Abstract
The Ecuadorian Amazon, particularly in the provinces of Sucumbíos and Orellana, has been heavily impacted by oil activity since the 1970s. In this context, this study analyzed 161 groundwater samples taken from deep domestic wells in both provinces, with the aim of determining the concentrations of total petroleum hydrocarbons (TPH) and their implication on the health of consumers. The results showed that, in Orellana, TPH concentrations ranged between 0.11 and 7.30 mg/L, while in Sucumbíos they varied between 0.13 and 7.45 mg/L. More than 95% of water samples exceeded the maximum permissible limit of 0.2 mg/L for drinking water, according to the quality criteria established by Ecuadorian regulations. These levels of contamination reflect a significant exposure of local communities to health risks. In particular, the study revealed that the consumption of groundwater with high concentrations of TPH can generate non-cancer and carcinogenic risks greater than the levels recommended by the United States Environmental Protection Agency (USEPA). This situation endangers the health of people, especially children, who are the most vulnerable. The findings of this study highlight the urgency of implementing control measures and risk management strategies to mitigate contamination in areas affected by oil activity and protect the health of communities that depend on groundwater in the Amazon region.
1. Introduction
The Amazon is a geographical region that hosts the largest and most biodiverse tropical rainforest in the world, covering approximately 7 million km2 and spanning nine countries in South America [1,2]. This ecosystem plays a fundamental role in global climate control and provides vital resources for native communities and diverse species of flora and fauna. However, the Amazon faces serious threats from anthropogenic activities such as deforestation, mining and, in particular, oil extraction, which have not only caused significant alterations to its ecosystems [3,4,5], but have also introduced persistent pollutants that pose risks to the environment and human health [6,7,8,9,10].
Among these pollutants, total petroleum hydrocarbons (TPH) constitute a heterogeneous group of chemical compounds derived from both low and high molecular weight [11]. TPHs are considered persistent and priority pollutants arising from oil and gas exploration and production [12,13]. Among these compounds, polycyclic aromatic hydrocarbons (PAHs) and asphaltenes have a negative impact on soil, groundwater and ecosystems. PAHs, known for their mutagenic and carcinogenic properties, are classified as priority pollutants by the United States Environmental Protection Agency [14], due to the significant risk they pose to the health of ecosystems and living beings [15,16].
Exposure to environments contaminated with TPH has been associated with a wide range of adverse health effects in human populations. Several studies have reported that prolonged exposure to petroleum hydrocarbons, particularly those containing aromatic fractions such as PAHs, may increase the risk of developing serious health outcomes, including carcinogenic and mutagenic effects [17,18]. In addition, potential impacts on the nervous, hematological, and endocrine systems have been documented, although these effects largely depend on the exposure pathways, such as air, water, or soil, as well as on contaminant concentrations and exposure duration [19,20].
Elevated health risks have been reported in communities living in areas affected by oil spills or chronic hydrocarbon contamination, especially in populations that rely directly on groundwater resources or locally produced food. This evidence highlights the importance of assessing the potential health impacts of TPH exposure in populations already considered environmentally and socially vulnerable [21,22].
Significant impacts of TPH pollution have been documented globally in various regions. In Europe, groundwater and soil contamination by petroleum hydrocarbons has been reported, particularly in industrialized and urban areas, indicating that TPH contamination of subsurface environments is a global concern beyond oil-producing regions [23,24]. In Iran, oil activities have affected agricultural areas, with PAHs concentrations of up to 45.04 mg/L recorded in surface water during the wet season, in addition to carcinogenic risk levels from exposure to contaminated soils exceeding the safe exposure threshold (CR > 10−4) [25]. Similarly, in Nigeria, TPH concentrations in soils between 1480 and 1810 mg/kg have been reported, exceeding the permissible limit for the protection of marine life in up to 16% of the cases evaluated [26,27]. In wetland soils in the same region, PAHs were found in concentrations between 1.9 and 461 mg/kg, posing ecological and health risks [28,29].
In Latin America, where the oil industry plays an important role, cases of contamination by hydrocarbons, heavy metal(loid)s and other pollutants derived from extractive activities have been reported [11,30]. These impacts not only affect ecosystems, but also local communities, especially those that depend on natural resources for their livelihoods, such as indigenous and rural communities [31].
Water, soil and air pollution continue to represent major environmental concerns in the Amazon region [11,32]. In the northern Peruvian Amazon, oil pollution in soil and sediments has been confirmed as being linked to oil extraction activities, which has favored the bioaccumulation of toxic compounds in the food chain and has affected human health through the consumption of local wildlife. In San José de Saramuro and Trompeteros, significant concentrations of PAHs were reported, of 66,400 mg/L and 2,024,000 mg/L, respectively [33]. Moreover, Webb and Coomes [21] analyzed PAH exposure through the consumption of water and benthic fish in communities near oil extraction activities in the Andean Amazon (Ecuador–Peru). They linked PAH contamination to health risks for the local population in this region. Ecuadorian Amazon is a paradigmatic case of the environmental problems associated with oil production. This region has been the epicenter of intense extractive activity that began in the provinces of northeastern Ecuador in the 1970s [34], where oil and its derivatives are closely linked to both the ancient and modern history of the area. The provinces of Sucumbíos and Orellana are two of the main areas where oil activity is predominant, and the dependence on groundwater is notable, since a large part of the drinking water comes from deep wells. However, during Texaco’s operations, approximately 16.8 million gallons of oil were spilled directly into water sources and soil [35,36], which has raised questions about the quality of groundwater in these provinces [37].
Oil extraction has been a constant in the region for decades, leaving a lasting impact on land use, infrastructure growth, and environmental stress across the Ecuadorian Amazon [38]. Over time, this ongoing activity has brought about serious environmental and social issues, especially when it comes to water quality and public health concerns [6,39,40].
Previous studies conducted in the Ecuadorian Amazon have documented the presence of various pollutants, such as heavy metals, TPHs, in several environmental compartments. Corral et al. [34] reported TPH concentrations of up to 847,700 mg/kg and PAHs of up to 711,100 mg/kg in river sediments collected in the provinces of Orellana and Sucumbíos, reflecting significant environmental deterioration in the areas evaluated. Maurice et al. [6] analyzed the quality of drinking water, reporting high concentrations of potentially toxic elements (PTEs) in various environmental matrices, such as Mn (up to 500 mg/L in water), Ba (133.000 mg/Kg in soils) and Al (over 200 mg/L in water samples), which represent health risk for the inhabitants of local communities. Barraza et al. [10] investigated the content of PTEs in surface water and local crops, finding concentrations of Mn between 9.75 ng/m3 and 30.25 ng/m3, and a mean concentration of Ba of 94.60 ng/m3, both elements related to hydrocarbon activities, with Ba being associated with the use of drilling fluids [41,42]. Arellano et al. [38] investigated the effects of oil pollution in the Ecuadorian Amazon rainforest, finding a significant reduction in biodiversity and chlorophyll content in contaminated areas. Brice [43] identified TPH concentrations between 0.382 mg/L and 0.438 mg/L in surface water samples from Yasuní National Park, while they reported TPH levels in streams in the range of 0.097 and 2.883 mg/L. The sediments also showed high concentrations of TPH, reaching up to 6.980.000 mg/Kg in dry weight [44].
