Two methods are widely used to assess the financial consequence of a leakage accident. The first one is the worst scenario method. In this method, rupture is involved in the analysis, and the results are generally unrealistic with an overestimated prediction. In contrast, the weighted average method by Equation (18) is usually preferred because it uses a frequency concept for each leakage hole size, and hence provides appropriate evaluations.
In this study, the weighted average was calculated as follows. The release by small leakage and rupture was considered in 1 inch pipe. For 2 inches and 4 inches pipe, small, medium, and rupture leakage were implemented. The weighted average of vessel type included small, medium, large, and rupture leakage. As for the leakage by rupture of the vessel, the hole size was configured to 406 mm according to the guidelines presented by API [
10].
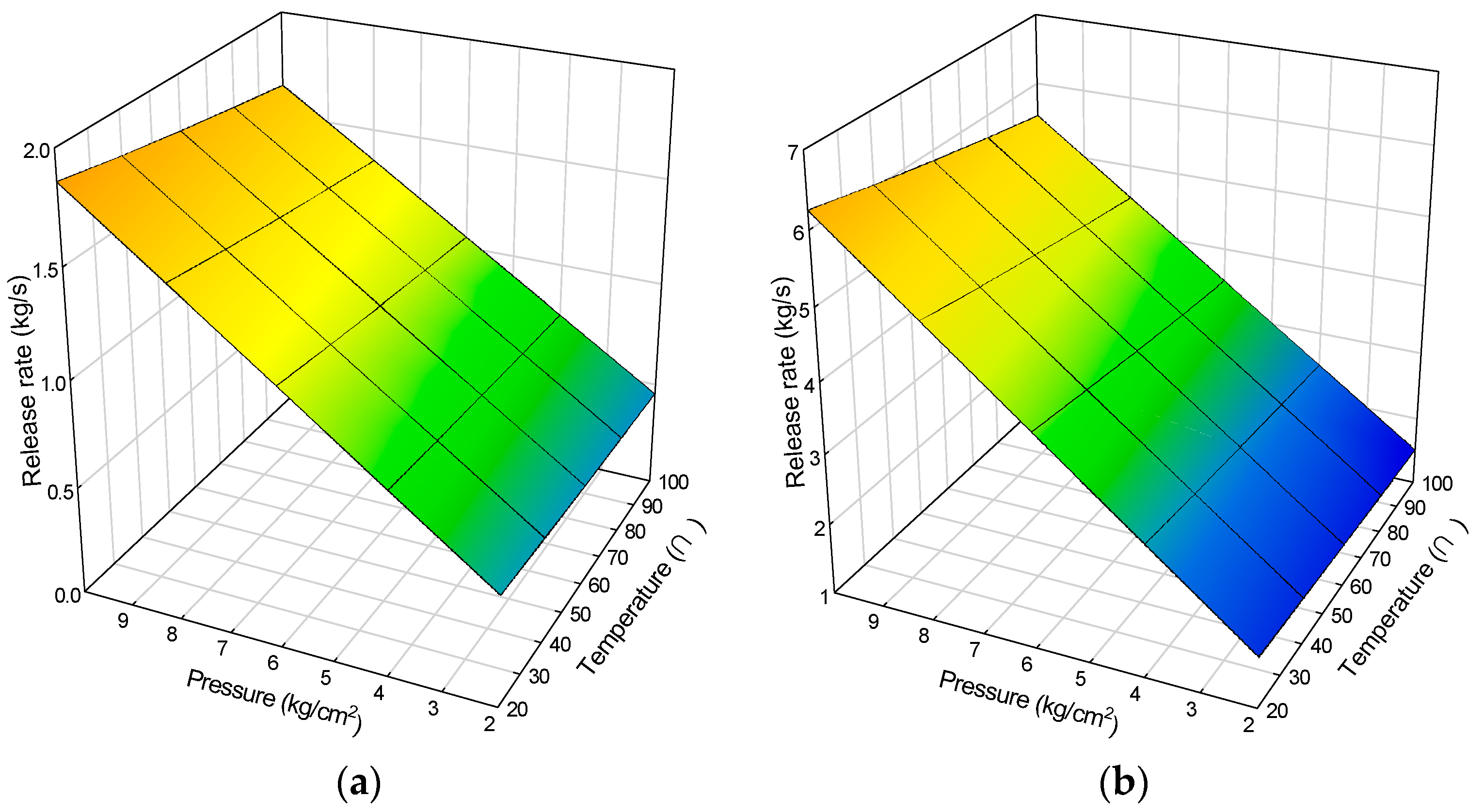
5.1. Leakage Rate
The impacts of the leakage rates of NG and H
2, by varying the temperature and pressure, are shown in
Figure 4. Pressure influenced the leakage rate more significantly than temperature, and at low pressures, changing the temperature had no noticeable influence on the leakage rate. However, at higher pressures, a decrease in temperature caused a moderate increase in leakage rate. This can be explained by considering that at high temperatures, the mass flow rate decreases even if the volumetric flow rate increases. The leakage rate from the 4-inch pipe was approximately 10 times higher than that from the 1-inch pipe. This disparity is explained by considering that the 1-inch pipe only permitted small leaks and ruptures while the larger pipe also permitted leakage from medium-sized holes.
