Energy Benchmarking Analysis of Multi-Family Housing Unit in Algiers, Algeria
Abstract
1. Introduction
“How can energy benchmarking of collective residential buildings support the development of adaptive energy pricing policies and targeted efficiency measures in Algiers (Algeria)?”
2. Literature Review
- Studies based on mathematical approaches to estimate residential energy consumption using survey or real-world datasets.
- Studies employing simulation techniques.
- Longitudinal datasets: most papers only analyze partial residential datasets, i.e., the data usually focus on one typical year, month, or season. The present paper proceeds to the analysis of the energy consumption data of a residential neighborhood from its delivery date to customers (or householders) in 2022, the four trimesters of the year. The three-year period (2022–2024) represents the total duration of actual occupancy and recorded residential energy consumption. This timeframe, therefore, reflects the entire operational period of the dwellings, allowing for a relevant post-occupancy energy analysis.
- Combining all available energy sources: the majority of the residential energy benchmark focuses on electricity consumption or natural gas consumption, but only a few studies have been performed to examine how two energies behave simultaneously. The objective of the present paper is to discuss the electricity and natural gas consumption used in the residential building stock as main energy sources.
- The typology of housing with the highest rate: numerous benchmark models have been developed based on various typologies, both collective and individual. However, most research focuses on the selection of the typology and its percentage in the housing stock. In order to select the most responsive type of housing in the Algiers metropolitan area, a study of the statistics of the Algerian housing stock related to the demographics needs to be conducted. According to the ministry of housing, this type of habitat will be developed to a total of 1 million and 400,000 dwellings by 2025, in comparison to other types that are currently under construction [5].
- Analysis of the impact of energy prices: a number of studies on energy benchmarking examine the impact of various factors on final residential energy consumption. However, few studies target the influence of the energy price on the evolution of residential energy consumption. The price factor set by the natural gas and electricity distribution company (Sonalgaz, Algiers, Algeria) in Algiers is investigated in this study with the objective of providing support to decision-makers for in reviewing the pricing system based on the identification of the energy profiles.
- What is the most intense period in terms of the energy consumption of both natural gas and electricity use among the targeted collective housing type provided by the housing improvement and development agency (AADL)?