Studies conducted in the Ecuadorian Amazon have highlighted the magnitude of the environmental impact and the potential health risk for populations exposed to pollutants from oil activities. However, these investigations have focused on the analysis of surface water, soil and sediments, leaving a considerable gap in knowledge about groundwater intended for human consumption, an essential resource for local communities. This gap is particularly worrying, given that these waters can be an important vector of exposure to oil-derived pollutants. In this context, the objectives of the present study are; (a) to evaluate the concentration of TPH in groundwater in the provinces of Sucumbíos and Orellana, analyzing the spatial distribution pattern, and (b) to estimate the health risk to people exposed to TPH through direct consumption of this groundwater. This analysis will make it possible to identify the areas with the highest presence of TPH and provide key information to mitigate the impacts on the health of the communities.
2. Materials and Methods
2.1. Study Area
The study was conducted in the Ecuadorian Amazon region, specifically in the provinces of Sucumbíos and Orellana, located in northeast region of Ecuador (Figure 1). The selected area encompasses the cantons of La Joya de los Sachas, Francisco de Orellana, Loreto, Shushufindi, and Lago Agrio (Nueva Loja), covering approximately 39,776.52 km2. This region features a tropical humid forest climate, with an average temperature of 24 °C and an annual precipitation of 2997 mm [45]. According to the most recent census, these provinces have a combined population of 381,180 inhabitants [46].
Figure 1.
Study area and location of sampling stations.
Hydrogeological Context
From a hydrogeological point of view, the study area is characterized by wide low-altitude plains, where most of the sampling points are concentrated. These areas are dominated by poorly consolidated Quaternary deposits, mainly of fluvial, alluvial, and surface origin, composed of sand, silt, clay, and gravel, which favor the development of shallow, generally unconfined aquifers (Figure S1) [47].
Shallow aquifers have a direct hydraulic connection to the river network, suggesting that recharge occurs mainly through direct infiltration of precipitation and river-aquifer exchange, especially in floodplain areas. At depth, older sedimentary units consisting of sandstones and shales are recognized, which may behave locally as semi-confined or confined aquifers; however, most of the sampled wells capture water from the shallow aquifer system associated with Quaternary deposits.
According to the permeability map, derived from the Hydrogeological Map of Ecuador at a scale of 1:250,000, developed by the Secretariat of Water (SENAGUA) in 2014, the sampling points are mainly concentrated in areas characterized by low to moderate permeabilities (Figure S2), with values ranging from generally low (10−8–10−6 m/s) to moderate (up to approximately 10−4 m/s) [48]. This spatial distribution reflects the heterogeneity of the poorly consolidated sedimentary deposits that dominate the study area, where more permeable layers are intercalated with fine-grained materials, thereby conditioning groundwater flow and local hydraulic connectivity.
Overall, the hydrogeological context of the sampled areas is characterized by marked spatial variability, controlled by sedimentary and fluvial dynamics, which directly influences hydraulic connectivity, groundwater flow, and the transport of dissolved solutes.
2.2. Sample Collection
A total of 161 groundwater samples were collected from deep wells between March and June 2024. The sampling sites were selected based on their proximity to areas with reported hydrocarbon spill incidents. The sampled wells were private drilled wells used by the local population for water supply. The depth of the wells ranged from 20 to 30 m, and the water level ranged from 8 to 12 m. There were no signs of non-aqueous phase liquids (NAPLs) like visible oil films or separated hydrocarbon layers in any of the groundwater samples, whether during collection.
Groundwater samples were collected through pumping and storage in sterilized amber glass bottles to ensure minimal exposure to light and preserve the integrity of the samples. After labeling, the bottles were placed in insulated boxes and kept under refrigeration. All samples were transported to the laboratory on the same day to prevent alterations that could compromise the reliability of the results.
2.3. Physical–Chemical Analysis
Physical parameters were measured in situ, including pH, electrical conductivity (EC), total dissolved solids (TDS), and temperature, using a calibrated multiparameter equipment HACH, model HQ40D.
TPH concentrations were determined as bulk hydrocarbons rather than individual fractions, using infrared absorption spectroscopy, a method commonly applied for rapid environmental screening of petroleum hydrocarbons in water and other environmental matrices [49,50,51,52]. TPH quantification was performed using an InfraCal2 Model ATR-SP analyzer (Spectro Scientific, Chelmsford, MA, USA), with a detection limit of 0.3 ppm, following EPA Method 1664. TPH were extracted directly from the collection bottles by adding 14 mL of solvent S-316, a non-chlorinated infrared-grade extraction solvent, to 140 mL of sample, maintaining a ratio of 10:1 (sample/solvent). The bottle was sealed and shaken manually for two minutes to facilitate the transfer of compounds from the aqueous phase to the organic phase. Subsequently, phase separation was observed, allowing the hydrocarbon-enriched fraction to be visually identified. The organic phase (14 mL) was extracted using a sterile syringe and filtered with silica gel and filter paper (Whatman No 40) placed in a funnel to remove impurities or suspended solids that could interfere with the analysis. The filtered sample was transferred to a quartz cell, previously rinsed with the same solvent, and then analyzed. The reading was taken over a period of four minutes. Method calibration was performed using certified hydrocarbon standards, with a five-point calibration curve achieving a correlation coefficient of 0.95. Quality control included solvent blanks analyzed after every ten samples, duplicate analyses with relative deviations below 5%, and spike recovery tests yielding 90–105% recovery.
2.4. Data Processing and Statistical Analysis
Statistical analysis of the data was performed using R software (version 4.4.0; R Foundation for Statistical Computing, Vienna, Austria). [53], which allowed for the evaluation of trends and statistical significance. A spatial distribution map of pollution was generated to identify areas of significant concern for Amazon residents. The ArcGIS 10.8 Geographic Information System (GIS) software was used for map generation.
2.5. Health Risk Assessment
In the study area, the exposure to TPH can occur through ingestion of groundwater used as a drinking water supply; the water supply is provided through private water wells. Therefore, the human health risk was assessed for residential scenarios where the receptors adults and children are exposed through ingestion of water. The average daily dose (ADD: mg/kg-day) for ingestion was calculated according to Equation (1) [54,55].
where Cgw is the TPH-concentration in groundwater (mg/L), EF is the annual exposure frequency (days/year), IR is the ingestion rate of water (L/day), ED is the lifetime exposure duration (years), BW is the body weight (kg), and AT is the averaging time (days).
The potential human health risk for noncarcinogenic effects was quantified in terms of Hazard Quotients (HQ), by the ratio of the ADD to the reference dose (RfD). If HQ is above 1, the safe exposure threshold is exceeded, and the systemic effects linked with the exposure can be produced. The carcinogenic risk (CR) was estimated by multiplying the ADD by the slope factor (SF). If CR is above 1.0 × 10−5, the safe exposure limit is exceeded [54,55]. The values of parameters used in this study are presented in Table 1. In this study, a conservative approach was adopted for selecting toxicity values, which is why the RfD and SF were applied to the TPH-Aromatic (high, low, and medium). However, CR was only calculated for the high and low molecular weight aromatic fractions, as no slope factor is currently available for the medium aromatic fractions [17]. The toxicity values, RfD and SF, were obtained from the Risk Assessment Information System website [51].