The leakage rates for H
2 (
Figure 4a,c) were lower than those of NG (
Figure 4b,d). This was because, at the same temperature and pressure, the molecular weight of NG (
= 16) is eight times greater than that of H
2 (
= 2). Because the leakage rate is proportional to the square root of the molecular weight, this resulted in a leakage rate of NG that was approximately three times greater than that of H
2. The amount of gas in the inventory and the detection and isolation systems were confirmed to have no effect on the leakage rate. Instead, these factors only affected the financial losses by influencing how long the leakage continued.
The weighted average leakage rates of H
2 and NG from vessels are shown in
Figure 5, which represented similar trends to those observed in
Figure 4 for leakage from pipework. The leakage rate of NG was a factor of three greater than that of H
2. However, the actual rates of leakage from the vessels were significantly higher than those observed from pipework because, unlike for pipework, leakage from all hole sizes was possible. For scenarios with leakage through large holes and ruptures, representative sizes of 102 and 406 mm were used, respectively.
5.2. Impact of Various Factors on Total Cost
Because both NG and H2 evaporate completely upon being leaked, there was no need to consider the environmental cleaning costs. Consequently, the total financial losses were calculated from the costs of stopping the facility, damage to the facility, and safety costs.
Figure 6 shows the weighted total financial costs for 1- and 4-inch pipe. Similar results were obtained for the individual components (not shown). For leakage from the 1-inch pipe, the maximum costs for H
2 and NG were USD (The United States Dollar) 2.61 × 10
5 and 2.53 × 10
5, respectively. The respective amounts for the 4-inch pipe were USD 4.75 × 10
5 and 5.60 × 10
5. It is remarkable that the cost of H
2 leakage was higher than that of NG in the case of the 1-inch pipe, but lower for the 4-inch pipe case. Additionally, the total costs were much more influenced by the costs associated with stopping production and safety than the costs associated with damage to the facility.
The costs of leakages from vessels are shown in
Figure 7. Costs associated with leakages from the reactor (USD
) were greatest, followed by those from the drum (USD
), filter (USD
), and heat exchanger (USD
). The facility stoppage or outage costs were higher for the filter than those associated with the heat exchanger. The order was reversed for costs associated with damage to facilities, but these costs were less important to the total costs.
Figure 8 shows the results for leakages from pipes with H
2 inventories of 1000 and 2000 kg. For the basal conditions (H
2 inventory of 1400 kg), the total cost was USD
(
Figure 6c). The total cost appeared to change with the inventory: The total cost was slightly lower than the baseline value for an inventory of 1000 kg (USD
) and slightly higher for an inventory of 2000 kg (USD
). When the leakage occurred from the drum under the standard conditions, the total cost was insensitive to the inventory amount at USD
(
Figure 7a).
In normal qualitative risk analysis, increasing the size of the inventory increases the impact of any leakage. However, such analyses rarely consider the detection and isolation systems, instead modeling only the worst-case scenarios. Here, the leakage duration (and thus the ultimate leakage amount) was limited by these systems, as denoted in the methodology. Incorporating these systems decreased the total cost and negated any impact on it from changing the inventory amount. Because the leakage rate from pipes was lower than that from vessels, pipes required a longer leakage duration to achieve the maximum leakage amount and they were therefore more impacted by the implementation of detection and isolation systems. The results for leakages from pipes and vessels were similar to the trends shown in
Figure 8.
Figure 9 shows the total costs associated with various detection and isolation systems. Changes in temperature and pressure produced results that compared with the baseline trends (see
Figure 6c and
Figure 7a). For a leak from a 4-inch pipe, the maximum total costs, when using detection/isolation sets A, B, and C, were USD
,
, and
, respectively. For leakage from a drum, the respective values were USD
,
, and
. The ability of automatic detection and isolation systems to decrease the leakage duration by accelerating both detection and isolation decreased the amount of gas leaked, the fire and explosion risk the leak posed, and ultimately the total cost of the leak. The opposite was true when detection and isolation were carried out manually. These results suggest that minimizing the consequences of leakages in H
2 fuel cell systems requires a system that can monitor the gas flow within the system and can automatically isolate any leakages that occur.
The higher cost of stainless steel meant that damage to a facility constructed of this material was more costly than one constructed of carbon steel. For leakage from a 4-inch pipe made of 304SS type stainless steel (
Figure 10a) or 316SS, the total costs were USD
, higher than those for a facility constructed of carbon steel. However, because costs related to facility damage were a relatively small portion of the total costs, changing the material only had a negligible impact on the total cost. However, the change was more clearly shown in the case of damage to the drum because the cost of vessels was higher than that of pipes. Here, the total costs when using the 316SS type stainless steel (
Figure 10d), 304SS type stainless steel (
Figure 7a), and carbon steel (
Figure 10c) for the drum material were USD
,
, and
, respectively.