Next Article in Journal
From Engagement to Resilience: A Systematic Review of Game-Based Learning for Environmental Resilience
Previous Article in Journal
What Models Do Not Say: Ecosystem Services Dynamics in Asinara National Park (Sardinia, It)
 
 
Font Type:
Arial Georgia Verdana
Font Size:
Aa Aa Aa
Line Spacing:
Column Width:
Background:
Article

Power System Resource Adequacy Assessment and Capacity Remuneration Mechanism Considering Spatiotemporal Correlation of Generation and Load

1
Key Laboratory of New Power Utilization Technologies and Equipment, Shandong University of Technology, Zibo 255000, China
2
School of Electrical and Electronic Engineering, Shandong University of Technology, Zibo 255000, China
3
Economic and Technical Research Institute, State Grid Shandong Electric Power Company, Jinan 250021, China
*
Author to whom correspondence should be addressed.
Sustainability 2026, 18(5), 2300; https://doi.org/10.3390/su18052300
Submission received: 4 February 2026 / Revised: 16 February 2026 / Accepted: 24 February 2026 / Published: 27 February 2026

Abstract

To address heightened source–load uncertainty and strengthened spatiotemporal dependence under high-penetration wind and photovoltaic integration, and to support a low-carbon and sustainable transition of power systems without compromising reliability, this study aims to develop a practical framework that converts spatiotemporally correlated uncertainty into actionable inputs for adequacy evaluation and reliability-constrained capacity-compensation decisions. First, a spatiotemporally correlated joint source–load forecasting model is established to generate statistically consistent joint uncertainty scenarios for operational risk analysis. Second, system adequacy is quantified using Loss of Load Probability and Expected Energy Not Served, and the computational burden is reduced through typical-day/representative-scenario construction with probability weighting, enabling efficient yet risk-preserving adequacy assessment. Finally, a risk-driven unified capacity-compensation clearing model is formulated that incorporates resource marginal costs and an unserved-energy penalty, while enforcing explicit reliability constraints to obtain economically optimal compensation decisions. Case studies demonstrate that the proposed framework effectively mitigates loss-of-load risk and improves both the economic performance and computational efficiency of compensation clearing. These results can support system operators and market operators in scenario-based adequacy studies and reliability-constrained clearing, and provide regulators and planners with quantitative evidence for designing capacity-remuneration mechanisms that facilitate secure renewable integration and sustainable power system operation.

1. Introduction

With the growth of global energy demand and the large-scale integration of renewable energy, the reliability and stability of power systems are facing new challenges. In 2017, the South Australian power grid experienced widespread unplanned outages due to lower-than-expected wind power output compounded by extreme heat, resulting in a load loss of 300,000 kW [1]. In 2019, simultaneous tripping of multiple large generating units in the United Kingdom triggered a large-scale blackout, affecting approximately one million customers and causing a load loss of about 3.2% [2]. In 2021, Texas, USA, was hit by a severe snowstorm; widespread icing forced many wind turbines offline, contributing to large-scale power outages across the state [3]. In 2022, Sichuan faced an insufficient system reserve margin under reduced rainfall in the Yangtze River basin and record-high electricity demand during extreme heat, leading to a five-day suspension of industrial electricity consumption [4]. These events highlight persistent shortcomings in resource adequacy and the capacity compensation mechanism. In 2024, the CPC Central Committee and the State Council issued the Action Plan for Accelerating the Construction of a New Power System (2024–2027) [5], which identifies power system stability assurance as the first dedicated action. Therefore, accurate resource adequacy assessment and effective implementation of the capacity compensation mechanism are essential.
For resource adequacy assessment, it is first necessary to perform uncertainty forecasting of renewable generation within the system. Existing studies on wind power forecasting can generally be classified, according to the sources of historical data, into deep learning methods and statistical analysis methods [6]. Deep learning methods include support vector machine models [7], artificial neural network models [8], and radial basis function network models [9]. Their main advantage lies in deep feature extraction from data, while they often suffer from limited interpretability and instability in training. Statistical analysis methods typically start from correlation characterization and can be further divided into two paths: temporal correlation and spatial correlation. Temporal correlation describes the evolution of generation and load across consecutive time steps, whereas spatial correlation captures the dependence among multiple sources induced by meteorological conditions and geographical proximity. For temporal correlation modeling, ref. [10] proposed a Markov chain Monte Carlo framework that generates synthetic wind power time series by constructing state partitioning and state transition mechanisms. Building on this, ref. [11] further combined Markov chains with Copula theory to simulate joint wind–solar power output time series, thereby reducing the randomness introduced by conventional sampling. On the load side, ref. [12] modeled the impact of traffic behavior on charging load under a “vehicle–road–network” coupled framework, enabling spatiotemporal forecasting of charging load and analyzing its effects on distribution network power flow. With regard to multi-source correlation and scenario generation, Ref. [13] characterized both spatial dependence among multiple wind farms and the temporal structure to develop a spatiotemporally correlated generation scenario generation and evaluation method. Ref. [14] further considered coupled factors of generation, load, and environment, and directly constructs a joint wind–solar–load scenario generation model to extract multidimensional temporal features and characterize probabilistic dependence. In summary, although existing research has made progress in correlation characterization on the generation side and spatiotemporal forecasting on the load side, generation and load are often forecast separately. There remains a lack of a unified generation–load spatiotemporal correlation joint characterization framework that outputs consistent joint uncertainty inputs.
Under high penetration of renewable energy integration, spatiotemporally correlated fluctuations of wind and solar generation, and the peakier load profile are significantly intensified. Consequently, resource adequacy assessment is shifting from the traditional redundancy check based on installed capacity toward a probabilistic characterization of time-sequenced supply–demand mismatch and compounded multi-source uncertainty risk, which calls for quantitative assessment methods that can directly support capacity compensation mechanism design and operating reserve allocation decisions. Ref. [15], targeting coordinated adequacy assurance of diversified resources in a new power system, employed sequential Monte Carlo simulation and a two-state component probability model to represent random outages and output variability, and proposes a reliability-constraint-based capacity compensation mechanism with corresponding pricing ideas, thereby enabling integrated modeling of “assessment–assurance mechanism”. Ref. [16], focusing on multi-day supply–demand imbalance risk, developed an extreme weather scenario construction and risk metric framework, which incorporates long-horizon energy shortfalls into planning decisions, and formulates a computable risk-constraint structure to better capture persistent loss-of-supply events. Ref. [17] summarized risk characteristics of the new power system from a system-risk perspective and proposes an indicator system and assessment framework covering multi-source uncertainty and multi-timescale operation, providing a unified metric view for subsequent adequacy–risk coupled modeling. Ref. [18], addressing operational reliability of distribution and utilization power systems with distributed energy resources, systematically reviewed reliability modeling and assessment pathways under DERs, flexible loads, and network topology constraints, emphasizing the impact of source–network–load coupling on reliability-index evaluation. However, in compensation market clearing and operating reserve optimization, it remains difficult to simultaneously ensure the usability of assessment inputs and the efficiency of scenario reduction, and the effective characterization of extreme risk is still insufficient.
The capacity compensation mechanism is an important supplement to electricity market development. An efficient capacity compensation mechanism is essential for ensuring the stable operation of electricity markets, stabilizing generator revenues, and improving resource adequacy. Existing studies mainly follow three lines of research: “mechanism design–market clearing and settlement–cost recovery and incentive compatibility”. Ref. [19] addressed insufficient peak regulation caused by renewable uncertainty and the difficulty of recovering flexibility costs, and proposes a capacity compensation mechanism in which the fixed costs of thermal power are allocated to renewable energy. Ref. [20], in the context of China’s spot market development, discussed key design elements of the capacity compensation mechanism from a market-based perspective, including its role, cost recovery, and its linkage with energy market settlement. Ref. [21] developed a joint market-clearing model for the day-ahead energy market and the deep peak regulation market, embedding compensation costs into the clearing process to achieve coordinated optimization. Ref. [22], motivated by flexible regulation needs, proposed a capacity market clearing and pricing method to form capacity incentive price signals. Ref. [23] proposed an overall design framework for a capacity mechanism/capacity market under China’s market environment, emphasizing the role of a rule system in supporting resource adequacy and investment incentives. Overall, these studies mainly focus on mechanism frameworks or deterministic market-clearing designs. The capacity compensation mechanism often lacks a tightly coupled implementation between “time-sequenced scenario inputs that can represent extreme risk” and “optimization-based market clearing models that can directly enforce constraints or penalties”, which either leads to heavy computational burdens due to a large number of scenarios or results in insufficient compensation during extreme periods.
The summary table of the literature review is presented in Table 1. To address the above issues, this study develops an integrated technical pipeline from forecasting to adequacy assessment and capacity compensation, as illustrated in Figure 1. First, by deeply coupling the Markov-chain state-transition sampling in the temporal dimension with Copula-based spatial dependence modeling, we propose a joint forecasting framework that simultaneously captures the spatiotemporal correlation of wind and solar generation and the corresponding prediction confidence interval. Second, based on the spatiotemporal correlation forecasting results, we generate statistically consistent generation–load uncertainty inputs. Through representative-day reduction and representative scenario construction, extreme risk is “compressed with fidelity” into a limited set of scenarios. Then, Loss of Load Probability and Expected Energy Not Served are used to probabilistically quantify loss-of-load risk, providing time-sequenced scenarios and risk-measure data that can be directly invoked by subsequent optimization. Finally, we establish an available compensation capacity model and a marginal cost basis for multiple resources, including thermal power, hydropower, energy storage systems, and interruptible load. Under the dual-insurance design of an EENS penalty function and an LOLP risk constraint, a bilevel compensation market-clearing model is formulated to perform representative-day hourly compensation market clearing under hourly risk constraints and to aggregate them into an intraday compensation schedule via probability weighting. Market settlement is implemented through a market-clearing price mechanism. A bilevel iterative particle swarm optimization algorithm is further developed to realize a closed-loop solution process of “bidding–market clearing–feedback–iteration”, thereby transforming the risk-measure results from resource adequacy assessment into quantitative information that can be directly used for compensation market-clearing decisions.

2. Source–Load Forecasting Considering Spatiotemporal Correlation

Source–load forecasting can support both day-ahead scheduling and intra-day or hourly rolling decision-making in power system operation. Within a unified mathematical framework, the forecasting model developed in this paper can flexibly accommodate operational requirements at different time scales by adjusting the forecasting start time and the length of the forecasting horizon.