Table 1.
Parameters used in risk assessment.
3. Results
3.1. Physical Parameters
According to the results of the physical parameters of groundwater measured in situ (Table 2), significant variations were observed between the provinces of Orellana and Sucumbíos. The pH showed considerable variability, with values ranging from 5.40 to 8.47 in Orellana and from 4.96 to 8.72 in Sucumbíos, reflecting conditions ranging from slightly acidic to moderately alkaline. Electrical conductivity (EC) reached a maximum value of 556 µS/cm in Orellana and 465 µS/cm in Sucumbíos. These results, together with total dissolved solids (TDS) concentrations, suggest variations in mineral content between the groundwater of Orellana and Sucumbíos. Notably, Sucumbíos recorded a maximum TDS concentration of 233 mg/L, compared to 11.78 mg/L in Orellana, with the former also exhibiting the highest standard deviation. Regarding temperature, values were considerably high in both areas, reaching 46.3 °C in Sucumbíos and 38.88 °C in Orellana, which could be due to local hydrogeological conditions.
Table 2.
Descriptive summary of physical parameters of groundwater in Orellana and Sucumbíos.
3.2. Concentration of TPH in Groundwater
The presence of TPH in groundwater samples is a significant indicator of petroleum contamination. In Orellana, TPH concentrations ranged from 0.11 to 7.30 mg/L, while in Sucumbíos, TPH levels varied between 0.13 and 7.45 mg/L (Table 3). In Sucumbíos, 97.62% of the samples exceeded the maximum permissible limit (MPL) for TPH concentration in drinking water, which is set at 0.2 mg/L according to the Quality Criteria for Water Sources for Human and Domestic Consumption, established in Ecuadorian regulations [58]. The situation is similar in Orellana, with 93.51% of the samples exceeding the MPL for TPH. The samples with the highest TPH content are found in the northern part of the study area, in the province of Sucumbíos (Figure 2).
Table 3.
TPH concentration (mg/L) in groundwater samples from the Ecuadorian Amazon.
Figure 2.
Spatial distribution of TPHs in the northern Amazon region of Ecuador.
3.3. Risk Assessment
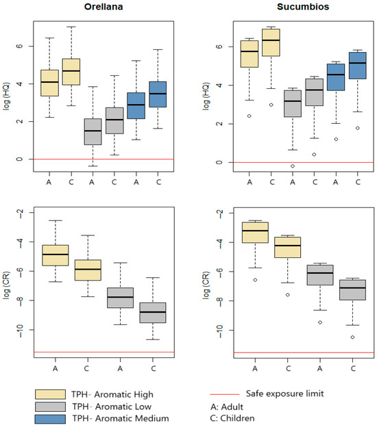
Table 4 shows the non-carcinogenic and carcinogenic risk results for adults and children residing in northern Ecuadorian Amazonia who are potentially exposed to oil contamination. In the Ecuadorian Amazon, which has been heavily impacted by oil activities, people who consume groundwater with high TPH content have non-carcinogenic (HI > 1) and carcinogenic (CR > 1.0 × 10−5) risk values higher than those recommended by the USEPA. Furthermore, more than 95% of the sites sampled exceed the safe exposure limit established for risk assessment in drinking water (Figure 3).
Table 4.
Results of the preliminary human health risk assessment.
Figure 3.
Outcomes of non-carcinogenic (HQ) and carcinogenic (CR) risk due to exposure to TPH in the Ecuadorian Amazon.
4. Discussion
The main challenge in assessing the implications of TPH contamination for human health is the intrinsic complexity of TPH mixtures, which can contain hundreds or thousands of compounds. In this study, TPH was evaluated as a bulk indicator of petroleum-derived contamination, and no attempt was made to identify or quantify individual compounds or specific subclasses of hydrocarbons. Even if it were analytically feasible to measure each component separately, toxicity data are not available for all compounds that may be present within TPH mixtures. Key factors to consider when estimating TPH toxicity and interpreting results include: (1) TPH mixtures may contain both hydrocarbons and polar compounds; (2) they may include both natural (e.g., humic acids) and anthropogenic substances unrelated to petroleum; and (3) detected compounds depend on the specific TPH analytical method used [59].
Although TPH concentrations have limited utility for risk assessment, due to the high uncertainty associated with the complexity of TPH mixtures [60,61,62], they are widely used as a preliminary and cost-effective indicator to identify areas where petroleum contamination may pose potential concerns for human health and the environment, particularly in regions with limited access to detailed chemical analyses.
There are few studies reporting the presence of TPH in environmental matrices in the Ecuadorian Amazon. San Sebastían et al. [32] reported TPH values ranging from 0.2 to 2.88 mg/L in rivers near oil wells in northeastern Ecuador. In addition, L. Corral-García et al. [34] reported that TPH concentrations vary from 9.4 to 847.4 mg/kg in sediment samples from the Aguarico and Napo rivers. Although some studies also report concentrations of specific petroleum-related compounds, such as PAHs, these data are mentioned here solely for comparative purposes, as indicators of persistent petroleum contamination in oil-impacted environments. Collectively, these studies suggest that hydrocarbon contamination is persistent in the region and may pose risks to both ecosystems and local communities. Within this context, the absence of non-aqueous phase liquids (NAPLs), even in areas with relatively high TPH levels, suggests that hydrocarbon contamination in the study area is primarily related to dissolved or extractable fractions. This observation suggest a chronic and long-term contamination process, rather than recent free-phase hydrocarbon spills [63,64].
A similar trend has been documented in other countries with intensive oil-related activities. Ihunwo et al. [65] evaluated the concentration of TPH in surface waters at five sampling stations from Woji Creek, Nigeria, finding TPH values between 1.01 ± 0.12 and 3.64 ± 1.12 [65]. Ahiamadu et al. [66] reported TPH concentrations in surface water (0.017–0.033 µg/L), groundwater (0.010–11,600 µ/L), and soils (5364–71,283 mg/kg) in oil-impacted areas of Nigeria. Ugochukwu et al. [28] reported TPH concentrations between 240 and 62,388 in soils, exceeding the Nigerian regulatory intervention limit of 5000 mg/kg [60]. These studies are cited to illustrate the wide range of TPH concentrations reported globally and their association with oil-related activities, rather than to compare individual hydrocarbon species.
With regard to regulatory limits for TPH, Ecuadorian legislation establishes more restrictive threshold values compared to several international regulatory frameworks. For example, the U.S. Environmental Protection Agency does not set an overall MPL for drinking water but regulates specific aromatic compounds such as benzene (0.005 mL/L) and toluene (1 mg/L) due to the individual health risks they pose [67]. Environment and Climate Change Canada (ECCC) similarly regulate individual compounds, including benzene (0.005 mg/L) in drinking water, while the World Health Organization has not established a guideline value for TPH in water. In contrasts, Ecuadorian regulation (TULSMA) establishes a general limit for TPH in drinking water (0.2 mg/L), which supports the use of TPH as a regulatory and screening parameter in the national context, in addition to setting limits for specific compounds such as benzene and toluene [68]. These regulatory differences highlight the limitations of relying exclusively on concentration-based thresholds to evaluate petroleum contamination and emphasize the importance of contextualizing TPH levels in terms of potential human health implications, particularly in scenarios of chronic exposure.
