Q.; Myint, S.W.; Wentz, E.A.; Fan, C. Rooftop Surface Temperature Analysis in an Urban Residential Environment. Remote Sens. 2015, 7, 12135–12159. [Google Scholar] [CrossRef]
- Rubel, F.; Kottek, M. Observed and projected climate shifts 1901–2100 depicted by world maps of the Köppen-Geiger climate classification. Meteorol. Z. 2010, 19, 135–141. [Google Scholar] [CrossRef]
- Advanced Spaceborne Thermal Emission and Reflection Radiometer (ASTER). Available online: https://asterweb.jpl.nasa.gov/index.asp (accessed on 12 October 2017).
- ASTER Level 1 Precision Terrain Corrected Registered At-Sensor Radiance—Land Processes Distributed Active Archive Center (LP DAAC). Available online: https://lpdaac.usgs.gov/dataset_discovery/aster/aster_products_table/ast_l1t (accessed on 12 October 2017).
- Data Pool—Land Processes Distributed Active Archive Center (LP DAAC). Available online: https://lpdaac.usgs.gov/data_access/data_pool (accessed on 12 October 2017).
- GitHub Repository—Parma_Urban_Imperviouness. Available online: https://github.com/meteosalute/Parma_urban_imperviousness (accessed on 24 October 2017).
- Git Service Repository (Bitbucket)—LP DAAC Data User Resources/ASTER L1T. Available online: https://git.earthdata.nasa.gov/projects/LPDUR/repos/aster-l1t/browse (accessed on 26 November 2017).
- Congedo, L. Semi-Automatic Classification Plugin Documentation. Release 5.3.6.1. 2017. Available online: http://dx.doi.org/10.13140/RG.2.2.29474.02242/1 (accessed on 26 November 2017).
- National Environmental Information System Network—National Imperviousness Cartography. Available online: http://www.sinanet.isprambiente.it/it/sia-ispra/download-mais/consumo-di-suolo/carta-nazionale-consumo-suolo (accessed on 12 October 2017).
- Maucha, G.; Büttner, G.; Kosztra, B. European Validation of GMES FTS Soil Sealing Enhancement Data. In Proceedings of the 31st European Association of Remote Sensing Laboratories Symposium (EARSeL 2011): Remote Sensing and Geoinformation not Only for Scientific Cooperation, Prague, Czech Republic, 30 May–2 June 2011; pp. 223–238. [Google Scholar]
- Confini Delle Unità Amministrative a Fini Statistici. Available online: https://www.istat.it/it/archivio/124086 (accessed on 12 October 2017).
- E-R Geoportale-DBTR2013-Edificio-(EDI_GPG). Available online: http://geoportale.regione.emilia-romagna.it/it/catalogo/dati-cartografici/cartografia-di-base/database-topografico-regionale/immobili/edificato/dbtr2013-edificio-edi_gpg/?searchterm=edifici (accessed on 12 October 2017).
- IBM Corp. IBM SPSS Statistics for Windows; IBM Corp: Armonk, NY, USA, 2016. [Google Scholar]
- R Core Team. R: A Language and Environment for Statistical Computing; R Foundation for Statistical Computing: Vienna, Austria, 2017; Available online: http://www.R-project.org/ (accessed on 12 October 2017).
- Bivand, R.; Tim Keitt, T.; Rowlingson, B. Rgdal: Bindings for the ‘Geospatial’ Data Abstraction Library. R Package Version 1.2-13. 2017. Available online: https://cran.r-project.org/web/packages/rgdal/index.html (accessed on 12 October 2017).
- Hijmans, R.J. Raster: Geographic Data Analysis and Modeling. R Package Version 2.5-8. 2016. Available online: https://cran.r-project.org/web/packages/raster/index.html (accessed on 12 October 2017).
- Bivand, R.; Rundel, C. Rgeos: Interface to Geometry Engine—Open Source (‘GEOS’). R Package Version 0.3-25. Available online: https://cran.r-project.org/web/packages/rgeos/index.html (accessed on 12 October 2017).
- European Council Directive 80/181/EEC of 20 December 1979 on the Approximation of the Laws of the Member States Relating to Units of Measurement and on the Repeal of Directive 71/354/EEC. Journal of the European Communities No L 39/40 Official. Available online: http://eur-lex.europa.eu/legal-content/en/ALL/?uri=CELEX:31980L0181 (accessed on 14 December 2017).