2.1. Wind and PV Output Forecasting Considering Spatiotemporal Correlation

Wind and photovoltaic generation outputs exhibit pronounced temporal dependence at the hourly time scale, i.e., the output states of adjacent time periods are statistically dependent. The system load also shows strong temporal correlation and is coupled with wind/PV outputs. Using a Markov chain model, the current output can be characterized based on a finite historical sequence, thereby effectively capturing such temporal dependence.
Conventional Markov-chain sampling methods can only derive the probability distribution of outputs under each state and cannot directly predict specific wind/PV output states. To address this limitation, this paper integrates Markov chains with statistical simulation techniques: output variations are discretized into multiple states, and extensive simulations are conducted at each time instant to generate sample data. The resulting samples are used to estimate state transition probabilities, yielding a time-varying state transition matrix. By jointly considering the state transition matrices across time and the output-variation ranges associated with each state, effective forecasting of wind/PV generation is achieved. The overall procedure is illustrated in Figure 2.
In forecasting, it is necessary not only to predict the source–load outcomes at the next time instant, but also to extend the prediction to multiple consecutive time instants. To this end, a recursive sampling approach can be adopted: the forecast at each time instant is used as the input for forecasting the subsequent instant, thereby forming a set of forecast trajectories.
Assume that the system contains N0 forecasting targets, including wind/PV plants and the aggregate load. Let the power of target q at time t be Pq,t, and let its reference upper limit be given in P q max . The normalized series is defined as follows:
x q , t = P q , t P q max , x q , t [ 0 , 1 ] , q = 1 , , N o .
where q denotes the index of the forecasting target, t denotes the hourly discrete time instant, Pq,t denotes the power of target q at time t, and the normalization base is given in P q max . xqt denotes the normalized power series.
For any forecasting target, the value range of the normalized power P ˜ t [ 0 , 1 ] is partitioned into KM state intervals, and a discrete state variable is used to indicate which interval each time instant belongs to. Let the state boundaries be 0 = ζ 0 < ζ 1 < < ζ K M = 1 ; then the k-th state interval is defined as follows:
I k = [ ζ k 1 , ζ k ) , k = 1 , 2 , , K M
Based on the above definitions, the discrete state variable Z q , t { 1 , , K M } is defined as follows:
Z q , t = k x q , t I k , Z q , t { 1 , , K M }
where KM is the number of Markov-chain states, ζ k denotes the state boundaries, I k is the k-th state interval, and Zq,t represents the discrete state of target q at time t.
To improve statistical stability and avoid having too few samples in certain states, the state boundaries are determined via empirical quantile binning:
ζ k = Q ^ x k K M , k = 0 , 1 , , K M
where Q x ( ) is the sample quantile function.
To characterize the intraday periodicity of wind/PV generation and load, a time-segmented transition matrix is adopted by mapping each time instant t to a group index g ( t ) { 1 , , G } . In this study, hourly grouping is used with G = 24 , and the state-transition frequencies are counted within each hour.
Let C a b ( g ) denote the number of transitions from state a b in group g. To avoid zero transition probabilities caused by insufficient samples, a smoothing term ε h > 0 is introduced, and the transition probability is estimated as follows:
π ^ a b ( g ) = C a b ( g ) + ε Π b = 1 K M C a b ( g ) + K M ε Π , a , b { 1 , , K M }
Accordingly, the transition matrix for group g is Π ^ ( g ) = π ^ a b ( g ) .
Here, g ( t ) is the time-segment index of time t; C a b ( g ) is the transition count a b within group g; ε Π is the smoothing coefficient; π ^ a b ( g ) is the estimated transition probability; and Π ^ ( g ) is the transition matrix for group g.
For multi-step forecasting, a recursive sampling strategy is used to generate a set of state trajectories. Let the number of sampled trajectories be M, and the prediction horizon be H. For the m-th trajectory of target q, given Z q , t ( m ) , the next-step state is sampled from the corresponding row of the transition matrix:
Z q , t + 1 ( m ) ~ Cat π ^ Z q , t ( m ) , 1 ( g ( t ) ) , , π ^ Z q , t ( m ) , K M ( g ( t ) ) , m = 1 , , M
After obtaining the trajectory state z q , t ( m ) recursively, a continuous sample is drawn uniformly within the corresponding interval:
x q , t ( m ) ~ U ζ Z q , t ( m ) 1 , ζ Z q , t ( m ) , P q , t ( m ) = P q max x q , t ( m )
where m = 1 , , M indexes the sampled trajectories; U ( ) denotes a uniform distribution over an interval; x q , t ( m ) and P q , t ( m ) are the normalized and power samples of the m-th trajectory at time t, respectively.
For each target q, the sample mean is taken as the time forecast, considering temporal correlation only:
P ^ q , t + 1 = 1 M m = 1 M P q , t + 1 ( m )
or wind, PV, and load forecasting, correlation exists not only in the temporal dimension but also in the spatial dimension. By performing joint forecasting of wind, PV, and load at different locations to account for spatial correlation, the uncertainties of individual series can be mutually reduced, thereby improving the overall stability and accuracy of the forecasts.
Considering the nonlinear correlation characteristics of wind and PV outputs within the same region, this paper adopts a dynamic C-Copula function to construct a dynamic copula model for the joint wind–PV output in the region. The dynamic C-Copula function features asymmetric tail characteristics, with stronger lower-tail dependence and weaker upper-tail dependence, and is more sensitive to variations in the lower tail of the joint distribution. Therefore, it can effectively characterize the correlation patterns when wind, PV, and load are relatively low [24].
This study uses the Akaike information criterion (AIC) and Bayesian information criterion (BIC) to evaluate the goodness of fit of candidate models, and further uses the maximum log-likelihood (LogL) to compare the fitting performance of dynamic and static models under the same copula family. The definitions of AIC and BIC are given by the following:
AIC j = 2 d j 2 l j , BIC j = d j ln N cp 2 l j
where dj is the number of model parameters, l j is the maximized log-likelihood value, and Ncp is the sample size.
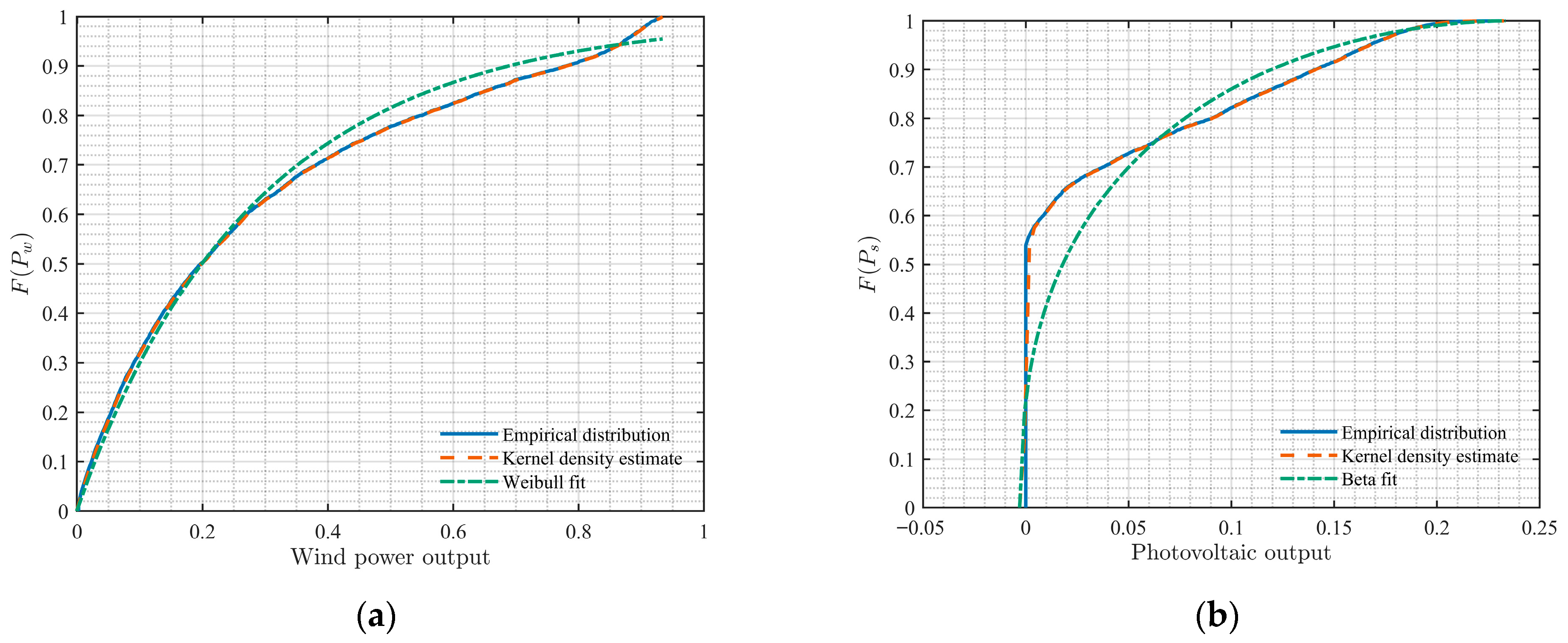
Assume that the system contains n wind and PV plants in total. Based on the wind and PV output forecast data under different forecasting horizons, considering temporal dependence as generated above, a nonparametric method is applied to obtain the marginal distribution of wind and PV power. The nonparametric method is based on empirical distributions and nonparametric kernel density estimation, where the empirical distribution function of wind and PV power is used as an approximation of the population distribution. The probability density function of nonparametric kernel density estimation is given by the following equation:
f ( x ) = 1 N h d = 1 N K ( x x i h )
In this equation, h is the smoothing parameter, h > 0; K ( ) is the kernel function, and xi is a sample of the random variable x. By integrating f(x), the corresponding marginal distribution function can be obtained.
For system load, since it exhibits pronounced intraday periodicity, intraweek periodicity, and seasonal characteristics, this paper models the marginal distribution of load power under a day-ahead rolling forecasting framework using a nonparametric method based on conditional grouping. Specifically, the month, day-type of the week, and hour corresponding to the forecasting time instant are taken as conditioning variables, and historical load samples sharing the same conditioning characteristics as the forecasting time instant are selected to form the corresponding sample set. On this basis, the sample set is modeled using the empirical distribution function or nonparametric kernel density estimation to obtain the marginal distribution function of load under the given conditions. With this approach, the marginal distribution of load power can effectively capture the statistical characteristics of load uncertainty under different time conditions while retaining the advantages of nonparametric modeling.
After obtaining the marginal distribution functions of each wind/PV plant and the load, the C-Copula function is used to connect them pairwise to derive the dynamic correlation coefficients.
In the dynamic copula model, estimating the correlation coefficients is transformed into estimating the parameters in the evolution equation. Using nonparametric kernel density estimation, the wind power output series wi and si are substituted into the evolution equation of the dynamic C-Copula function, which is expressed as follows:
τ C , t = Λ ¯ ( ϑ + β τ t 1 + α 1 10 j = 1 10   w t j s t j   )
In this equation, ϑ , β , and α are parameters to be estimated; Λ ¯ = ( 1 e x ) / ( 1 + e x ) is the logistic function, which is introduced to ensure τ C , t ( 1 , 1 ) .
The evolution equation transforms the static τ into the dynamic τ C , t and the corresponding likelihood function is also changed from a function of the correlation coefficient θ to a function of the evolution-equation parameters ϑ , β , and α . By solving the likelihood function, the maximum log-likelihood estimate LogL and the corresponding ϑ , β , and α can be obtained. Substituting ϑ , β , and α together with wi and si into the evolution equation yields the dynamic correlation-coefficient series τ C , t . By evaluating all plant pairs, the spatial correlation-coefficient matrix at each time instant can be obtained as follows:
R t = 1 ρ 12 , t ρ 1 ( n + 1 ) , t ρ 21 , t 1 ρ 2 ( n + 1 ) , t ρ ( n + 1 ) 1 , t ρ ( n + 1 ) 2 , t 1
In this equation, ρ i , j , t denotes the correlation coefficient between variable i and variable j at time t. The n + 1 variable corresponds to the total system load of the single region, so that the matrix simultaneously characterizes multi-plant spatial correlation and source–load coupling correlation.
Based on the spatial correlation-coefficient matrix at each time instant, a regression adjustment model considering spatial correlation is constructed to obtain the final forecast outputs at each time instant:
P t , 1 , f o r e = 1 N s l i = 1 M α t , i + β t , i P f o r e , t , i
Historical data are used to estimate the parameters of the adjustment model. The regression coefficients α and β can be estimated using the least squares method:
α i , t = μ 1 , t β i , t μ i , t β i , t = τ 1 i , t σ 1 , t σ i , t
In this equation, Nsl is the total number of wind/PV plants and the load; P t , 1 , f o r e is the final forecast output of wind/PV Plant 1 in period t; P f o r e , t , i is the forecast value of the i-th wind/PV plant considering only temporal dependence; ρ i , j , t is the spatial correlation coefficient between plant i and the i-th wind/PV plant in period t; μ i , t is the mean output of the i-th wind/PV plant in period t; and σ i is the standard deviation of the output of the i-th wind/PV plant.

2.2. Construction of Prediction Confidence Intervals

To characterize the uncertainty in spatiotemporal-correlation-based forecasting, this paper describes the uncertainty of the forecasting results by setting confidence intervals based on the joint consideration of temporal dependence and spatial correlation. Confidence intervals can effectively reflect the fluctuation range of the forecast values, thereby providing explicit boundary information for subsequent decision-making.
This paper adopts nonparametric kernel density estimation to construct the prediction intervals. The selected kernel function is the Gaussian kernel function, and its expression is as follows:
g ( x ) = 1 2 π μ f o r e exp ( ( x μ f o r e ) 2 2 σ f o r e 2 )
In this equation, μfore denotes the mean of the forecasting error, and σfore denotes the standard deviation. After selecting the kernel function, nonparametric kernel density estimation is used to compute the probability density distribution of the PV power forecasting error, and then the prediction confidence interval is constructed. Its definition is as follows:
e = P f o r e P t r u e
In this equation, P f o r e and P t r u e denote the forecast power value and the actual value, respectively.
Using the wind and PV power forecasting errors, the confidence interval is constructed as follows:
P ( e l o w < e < e u p ) = 1 θ
In this equation, P ( e l o w < e < e u p ) denotes the confidence interval; 1 − θ denotes the confidence level; eup and elow are the lower and upper bounds corresponding to the confidence level. The resulting lower and upper bounds of the forecast power are as follows:
P f o r e e u p , P f o r e e l o w
In summary, this subsection derives the probabilistic distribution of photovoltaic power forecast errors via kernel density estimation and constructs the lower and upper bounds of the prediction interval under the confidence level 1 − θ, as shown in Equation (18). This interval extends point forecasts to quantifiable uncertainty bounds, providing boundary inputs for subsequent joint source–load scenario construction and typical-day/representative-scenario reduction. It further supports the probabilistic calculation of adequacy risk metrics such as Loss of Load Probability and Expected Energy Not Served, as well as the specification of risk constraints in the compensation-clearing model.

2.3. Evaluation Metrics

2.3.1. Evaluation Metrics for Prediction Confidence Intervals

This paper selects Prediction Interval Coverage Probability and Mean Prediction Interval Width as the evaluation metrics. The former is used to measure how well the prediction intervals cover the true observations, while the latter reflects the precision of the prediction intervals.
Prediction Interval Coverage Probability indicates the proportion of true values that fall within the prediction intervals among all forecast samples. A higher Prediction Interval Coverage Probability generally implies stronger coverage capability. The indicator function is defined as follows:
I y i L i , U i = 1 , y i L i , U i 0 , o r
In this equation, L i and U i are the lower and upper bounds of the prediction interval, respectively, and yi is the true value.
The calculation formula of the Prediction Interval Coverage Probability is as follows:
P I C P = 1 N i = 1 N I y i L i , U i
Mean Prediction Interval Width is used to measure the average width of the prediction intervals and reflects the magnitude of forecasting uncertainty. Its calculation formula is as follows:
M P I M = 1 N i = 1 N ( U i L i )
In summary, the Prediction Interval Coverage Probability measures the ability of the prediction interval to cover the true observations, while the Mean Prediction Interval Width characterizes the interval width and the sharpness of the prediction. Together, they reflect the effectiveness and reliability of interval forecasting. Since a trade-off typically exists between coverage and sharpness, an ideal prediction interval should keep the coverage probability close to the target confidence level while maintaining a small mean interval width.

2.3.2. Forecast Accuracy Metrics

To evaluate the performance of the forecasting model, this paper introduces Root Mean Square Error and Mean Absolute Error as statistical metrics. Root Mean Square Error is more sensitive to large deviations and can highlight errors on extreme samples, while Mean Absolute Error is based on the mean of absolute errors and better reflects the overall forecasting accuracy. The calculation formulas are given as follows:
R M S E = 1 N i = 1 N y i y ^ i 2
M A E = 1 N i = 1 N y i y ^ i
In this equation, y i and y ^ i are the actual value and the forecast value of wind, PV, and load, respectively, and N is the total number of samples.

3. Resource Adequacy Assessment of Power Systems

This chapter focuses on resource adequacy assessment of power systems under high-penetration renewable integration and develops a system assessment method based on representative operating scenarios. First, system operating behavior is modeled in a unified manner from both the supply side and the demand side, characterizing the operating constraints and regulation capability of resources, including thermal generating units, nuclear generating units, hydropower units, energy storage systems, and demand response, thereby providing an operational basis for system analysis. On this basis, using the forecasted generation–load–storage time-series data, representative operating scenarios are constructed by combining hierarchical clustering and k-means clustering to effectively capture year-round operating characteristics while reducing the computational scale. Then, Loss of Load Probability and Expected Energy Not Served are introduced as adequacy metrics. By integrating representative operating scenarios and their occurrence probabilities, the system supply capability is quantitatively assessed from two perspectives: the probability of loss-of-load events and the magnitude of energy shortfall. Through the above process, this chapter establishes a complete resource adequacy assessment workflow, laying the foundation for the subsequent compensation market clearing model and mechanism comparison analysis.

3.1. Supply- and Demand-Side Modeling

To characterize the supply–demand balance of the power system under representative operating scenarios, this paper models system operating behavior in a unified manner from the supply side and the demand side. The supply side consists of thermal generating units, nuclear generating units, hydropower units, and energy storage systems, with emphasis on the operating characteristics of different generation resources and energy storage systems in terms of output regulation, ramping capability, and capacity constraints. The demand side characterizes the load regulation capability and its potential participation in system dispatch through a demand response model. Subject to the operating constraints of each resource, both the supply side and the demand side jointly participate in system dispatch and the compensation market-clearing process, providing a modeling basis for supply–demand balance analysis under representative operating scenarios.

3.1.1. Operating Model of Thermal and Nuclear Generating Units

Thermal generating units and nuclear generating units are the most important conventional generation resources in power systems, and their operating characteristics have a decisive impact on system supply capability, operating cost, and supply reliability. In studies on power system dispatch and capacity remuneration, conventional generating units are typically modeled under the unit commitment and economic dispatch frameworks [25].
In the modeling process, this paper focuses on operating characteristics of thermal generating units and nuclear generating units, including generation output limits, ramping constraints, and minimum up time and minimum down time. The output power of unit i in period t, P i , t , satisfies the following constraints.
1.
Generation output limits constraints.
u i , t P i min P i , t u i , t P i max
2.
Ramping constraints.
R i down P i , t P i , t 1 R i up
In these equations, P i min and P i max denote the minimum and maximum output of the generating unit, respectively, and R i u p and R i d o w n denote the ramp-up capability and ramp-down capability.
3.
Startup and shutdown logic constraints.
The startup and shutdown behavior of the generating unit is determined by changes in the on/off status variable, and the startup–shutdown relationship can be expressed as follows:
u i , t u i , t 1 = y i t z i t
In this equation, y i , t and z i , t denote the startup variable and shutdown variable of unit i in period t, respectively. They take the value 1 when the corresponding event occurs and 0 otherwise.
4.
Minimum up-time constraints.
To ensure safe and economical operation, a generating unit must remain online for no less than the minimum up time T i o n after startup:
τ = t T i on + 1 t y i , τ u i , t
5.
Minimum downtime constraints.
Similarly, after a shutdown, a generating unit must remain offline for no less than the minimum downtime T i o f f :
τ = t T i off + 1 t z i , τ 1 u i , t
For nuclear generating units, existing studies indicate that they can participate in system peak shaving within a certain range, subject to safety constraints. Their modeling approach is similar to that of thermal generating units, but typically with more stringent limits on output variations [26].