In this context, various studies have assessed the human health risks associated with exposure to petroleum-contaminated environments using different methodological approaches and exposure pathways. Although these studies often rely on fractionated TPH data or specific hydrocarbon groups, they provide useful context for interpreting the potential implications of elevated TPH concentrations, particularly in the absence of compound-specific measurements. Bai et al. [60] evaluated the non-carcinogenic risk using Hazard Index (HI) associated with exposure to TPH fractions (C10–C40) in soils from an oil refinery in China, reporting HI values exceeding acceptable thresholds for certain aliphatic fractions. Ahiamadu et al. [66] reported very high hazard quotients for groundwater ingestion in oil-impacted areas of Nigeria, indicating severe non-cancer health risks. In contrast, Ihunwo et al. [65] reported low hazard quotients associated with accidental ingestion of surface water, reflecting lower exposure levels and TPH concentrations. Comparing studies allows us to contextualize the range of health outcomes reported in environments affected by oil pollution, reinforcing the importance of interpreting TPH concentrations within a broader health-related framework.
Exposure to petroleum-derived contaminants, as reflected by elevated TPH levels, has been associated with a wide range of adverse health effects, depending on exposure pathways, duration, and environmental context [62]. While this study does not evaluate individual compounds, the presence of TPH in groundwater suggests the potential coexistence of hazardous petroleum-related substances, which have been linked to gastrointestinal, dermatological, respiratory, neurological, and systemic effects [60,69].
Groundwater contaminated with TPH may also contain volatile organic compounds such as Benzene, Toluene, Ethylbenzene, Xylene, and Naphthalene [70]. Benzene, in particular, is of concern due to its carcinogenicity [57], and its regulation illustrates why TPH is often used as an initial screening parameter in areas lacking compound-specific data.
Chronic exposure to petroleum-contaminated groundwater has been associated with hematological, hepatic, renal, and neurological effects, particularly under long-term exposure scenarios [30,71]. The vulnerability of sensitive population groups, such as children and pregnant women, further underscores the importance of early detection and monitoring of petroleum contamination using indicators such as TPH.
The effects of oil contamination in the Ecuadorian Amazon and its impact on the health of the population have been poorly studied. However, studies by [32,72,73], have indicated potential health risks associated with living near oil fields. These studies highlight the urgent need for further research and monitoring of the health consequences of oil contamination in the region. Hurtig et al. [72] analyzed cancer cases between 1985 and 1998 in the provinces of Sucumbíos, Orellana, Napo, and Pastaza (where oil extraction occurs) and compared incidence rates with areas without oil exploitation. The results showed a significant increase in the relative risk of various types of cancer, such as stomach, rectal, skin, and kidney cancers in men, and cervical and lymphatic cancers in women, as well as an increase in hematopoietic cancers in children under 10 in the exposed areas. Additionally, Hurtig et al. [73] examined childhood leukemia incidence in the Ecuadorian Amazon between 1985 and 2000. The results revealed a significantly higher risk of leukemia in children aged 0 to 4 years and in girls aged 0 to 14 years in areas closer to oil fields. Both studies suggest a potential link between cancer incidence and proximity to oil fields [32], based on a study conducted from November 1998 to April 1999, reported that women exposed to TPH contamination in communities near oil fields had a higher likelihood of experiencing spontaneous abortions.
When analyzing the results of our study in an international context, they are consistent with findings from other oil-impacted regions, where TPH is commonly used as a screening indicator and where chronic exposure scenarios are often associated with unacceptable health risks (Table 5). Differences in regulatory frameworks and assessment approaches highlight the limitations of relying solely on concentration-based criteria and support the need for integrated evaluation strategies, particularly in environmentally and socially vulnerable regions.
Table 5.
International comparison of TPH concentrations in water, associated health risk indicators, and regulatory references.
Intervention Strategies
The significant presence of TPH in groundwater sources in the Amazon region represents a critical challenge for environmental management and public health. Addressing this issue requires comprehensive strategies aimed at both preventing new contamination sources and mitigating existing impacts on ecosystems and communities [15,71].
In areas where the preliminary risk assessment indicates elevated levels, short-term management strategies should prioritize reducing the population’s exposure to potentially contaminated water sources. An immediate measure is to restrict the use and consumption of groundwater affected by TPH. This can be implemented through risk communication campaigns aimed at informing the local population that groundwater consumption in the studied areas may pose a health risk. Such preventive actions would help protect the population while more detailed assessments are conducted to identify the specific TPH compounds present in groundwater and to develop more comprehensive risk evaluations, incorporating site-specific data and considering vulnerable populations. In this context, the information generated in this study represents a valuable input for decision-makers, supporting the timely implementation of public health protection measures.
Although Ecuador has a relatively strict regulatory framework, its effective implementation in the territory is limited, revealing a significant gap between environmental legislation and compliance. One of the priority actions is the establishment of permanent water quality monitoring systems for both groundwater and surface water. This monitoring should be systematic, georeferenced, and publicly accessible in order to identify critical areas, detect temporal trends, and evaluate pollutant dispersion patterns. The incorporation of technologies such as remote sensors, automatic sampling stations, and digital platforms for real-time data reporting can significantly strengthen risk management and facilitate informed decision-making.
Similarly, it is urgent to develop and implement environmental remediation programs in the most affected areas. Depending on the type and level of contamination, the use of techniques such as bioremediation, phytoremediation, or physical–chemical treatments is recommended, accompanied by environmental risk assessments and ecological restoration plans to ensure sustainable ecosystem recovery [72,73].
The prevention of new episodes of pollution requires the strengthening of the regulatory framework and its rigorous enforcement [74]. This includes updating technical standards for hydrocarbon drilling, transportation, and storage, as well as more frequent and comprehensive inspections by the competent authorities. Operating companies must be subject to the implementation of contingency plans, environmental liability insurance, and cleaner and safer technologies.
Finally, the importance of ensuring immediate access to safe sources of water for human consumption in risk areas is highlighted. To this end, the installation of treatment plants, the distribution of bottled water in critical areas, and the promotion of domestic purification systems are proposed. These measures should be coordinated with environmental education and community participation programs that raise awareness of the risks associated with consuming contaminated water and promote a culture of water conservation.
Complementarily, it is essential to consolidate participatory environmental governance processes that guarantee transparency in managing environmental liabilities and foster the active involvement of local communities in decision-making. The convergence of national and international scientific evidence underscores the need for integrated risk management strategies that combine technical interventions, effective regulation, and strong social commitment. Reducing the impacts of oil pollution requires a multisectoral, sustained, and participatory approach that unites prevention, remediation, regulation, and environmental justice.