- Kruskal, W.H.; Wallis, W.A. Use of ranks in one-criterion variance analysis. J. Am. Stat. Assoc. 1952, 47, 583–621. [Google Scholar] [CrossRef]
- Mann, H.B.; Whitney, D.R. On a test of whether one of two random variables is stochastically larger than the other. Ann. Math. Stat. 1947, 18, 50–60. [Google Scholar] [CrossRef]
- Essa, W.; van der Kwast, J.; Verbeiren, B.; Batelaan, O. Downscaling of thermal images over urban areas using the land surface temperature-impervious percentage relationship. Int. J. Appl. Earth Obs. Geoinf. 2013, 23, 95–108. [Google Scholar] [CrossRef]
- Mallick, J.; Rahman, A.; Singh, C.K. Modeling urban heat islands in heterogeneous land surface and its correlation with impervious surface area by using night-time ASTER satellite data in highly urbanizing city, Delhi—India. Adv. Space Res. 2013, 52, 639–655. [Google Scholar] [CrossRef]
- Essa, W.; Verbeiren, B.; Van der Kwast, J.; Batelaan, O. Evaluation of DisTrad thermal sharpening for urban areas. Int. J. Appl. Earth Obs. Geoinf. 2012, 19, 163–172. [Google Scholar] [CrossRef]
- Myint, S.W.; Wentz, E.A.; Brazel, A.J.; Quattrochi, D.A. The impact of distinct anthropogenic and vegetation features on urban warming. Landsc. Ecol. 2013, 28, 959–978. [Google Scholar] [CrossRef]
- Upmanis, H.; Eliasson, I.; Lindqvist, S. The influence of green areas on nocturnal temperatures in a high latitude city (Göteborg, Sweden). Int. J. Climatol. 1998, 18, 681–700. [Google Scholar] [CrossRef]
- Dimoudi, A.; Nikolopoulou, M. Vegetation in the urban environment: Microclimatic analysis and benefits. Energy Build. 2003, 35, 69–76. [Google Scholar] [CrossRef]
- Zhou, W.; Qian, Y.; Li, X.; Li, W.; Han, L. Relationships between land cover and the surface urban heat island: Seasonal variability and effects of spatial and thematic resolution of land cover data on predicting land surface temperatures. Landsc. Ecol. 2014, 29, 153–167. [Google Scholar] [CrossRef]
- Arnfield, A.J. Two decades of urban climate research: A review of turbulence, exchanges of energy and water, and the urban heat island. Int. J. Climatol. 2003, 23, 1–26. [Google Scholar] [CrossRef]
- Morabito, M.; Crisci, A.; Messeri, A.; Messeri, G.; Betti, G.; Orlandini, S.; Raschi, A.; Maracchi, G. Increasing Heatwave Hazards in the Southeastern European Union Capitals. Atmosphere 2017, 8, 115. [Google Scholar] [CrossRef]
- Benmarhnia, T.; Kihal-Talantikite, W.; Ragettli, M.S.; Deguen, S. Small-area spatiotemporal analysis of heatwave impacts on elderly mortality in Paris: A cluster analysis approach. Sci. Total Environ. 2017, 592, 288–294. [Google Scholar] [CrossRef] [PubMed]
- Xiao, J.; Spicer, T.; Jian, L.; Yun, G.Y.; Shao, C.; Nairn, J.; Fawcett, R.J.B.; Robertson, A.; Weeramanthri, T.S. Variation in Population Vulnerability to Heat Wave in Western Australia. Front. Public Health 2017, 5, 64. [Google Scholar] [CrossRef] [PubMed]
- Zheng, B.; Myint, S.W.; Fan, C. Spatial configuration of anthropogenic land cover impacts on urban warming. Landsc. Urban Plann. 2014, 130, 104–111. [Google Scholar] [CrossRef]
- Zhou, W.; Huang, G.; Cadenasso, M.L. Does spatial configuration matter? Understanding the effects of land cover pattern on land surface temperature in urban landscapes. Landsc. Urban Plann. 2011, 102, 54–63. [Google Scholar] [CrossRef]







| Date (Day/Month/Year) | Time of Day | Time (h:min:s) | Meteorological Characteristics of Parma |
|---|---|---|---|
| 25 June 2016 | Nighttime | 21:18:34 | Tmax 34 °C; Tmin 23 °C; RH 54%; Wind speed 5 km/h; Clear sky; No precipitation |