3.1.2. Operating Model of Hydropower Units

Hydropower units feature fast regulation and low startup and shutdown costs, and they are important flexibility resources in the system. In modeling hydropower units, this paper focuses on water balance and output characteristics [27,28].
1.
Reservoir water balance constraints;
The reservoir storage variation in period t can be expressed as follows:
V t = V t 1 + ( I t Q t ) Δ t
In this equation, V t denotes reservoir storage, and I t and Q t denote inflow and outflow, respectively.
2.
Hydropower output model.
The generation power of a hydropower unit is related to the hydraulic head and the outflow, and its output can be expressed as follows:
P t = η ρ u h t Q t
In this equation, η is the unit efficiency, ρ is the water density, u is the gravitational acceleration, and h t is the hydraulic head.

3.1.3. Charging and Discharging Model of Energy Storage Systems

Energy storage systems can achieve energy shifting in the temporal dimension and are an important means to enhance system flexibility and supply reliability. This paper uses State of Charge to describe the operating state of energy storage systems and establishes a charging and discharging constraint model [29].
1.
State of Charge update equation.
The State of Charge update equation of the energy storage system in period t is as follows:
SOC t = SOC t 1 + η ch P t ch Δ t 1 η dis P t dis Δ t
In this equation, P t c h and P t d i s denote the charging power and discharging power, respectively, and η c h and η d i s denote the charging and discharging efficiency.
2.
State of Charge bounds constraints.
Meanwhile, the energy storage system must satisfy the State of Charge bounds constraints:
SOC min SOC t SOC max
3.
Charging and discharging mutual exclusivity constraints.
P t ch P t dis = 0

3.1.4. Demand Response Model

Demand response provides additional regulation capability for the system by guiding the load side to participate in system regulation. This paper adopts a demand response model in the form of an interruptible load [30]. It is assumed that, in period t, the load curtailment power is D t r e d , subject to the following:
0 D t red D t max
The actual load after demand response is as follows:
D t = D t base D t red
In these equations, D t b a s e denotes the original load demand.

3.2. Day-Ahead Unit Commitment and Reserve Setting

In resource adequacy assessment at the operational level, the on/off status of conventional generating units and the reserve setting are typically determined at the day-ahead stage and remain unchanged during the operating day. Due to physical constraints such as startup and shutdown time and ramp rate, generating units find it difficult to adjust their operating status frequently over short time scales. Therefore, it is necessary to formulate a reasonable unit commitment plan at the day-ahead stage based on forecasting information, and on this basis, assess the system supply risk and adequacy level under uncertainty perturbations.

3.2.1. Day-Ahead Forecasting Information Input

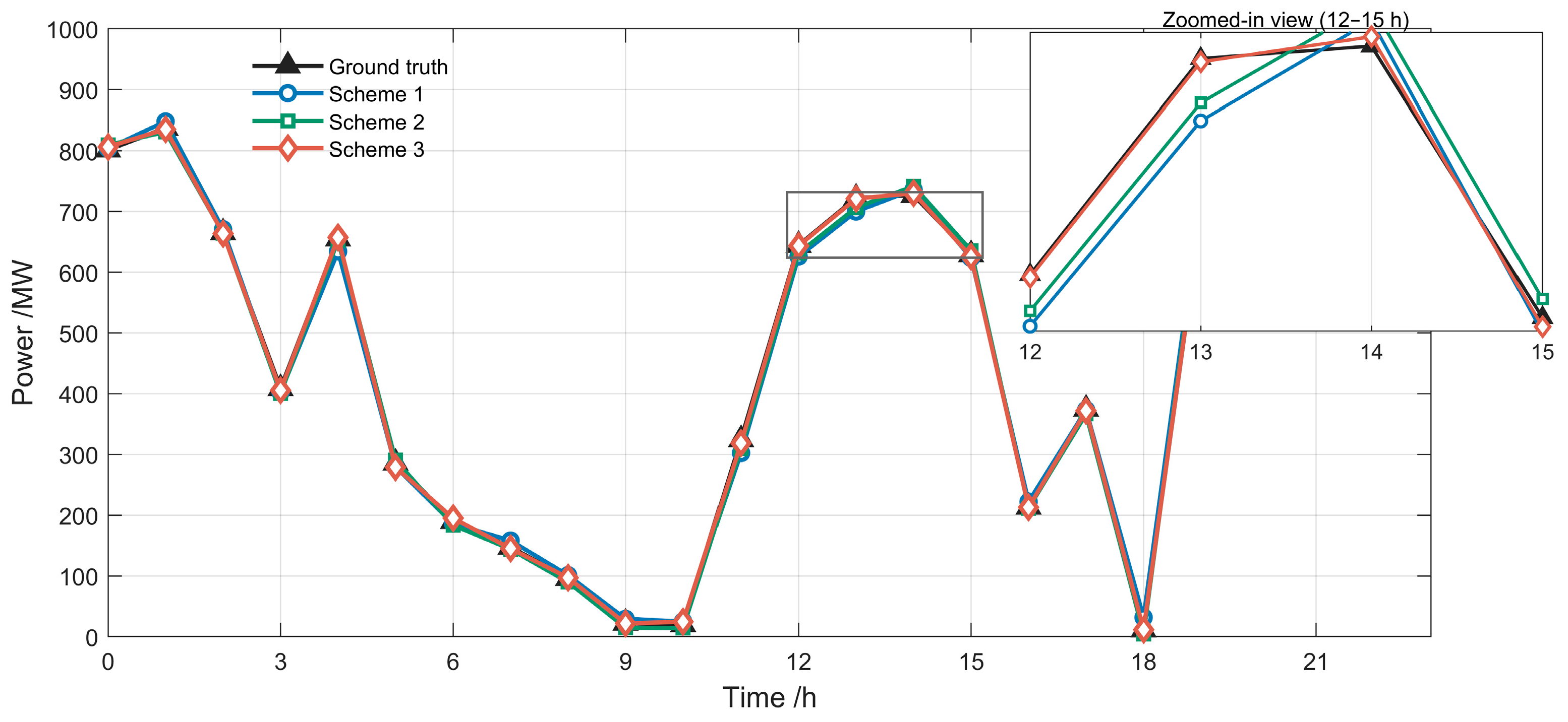
Day-ahead unit commitment depends on forecasting-based assessment of the system supply–demand condition for the target operating day. Based on the source–load forecasting model established in Chapter 1, this paper obtains the day-ahead forecast values of wind and PV outputs and the load for the target day, and selects the 50th percentile as the baseline input for day-ahead scheduling. On this basis, the on/off status of conventional generating units and the reserve setting are determined.

3.2.2. Day-Ahead Unit Commitment Model

To generate a reasonable day-ahead unit commitment plan, this paper follows the modeling framework of the unit commitment model and coordinates the operating states of conventional generating units and energy storage systems through optimization.
1.
Objective function.
The day-ahead unit commitment model aims to minimize the system operating cost over the day-ahead scheduling horizon. Subject to the system power balance constraint, the operating constraints of generating units and energy storage systems, and the reserve capacity requirement, an economically reasonable baseline unit commitment status is obtained.
min C UC = t T g G C g fuel ( P g , t ) + C g su u g , t su + C g sd u g , t sd
In this equation, C g f u e l ( ) is the fuel cost function of generating unit g; C g su and C g sd are the startup cost and shutdown cost of generating unit g; u g , t su and u g , t sd are the startup and shutdown status variables of generating unit g in period t; and P g , t is the active power output of generating unit g in period t in MW.
2.
Power balance constraint.
The power balance constraint characterizes the baseline supply–demand relationship under day-ahead forecasting conditions and ensures that, given the day-ahead forecast levels of wind and PV outputs and the load, conventional generating units and energy storage systems can satisfy the system power balance requirement.
g G P g , t + P ^ t W + P ^ t PV + s S ( P s , t dis P s , t ch ) = L ^ t , t
In this equation, P g , t is the active power output of generating unit g in period t in MW; P ^ t W is the day-ahead forecast wind power output in period t in MW; P ^ t PV is the day-ahead forecast of PV power output in period t in MW; P s , t dis and P s , t ch are the discharging power and charging power of energy storage system s in period t in MW; and L ^ t is the day-ahead forecast load in period t in MW.
3.
Generation output limits constraints.
The generation output limits constraints describe the physical output range of conventional generating units when they are online, as in Equation (21).
4.
Ramping constraints.
Ramping constraints characterize the limits on output variations in conventional generating units between adjacent periods, as in Equation (22).
5.
Energy storage system operating constraints.
Energy storage systems are incorporated into the unified dispatch framework at the day-ahead stage. Their regulation capability participates in the power balance and reserve response during the operational assessment stage. Therefore, constraints are required for charging and discharging power and the energy state, as in Equations (28)–(30).

3.2.3. Reserve Setting

To enhance the system capability to cope with uncertainty in wind and PV outputs and the load during the operating stage, a certain amount of reserve capacity should be reserved at the day-ahead stage based on the forecast load. This paper uses the planning reserve margin to uniformly describe reserve capacity, so that the reserve setting can reflect the overall system regulation capability while keeping the model concise.
g G P max g u g , t + s S P s dis , max + P ^ t W + P ^ t PV ϖ L ^ t , t
In this equation, ϖ is the planning reserve margin coefficient, which is set to 1.2 in this paper [31].

3.3. Source–Load Clustering and Typical-Day Generation

After completing day-ahead unit commitment and reserve setting at the day-ahead stage, the system enters the operational assessment stage. Since uncertainty is unavoidable in wind power output forecasting, PV power output forecasting, and load forecasting, supply–demand imbalance may still occur in actual operation due to forecasting errors, output fluctuations, and operating constraints of generating units, even if a certain proportion of reserve capacity has been reserved in the day-ahead stage. In addition, because wind and PV generation typically have priority in dispatch and accommodation, their outputs are usually scheduled according to the forecasting results and participate in system balance with priority. Therefore, under a fixed day-ahead unit commitment plan, it is necessary to systematically characterize and assess source–load uncertainty at the operational level.
However, directly evaluating all possible operating states over the entire day based on hourly uncertainty samples would substantially increase the computational scale, which is unfavorable for adequacy metric calculation and subsequent capacity remuneration mechanism analysis. To address this issue, this paper introduces source–load clustering and typical-day generation at the operational level to achieve reasonable scenario reduction while preserving uncertainty characteristics as much as possible.

3.3.1. Construction of Source–Load Operating-Scenario Samples

At the operational level, the target operating day is denoted as dd and is divided into T discrete periods, where T = 24 in this paper. For each period t, the prediction confidence intervals of wind, PV, and load can be obtained based on the spatiotemporal-correlation-based forecasting model established in Chapter 1.
On this basis, by performing random sampling or scenario generation within the prediction confidence intervals, a joint source–load sample vector at the operational level is constructed, which can be generally expressed as follows:
x ( n ) = P w i n d , 1 , t ( n ) , , P w i n d , N w , t ( n ) , P p v , 1 , t ( n ) , , P p v , N s , t ( n ) , L t ( n )
In this equation, x ( n ) is the n-th operating-scenario sample; P w i n d , 1 , t ( n ) is the sampled output of wind farm i in period t; P p v , 1 , t ( n ) is the sampled output of the PV plant in period t; L t ( n ) is the load sample value in period t; N w and N s is the number of wind farms and PV plants in the system.
By repeating the above process for all periods of the target operating day, the source–load sample set at the operational level can be constructed, providing a data basis for subsequent clustering analysis.

3.3.2. K-Means Clustering Procedure

To address the sensitivity of conventional k-means clustering to the number of clusters and the initial cluster centers, this paper first applies hierarchical clustering to perform a preliminary analysis of historical operating scenarios. This method measures similarity among samples and gradually merges similar scenarios to form a hierarchical clustering result, without requiring the number of clusters to be specified in advance. By constructing a clustering dendrogram, the similarity among different operating scenarios can be visually characterized. When an evident jump occurs in the linkage distance, further merging would substantially increase within-cluster heterogeneity. Accordingly, this paper uses the jump position as the clustering cut point and determines a reasonable number of clusters, K. The detailed steps of hierarchical clustering are as follows.
Step 1: Sample initialization
Each operating-scenario sample is regarded as an individual cluster, and the initial number of clusters equals the total number of samples.
Step 2: Similarity calculation among samples
Based on the feature vectors of operating-scenario samples, the distance between any two samples is calculated to characterize the similarity of different operating scenarios in temporal characteristics.
Step 3: Cluster-merging decision
Among all current clusters, the pair of clusters with the minimum distance is selected for merging, as they are considered the most similar.
Step 4: Cluster update
The selected two clusters are merged into a new cluster, and the cluster set and its sample composition are updated. Meanwhile, the distances between the new cluster and the remaining clusters are recalculated.
Step 5: Repeated merging
Steps 3 and 4 are repeatedly executed to continuously merge similar clusters and gradually reduce the number of clusters, thereby forming a bottom-up hierarchical clustering structure.
Step 6: Completion of the hierarchical structure
When all samples are finally merged into a single cluster, the hierarchical clustering process terminates, yielding a complete hierarchical structure.
Step 7: Determination of the number of clusters
According to the distance-change pattern during the cluster-merging process, within-cluster heterogeneity at different hierarchical levels is analyzed, and an appropriate level is selected as the final clustering result.