5. Conclusions
The data analyzed show a worrying persistence of total petroleum hydrocarbon (TPH) contamination in the Amazonian provinces of Sucumbíos and Orellana, Ecuador. In 97.62% of the samples collected in Sucumbíos and 93.51% of those from Orellana, TPH concentrations exceed the maximum permissible limit of 0.2 mg/L established by Ecuadorian regulations for water intended for human consumption. These results reflect sustained exposure of communities to contaminated sources, posing a considerable risk to public health, particularly in vulnerable populations such as children, who are more susceptible to the chronic toxic effects of hydrocarbons. This concern is supported by the calculated risk values, which exceed acceptable thresholds for both non-carcinogenic and carcinogenic effects. However, the findings should be interpreted with certain limitations in mind. Data coverage remains limited in terms of space and time, which restricts a more accurate characterization of the evolution of the phenomenon and its geographical distribution. In this risk assessment, exposure parameters were derived from scientific literature, which represents a widely accepted approach when site-specific or population-based data are not available. However, future studies are recommended to incorporate real exposure data from the potentially affected population, as the use of generic parameters may lead to either an overestimation or underestimation of risk. The inclusion of local exposure information would allow for a more accurate and representative characterization under the actual conditions of the study area.
In addition, detailed information on the specific chemical composition of the hydrocarbons detected was not available, which is essential for a more rigorous toxicological assessment, particularly with regard to aromatic compounds such as benzene and toluene. The potential cumulative impacts on human health and bioaccumulation processes in local fauna were also not addressed in depth. Therefore, the development of longitudinal studies to establish correlations between chronic exposure to TPH and health conditions in affected populations is recommended. It is also suggested that integrated analyses of water, soil, sediments, and air be incorporated and that participatory approaches that include local knowledge be adopted. This research made it possible to identify the areas with the highest TPH concentrations and provided relevant information on potential health risks for exposed communities. Moreover, the results constitute an important baseline for future studies, supporting temporal comparisons and the development of more robust, site-specific risk characterizations as additional data become available.
Supplementary Materials
The following supporting information can be downloaded at: https://www.mdpi.com/article/10.3390/su18042016/s1. Figure S1: Description of the hydrogeological setting of the study area; Figure S2: Spatial distribution of groundwater permeability categories in the Ecuadorian Amazon.
Author Contributions
Conceptualization, J.Z.-A., J.G.-A., C.M.-R. and S.J.-O.; methodology, J.Z.-A., J.G.-A. and S.J.-O.; validation and formal analysis, J.Z.-A. and J.G.-A.; investigation and data curation, D.M.-S. and M.J.S.; writing—original draft preparation, J.Z.-A. and J.G.-A.; writing—review and editing, S.S., C.M.-R., J.Z.-A., J.G.-A. and S.J.-O.; supervision, C.M.-R. and S.J.-O. All authors have read and agreed to the published version of the manuscript.
Funding
This research received no external funding.
Institutional Review Board Statement
Not applicable.
Informed Consent Statement
Not applicable.
Data Availability Statement
The datasets supporting the findings of this study will be made available by the corresponding author upon request from the editors or reviewers.
Acknowledgments
During the preparation of this manuscript, the authors used ChatGPT (OpenAI, GPT-5.2) exclusively to improve the clarity, coherence, and linguistic structure of the text. The generated content was carefully reviewed and edited by the authors, who take full responsibility for the final content of this publication.
Conflicts of Interest
The authors declare that they have no known competing financial interests or personal relationships that could have appeared to influence the work reported in this paper.
References
- Albert, J.S.; Carnaval, A.C.; Flantua, S.G.A.; Lohmann, L.G.; Ribas, C.C.; Riff, D.; Carrillo, J.D.; Fan, Y.; Figueiredo, J.J.P.; Guayasamin, J.M.; et al. Human Impacts Outpace Natural Processes in the Amazon. Science 2023, 379, eabo5003. [Google Scholar] [CrossRef]
- Vieira, I.C.G.; Toledo, P.M.; Silva, J.M.C.; Higuchi, H. Deforestation and Threats to the Biodiversity of Amazonia. Braz. J. Biol. 2008, 68, 949–956. [Google Scholar] [CrossRef] [PubMed]
- Bernex, N. L’Amazonie Péruvienne Entre Intégration et Dégradation. Probl. Am. Lat. 2013, 88, 95–121. [Google Scholar] [CrossRef]
- Sonter, L.J.; Herrera, D.; Barrett, D.J.; Galford, G.L.; Moran, C.J.; Soares-Filho, B.S. Mining Drives Extensive Deforestation in the Brazilian Amazon. Nat. Commun. 2017, 8, 1013. [Google Scholar] [CrossRef] [PubMed]
- Vásquez, P. Indigenous Peoples and Natural Resource Development. In Oil Sparks in the Amazon; University of Georgia Press: Athens, GA, USA, 2014; pp. 36–52. [Google Scholar] [CrossRef]
- Maurice, L.; López, F.; Becerra, S.; Jamhoury, H.; Le Menach, K.; Dévier, M.H.; Budzinski, H.; Prunier, J.; Juteau-Martineau, G.; Ochoa-Herrera, V.; et al. Drinking Water Quality in Areas Impacted by Oil Activities in Ecuador: Associated Health Risks and Social Perception of Human Exposure. Sci. Total Environ. 2019, 690, 1203–1217. [Google Scholar] [CrossRef]
- Mestanza-Ramón, C.; Jiménez-Oyola, S.; Montoya, A.V.G.; Vizuete, D.D.C.; D’Orio, G.; Cedeño-Laje, J.; Straface, S. Assessment of Hg Pollution in Stream Waters and Human Health Risk in Areas Impacted by Mining Activities in the Ecuadorian Amazon. Environ. Geochem. Health 2023, 45, 7183–7197. [Google Scholar] [CrossRef]