| 30 June 2015 | Daytime | 10:17:20 | Tmax 30 °C; Tmin 20 °C; RH 54%; Wind speed 7 km/h; Clear sky; No precipitation |
| 25 July 2010 | Daytime | 10:22:13 | Tmax 29 °C; Tmin 15 °C; RH 42%; Wind speed 6 km/h; Clear sky; No precipitation |
| 3 August 2016 | Daytime | 10:17:00 | Tmax 32 °C; Tmin 20 °C; RH 53%; Wind speed 6 km/h; Clear sky; No precipitation |
| 26 August 2015 | Nighttime | 21:18:34 | Tmax 29 °C; Tmin 17 °C; RH 63%; Wind speed 4 km/h; Clear sky; No precipitation |
| 6 September 2014 | Daytime | 10:22:52 | Tmax 28 °C; Tmin 18 °C; RH 68%; Wind speed 5 km/h; Clear sky; No precipitation |
| ST_BTFA (°C) | Imperviousness Density (ID) of the Building Thermal Functional Area (BTFA) | ||||
|---|---|---|---|---|---|
| Very Low ID ≤20% | Low ID 20–40% | Moderate ID 40–60% | High ID 60–80% | Very High ID >80% | |
| Daytime urban | (0.1%) | (1.0%) | (4.1%) | (14.5%) | (55.9%) |
| Median | 30.7 (a) | 32.3 (a) | 32.7 (b) | 33.3 (c) | 34.7 (d) |
| Average | 31.3 | 32.1 | 32.6 | 33.4 | 34.6 |
| St. dev. 1 | 1.5 | 1.3 | 1.4 | 1.2 | 1.1 |
| 95% C.I. 2 | 30.2–32.4 | 31.9–32.4 | 32.4–32.7 | 33.3–33.4 | 34.6–34.7 |
| Daytime park/rural | (0.6%) | (5.3%) | (8.1%) | (7.1%) | (3.3%) |
| Median | 31.8 (a) | 32.0 (a) | 32.3 (b) | 33.1 (c) | 33.9 (d) |
| Average | 31.7 | 32.0 | 32.3 | 33.0 | 33.9 |
| St. dev. 1 | 1.8 | 1.6 | 1.5 | 1.3 | 1.3 |
| 95% C.I. 2 | 31.2–32.2 | 31.8–32.1 | 32.2–32.4 | 32.9–33.1 | 33.8–34.1 |
| Nighttime urban | (0.1%) | (1.0%) | (4.1%) | (14.5%) | (55.9%) |
| Median | 24.8 (a-b-c) | 23.6 (a) | 24.4 (b) | 24.9 (c) | 25.4 (d) |
| Average | 24.4 | 23.8 | 24.2 | 24.6 | 25.1 |
| St. dev. 1 | 1.1 | 1.2 | 1.1 | 1.1 | 0.9 |
| 95% C.I. 2 | 23.7–25.2 | 23.5–24.1 | 24.1–24.4 | 24.6–24.7 | 25.1–25.2 |
| Nighttime park/rural | (0.6%) | (5.3%) | (8.1%) | (7.1%) | (3.3%) |
| Median | 22.7 (a) | 22.8 (a) | 22.9 (a) | 23.1 (b) | 23.9 (c) |
| Average | 22.8 | 22.9 | 23.0 | 23.3 | 24.0 |
| St. dev. 1 | 0.7 | 0.8 | 0.9 | 1.0 | 1.1 |
| 95% C.I. 2 | 22.6–23.0 | 22.9–23.0 | 22.9–23.1 | 23.2–23.4 | 23.8–24.1 |
© 2017 by the authors. Licensee MDPI, Basel, Switzerland. This article is an open access article distributed under the terms and conditions of the Creative Commons Attribution (CC BY) license (http://creativecommons.org/licenses/by/4.0/).
Share and Cite
Morabito, M.; Crisci, A.; Georgiadis, T.; Orlandini, S.; Munafò, M.; Congedo, L.; Rota, P.; Zazzi, M. Urban Imperviousness Effects on Summer Surface Temperatures Nearby Residential Buildings in Different Urban Zones of Parma. Remote Sens. 2018, 10, 26. https://doi.org/10.3390/rs10010026
Morabito M, Crisci A, Georgiadis T, Orlandini S, Munafò M, Congedo L, Rota P, Zazzi M. Urban Imperviousness Effects on Summer Surface Temperatures Nearby Residential Buildings in Different Urban Zones of Parma. Remote Sensing. 2018; 10(1):26. https://doi.org/10.3390/rs10010026
Chicago/Turabian StyleMorabito, Marco, Alfonso Crisci, Teodoro Georgiadis, Simone Orlandini, Michele Munafò, Luca Congedo, Patrizia Rota, and Michele Zazzi. 2018. "Urban Imperviousness Effects on Summer Surface Temperatures Nearby Residential Buildings in Different Urban Zones of Parma" Remote Sensing 10, no. 1: 26. https://doi.org/10.3390/rs10010026
APA StyleMorabito, M., Crisci, A., Georgiadis, T., Orlandini, S., Munafò, M., Congedo, L., Rota, P., & Zazzi, M. (2018). Urban Imperviousness Effects on Summer Surface Temperatures Nearby Residential Buildings in Different Urban Zones of Parma. Remote Sensing, 10(1), 26. https://doi.org/10.3390/rs10010026