3.3.3. Typical-Scenario Generation

The operating-scenario samples in this paper are constructed based on the prediction confidence intervals of wind, PV, and load. They can reflect the possible source–load fluctuation states at the operational level under day-ahead forecasting information, thereby ensuring that the typical-scenario generation process is consistent with the day-ahead unit commitment stage in terms of information.
If the output profiles of individual renewable generation resources are clustered independently, the resulting numbers of typical scenarios for different resources may be inconsistent, which would increase the complexity of subsequent system analysis. Therefore, this paper introduces the concept of renewable generation operating scenarios and provides a unified representation by treating renewable generation resources in the system as an integrated whole.
In the typical-scenario generation process, a sample set of renewable generation operating scenarios is first constructed based on the operational-level sample data, and hierarchical clustering is applied for analysis. By measuring the similarity among different operating scenarios, a hierarchical clustering structure is gradually formed, and an appropriate hierarchical level is selected according to the distance-change pattern during cluster merging, thereby determining the number of clusters K for renewable generation operating scenarios.
After determining the number of clusters K, the hierarchical clustering result is used as the initial partition, and k-means clustering is performed on the renewable generation operating-scenario samples to obtain K typical operating scenarios of renewable generation. Meanwhile, the number of operating samples contained in each typical operating scenario is counted. Let the number of samples corresponding to the r-th typical operating scenario of renewable generation be N r R E and let the total number of renewable generation operating-scenario samples at the operational level be N R E . Then the occurrence probability of this typical renewable generation operating scenario can be expressed as follows:
π r R E = N r R E N R E , r = 1 , 2 , , K
The construction of typical load operating scenarios follows the same procedure as the generation of renewable generation operating scenarios. Let the number of typical load operating scenarios be m. The corresponding typical load operating scenarios and their occurrence probabilities are denoted by L s and π s L , respectively, where s = 1 , 2 , , m . Details are omitted here.
On this basis, by pairwise combining the typical renewable generation operating scenarios and the typical load operating scenarios, a set of K × m typical operating scenarios at the system level can be constructed. The occurrence probability of the ( r , s ) system’s typical operating scenario can be expressed as follows:
π r , s = π r R E π s L , r = 1 , , K ; s = 1 , , m
The system’s typical operating-scenario set generated by the above method can provide comprehensive coverage of possible source–load matching states under the given day-ahead unit commitment plan, while substantially reducing the scale of operating-scenario evaluation. The overall procedure is illustrated in Figure 3.
As shown in Figure 3, the typical-scenario generation in this study follows a “source-side and load-side clustering first, then system-level aggregation” procedure. Specifically, the generation output curves and the load curves are first partitioned via hierarchical clustering, and the optimal number of clusters is determined in combination with the k-means algorithm, thereby obtaining the typical operating scenarios and their probabilities for the source side and the load side, respectively. The source–load typical scenarios are then combined and aggregated to form a system-level set of typical operating scenarios with the corresponding probability weights. While significantly reducing the scenario scale, this procedure preserves the fluctuation characteristics and matching relationship between generation and load as much as possible, providing directly usable inputs for subsequent adequacy assessment based on representative scenarios and for the specification of risk constraints/penalty terms in the capacity-compensation clearing model.

3.4. Adequacy Metrics

Based on the operating modeling of generation–load–storage and the construction of representative operating scenarios, this paper selects Loss of Load Probability and Expected Energy Not Served, which are commonly used in power system reliability analysis, as the adequacy metrics to quantitatively assess the supply reliability level under a given day-ahead unit commitment plan.
Loss of Load Probability is used to characterize the probability of loss-of-load events, and Expected Energy Not Served is used to measure the expected magnitude of energy shortfall. The two metrics quantify the system supply–demand balance capability under different representative operating scenarios from two dimensions: the frequency of risk occurrence and the severity of consequences, thereby providing a comprehensive reflection of supply adequacy at the operational level.

3.4.1. Loss of Load Probability

Loss of Load Probability is used to measure the statistical probability of supply inadequacy during the assessment period and is defined as the probability that the available generation capacity is lower than the load demand. This metric can directly reflect the supply reliability level of meeting load demand under given operating conditions. A smaller Loss of Load Probability indicates a lower likelihood of loss-of-load events and a higher supply reliability.
Under the representative operating-scenario framework established in this paper, uncertainties in wind power output, PV power output, and load are represented by typical scenarios and their occurrence probabilities. For any representative operating scenario, it is determined in period tt whether the available generation capacity of the system can satisfy the corresponding load demand. When the available capacity is insufficient to support the load, the scenario is identified as a loss-of-load event in that period.
Based on this, by statistically aggregating all representative operating scenarios, the Loss of Load Probability in period t can be obtained. The calculation formula is as follows:
L O L P t = ω Ω π ω I P ω , t a v a < L ω , t
In this equation, Ω denotes the set of system-level representative operating scenarios, ω denotes the scenario index, π ω denotes the occurrence probability of representative operating scenario ω , P ω , t   a v a denotes the system available generation capacity in period t under scenario ω in MW, including available outputs from conventional generating units, renewable generation, and energy storage systems, L ω , t denotes the system load demand in period t under scenario ω in MW, and I denotes the indicator function, which takes the value of one when the condition in parentheses holds and 0 otherwise.

3.4.2. Expected Energy Not Served

Although Loss of Load Probability can characterize the probability of supply inadequacy, it cannot reflect the severity of loss-of-load events. To further quantify the magnitude of energy shortfall under supply inadequacy, this paper introduces Expected Energy Not Served as a complementary metric.
Expected Energy Not Served represents the expected unserved energy during the assessment period caused by insufficient available capacity. Under the representative operating-scenario framework, for each representative operating scenario and each period, the difference between load demand and system available generation capacity is calculated. When the available capacity is lower than the load demand, this difference corresponds to the power deficit in that period. Furthermore, by multiplying the period-wise power deficit by the occurrence probability of the corresponding representative operating scenario and aggregating over all scenarios and periods, the Expected Energy Not Served of the system can be obtained.
The calculation formula of Expected Energy Not Served is as follows:
EENS = t ω Ω π ω max L ω , t P ω , t ava , 0 Δ t
In this equation, the max ( ) function ensures that, when the system’s available capacity is greater than the load demand, the energy shortfall in that period is zero.
Expected Energy Not Served accounts for the probability of loss-of-load events and the magnitude of energy shortfall jointly, providing a more comprehensive reflection of the impact of supply inadequacy. A larger Expected Energy Not Served indicates that more energy is expected to be unable to meet load demand during the assessment period, implying a lower supply adequacy level.

3.4.3. Explanation of Adequacy Assessment Under Representative Operating Scenarios

In the representative operating-scenario system established in this paper, each system-level representative operating scenario is associated with an occurrence probability. When conducting an adequacy assessment based on this scenario set, Loss of Load Probability and Expected Energy Not Served can be calculated at the representative operating-scenario level and then aggregated through probability-weighted summation.
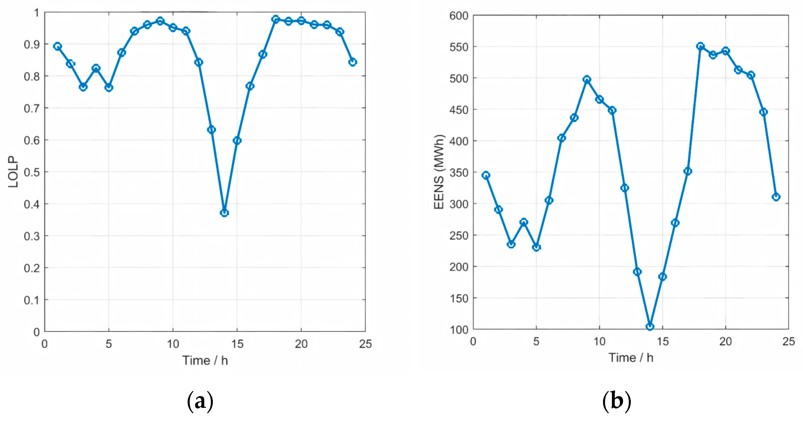
With the above approach, this paper can quantitatively assess supply reliability and supply adequacy when the system responds to source–load uncertainty fluctuations at the operational level under a fixed day-ahead unit commitment plan. On the one hand, the method maintains assessment accuracy while substantially reducing the computational scale. On the other hand, it provides a reliable assessment basis for the subsequent compensation market-clearing model and the comparative economic analysis under different capacity remuneration mechanisms. The overall assessment procedure is illustrated in Figure 4.
As shown in Figure 4, the proposed adequacy assessment is built upon a “typical operating scenario set + multi-resource available-capacity models” basis. First, typical operating scenarios are generated from renewable generation (wind and photovoltaic) and load data, and are then aggregated at the system level to form system typical operating scenarios. Next, availability and output-constraint models are introduced for multiple resources, including thermal power, hydropower, energy storage, and loads. Under each typical scenario, a time-segmented assessment is performed to compute the Loss of Load Probability and the Expected Energy Not Served, yielding an adequacy-metric sequence that reflects the temporal evolution of risk. By compressing the scenario set while retaining the impact of source–load uncertainty on supply–demand matching, this workflow provides direct quantitative evidence for the parameterization and economic comparison of risk-driven mechanisms in the subsequent clearing model, such as the “expected-energy-not-served penalty + loss-of-load-probability risk constraint”.

4. Capacity Remuneration Mechanism

4.1. Identification of Compensable Capacity

After determining the day-ahead unit commitment plan and constructing representative operating scenarios based on source–load clustering, this paper further identifies the compensable capacity available for system remuneration and balancing at the operational level. This process takes the given day-ahead unit commitment plan as the baseline and identifies, in each representative operating scenario and each period, the dispatchable resources that can participate in compensation, and then computes their remaining regulation capability subject to existing operating constraints.
Specifically, the compensable capacity of thermal generating units is jointly determined by their rated output, scheduled output, and ramping constraints. Hydropower units are strongly affected by inflow conditions, and their available output differs across time periods; therefore, period-by-period identification is required by considering the operating characteristics in flood seasons and dry seasons. The compensable capacity of energy storage systems is determined by the installed capacity, the bounds of the energy state, and the charging and discharging power constraints. Demand response resources exhibit time-varying participable capacity and acceptable price levels, and their compensable capability should be characterized by considering user response characteristics.
It should be noted that, due to safety operation requirements, nuclear generating units typically operate in a stable baseload mode with limited regulation capability, and they generally do not participate in system remuneration and balancing in practice. Therefore, nuclear resources are not included as compensation resources in the identification of compensable capacity in this paper. Through the above identification process, the baseline data of system compensable capacity under each representative operating scenario and each period can be obtained, providing support for subsequent compensation bidding modeling and market-clearing analysis.

4.2. Marginal Cost Determination

In the compensation optimization model that coordinates capacity remuneration with adequacy constraints, the marginal cost of each compensation resource is a key factor that determines its participation order, bidding starting point, and the final compensation cost. Marginal cost reflects the minimum cost required, under a given operating condition, to obtain one additional unit of effective capacity or one additional unit of energy response, and directly characterizes the economic differences among resources participating in system remuneration. This section develops a unified characterization method of marginal cost for thermal generating units, energy storage systems, and demand response, providing a cost basis for subsequent compensation bidding modeling and market-clearing analysis.

4.2.1. Marginal Cost of Thermal Generating Units

Thermal generating units mainly serve as adjustable output and reserve resources in the compensation model. Their marginal cost is primarily composed of fuel consumption, variable operation and maintenance costs, and the opportunity cost induced by operating constraints.
1.
Fuel marginal cost.
Let the output of unit i in period t be P i , t , the coal consumption rate be h i ( P i , t ) in kg/kWh, and the fuel price be p c o a l in CNY/kg. Then the fuel cost can be expressed as follows:
C i , t f u e l = p c o a l h i ( P i , t ) P i , t
The corresponding fuel marginal cost can be approximated as follows:
M C i , t f u e l = C i , t f u e l P i , t
2.
Variable operation and maintenance and ramping wear cost.
Thermal generating units incur additional wear when frequently regulating output or providing reserve, which can be represented by an equivalent unit output cost c i o m :
M C i , t f u e l = p c o a l h i ( P i , t ) P i , t + h i ( P i , t )
3.
Startup, shutdown, and reserve opportunity cost.
The startup and shutdown cost C i s t a r t , as well as the profit loss caused by reducing energy output to reserve capacity, can both be regarded as opportunity costs. In the optimization model, this part is typically represented implicitly through startup and shutdown variables or dual variables of reserve constraints.
In summary, the marginal cost of thermal generating units can be expressed as follows:
M C i , t T H = M C i , t f u e l + c i o m + M C i , t o p p

4.2.2. Marginal Cost of Energy Storage Systems

Energy storage systems do not consume primary energy. Their marginal cost mainly arises from efficiency losses, lifetime degradation, and energy opportunity cost [32].
1.
Efficiency loss cost.
Let the charging electricity price of the energy storage system in period t be λ t c h , and the round-trip efficiency be η r t . Then the equivalent charging energy required to deliver 1 kWh of electricity is approximately η r t kWh, and the corresponding loss cost is as follows:
M C t l o s s = λ t c h η r t
2.
Lifetime degradation cost.
Let the investment cost per unit of energy capacity of the energy storage system be c E S i n v in CNY/kWh, and the equivalent number of usable full cycles be N c y c . Then the lifetime degradation cost caused by unit-discharged energy can be approximated as follows:
M C d e g = c E S i n v N c y c
3.
Energy opportunity cost.
The energy storage system needs to maintain a certain State of Charge to respond to future high-value periods or emergency needs. In this paper, the energy opportunity cost M C t o p p is converted based on the electricity price in the corresponding period.
Therefore, the marginal cost of the energy storage system in period t can be expressed as follows:
M C t E S = M C t l o s s + M C d e g + M C t o p p
This marginal cost can serve as the starting point for compensation participation or response bidding of energy storage systems.

4.2.3. Marginal Cost of Demand Response

The cost of demand response essentially originates from the reduction in user utility or production loss, and its marginal cost typically increases with the curtailment amount [33].
Let the load curtailment amount in period t be L t s h e d . Its cost function can be expressed in a convex form:
C t D R ( L t s h e d ) = a t L t s h e d + b t 2 ( L t s h e d ) 2
In this equation, a t is the compensation price for the initial unit of curtailment, and b t > 0 is the marginal-cost growth coefficient. The corresponding marginal cost is as follows:
M C t D R = C t D R L t s h e d = a t + b t L t s h e d
This form can reflect the practical characteristic that larger curtailment leads to greater user loss, and it is also convenient for integration with the compensation mechanism in the optimization model.

4.2.4. Marginal Cost of Hydropower Units

Hydropower units feature flexible startup and shutdown and fast regulation, playing an important role in system peak shaving and reserve remuneration. Unlike thermal generating units, hydropower units do not consume fossil fuels, and their operating cost is mainly reflected by the opportunity cost associated with allocating water resources across different periods. When a hydropower unit increases its output in the current period, it reduces the amount of water available for generation in subsequent periods or high-value periods, resulting in an implicit economic cost [34].
According to the hydropower output model in Section 3.1.2, there exists a deterministic relationship between the generation power of a hydropower unit and the outflow in period t. The water consumption corresponding to unit output can be expressed as follows:
Δ Q h , t = P h , t η h ρ g h t
In this equation, Q h , t denotes the outflow, and P h , t denotes the output of the hydropower unit in period t.
Then, the equivalent marginal cost of the hydropower unit in period t can be expressed as follows:
M C h , t H = c h w 1 η h ρ g h t
In this equation, c h w denotes the equivalent opportunity cost per unit of water, which can be specified based on time-varying water value or peak-shaving opportunity cost as an input parameter, and is not further elaborated in this chapter.