- Passarelli, I.; Villacis Verdesoto, M.V.; Jiménez-Oyola, S.; Flores Huilcapi, A.G.; Mora-Silva, D.; Anfuso, G.; Esparza Parra, J.F.; Jimenez-Gutierrez, M.; Carrera Almendáriz, L.S.; Avalos Peñafiel, V.G.; et al. Analysis of Mercury in Aquifers in Gold Mining Areas in the Ecuadorian Amazon and Its Associated Risk for Human Health. Toxics 2024, 12, 162. [Google Scholar] [CrossRef]
- Capparelli, M.V.; Moulatlet, G.M.; de Souza Abessa, D.M.; Lucas-Solis, O.; Rosero, B.; Galarza, E.; Tuba, D.; Carpintero, N.; Ochoa-Herrera, V.; Cipriani-Avila, I. An Integrative Approach to Identify the Impacts of Multiple Metal Contamination Sources on the Eastern Andean Foothills of the Ecuadorian Amazonia. Sci. Total Environ. 2020, 709, 136088. [Google Scholar] [CrossRef]
- Barraza, F.; Maurice, L.; Uzu, G.; Becerra, S.; López, F.; Ochoa-Herrera, V.; Ruales, J.; Schreck, E. Distribution, Contents and Health Risk Assessment of Metal(Loid)s in Small-Scale Farms in the Ecuadorian Amazon: An Insight into Impacts of Oil Activities. Sci. Total Environ. 2018, 622–623, 106–120. [Google Scholar] [CrossRef]
- Muthukumar, B.; Surya, S.; Sivakumar, K.; AlSalhi, M.S.; Rao, T.N.; Devanesan, S.; Arunkumar, P.; Rajasekar, A. Influence of Bioaugmentation in Crude Oil Contaminated Soil by Pseudomonas Species on the Removal of Total Petroleum Hydrocarbon. Chemosphere 2023, 310, 136826. [Google Scholar] [CrossRef]
- Akinola, J.O.; Olawusi-Peters, O.O.; Apkambang, V.O.E. Human Health Risk Assessment of TPHs in Brackish Water Prawn (Nematopalaemon hastatus, AURIVILLUS, 1898). Heliyon 2020, 6, e03234. [Google Scholar] [CrossRef] [PubMed]
- Lee, T.H.; Cao, W.Z.; Tsang, D.C.W.; Sheu, Y.T.; Shia, K.F.; Kao, C.M. Emulsified Polycolloid Substrate Biobarrier for Benzene and Petroleum-Hydrocarbon Plume Containment and Migration Control—A Field-Scale Study. Sci. Total Environ. 2019, 666, 839–848. [Google Scholar] [CrossRef] [PubMed]
- United States Environmental Protection Agency. Polycyclic Aromatic Hydrocarbons (PAHs). Available online: https://nepis.epa.gov/Exe/ZyNET.exe/P1015YQB.txt?ZyActionD=ZyDocument&Client=EPA&Index=2006%20Thru%202010&Docs=&Query=&Time=&EndTime=&SearchMethod=1&TocRestrict=n&Toc=&TocEntry=&QField=&QFieldYear=&QFieldMonth=&QFieldDay=&UseQField=&IntQFieldOp=0&ExtQFieldOp=0&XmlQuery=&File=D%3A%5CZYFILES%5CINDEX%20DATA%5C06THRU10%5CTXT%5C00000050%5CP1015YQB.txt&User=ANONYMOUS&Password=anonymous&SortMethod=h%7C-&MaximumDocuments=1&FuzzyDegree=0&ImageQuality=r75g8/r75g8/x150y150g16/i425&Display=hpfr&DefSeekPage=&SearchBack=ZyActionL&Back=ZyActionS&BackDesc=Results%20page&MaximumPages=1&ZyEntry=1 (accessed on 21 January 2025).
- Ossai, I.C.; Ahmed, A.; Hassan, A.; Hamid, F.S. Remediation of Soil and Water Contaminated with Petroleum Hydrocarbon: A Review. Environ. Technol. Innov. 2020, 17, 100526. [Google Scholar] [CrossRef]
- Xiao, X.; He, X.; Ji, C.; Li, L.; Zhou, M.; Yin, X.; Shan, Y.; Wang, M.; Zhao, Y. Activation of Persulfate by G-C3N4/NZVI@SBC for Degradation of Total Petroleum Hydrocarbon in Groundwater. J. Environ. Manage. 2024, 356, 120612. [Google Scholar] [CrossRef]
- Agency for Toxic Substances and Disease Registry (ATSDR). Toxicological Profile for Total Petroleum Hydrocarbons (TPH); U.S. Department of Health and Human Services, Public Health Service: Atlanta, GA, USA, 1999.
- Zhao, X.; Gao, J.; Zhai, L.; Yu, X.; Xiao, Y. Recent Evidence on Polycyclic Aromatic Hydrocarbon Exposure. Healthcare 2023, 11, 1958. [Google Scholar] [CrossRef]
- Snyder, R. Leukemia and Benzene. Int. J. Environ. Res. Public Health 2012, 9, 2875–2893. [Google Scholar] [CrossRef]
- Kim, K.-H.; Jahan, S.A.; Kabir, E.; Brown, R.J.C. A Review of Airborne Polycyclic Aromatic Hydrocarbons (PAHs) and Their Human Health Effects. Environ. Int. 2013, 60, 71–80. [Google Scholar] [CrossRef]
- Webb, J.; Coomes, O.T.; Mergler, D.; Ross, N.A. Levels of 1-Hydroxypyrene in Urine of People Living in an Oil Producing Region of the Andean Amazon (Ecuador and Peru). Int. Arch. Occup. Environ. Health 2018, 91, 105–115. [Google Scholar] [CrossRef]
- World Health Organization (WHO). Petroleum Products in Drinking-Water Background Document for Development of WHO Guidelines for Drinking-Water Quality; World Health Organization (WHO): Geneva, Switzerland, 2008. [Google Scholar]
- Rosales, R.M.; Martínez-Pagán, P.; Faz, A.; Bech, J. Study of Subsoil in Former Petrol Stations in SE of Spain: Physicochemical Characterization and Hydrocarbon Contamination Assessment. J. Geochem. Explor. 2014, 147, 306–320. [Google Scholar] [CrossRef]
- Pinedo, J.; Ibáñez, R.; Lijzen, J.P.A.; Irabien, Á. Assessment of Soil Pollution Based on Total Petroleum Hydrocarbons and Individual Oil Substances. J. Environ. Manag. 2013, 130, 72–79. [Google Scholar] [CrossRef]
- Hemati, S.; Heidari, M.; Momenbeik, F.; Khodabakhshi, A.; Fadaei, A.; Farhadkhani, M.; Mohammadi-Moghadam, F. Co-Occurrence of Polycyclic Aromatic Hydrocarbons and Heavy Metals in Various Environmental Matrices of a Chronic Petroleum Polluted Region in Iran; Pollution Characterization, and Assessment of Ecological and Human Health Risks. J. Hazard. Mater. 2024, 478, 135504. [Google Scholar] [CrossRef] [PubMed]
- Enuneku, A.A.; Anani, O.A.; Job, O.; Kubeyinje, B.F.; Ogbomida, E.T.; Asemota, C.O.; Okpara, B.; Imoobe, T.; Ezemonye, L.I.; Oluwaseun, A.C.; et al. Mapping Soil Susceptibility to Crude Oil Pollution in the Region of Delta, South-South Nigeria: A Proportional Study of Environmetrics, Health, Ecological Risks, and Geospatial Evaluation. Sci. Afr. 2021, 14, e01012. [Google Scholar] [CrossRef]
- Oni, A.A.; Babalola, S.O.; Adeleye, A.D.; Olagunju, T.E.; Amama, I.A.; Omole, E.O.; Adegboye, E.A.; Ohore, O.G. Non-Carcinogenic and Carcinogenic Health Risks Associated with Heavy Metals and Polycyclic Aromatic Hydrocarbons in Well-Water Samples from an Automobile Junk Market in Ibadan, SW-Nigeria. Heliyon 2022, 8, e10688. [Google Scholar] [CrossRef] [PubMed]
- Ugochukwu, U.C.; Ochonogor, A.; Jidere, C.M.; Agu, C.; Nkoloagu, F.; Ewoh, J.; Okwu-Delunzu, V.U. Exposure Risks to Polycyclic Aromatic Hydrocarbons by Humans and Livestock (Cattle) Due to Hydrocarbon Spill from Petroleum Products in Niger-Delta Wetland. Environ. Int. 2018, 115, 38–47. [Google Scholar] [CrossRef]
- Bebeteidoh, O.L.; Kometa, S.; Pazouki, K.; Norman, R. Sustained Impact of the Activities of Local Crude Oil Refiners on Their Host Communities in Nigeria. Heliyon 2020, 6, e04000. [Google Scholar] [CrossRef]
- Fei-Baffoe, B.; Badu, E.; Miezah, K.; Adjiri Sackey, L.N.; Sulemana, A.; Yahans Amuah, E.E. Contamination of Groundwater by Petroleum Hydrocarbons: Impact of Fuel Stations in Residential Areas. Heliyon 2024, 10, e25924. [Google Scholar] [CrossRef]
- Durango-Cordero, J.; Saqalli, M.; Bonilla-Bedoya, S.; Elger, A. Vulnerability Assessment of Natural Heritage in the North-Eastern Ecuadorian Amazon Using Land Use Cover and Nature Protection Status. J. Nat. Conserv. 2024, 81, 126686. [Google Scholar] [CrossRef]
- San Sebastián, M.; Armstrong, B.; Córdoba, J.A.; Stephens, C. Exposures and Cancer Incidence near Oil Fields in the Amazon Basin of Ecuador. Occup. Environ. Med. 2001, 58, 517–522. [Google Scholar] [CrossRef]
- Rosell-Melé, A.; Moraleda-Cibrián, N.; Cartró-Sabaté, M.; Colomer-Ventura, F.; Mayor, P.; Orta-Martínez, M. Oil Pollution in Soils and Sediments from the Northern Peruvian Amazon. Sci. Total Environ. 2018, 610–611, 1010–1019. [Google Scholar] [CrossRef]
- Corral-García, L.S.; Molina, M.C.; Bautista, L.F.; Simarro, R.; Espinosa, C.I.; Gorines-Cordero, G.; González-Benítez, N. Bacterial Diversity in Old Hydrocarbon Polluted Sediments of Ecuadorian Amazon River Basins. Toxics 2024, 12, 119. [Google Scholar] [CrossRef]
- Pigrau, A. The Texaco-Chevron Case in Ecuador: Law and Justice in the Age of Globalization. Rev. Catalana Dret Ambient. 2014, 5, 1–43. [Google Scholar] [CrossRef]
- Joseph, S. Protracted Lawfare: The Tale of Chevron Texaco in the Amazon. J. Hum. Rights Environ. 2012, 3, 70–91. [Google Scholar] [CrossRef]
- Serrano, H. Caso Chevron-Texaco Cuando Los Pueblos Toman La Palabra; Universidad Andina Simón Bolívar: Quito, Ecuador, 2013. [Google Scholar]
- Arellano, P.; Tansey, K.; Balzter, H.; Tellkamp, M. Plant Family-Specific Impacts of Petroleum Pollution on Biodiversity and Leaf Chlorophyll Content in the Amazon Rainforest of Ecuador. PLoS ONE 2017, 12, e0169867. [Google Scholar] [CrossRef] [PubMed]
- Centeno-Bordones, G.; Labrador, H.; Lara, G.; Jiménez, Y. Eficiencia En La Reducción de Materia Orgánica Petrolera Combinando Procesos de Oxidación Avanzada Solar y El Reactor Biológico de Una PTAR. Ing. Agua 2021, 25, 257–270. [Google Scholar] [CrossRef]
- Espinosa, C.I.; Reyes-Bueno, F.; Ramírez, M.I.; Arévalo, A.P.; Bailon-Moscoso, N.; Duncan, D.H. Vulnerability of Human Populations to Contamination from Petroleum Exploitation in the Napo River Basin: An Approach for Spatially Explicit Risk Assessment. Sustainability 2021, 13, 9230. [Google Scholar] [CrossRef]
- López-Hernández, D.; Hernández, C.; Liendo, F.; Urich, J.; Vallejo-Torres, O. Efectos de Las Aguas Residuales de Pozos Petroleros Sobre Los Suelos de Sabanas Ubicadas Cerca de El Furrial, Estado Monagas, Venezuela. Rev. Int. Contam. Ambient. 2020, 36, 835–845. [Google Scholar] [CrossRef]
- Alonso, S.G.; Esteban-Hernández, J.; Rivera, Y.V.; Hernández-Barrera, V.; Gil De Miguel, Á. Contaminación del Agua en Fuentes Cercanas a Campos Petrolíferos de Bolivia; Revista Panamericana de Salud Pública: Washington, DC, USA; Volume 28.
- Brice, C.E. The Detection of Amazonian Manatees (Trichechus inunguis) Using Side-Scan Sonar and the Effect of Oil Activities on Their Habitats in Eastern Ecuador; Nova Southeastern University, Oceanographic Center: Davie, FL, USA, 2014. [Google Scholar]
- Wernersson, A.-S. Aquatic Ecotoxicity Due to Oil Pollution in the Ecuadorian Amazon. Aquat. Ecosyst. Health Manag. 2004, 7, 127–136. [Google Scholar] [CrossRef]
- De la Cadena, E.; Camacho, M.; Vaca, F.; Enríquez, S.; Eleizalde, M.C.; Arrivillaga-Henríquez, J.; Mendoza, M.; Navarro, J.C.; Ramírez-Iglesias, J.R. Molecular Identification of Trypanosoma Theileri in Cattle from the Ecuadorian Amazon. Vet. Parasitol. Reg. Stud. Rep. 2023, 37, 100824. [Google Scholar] [CrossRef]
- Instituto Nacional de Estadística y Censos (INEC). Población Total y Tasa de Crecimiento; Instituto Nacional de Estadística y Censos (INEC): Quito, Ecuador, 2023; Available online: https://www.censoecuador.gob.ec/wp-content/uploads/2023/09/InfoNacionalDatos.pdf (accessed on 25 January 2025).
- Rosário, F.F.d.; Custodio, E.; da Silva, G.C., Jr. Hydrogeology of the Western Amazon Aquifer System (WAAS). J. South Am. Earth Sci. 2016, 72, 375–386. [Google Scholar] [CrossRef]
- Secretaría del Agua (SENAGUA). Hydrogeological Map of Ecuador (Scale 1:250,000); Secretaría del Agua (SENAGUA): Quito, Ecuador, 2024. [Google Scholar]
- Miao, T.; Sihota, N.; Pfeifer, F.; McDaniel, C.; De Gea Neves, M.; Siesler, H.W. Rapid Determination of the Total Petroleum Hydrocarbon Content of Soils by Handheld Fourier Transform Near-Infrared Spectroscopy. Anal. Chem. 2023, 95, 6888–6893. [Google Scholar] [CrossRef]
- Simion, A.F.; Găman, A.N.; Lăutaru, V.A. Analysis of Total Content of Petroleum Products in Water by Using FTIR Spectroscopy. MATEC Web Conf. 2022, 373, 00063. [Google Scholar] [CrossRef]
- Forrester, S.; Janik, L.; Mclaughlin, M.; Csiro, A.A. An Infrared Spectroscopic Test for Total Petroleum Hydrocarbon (TPH) Contamination in Soils. In Proceedings of the 2010 19th World Congress of Soil Science, Soil Solutions for a Changing World, Brisbane, Australia, 1–6 August 2010. [Google Scholar]
- Vershinin, V.I.; Petrov, S.V. The Estimation of Total Petroleum Hydrocarbons Content in Waste Water by IR Spectrometry with Multivariate Calibrations. Talanta 2016, 148, 163–169. [Google Scholar] [CrossRef] [PubMed]
- R Core Team. R: A Language and Environment for Statistical Computing; R Foundation for Statistical Computing: Vienna, Austria, 2023. [Google Scholar]
- USEPA. Risk Assessment Guidance for Superfund Volume I: Human Health Evaluation Manual (Part E). Supplemental Guidance for Dermal Risk Assessment; USEPA: Washington, DC, USA, 2004. [Google Scholar]
- USEPA. USEPA; Risk Assessment Guidance for Superfund (RAGS) Volume III (Part A). Process for Conducting Probabilistic Risk Assessment; Washington, DC, USA, 2001. [Google Scholar]
- USEPA (United States Enviromental Protection Agency). Exposure Factors Handbook: 2011 Edition; USEPA: Washington, DC, USA, 2011. Available online: www.epa.gov (accessed on 25 May 2025).