4.3. Value of Lost Load and Its Role in the Compensation Model

This chapter introduces an Expected Energy Not Served penalty term in the compensation market clearing model, explicitly incorporating the risk cost associated with supply inadequacy into the optimization objective, and quantifies this risk cost using Value of Lost Load.
The Value of Lost Load is used to characterize the unit-energy economic loss caused by an electricity supply shortage. Its physical meaning is the economic loss incurred for each 1 kWh reduction in electricity supply when a loss-of-load event occurs, and it is typically expressed in CNY/(kWh). By introducing the Value of Lost Load, the system supply shortage risk can be converted from the physical quantity of unserved energy into an economic loss cost, thereby providing a unified monetary scale for the capacity remuneration model with the objective of compensation cost minimization [35].
Existing studies suggest that, when user willingness-to-pay data are unavailable, the Value of Lost Load can be estimated using an accounting-based method derived from macro statistical data. The core idea is to approximate the economic loss intensity of loss-of-load by the economic output value supported by unit electricity consumption. For system-level analysis, this paper treats VOLL(t) as a time-dependent exogenous parameter to reflect the relative severity of electricity shortage events in different periods.
At the time-series operational level, let the expected unserved energy in period t be Expected Energy Not Serve EENS(t). Then the expected economic loss of loss-of-load in period t can be expressed as follows:
C l o s s ( t ) = V O L L ( t ) E E N S ( t )
In this equation, VOLL(t) is the Value of Lost Load coefficient in period t.
V O L L ( t ) = V O L L ¯ β ( t ) , β ( t ) = L ( t ) L ¯
where V O L L ¯ is the average value of VOLL under the adopted statistical definition, β ( t ) is a time-dependent scaling factor, L ( t ) is the system load at time t, and L ¯ is the average load. This formulation reflects the intraday variation that “higher load (or stronger dependence on electricity) implies a higher loss associated with supply shortage”.
Furthermore, by summing the economic loss of loss-of-load over all periods, the expected value of expected unserved energy during the assessment horizon can be obtained, i.e., VEENS:
V E E N S = t V O L L ( t ) E E N S ( t )
It follows that, in the capacity remuneration optimization model, the risk cost term constructed based on Expected Energy Not Served and Value of Lost Load can serve as an economic measure of supply shortage risk and can be incorporated into the objective function as a penalty term. When the system’s available capacity is insufficient to fully meet load demand, the model balances compensation cost and the supply shortage risk penalty term and, subject to adequacy constraints, prioritizes the compensation scheme with the minimum total economic cost.
Different values of VOLL(t) across periods can be used to reflect the different economic impacts of electricity shortages in peak and off-peak periods. In the subsequent model, this paper penalizes VOLL(t) using EENS(t) to construct an objective function with a unified monetary scale for compensation cost and supply shortage risk.

4.4. Bilevel Iterative Integrated Market Clearing Model for Capacity Remuneration

Considering that compensation resource entities have independent economic objectives, they participate in the compensation market through bidding and influence the market-clearing outcome, while the system operator needs to coordinate compensation allocation under given bids to balance economic efficiency and supply reliability, the above problem exhibits a typical leader–follower structure. Accordingly, this paper develops a bilevel optimization model to characterize the bidding decision and the integrated market-clearing process in the intraday compensation market.
Figure 5 illustrates the overall architecture of the bilevel intraday integrated compensation market-clearing model adopted in this paper. The upper-level model describes the bidding decision behavior of each compensation participant under market-rule constraints, and the lower-level model describes the process in which the system operator conducts period-by-period integrated compensation market clearing for each typical day, each operating scenario, and each period under given bids. The upper-level bids serve as inputs to the lower-level clearing, and the awarded quantities and market-clearing prices from the lower-level clearing are fed back to the upper level for bid updating, thereby forming a closed-loop market game structure.

4.4.1. Upper-Level Model: Bidding Decision Model of Compensation Participants

1.
Objective function.
The upper-level model aims to maximize the expected profit of compensation participants. The profit of a compensation participant is jointly determined by the awarded compensable capacity obtained in the lower-level market clearing and the market-clearing price. The objective function can be expressed as follows:
max { λ i , t } d D ω d t T i I μ d , t M C i q i , d , t
In this equation, M is a sufficiently large constant, μ d , t is the market-clearing price for typical day d and period t, and q i , d , t is the awarded compensable capacity of compensation resource i under d,t.
2.
Market-rule constraints.
Bids of compensation participants must satisfy market-rule constraints:
λ _ i λ i , t λ ¯ i , i I , t T
In this equation, λ ¯ i and λ i ¯ denote the bid lower bound and upper bound of compensation resource i.
The bid updating rule characterizes the evolution of bidding strategies in the multi-round intraday market. To avoid introducing additional dynamic complexity, this rule is not included as an endogenous constraint in a single bilevel optimization model, but is implemented iteratively in the case studies.
3.
Dynamic price-adjustment mechanism.
To capture the behavior that “no award leads to no profit, thus the participant tends to reduce the bid to improve the award probability, while after being awarded the participant can moderately increase the bid to improve profit”, the bid update in the k-th iteration is defined as folllows:
λ t i , ( k + 1 ) = Π [ λ _ t i , λ ¯ t i ] λ t i , ( k ) + α i s t i , ( k )
In this equation, Π [ ] is the projection operator to keep the price within the bid bounds, and α i > 0 is the price-adjustment step size.
s t i , ( k ) = + 1 , R t i , , ( k ) > 0 ( This   round   of   successful   bid ) 1 , R t i , , ( k ) = 0 ( This   round   was   unsuccessful   in   winning   the   bid )
This strategy enables bids to converge to a relatively stable market-clearing outcome after multiple rounds of interaction by adjusting bids directionally in response to awarded results while satisfying market-rule constraints.

4.4.2. Lower-Level Model: Intraday Integrated Compensation Market Clearing Model

1.
Objective function.
The system operator aims to minimize the expected compensation cost and the expected loss-of-load penalty. The objective function is expressed as follows:
min d D ω d t T μ d , t i I q i , d , t + VOLL t L d , t
In this equation, ω d is the weight of typical day d; V O L L t is the outage penalty coefficient in period t; and L d , t is the loss-of-load amount in typical day d and period t.
2.
Compensation balance constraint.
For each typical day and each period, system compensation should satisfy the compensation demand:
i I q i , d , t + L d , t Δ d , t , d D , t T
In this equation, Δ d , t is the compensation demand in typical day d and period t.
3.
Operating constraints of compensation resources.
The cleared quantity of each compensation participant is limited by its available capability:
0 q i , d , t q ¯ i , d , t , i , d , t
In this equation, q ¯ i , d , t is determined by the resource type and its technical characteristics, such as ramping constraints of thermal generating units, energy constraints of energy storage systems, and regulation capability of hydropower units.
4.
Loss-of-load status coupling constraints.
To construct the Loss of Load Probability, the following constraints are introduced:
0 L d , t M z d , t , d , t
In this equation, z d , t is the loss-of-load status variable, which equals 1 if a loss-of-load event occurs and 0 otherwise.
5.
Loss of Load Probability risk constraint.
To control adequacy risk, this paper introduces a loss-of-load probability constraint weighted over all typical days in the lower-level model. Loss of Load Probability in each period is defined as follows:
L O L P t = d D ω d z d , t
The following risk constraint is then imposed:
L O L P t p ¯ , t T
In this equation, p ¯ is the maximum allowable Loss of Load Probability threshold, which is set to 0.1 in this paper.
By introducing an Expected Energy Not Served penalty term in the objective function and explicitly limiting Loss of Load Probability in constraints, a dual-safeguard mechanism of “expected-loss penalty plus probability constraint” is established, which can avoid excessive compensation while ensuring operational reliability.

4.5. Solution Algorithm

The intraday integrated compensation market-clearing problem formulated in this section exhibits a typical leader–follower structure. At the upper level, compensation participants pursue profit maximization subject to market rules and bid bounds. At the lower level, the system operator performs period-by-period integrated market clearing under given bids to minimize the expected compensation cost while satisfying adequacy risk constraints. To solve this bilevel coupled optimization problem, this paper adopts a bilevel iterative particle swarm optimization method to implement a closed-loop iterative process of “bidding–clearing–profit feedback–rebidding”. This method features strong global search capability and implementation flexibility and has been applied in related studies on bilevel optimization problems, making it suitable for solving cases with strong coupling between upper-level and lower-level decision variables.
The overall solution framework is as follows. In the outer layer, the bid vector of each compensation participant is treated as the particle position, and particle swarm optimization is used to search for improved bidding strategies. In the inner layer, for each given set of bids, period-by-period integrated compensation market clearing is executed to obtain market-clearing prices and awarded compensable capacities, and the system Loss of Load Probability, Expected Energy Not Served, and total operating cost are evaluated accordingly. The lower-level results are then fed back to the upper level as the basis for particle fitness evaluation and updating. The above procedure is iterated until convergence. The detailed procedure is as follows.
Step 1: Input the hourly deficit of the nine typical days, the capacity limits of each resource, marginal costs, bid bounds, V O L L t , and the threshold L O L P 0.1 . Initialize particle swarm optimization parameters: particle number N p , maximum iteration number K max , inertia weight w , learning factors c 1 , c 2 , velocity bounds, and so on.
Step 2: Randomly generate the bid vector of each particle x p ( 0 ) , and project it onto the feasible price region.
Step 3: For each particle p , perform period-by-period market clearing to obtain λ t , R d , t i , L O L P t , and E E N S t . If there exists LOLP > 0.1 greater than 0.1, impose a strong penalty on this particle to ensure that the risk hard constraint is strictly satisfied. Compute the profit of each participant i and obtain the particle fitness F ( x p ) .
Step 4: Update the personal best p b e s t and the global best g b e s t .
Step 5: Update velocity and position (bid update) according to
v p ( k + 1 ) = ω ( k ) v p ( k ) + c 1 r 1 p b e s t p x p ( k ) + c 2 r 2 g b e s t x p ( k )
x p ( k + 1 ) = x p ( k ) + v p ( k + 1 )
and project to the bid bounds.
Step 6: Apply the dynamic price-adjustment rule to provide a fine-tuning overlay for key periods after the particle swarm optimization update:
ω ( k ) = ω max k K max ω max ω min
Step 7: Terminate the iteration if either of the following conditions is satisfied:
  • The maximum iteration number K max is reached.
  • The change of g b e s t is smaller than the threshold for consecutive generations.
Output: The period-by-period clearing results of the nine typical days R d , t i , the market-clearing price λ t , and the corresponding L O L P t , E E N S t , and system cost.
In summary, for the proposed bilevel-coupled problem of intraday unified compensation clearing, this section designs a bilevel iterative solution framework featuring “outer-layer bid search—inner-layer hourly unified clearing”. Particle swarm optimization is adopted in the outer layer to globally optimize the bidding strategies of compensation participants. Given a set of bids, the inner layer performs hour-by-hour clearing and risk-metric evaluation, and feeds the clearing outcomes and fitness values back to the outer layer to drive strategy updates. Under controllable system risk constraints, the proposed algorithm achieves a closed-loop solution process of “bidding—clearing—feedback—iteration”, providing a unified and computable tool for subsequent comparisons of economics and reliability across different typical days and different compensation mechanisms/parameter settings. The next chapter will build case studies and data settings based on this solution procedure, present hourly clearing results for typical days along with the corresponding metrics (e.g., Loss of Load Probability, Expected Energy Not Served, and System Operating Costs), and further validate the effectiveness of the proposed model and mechanism design in risk mitigation and economic improvement.

5. Case Study

5.1. Generation–Load Forecasting Considering Spatiotemporal Correlation

A region in the northern grid of a certain province is selected as the study area. Historical output data of four geographically adjacent wind farms and PV power plants in this area are used as samples, and the regional aggregated load data are also introduced to construct a generation–load joint forecasting case study. The installed capacities of Wind Farm 1 and Wind Farm 2 are 1000 MW and 1200 MW, respectively, and the installed capacities of PV Power Plant 1 and PV Power Plant 2 are 1000 MW and 1500 MW, respectively.
Figure 6 shows the empirical distribution curve and the kernel density estimation curve of Wind Farm 1 and PV Power Plant 2. As illustrated in Figure 5, the sample-fitting result obtained by nonparametric kernel density estimation can effectively characterize the data features of wind and PV power outputs, with improved smoothness.
To ensure the reproducibility of the case-study results, the key hyperparameter settings for the Markov-chain-based temporal correlation modeling are summarized in Table 2.
Based on AIC and BIC, the model fitting performance is assessed, and LogL is used to compare the static and dynamic models under the same copula structure; the corresponding results are reported in Table 3.
By comparing the goodness of fit between the dynamic and static models under the same copula structure, it is observed that the dynamic models yield much smaller AIC and BIC values than their static counterparts, while achieving a substantially larger maximum log-likelihood. This indicates that the dynamic models provide a markedly better fit than the static models. These results further suggest that the dynamic C-copula model can better characterize the dependence between joint wind–solar outputs and their time-varying features.
To verify the effectiveness and superiority of the proposed generation–load joint forecasting model considering spatiotemporal correlation, the following three forecasting schemes are compared:
Scheme 1: Independent wind and PV forecasting using a Transformer model.
Scheme 2: Forecasting using only the Markov-chain-based temporal-correlation model.
Scheme 3: Forecasting using the proposed spatiotemporal-correlation forecasting model.
This section uses Root Mean Square Error and Mean Absolute Error to evaluate forecasting performance. Smaller values of Root Mean Square Error and Mean Absolute Error indicate higher forecasting accuracy. The error comparisons of generation–load forecasting results under the three schemes are shown in Table 4 and Table 5. For PV power forecasting, compared with Scheme 1, the Mean Absolute Error of Scheme 3 decreases from 3.263 MW to 0.587 MW, i.e., a reduction of 2.676 MW; compared with Scheme 2, it decreases by 1.292 MW. In terms of Root Mean Square Error, Scheme 3 is reduced by 5.886 MW and 3.730 MW compared with Scheme 1 and Scheme 2, respectively. For wind power forecasting, the Mean Absolute Error of Scheme 3 is only 1.268 MW, which is reduced by 7.026 MW and 1.937 MW compared with Scheme 1 and Scheme 2, respectively. Root Mean Square Error is also substantially reduced from 12.362 MW in Scheme 1 and 5.846 MW in Scheme 2 to 1.739 MW in Scheme 3, with reductions of 10.623 MW and 4.107 MW, respectively. Overall, the proposed scheme achieves significant improvements over the two benchmark schemes in terms of forecasting error metrics, demonstrating higher forecasting accuracy.
To more intuitively demonstrate the accurate characterization of spatiotemporal features by the proposed forecasting model, a typical day is randomly selected from the test dataset for analysis. According to the meteorological data of that day, rainfall occurred during 13:00–14:00. The error comparisons of PV and wind power forecasting results under the three schemes are shown in Figure 7 and Figure 8.
For PV power forecasting, the output gradually decreases starting from 12:00. Scheme 3 responds fastest to the changes in actual output, whereas Scheme 2 and Scheme 1 exhibit an obvious trend-lagging behavior. For wind power forecasting, the output gradually increases starting from 12:00. Scheme 3 again shows the most rapid response, while the response speed of Scheme 2 and Scheme 1 decreases sequentially, leading to a more lagged forecasting trend. Therefore, the proposed scheme can capture the spatiotemporal variation characteristics of generation and load more accurately, achieving superior forecasting performance.
This section fits the distribution of forecasting errors using kernel density estimation with bandwidth optimization. By performing cumulative integration of the fitted probability density function at each period, the forecasting error bounds of the data-supported set under different confidence levels are determined. Both 90% and 95% confidence levels are considered. Figure 9 presents the prediction interval results of the generation–load forecasting model considering temporal correlation. Furthermore, the forecasting performance of Scheme 2 and Scheme 3 under different confidence levels is compared, as shown in Table 6. Based on the overall analysis, this paper finally adopts the forecasting error bound under the 95% confidence level as the constraint condition of the dataset, so as to more robustly reflect practical forecasting results.

5.2. System Resource Adequacy Assessment

A case-study system is developed using actual operational data from a regional power system in the northern grid of a certain province in China to validate the proposed typical-operating-scenario-based resource adequacy assessment and compensation method. The case-study system includes thermal generating units, nuclear generating units, hydropower units, and multiple types of renewable energy sources, and can comprehensively reflect the operational characteristics and supply–demand uncertainties of power systems with high renewable penetration. The key parameters of generation units in the case-study system are provided in Table 7 and Table 8.

5.2.1. Results of Representative Scenario Generation

Based on this, k-means clustering is further applied to renewable generation output curves to obtain three typical renewable operating scenarios and their corresponding occurrence probabilities. According to the overall level of renewable generation output, these scenarios are defined as source-peak, source-normal, and source-valley scenarios. Using the same approach, clustering analysis is conducted on daily load curves to obtain three typical load operating scenarios, namely load-peak, load-normal, and load-valley, along with their occurrence probabilities. The typical renewable-side and load-side operating scenarios are then combined pairwise to construct nine system-level typical operating scenarios. The occurrence probability of each system’s typical operating scenario is obtained by multiplying the corresponding renewable-scenario probability and load-scenario probability, as summarized in Table 9.
Through the above typical operating scenario construction method, the intraday operating scenario scale is significantly reduced while the system supply–demand structure and its temporal variation characteristics are well preserved, providing a reliable data foundation for subsequent system resource adequacy assessment and compensation market clearing analysis.

5.2.2. Adequacy Metric Evaluation Under Typical Operating Scenarios

Under each system’s typical operating scenario, considering the startup/shutdown constraints, ramping constraints, and minimum up-time and downtime constraints of thermal generating units, a Monte Carlo simulation is employed to model operational uncertainty, and the system adequacy metrics are calculated on an hourly basis, including Loss of Load Probability and Expected Energy Not Served.
Figure 10, Figure 11 and Figure 12 present the generation mix and load profiles for the three high-weight system typical scenarios, namely Scenarios 01, 02, and 08. In all three scenarios, the load demand is jointly supplied by wind power, photovoltaic (PV) generation, hydropower, nuclear power, two thermal units, and the energy storage system. PV output rises markedly during daytime (approximately 11:00–15:00), while wind output remains relatively stable; hydropower and nuclear units mainly provide baseload support; thermal units undertake the primary dispatchable output; and the energy storage system provides supplementary support and peak shaving when renewable generation declines or when the load ramps up.
Notable differences are observed in the supply–demand matching performance across typical scenarios. Scenario 01 exhibits a persistent and large power deficit from the later daytime period into the evening peak, with the energy not served amplified by the combined effect of load increase and PV downturn, indicating that conventional flexibility and energy storage support are still insufficient under this “source–load” combination. Scenario 02 shows an overall good balance: throughout the day, the load profile is effectively covered by the generation mix, and the deficit is not prominent. Scenario 08 features a generally low deficit level, yet a short-lived spike-like deficit occurs in the late-night period, suggesting tightened system margin in certain hours and a stronger reliance on fast-ramping flexibility resources.
Figure 13, Figure 14 and Figure 15 report the hourly LOLP and EENS results for the corresponding scenarios. Overall, the risk levels are closely related to the compounded effects of “load up-ramp—PV down-ramp—thermal ramping/minimum on–off constraints”. During hours with high PV output, Scenario 02 and Scenario 08 maintain relatively low LOLP and EENS; after entering the evening period, the risk in all three scenarios increases as the net load rises. Scenario 01 sustains high LOLP throughout the day and approaches extreme values during the evening peak, while EENS also reaches daily maxima from dusk to night, indicating both a higher likelihood of loss-of-load events and a larger shortage magnitude. Scenario 02 shows a moderate risk level, with LOLP and EENS rising during the evening peak but remaining below Scenario 01. Scenario 08 exhibits the lowest risk during daytime low-risk hours, but a clear late-night risk surge appears, consistent with its short-term deficit spike. In summary, the evening-to-night period—particularly the evening peak and its subsequent hours—constitutes the most critical window for system adequacy risk and should be the focal interval for subsequent compensation clearing and mechanism comparison analyses.

5.2.3. Comparative Analysis of Typical-Scenario Clustering-Based Assessment and Deterministic Baseline Assessment

To further verify the rationality and effectiveness of the typical operating-scenario clustering method, the following two assessment schemes are set up for comparative analysis:
Scheme 4: Typical-scenario clustering-based assessment.
Scheme 5: Deterministic baseline assessment.
Scheme 4 constructs a system-level set of representative operating scenarios based on typical source-side and load-side scenarios, and then aggregates the hour-by-hour assessment results using scenario probability weights. In this way, the source–load uncertainty, temporal fluctuations, and their impacts on supply–demand mismatch risks are preserved as much as possible under a limited scenario scale, producing LOLP and EENS sequences that reflect the temporal evolution of risk. Scheme 5 performs hour-by-hour adequacy calculation using a single deterministic input, without introducing a scenario set or probability-weighted aggregation. Figure 16 and Figure 17 present the comparative results of system LOLP and EENS under the two schemes, respectively.
From the daily trends of LOLP and EENS, it can be observed that the two assessment methods exhibit consistent intraday patterns. Both reflect the typical characteristics of higher renewable generation and better adequacy around midday, as well as increased loss-of-load risk during the morning and evening load peaks. In comparison, the results of Scheme 4 are closer to the hour-by-hour assessment results over the entire day, better reproducing the timing of trough periods and the magnitude of risk variations during peak hours, thereby accurately reflecting the system-level supply–demand characteristics under operation.
In contrast, Scheme 5 performs hour-by-hour adequacy calculations based on a single deterministic input, without introducing a scenario set or probability-weighted aggregation. As a result, it is difficult for Scheme 5 to capture the cumulative diffusion of source–load uncertainty over time and the amplification effects of tail events on supply–demand mismatch risks. Therefore, Scheme 5 has certain limitations in identifying and quantifying risks during extreme periods, and it mainly serves as a deterministic baseline where uncertainty is not explicitly considered.
Overall, Scheme 4 reduces the computational complexity of operational adequacy assessment while maintaining assessment accuracy, providing a more reasonable and efficient representation of operating conditions for subsequent compensation-mechanism analysis.

5.3. Validation of the Capacity Remuneration Mechanism

To verify the effectiveness of the proposed risk-driven clearing mechanism, two comparative schemes are set up under the same day-ahead unit commitment, the same set of compensable resources, the same resource constraints, and the same clearing rules:
Scheme 6 Risk-neutral unified clearing mechanism.
Scheme 7 Risk-driven clearing mechanism.
The two schemes differ only in the risk modeling mechanism. Scheme 7 adds an Expected Energy Not Served penalty term to the lower-level objective function and imposes a Loss of Load Probability risk hard constraint, which corresponds to the proposed approach in this paper, whereas Scheme 6 does not include the above risk-driven design. The following sections will present the modeling and clearing procedures of the two mechanisms, and conduct a comparative analysis in terms of compensation effectiveness, compensation cost, and computational efficiency, thereby validating the effectiveness of the dual safeguard mechanism of “Loss of Load Probability constraint plus Expected Energy Not Served penalty function”.
The comparisons of system Loss of Load Probability and Expected Energy Not Served before and after compensation are shown in Figure 18 and Figure 19. Without introducing the compensation mechanism, the weighted intraday Loss of Load Probability and Expected Energy Not Served exhibit pronounced period-to-period differences, with particularly prominent risk during the evening peak. Specifically, during 18:00–22:00, Loss of Load Probability remains above 0.8 for an extended duration, and Expected Energy Not Served reaches the daily maximum in the same period, peaking at over 450 MWh. This indicates that under the combined conditions of high load and constrained regulation capability, the system faces a severe loss-of-load risk, which is consistent with the preceding analysis of generation–load uncertainty and load fluctuation characteristics.
After introducing the compensation mechanism, both schemes significantly improved system operational reliability. Following compensation, the LOLP at all hours throughout the day was reduced to below 0.1, and the EENS decreased to the order of tens of MWh, indicating that compensation resources can effectively bridge the power shortfall caused by source–load mismatches. Although intraday risk remains primarily concentrated during the evening peak hours, its absolute level is substantially lowered, suggesting that compensation resources mainly take effect in the most risk-intensive critical periods.
A further comparison between the two compensation schemes shows that the risk-driven scheme (Scheme 7) yields overall lower Loss of Load Probability and Expected Energy Not Served during the evening peak than the non-risk-driven scheme (Scheme 6), with the difference being particularly evident during 19:00–22:00. This indicates that, under the same typical operating scenarios and clearing rules, imposing a Loss of Load Probability risk hard constraint and adding an Expected Energy Not Served penalty function can more effectively identify and constrain extreme deficits in high-risk periods, leading to a more concentrated deployment of compensable resources in critical periods and thus more efficient risk reduction. In contrast, Scheme 6 lacks such a risk-driven mechanism, resulting in a more temporally dispersed compensation allocation and relatively weaker targeting of extreme deficits during the evening peak.
The results of the system compensation output and clearance electricity price using Scheme 7 are shown in Figure 20 and Figure 21. The compensation output results indicate a clear layered dispatch pattern in the compensation process. During the early stage of load increase, conventional resources such as hydropower units and thermal generating units are dispatched first to provide compensation. As the system gradually enters a high-load operating state, flexibility resources such as the energy storage system and demand response begin to participate, and their contributions are mainly concentrated during the evening peak period. This compensation output structure is consistent with the post-compensation trajectories of Loss of Load Probability and Expected Energy Not Served, indicating that the dispatch order of compensable resources can effectively match the system risk level.
The market-clearing price curve further supports the above observation. When the system has sufficient margin, the market-clearing price remains at a low level. As system tightness increases, the market-clearing price rises gradually and increases markedly during the evening peak, when high-marginal-cost flexibility resources become the marginal cleared resources. The rapid price changes in certain periods reflect the transition from conventional compensable resources to higher-cost flexibility resources, indicating that the proposed compensation market-clearing mechanism can use price signals to characterize system tightness and incentivize compensable resources to be deployed preferentially during critical periods.
The comparisons of system compensation cost and computation time between Scheme 6 and Scheme 7 are summarized in Table 10. The total compensation cost of Scheme 5 is 1,885,781 CNY, which is significantly lower than that of Scheme 4 (2,209,336 CNY). Meanwhile, the computation time of Scheme 7 is only 7.3 s, whereas Scheme 6 requires 23.5 s.
These results indicate that the risk-driven integrated clearing mechanism has clear advantages in both economic performance and computational efficiency. On the one hand, by introducing an Expected Energy Not Served penalty term in the lower-level objective function and imposing a Loss of Load Probability risk constraint, compensable resources are more concentrated in high-risk periods, reducing redundant compensation in non-critical periods and thereby lowering the overall compensation cost. On the other hand, the risk constraint and penalty term provide a clearer search direction for the compensation allocation, reducing the effective computational scale of the iterative solution process and, consequently, the computational burden of the outer-loop iteration. As a result, higher solution efficiency is achieved while satisfying the reliability constraint.
To further assess the applicability of the proposed algorithm under larger-scale systems and higher temporal resolutions (e.g., intraday markets), we conduct a trend analysis with respect to two extension factors: (i) increasing the number of units and (ii) improving temporal resolution.
All simulations are performed on a workstation equipped with an NVIDIA GeForce RTX 4060 (8 GB) GPU, an Intel Core i7-13700H CPU (14 cores, 20 threads), 32 GB RAM, and Windows 11 64-bit. The software environment is MATLAB R2023b. Since the proposed bilevel clearing model is solved using a particle swarm optimization (PSO) algorithm, the outer-layer iterations repeatedly call the inner-layer hourly unified clearing problem. Therefore, the overall runtime is mainly determined by the product of (number of inner-layer optimization calls) × (runtime per single clearing).
First, we consider scaling the number of dispatchable units from 1× to 10× of the baseline size. Increasing the unit count directly enlarges the number of decision variables and constraints in the inner-layer clearing model, thereby increasing the runtime per optimization solve. Second, we consider refining the temporal resolution beyond the hourly level, increasing the number of discretized periods in the operating day by 1× to 6×.
As shown in Figure 22 and Figure 23, the computing time exhibits a clear nonlinear growth with both increasing unit scale and improved temporal resolution. Taking unit scale as an example, when the number of units increases from 8 to 40, the computing time rises only modestly from 7.3 s to 14.2 s. However, as the scale continues to expand, the growth accelerates significantly, reaching 29.2 s, 84.5 s, and 131.5 s for 48, 72, and 80 units, respectively. This indicates that system-scale expansion substantially increases the size and coupling complexity of the optimization problem, thus making it more difficult to solve. Similarly, when the temporal resolution is increased from ×1 to ×4, the computing time grows from 7.3 s to 16.2 s, whereas further increases to ×5 and ×6 lead to sharp jumps to 51.2 s and 123.1 s, respectively. This suggests that a higher resolution amplifies the computational burden due to the increased number of time periods and strengthened inter-temporal coupling constraints. Overall, these results demonstrate that the proposed method can still complete the solution within the minute-level range under increased scale and resolution, indicating favorable computational efficiency and engineering applicability, and providing feasibility support for practical deployment in larger systems and finer time scales.