- RAIS. Risk Assessment Information System. Available online: https://rais.ornl.gov (accessed on 3 December 2025).
- MAATE. Texto Unificado de Legislación Secundaria Del Ministerio Del Ambiente (TULSMA), 2015.
- Interstate Technology & Regulatory Council (ITRC). TPH Risk Evaluation at Petroleum-Contaminated Sites. Available online: https://tphrisk-1.itrcweb.org/ (accessed on 11 February 2026).
- Bai, J.; Jiang, J.; Yan, Z.; Wang, Q.; Zhang, C.; Yang, P.; Yang, M. Distribution, Migration, and Segmented Risk Assessment of the Total Petroleum Hydrocarbons in Soil, Groundwater, and Soil Gas at an Oil Refinery. Reg. Stud. Mar. Sci. 2024, 77, 103714. [Google Scholar] [CrossRef]
- Ajeh, E.A.; Kayode, O.O.; Omoregie, I.P. Comparative Analysis of Groundwater Quality Statuses and Associated Health Risk Indices of Metals and Total Hydrocarbons at Locations of Tank Farm in Delta State, Nigeria. Toxicol. Rep. 2022, 9, 404–421. [Google Scholar] [CrossRef]
- Chiu, H.Y.; Hong, A.; Lin, S.L.; Surampalli, R.Y.; Kao, C.M. Application of Natural Attenuation for the Control of Petroleum Hydrocarbon Plume: Mechanisms and Effectiveness Evaluation. J. Hydrol. 2013, 505, 126–137. [Google Scholar] [CrossRef]
- Ihunwo, O.C.; Onyema, M.O.; Wekpe, V.O.; Okocha, C.; Shahabinia, A.R.; Emmanuel, L.; Okwe, V.N.; Lawson, C.B.; Mmom, P.C.; Dibofori-Orji, A.N.; et al. Ecological and Human Health Risk Assessment of Total Petroleum Hydrocarbons in Surface Water and Sediment from Woji Creek in the Niger Delta Estuary of Rivers State, Nigeria. Heliyon 2021, 7, e07689. [Google Scholar] [CrossRef]
- Ahiamadu, N.M.; Nwaogazie, I.L.; Momoh, Y.O.L. Human Health Risk Assessment of Crude Oil Polluted Soil, Surface & Groundwater Sources in Emohua, Rivers State, Nigeria. Int. J. Environ. Clim. Change 2021, 11, 7–16. [Google Scholar] [CrossRef]
- United States Environmental Protection (EPA). National Primary Drinking Water Regulations; U.S. Environmental Protection Agency: Washington, DC, USA, 2025.
- Ministerio del Ambiente, Agua y Transición Ecológica (MAATE). Texto Unificado de Legislación Secundaria del Medio Ambiente; MAATE: Quito, Ecuador, 2023. [Google Scholar]
- Pinto, A.B.; Pagnocca, F.C.; Pinheiro, M.A.A.; Fontes, R.F.C.; de Oliveira, A.J.F.C. Heavy Metals and TPH Effects on Microbial Abundance and Diversity in Two Estuarine Areas of the Southern-Central Coast of São Paulo State, Brazil. Mar. Pollut. Bull. 2015, 96, 410–417. [Google Scholar] [CrossRef]
- Johnston, J.E.; Lim, E.; Roh, H. Impact of Upstream Oil Extraction and Environmental Public Health: A Review of the Evidence. Sci. Total Environ. 2019, 657, 187–199. [Google Scholar] [CrossRef]
- Hurtig, A.-K.; San Sebastián, M. Geographical Differences in Cancer Incidence in the Amazon Basin of Ecuador in Relation to Residence near Oil Fields. Int. J. Epidemiol. 2002, 31, 1021–1027. [Google Scholar] [CrossRef][Green Version]
- Hurtig, A.-K.; Sebastián, M.S. Incidence of Childhood Leukemia and Oil Exploitation in the Amazon Basin of Ecuador. Int. J. Occup. Environ. Health 2004, 10, 245–250. [Google Scholar] [CrossRef]
- Sattar, S.; Hussain, R.; Shah, S.M.; Bibi, S.; Ahmad, S.R.; Shahzad, A.; Zamir, A.; Rauf, Z.; Noshad, A.; Ahmad, L. Composition, Impacts, and Removal of Liquid Petroleum Waste through Bioremediation as an Alternative Clean-up Technology: A Review. Heliyon 2022, 8, e11101. [Google Scholar] [CrossRef]
- Liu, H.; Chen, L.; Wang, E.T.; Liu, Y.; Zhang, L.; Zhao, K.; Gu, Y.; Yu, X.; Ma, M.; Penttinen, P.; et al. Combined Microbial Consortium Inoculation and Black Locust Planting Is Effective in the Bioremediation of Waste Drill Cuttings. Front. Microbiol. 2020, 11, 536787. [Google Scholar] [CrossRef]
- Chojnacka, K.; Moustakas, K.; Mikulewicz, M. The Combined Rhizoremediation by a Triad: Plant-Microorganism-Functional Materials. Environ. Sci. Pollut. Res. 2023, 30, 90500–90521. [Google Scholar] [CrossRef]
- Chira, P.; Mendes, R.; Ferrari, S.; Rocha, C.; da Silva, E.; Farias, J.; do Carmo, R. Groundwater Contamination by Gas Stations in Two Eastern Amazonian Towns (Northern Brazil). Appl. Sci. 2024, 14, 5529. [Google Scholar] [CrossRef]
Disclaimer/Publisher’s Note: The statements, opinions and data contained in all publications are solely those of the individual author(s) and contributor(s) and not of MDPI and/or the editor(s). MDPI and/or the editor(s) disclaim responsibility for any injury to people or property resulting from any ideas, methods, instructions or products referred to in the content. |
© 2026 by the authors. Licensee MDPI, Basel, Switzerland. This article is an open access article distributed under the terms and conditions of the Creative Commons Attribution (CC BY) license.