5.4. Verification of Risk Propagation and Clearing-Price Response in Extreme Periods

To more intuitively illustrate how an extreme event propagates along the “risk assessment–compensation allocation–unified clearing” chain and affects compensation outcomes, Typical Scenario 1 is selected for an end-to-end verification. The evening peak extreme period of Typical Scenario 1 (19–22 h) corresponds to a stressed operating condition characterized by low generation output and high load levels. During the evening peak, the system is more prone to power deficits, leading to a pronounced increase in loss-of-load risk and the formation of a peak-risk plateau. Therefore, conducting an hour-by-hour comparison for the key extreme periods in this scenario can more clearly reveal the differences between the two clearing mechanisms in terms of (i) the focus of risk identification, (ii) the targeted nature of compensation allocation, and (iii) the effectiveness of price signals. The risk propagation and compensation-clearing results for the extreme periods in Typical Scenario 1 are summarized in Table 11.
During the evening peak extreme period (19–22 h) in Typical Scenario 1, the Expected Energy Not Served (EENS) before compensation is 448.98, 445.58, 430.27, and 408.16 MWh, respectively, totaling 1732.99 MWh. This indicates that the tail risk is highly concentrated in specific time periods and is mainly dominated by deficits in the evening peak. After introducing the capacity compensation mechanism, both schemes significantly compress the above tail risk, reducing EENS from the “hundreds of MWh” level to the “tens of MWh” level. This demonstrates that compensation resources can effectively mitigate the power deficit caused by source–load mismatch. Meanwhile, the risk remains primarily concentrated in the key evening-peak hours, reflecting the inherent tendency that compensation allocation aggregates toward high-risk periods in the time dimension.
A further comparison shows that the risk-driven clearing mechanism achieves more sufficient risk reduction during extreme periods. Under Scheme 4, the post-compensation EENS at 19–22 h is 26.21, 35.86, 39.31, and 38.62 MWh, respectively, totaling 140.00 MWh; under Scheme 5, the corresponding values are 30.34, 32.76, 35.52, and 38.28 MWh, totaling 136.90 MWh. The risk reductions in the extreme period are therefore 1592.99 MWh and 1596.09 MWh, with reduction rates of 91.92% and 92.10%, respectively. These results indicate that, under the same day-ahead commitment, compensation resource set, resource constraints, and clearing rules, Scheme 5—by introducing an EENS penalty and adding a hard constraint on loss-of-load probability (LOLP)—can more effectively target the evening-peak extreme deficit. As a result, the deployment of compensation resources in critical periods becomes more targeted, leading to more efficient tail-risk compression. In contrast, Scheme 4 lacks risk-driven design, and thus its ability to constrain and focus on the evening-peak extreme deficit is relatively weaker.
From the perspective of “risk–price” transmission, the system stress during extreme periods is further reflected in a marked rise in clearing prices, indicating that the marginal clearing resource shifts from conventional compensation resources to flexible resources with higher marginal costs. Under Scheme 5, the clearing prices at 19–22 h are 410, 610, 627, and 382 CNY/MWh, respectively; under Scheme 4, they are 480, 683, 746, and 450 CNY/MWh, respectively. It can be seen that, while achieving an overall lower risk level, Scheme 5 also yields lower clearing prices during the key evening-peak periods. This suggests that the risk-driven unified clearing mechanism can more effectively suppress redundant compensation investment in non-critical hours and unnecessary directions under reliability constraints, thereby alleviating the marginal clearing pressure from high-cost resources during critical periods and improving both price signals and economic performance. This consistent contrast—“more sufficient risk reduction with lower price levels”—also corroborates the results in Table 7, where Scheme 5 exhibits a lower total compensation cost and shorter computing time, further validating the comprehensive advantages of the “dual-insurance” mechanism (hard LOLP constraint plus EENS penalty) in terms of reliability, economics, and computational efficiency.

6. Conclusions

To address the challenges brought by large-scale renewable integration—namely, heightened source–load uncertainty, aggravated extreme-period risks, and limited efficiency in compensation deployment—this paper develops a unified methodological framework centered on source–load spatiotemporal correlation forecasting, adequacy assessment under representative operating scenarios, and risk-constrained capacity compensation clearing. The proposed framework establishes an end-to-end pipeline from uncertainty-input generation to risk quantification and further to intraday compensation decision-making. The main conclusions are as follows:
1.
Conclusions on spatiotemporal correlation-aware generation–load joint forecasting:
A unified spatiotemporal generation–load forecasting model is established by coupling Markov-chain time-series state-transition sampling with Copula-based spatial dependence modeling, which jointly captures temporal correlation, spatial correlation, and generation–load coupling, and produces statistically consistent uncertainty inputs with prediction confidence intervals.
2.
Conclusions on typical operating scenario-driven resource adequacy assessment:
A representative operating scenarios-based resource adequacy assessment strategy is proposed, combining typical-day and representative operating scenarios construction with probability weighting to preserve extreme-risk characteristics under a limited scenario scale; LOLP and EENS are used to quantify loss-of-load risk and provide directly usable time-series inputs and risk measures for subsequent optimization.
3.
Conclusions on risk-driven integrated capacity compensation market clearing:
A risk-driven bilevel integrated market clearing model for intraday capacity remuneration is developed, incorporating available compensable capacity and marginal cost formulations for thermal units, hydro units, energy storage system, and interruptible load; by enforcing LOLP risk constraints and penalizing EENS, the model yields an interpretable linkage between compensation dispatch and market-clearing price, and converts adequacy risk results into actionable intraday clearing decisions.

Author Contributions

Conceptualization, L.F. and P.A.; methodology, L.F.; software, Z.Y.; validation, Z.Y. and L.F.; formal analysis, P.A. and Y.M.; resources, L.F.; data curation, Z.Y.; writing—original draft preparation, Z.Y. and L.F.; writing—review and editing, L.F., J.C., and P.A.; visualization, Z.Y.; supervision, C.X.; project administration, L.F.; funding acquisition, L.F. All authors have read and agreed to the published version of the manuscript.

Funding

This work was supported by the Headquarters Management Science and Technology Project of State Grid Corporation of China, titled “Research and Application of Key Technologies for Dynamic Probabilistic Balancing and Security-Economy Equilibrium Decision-Making under High Uncertainty in Power Supply and Demand” (Project Task Code: 1400-202416292A-1-1-ZN; ERP Code: 520600240020).

Institutional Review Board Statement

Not applicable.

Informed Consent Statement

Not applicable.

Data Availability Statement

Data are contained within the article.

Conflicts of Interest

Author Peng An and Ying Mu were employed by the Economic and Technical Research Institute, State Grid Shandong Electric Power Company. The authors declare that this study received funding from the Headquarters Management Science and Technology Project of State Grid Corporation of China. The funders had no role in the design of the study; in the collection, analyses, or interpretation of data; in the writing of the manuscript; or in the decision to publish the results. The remaining authors declare that the research was conducted in the absence of any commercial or financial relationships that could be construed as a potential conflict of interest.

References

  1. Zeng, H.; Sun, F.; Li, T.; Zhang, Q.; Tang, J.; Zhang, T. Analysis of “9·28” Blackout in South Australia and Its Enlightenment to China. Autom. Electr. Power Syst. 2017, 41, 1–6. [Google Scholar]
  2. Sun, H.; Xu, T.; Guo, Q.; Li, Y.; Lin, W.; Yi, J.; Li, W. Analysis on Blackout in Great Britain Power Grid on August 9th, 2019 and Its Enlightenment to Power Grid in China. Proc. CSEE 2019, 39, 6183–6192. [Google Scholar]
  3. Li, Z.; Cai, Y.; Cao, Y.; Li, L.; Tan, Y. Analysis of “2·15 blackout in Texas and its enlightenment to China’s new power system supply adequacy. J. Electr. Power Sci. Technol. 2022, 37, 17–24. [Google Scholar]
  4. Gao, H.; Guo, M.; Liu, J.; Liu, T.; He, S. Power Supply Challenges and Prospects in New Power System from Sichuan Electricity Curtailment Events Caused by High-temperature Drought Weather. Proc. CSEE 2023, 43, 4517–4538. [Google Scholar]
  5. The editorial Department of this journal. The three departments jointly issued the Action Plan for Accelerating the Construction of a New Power System (2024–2027). Rural. Electrif. 2024, 1. Available online: https://kns.cnki.net/kcms2/article/abstract?v=BoNITJRTahKkhhv-RswhIa7uD-KD5b5CUCJK9qthSXxnmV1vNDOrUlBZMEADtig3_ZD-JKcSeQYKwrOThvo71o4KJcpfXay8yGqET8Lo_vqBDkJWU3CZWjUPE69BZHVxZ5SrGMN-yl2Bclp0bh4kuHxjUgbPdtnDuVKeJmIbeZOXKvFcCwC4EA==&uniplatform=NZKPT&language=CHS (accessed on 23 February 2026).
  6. Qian, Z.; Pei, Y.; Cao, L.; Wang, J.; Jing, B. Review of Wind Power Forecasting Method. High Volt. Eng. 2016, 42, 1047–1060. [Google Scholar]
  7. Wang, J.; Song, Z.; Ran, R. Short-Term Photovoltaic Power Generation Rolling Forecast Based on Optimized SVM. Proc. CSU-EPSA 2016, 28, 9–13. [Google Scholar]
  8. Meng, Y.; Lu, J.; Sun, H.; Pan, X.; Gao, D.; Liao, Y. Short-Term Wind Power Forecasting Based on Similar Days and Artificial Neural Network. Power Syst. Technol. 2010, 34, 163–167. [Google Scholar]
  9. Zhou, X.; Dong, L.; Hao, Y.; Liao, X.; Gao, Y. Wind power prediction based on expansion corrosion clustering method. Acat Energiae Solaris Sin. 2010, 34, 163–167. [Google Scholar]
  10. Luo, G.; Shi, D.; Chen, J.; Duan, X.; Li, H. MCMC-Based Method for Time-Series Simulation of Wind and Solar Power Generation. Power Syst. Technol. 2014, 38, 321–327. [Google Scholar]
  11. Xiao, B.; Lyu, D.; Zhang, S.; Wang, H.; Wang, C.; Dong, G. Time-Series Simulation Method for Joint Wind–Solar Power Output Based on Markov Chain and Copula Theory. Mod. Electr. Power 2020, 37, 245–254. [Google Scholar]
  12. Shao, Y.; Mu, Y.; Yu, X.; Jia, H.; Wu, J.; Dong, X. Spatio-Temporal Forecasting of Electric Vehicle Charging Load under the “Vehicle–Road–Grid” Mode and Its Impact on Distribution Network Power Flow. Proc. Chin. Soc. Electr. Eng. 2017, 37, 5207–5219. [Google Scholar]
  13. Ding, M.; Song, X.; Sun, L.; Zhang, Y.; Han, P. Scenario Generation and Evaluation Method for Multi-Wind-Farm Power Output Considering Spatio-Temporal Correlation. Electr. Power Autom. Equip. 2019, 39, 39–47. [Google Scholar]
  14. Yang, D.; Zhang, D.; Yan, J.; Li, Y.; Sun, K.; Jiao, Z. Joint Wind–Solar–Load Scenario Generation Considering Multi-Factor Coupling among Source, Load, and Environment. Power Syst. Prot. Control 2025, 53, 63–74. [Google Scholar]
  15. Zhang, Z.; Kang, C. Challenges and Prospects of Building a New-Type Power System under the Carbon Neutrality Goal. Proc. Chin. Soc. Electr. Eng. 2022, 42, 2806–2819. [Google Scholar]
  16. Jiang, H.; Du, E.; Ma, J.; Zhao, D.; Mei, S.; Kang, C. Power System Optimal Planning Method Considering Long-term Imbalance Risk. Proc. Chin. Soc. Electr. Eng. 2024, 44, 5845–5858. [Google Scholar]
  17. Ye, X.; Wang, C.; Li, Q.; Shi, Z.; Hu, J. Measures and implications for ensuring power supply in power systems with high renewable energy penetration abroad. Electr. Power 2024, 57, 61–67. [Google Scholar]
  18. Huang, H.; Jia, X.; Cheng, K.; Xu, J. Generation Capacity Adequacy Assessment and Assurance Mechanisms of Multiple Resources in New-Type Power Systems. Autom. Electr. Power Syst. 2024, 48, 77–87. [Google Scholar]
  19. Liu, X.; Liu, S.; Yu, S.; Zhou, M.; Zhang, J.; Zhou, Z.; Wu, Z. Peak Load Regulation Capacity Compensation Mechanism for New Power System Flexibility Enhancement. Power Syst. Technol. 2023, 47, 155–163. [Google Scholar]
  20. Wang, Y.; Zhu, T.; Zhang, Y.; Lu, E.; Chen, X.; Wen, J. A Preliminary Study on Capacity Compensation Mechanisms Adapted to the Development of China’s Power Spot Market. Autom. Electr. Power Syst. 2021, 45, 52–61. [Google Scholar]
  21. Zhang, M.; Zhang, N.; Wu, Z.; Gao, J.; Xu, X.; Li, J.; Lv, Q. Joint Clearing Model of the Day-Ahead Energy Market and the Deep Peak Regulation Market. Electr. Power 2022, 55, 138–144. [Google Scholar]
  22. Qu, Y.; Xiao, Y.; Zhang, C.; Zhang, P.; Li, X.; Zhou, M.; Wu, Z. Capacity Market Clearing Model and Pricing Method Considering Flexible Regulation Demand. Autom. Electr. Power Syst. 2024, 48, 64–76. [Google Scholar]
  23. Sun, Q.; You, P.; Li, C.; Liu, S.; Li, Y.; Gao, X. Design of Capacity Market Mechanisms Adapted to China’s Current Power Market Environment. Electr. Power 2022, 55, 196–201. [Google Scholar]
  24. Duan, S.; Miao, S.; Huo, X.; Li, Q.; Chao, K.; Lin, K. Modeling and dynamic correlation analysis of wind/solar power joint output based on dynamic Copula. Power Syst. Prot. Control 2019, 47, 35–42. [Google Scholar]
  25. Xia, Q.; Luo, Y.; Wang, R.; Zou, Y.; Luo, H.; Li, J.; Zhou, N.; Wang, Q. Source–Load Matching Analysis and Capacity Optimization of Wind–Solar–Thermal Coupled Systems Considering Renewable Ramping Characteristics. J. Shanghai Jiao Tong Univ. 2024, 58, 69–81. [Google Scholar]
  26. Tian, T.; Huang, M.; Chang, S.; Wang, H.; Li, W.; Chen, L. Coordinated Scheduling Method of Nuclear Power and Energy Storage to Enhance Renewable Energy Accommodation under Peak Regulation and Frequency Regulation Constraints. J. Electr. Power Sci. Technol. 2025, 40, 171–181. [Google Scholar]
  27. Li, J.; Qu, T.; Zhu, Y.; Wang, J.; Zhang, S.; Qiu, Y. Multi-Mode Optimal Scheduling Model for Large Cascade Hydropower Stations during the Dry Season. J. Water Resour. Water Eng. 2024, 35, 124–132. [Google Scholar]
  28. Ling, X.; Tang, C.; Wang, Y.; Yu, X.; Zhou, Y. Optimal Scheduling of Pumped Storage Power Stations for Promoting Wind and Solar Energy Accommodation. China Rural. Water Hydropower 2026, 1–15. Available online: https://link.cnki.net/urlid/42.1419.tv.20251016.1832.020 (accessed on 23 February 2026).
  29. Zhao, J.; Qiao, H.; Yao, S.; Wu, J.; Wang, B.; Liao, K. Hybrid Energy Storage Capacity Configuration Strategy for Wind Power Fluctuation Smoothing Considering SOC Self-Recovery. Trans. China Electrotech. Soc. 2024, 39, 5206–5219. [Google Scholar]
  30. Huang, D.; Guo, N.; Yu, N.; Kong, L. Incentive-Based Demand Response Optimization Strategy for Large Consumers to Enhance System Flexibility. Trans. China Electrotech. Soc. 2024, 39, 6778–6792. [Google Scholar]
  31. Feinberg, J.P.; Spies, K.; Cadden, K.; Wintmanter, N. Resource Adequacy Requirements: Reliability and Economic Implications; The Brattle Group, Prepared for Federal Energy Regulatory Commission (FERC): Boston, MA, USA, 2013. [Google Scholar]
  32. Shi, Y.; Zhang, Z.; Yang, J.; Xiao, B.; Han, S.; Sun, L. Opportunity Cost Modeling and Market Strategy of Energy Storage Battery Systems Providing AGC Frequency Regulation. Energy Storage Sci. Technol. 2022, 11, 2366–2373. [Google Scholar]
  33. Fang, J.; Ai, X.; Pan, W.; Wang, B.; Wang, K. Unit Commitment Optimization Scheduling Model Based on Interruptible Load. Mod. Electr. Power 2014, 31, 47–53. [Google Scholar]
  34. Zhang, H.; Xiong, Z.; Zhu, Y.; Huang, W.; Chen, S. Construction Method of Cascade Hydropower Spot Bidding Units Based on the “Virtual Reservoir” Concept. Trans. China Electrotech. Soc. 2022, 37, 719–728. [Google Scholar]
  35. Wang, B.; Chen, Y.; Hu, W.; Mou, Y.; Hu, C.; Zou, P. Provincial Time-of-Use Value of Lost Load Estimation and Its Application for Enhancing Energy Security. Autom. Electr. Power Syst. 2025, 49, 22–32. [Google Scholar]
Figure 1. Schematic diagram of the technical pipeline.
Figure 1. Schematic diagram of the technical pipeline.
Sustainability 18 02300 g001
Figure 2. Wind power forecast flow chart.
Figure 2. Wind power forecast flow chart.
Sustainability 18 02300 g002
Figure 3. Flowchart for generating typical scenarios.
Figure 3. Flowchart for generating typical scenarios.
Sustainability 18 02300 g003
Figure 4. Flowchart of the system adequacy assessment.
Figure 4. Flowchart of the system adequacy assessment.
Sustainability 18 02300 g004
Figure 5. Two-layer model paradigm architecture diagram.
Figure 5. Two-layer model paradigm architecture diagram.
Sustainability 18 02300 g005
Figure 6. Comparison of wind–solar power distribution curves: (a) comparison of wind power distribution curves; (b) comparison of photovoltaic power distribution curves.
Figure 6. Comparison of wind–solar power distribution curves: (a) comparison of wind power distribution curves; (b) comparison of photovoltaic power distribution curves.
Sustainability 18 02300 g006
Figure 7. Comparison of wind power distribution curves under different forecasting schemes.
Figure 7. Comparison of wind power distribution curves under different forecasting schemes.
Sustainability 18 02300 g007
Figure 8. Comparison of photovoltaic power generation prediction curves under different forecasting schemes.
Figure 8. Comparison of photovoltaic power generation prediction curves under different forecasting schemes.
Sustainability 18 02300 g008
Figure 9. Wind farm 1 probability interval prediction results.
Figure 9. Wind farm 1 probability interval prediction results.
Sustainability 18 02300 g009
Figure 10. Typical Scenario 1: Output structure and load curve.
Figure 10. Typical Scenario 1: Output structure and load curve.
Sustainability 18 02300 g010
Figure 11. Typical Scenario 2: Output structure and load curve.
Figure 11. Typical Scenario 2: Output structure and load curve.
Sustainability 18 02300 g011
Figure 12. Typical Scenario 8: Output structure and load curve.
Figure 12. Typical Scenario 8: Output structure and load curve.
Sustainability 18 02300 g012
Figure 13. LOLP and EENS curves of Typical Scenario 1: (a) LOLP; (b) EENS.
Figure 13. LOLP and EENS curves of Typical Scenario 1: (a) LOLP; (b) EENS.
Sustainability 18 02300 g013
Figure 14. LOLP and EENS curves of Typical Scenario 2: (a) LOLP; (b) EENS.
Figure 14. LOLP and EENS curves of Typical Scenario 2: (a) LOLP; (b) EENS.
Sustainability 18 02300 g014
Figure 15. LOLP and EENS curves of Typical Scenario 8: (a) LOLP; (b) EENS.
Figure 15. LOLP and EENS curves of Typical Scenario 8: (a) LOLP; (b) EENS.
Sustainability 18 02300 g015
Figure 16. LOLP index comparison.
Figure 16. LOLP index comparison.
Sustainability 18 02300 g016
Figure 17. EENS index comparison.
Figure 17. EENS index comparison.
Sustainability 18 02300 g017
Figure 18. Comparison of LOLP before and after compensation: (a) LOLP before compensation; (b) comparison of LOLP after compensation under different schemes.
Figure 18. Comparison of LOLP before and after compensation: (a) LOLP before compensation; (b) comparison of LOLP after compensation under different schemes.
Sustainability 18 02300 g018
Figure 19. Comparison of EENS before and after compensation: (a) EENS before compensation; (b) comparison of EENS after compensation under different schemes.
Figure 19. Comparison of EENS before and after compensation: (a) EENS before compensation; (b) comparison of EENS after compensation under different schemes.
Sustainability 18 02300 g019
Figure 20. The system compensates for the map.
Figure 20. The system compensates for the map.
Sustainability 18 02300 g020
Figure 21. Market-clearing electricity price chart.
Figure 21. Market-clearing electricity price chart.
Sustainability 18 02300 g021
Figure 22. The impact of increasing the scale of the unit on the computing time.
Figure 22. The impact of increasing the scale of the unit on the computing time.
Sustainability 18 02300 g022
Figure 23. The impact of improved temporal resolution on computing time.
Figure 23. The impact of improved temporal resolution on computing time.
Sustainability 18 02300 g023
Table 1. Summary table of the literature review.
Table 1. Summary table of the literature review.
TopicKey Findings in Prior StudiesReferencesLimitations/GapsWhat This Study Aims to Address
Generation/load uncertainty forecasting and scenario generation (temporal/spatial/joint)Markov chains/MCMC can generate generation series with temporal structures; dependence modeling (e.g., copulas) improves joint simulation consistency; multi-site/multi-source scenario generation better reproduces correlated fluctuations; spatiotemporal load-forecasting frameworks and mechanism-coupled modeling have been explored.[10,11,12,13,14]Generation and load are often forecast separately; unified joint outputs that are both statistically consistent and directly usable for assessment/optimization are insufficient.Deeply couple temporal state-transition sampling with spatial dependence modeling to produce statistically consistent joint generation–load uncertainty scenarios (time series).
Adequacy assessment and risk metrics (e.g., LOLP, EENS)Adequacy evaluation has shifted from static capacity margins to probabilistic risk metrics; sequential Monte Carlo can capture compounded risks from outages and variability; extreme-weather and long-duration risk constraints enhance the modeling of sustained shortage events.[15,16,17,18]Strong conflict between scenario size and computational burden; extreme risks may be distorted during scenario reduction; assessment results are not easily translated into compensation clearing.Develop “typical-day/representative-scenario + probability weighting” to preserve extreme risks within a limited scenario set, and output hourly risk measures that can be directly used in clearing models.
Capacity compensation mechanisms and clearing/settlementCapacity compensation supports cost recovery and investment/flexibility incentives; joint market-clearing and pricing models can improve coordination efficiency and provide capacity incentive signals.[19,20,21,22,23]Many clearing models remain largely deterministic; insufficient coupling with time-series risk inputs and risk constraints/penalty terms, potentially leading to under-compensation in extreme hours or excessive computational burden.Formulate a risk-driven unified clearing model incorporating marginal costs and unserved-energy penalties with explicit reliability constraints, enabling quantitative “risk → compensation decision” transmission.
Integrated forecasting–assessment–compensation linkageA limited number of studies have begun to emphasize the need for linking assessment and mechanism design.[15]A practical end-to-end closed loop is still lacking: outputs from forecasting, assessment reduction, and compensation clearing are not aligned in terms of inputs/outputs.Connect the data chain and model chain across forecasting–assessment–compensation to establish a closed-loop integrated framework and a reusable workflow.
Table 2. Key parameters of the Markov chain.
Table 2. Key parameters of the Markov chain.
ItemValue in This StudyDescription
Time scale1 hHourly discrete time series
Number of states7Balances fluctuation representation and statistical stability of transition estimation
State boundariesEmpirical quantile binningMakes samples across states more balanced and reduces sparse transitions
Number of time groups24Hourly grouping to obtain intraday time-varying transition matrices
Transition-matrix smoothing10−2Avoids zero-probability transitions and improves the stability of recursive sampling
Number of sampled trajectories500Balances statistical robustness and computational cost
Multi-step prediction horizon2424 h rolling/recursive forecasting
Table 3. AIC, BIC, and LogL for candidate copula models.
Table 3. AIC, BIC, and LogL for candidate copula models.
Copula FunctionAICBICLogL
Dynamic C-Copula−3509.6092−3471.38311760.805
Static C-Copula−1872.7852−1872.7852−1872.7852
Dynamic SJC-Copula−2754.8375−2754.8375−2754.8375
Static SJC-Copula582.6302582.6302582.6302
Dynamic t-Copula−3022.3678−3022.3678−3022.3678
Static t-Copula582.6302582.6302582.6302
Table 4. Error comparison of PV power forecasting results across different schemes.
Table 4. Error comparison of PV power forecasting results across different schemes.
Forecasting MethodRMSE (MW)MAE (MW)
Scheme 1 6.5383.263
Scheme 2 4.3821.879
Scheme 3 0.6520.587
Table 5. Error comparison of wind power forecasting results across different schemes.
Table 5. Error comparison of wind power forecasting results across different schemes.
Forecasting MethodRMSE (MW)MAE (MW)
Scheme 1 12.3628.294
Scheme 2 5.8463.205
Scheme 3 1.7391.268
Table 6. Wind farms on March 1: Adequacy indicators of different forecasting methods.
Table 6. Wind farms on March 1: Adequacy indicators of different forecasting methods.
Forecasting Method90% Confidence95% Confidence
Level (PICP)Level (MPIM)Level (PICP)Level (MPIM)
Scheme 2 96.4%4.7697.6%3.68
Scheme 3 98.8%3.61100%2.47
Table 7. Cost parameters of each power plant.
Table 7. Cost parameters of each power plant.
UnitCapacity
(MW)
Minimum Output (MW)Variable Cost (CNY·(MW·h)−1)Fixed Cost (104 CNY·MW−1)
Thermal Plant 1700350300350
Thermal Plant 2700350320350
Nuclear Power600300851800
Hydropower400100201100
Wind Farm 140000800
Wind Farm 260000800
PV Plant 160000700
PV Plant 290000700
Table 8. Technical parameters of each power plant.
Table 8. Technical parameters of each power plant.
UnitAuxiliary Power Rate (%)Maintenance Time Share (%)Forced Outage Rate (%)Ramp Rate (MW/min)
Thermal Plant 15.3613.293.4820
Thermal Plant 25.494.230.9310
Nuclear Power5.168.970.656
Hydropower0.750.561.2380
Wind Farm 12.248.750.24-
Wind Farm 20.939.120.25-
PV Plant 11.897.350.42-
PV Plant 20.768.570.38-
Table 9. Typical scenario probability.
Table 9. Typical scenario probability.
Power Supply ScenarioProbabilityLoad ScenarioProbabilitySystem ScenarioProbability
Scenario 1 (Supply Peak)0.7836Scenario 1 (Load Peak)0.3315Scenario 1 (Supply Peak & Load Peak)0.2598
Scenario 2 (Supply Peak & Load Medium)0.4766
Scenario 3 (Supply Peak & Load Valley)0.0472
Scenario 2 (Supply Medium)0.0110Scenario 2 (Load Medium)0.6083Scenario 4 (Supply Medium & Load Peak)0.0036
Scenario 5 (Supply Medium & Load Medium)0.0067
Scenario 6 (Supply Medium & Load Valley)0.0007
Scenario 3 (Supply Valley)0.2055Scenario 3 (Load Valley)0.0603Scenario 7 (Supply Valley & Load Peak)0.0681
Scenario 8 (Supply Valley & Load Medium)0.1250
Scenario 9 (Supply Valley & Load Valley)0.0124
Table 10. Comparison chart of system compensation cost and calculation time.
Table 10. Comparison chart of system compensation cost and calculation time.
SchemeCompensation Cost (104 CNY)Computation Time (s)
Scheme 6 220.933623.5
Scheme 7 188.57817.3
Table 11. Risk propagation and compensation-clearing results for the extreme periods in Typical Scenario 1.
Table 11. Risk propagation and compensation-clearing results for the extreme periods in Typical Scenario 1.
Time (h)Pre-Compensation EENS (MWh)Post-Compensation EENS of Scheme 4 (MWh)Risk Reduction of Scheme 4 (MWh)Post-Compensation EENS of Scheme 5 (MWh)Risk Reduction of Scheme 5 (MWh)Clearing Price of Scheme 4 (CNY/MWh)Clearing Price of Scheme 5 (CNY/MWh)
19448.9826.21422.7730.34418.64480410
20445.5835.86409.7232.76412.82683610
21430.2739.31390.9635.52394.75746627
22408.1638.62369.5438.28369.88450382
Total1732.99140.001592.99136.901596.09
Disclaimer/Publisher’s Note: The statements, opinions and data contained in all publications are solely those of the individual author(s) and contributor(s) and not of MDPI and/or the editor(s). MDPI and/or the editor(s) disclaim responsibility for any injury to people or property resulting from any ideas, methods, instructions or products referred to in the content.

Share and Cite

MDPI and ACS Style

Yuan, Z.; Feng, L.; An, P.; Xiao, C.; Mu, Y.; Chen, J. Power System Resource Adequacy Assessment and Capacity Remuneration Mechanism Considering Spatiotemporal Correlation of Generation and Load. Sustainability 2026, 18, 2300. https://doi.org/10.3390/su18052300

AMA Style

Yuan Z, Feng L, An P, Xiao C, Mu Y, Chen J. Power System Resource Adequacy Assessment and Capacity Remuneration Mechanism Considering Spatiotemporal Correlation of Generation and Load. Sustainability. 2026; 18(5):2300. https://doi.org/10.3390/su18052300

Chicago/Turabian Style

Yuan, Zekai, Liang Feng, Peng An, Chuanliang Xiao, Ying Mu, and Jiajia Chen. 2026. "Power System Resource Adequacy Assessment and Capacity Remuneration Mechanism Considering Spatiotemporal Correlation of Generation and Load" Sustainability 18, no. 5: 2300. https://doi.org/10.3390/su18052300

APA Style

Yuan, Z., Feng, L., An, P., Xiao, C., Mu, Y., & Chen, J. (2026). Power System Resource Adequacy Assessment and Capacity Remuneration Mechanism Considering Spatiotemporal Correlation of Generation and Load. Sustainability, 18(5), 2300. https://doi.org/10.3390/su18052300

Note that from the first issue of 2016, this journal uses article numbers instead of page numbers. See further details here.

Article Metrics

Back to TopTop