- What kind of energy is most commonly consumed in the selected type of housing?
- What is the impact of the pricing that is set by the national energy company (Sonalgaz) on energy use in the selected type of housing?
3. Methodology
3.1. Data Collection
3.1.1. Data Sources
3.1.2. Selection Criteria
3.1.3. Case Study
3.1.4. Data Cleaning and Data Transformation
3.2. Data Processing
3.2.1. Analysis and Visualization of the Trends in Residential Energy Use over Time
3.2.2. Clustering of Electricity and Natural Gas Consumption According to Energy Prices
3.2.3. The Energy Performance Intensity Index (EPI) of Multi-Family Housing Units
4. Results and Discussion
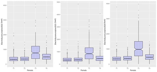
4.1. Evolution of Annual Multi-Family Energy Consumption (2022–2024)
4.2. Dispersion and Temporal Evolution of Multi-Family Energy Consumption per Type of Energy and per Trimester
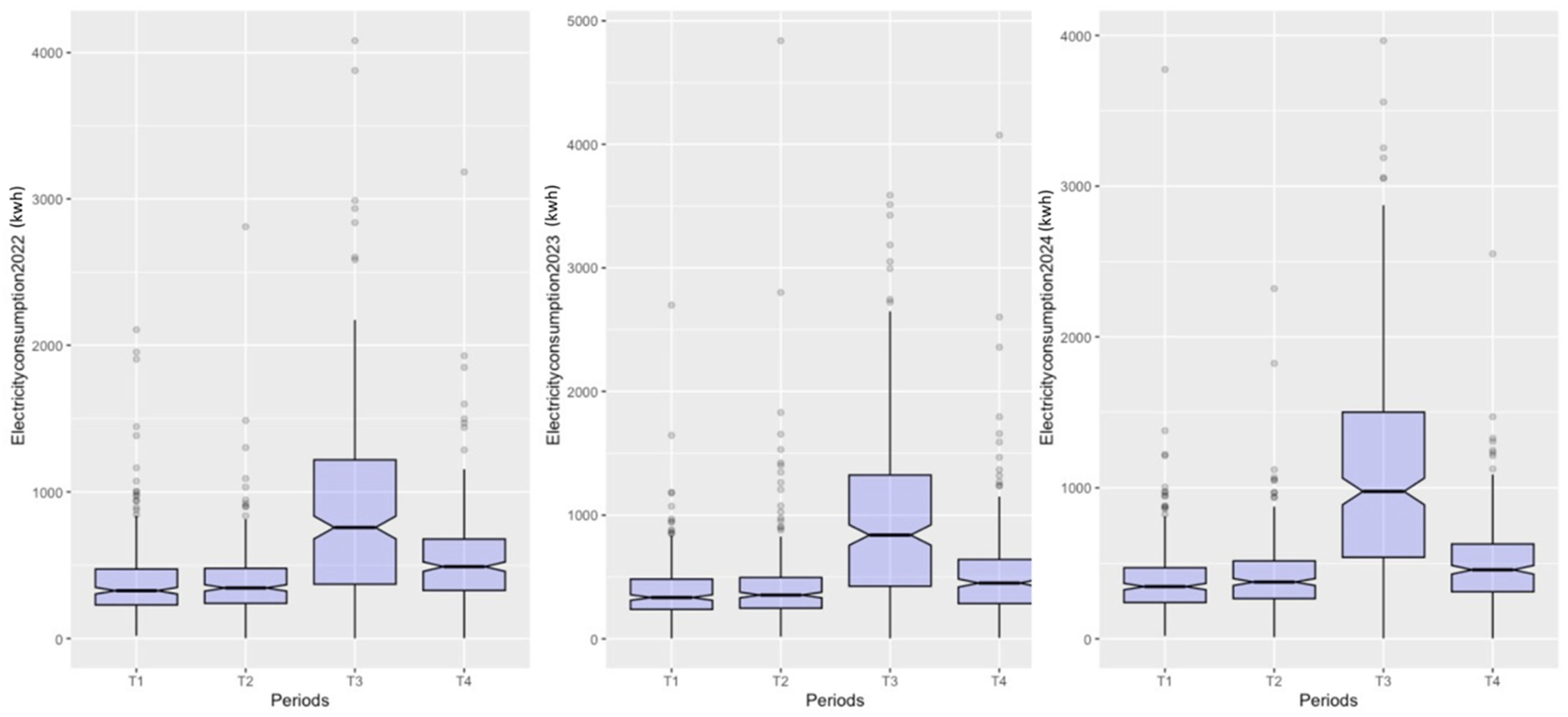
4.2.1. Electricity Consumption During 2022, 2023, and 2024
4.2.2. Natural Gas Consumption During 2022, 2023, and 2024
4.3. Visualization of Energy-Consumption Behavior over Time
4.3.1. Heat Map of Electricity Consumption (2022–2024)
- Prevalence of Moderate Consumption Across All Periods
- Seasonal Peaks and Rising Summer Consumption (T3)
- Extension of High Consumption Beyond Summer
- Limited Presence of Low-Consumption Households
4.3.2. Heat Map of Natural Gas Consumption (2022–2024)
4.3.3. Analysis of Energy Consumption Variation According to the Degree-Days (HDD and CDD) per Trimester (2022–2024)
- Seasonal trends and energy demand implications
- Interannual variability and climate change considerations
4.4. Clustering Analysis Based on Energy Prices
4.4.1. Clustering Analysis of Electricity Consumption Between 2022 and 2024
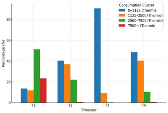
4.4.2. Clustering Analysis of Natural Gas Consumption Between 2022 and 2024
4.5. The Energy Performance Intensity Index (EPI) of Multi-Family Housing Units
4.5.1. Descriptive Analysis of Energy Performance Index
4.5.2. Distribution of Energy Performance Index from 2022 to 2024
5. Conclusions
- The rising summer electricity demand highlights the need for demand-side management strategies, such as time-of-use pricing, incentives for efficient cooling systems, and targeted consumer awareness programs.
- Declining natural gas consumption suggests that expanding energy efficiency initiatives, such as insulation improvements, could lead to greater energy savings and reduce household expenditures.
- Identified consumption clusters support the implementation of differentiated energy policies tailored to specific user profiles and seasonal patterns.
Author Contributions
Funding
Institutional Review Board Statement
Informed Consent Statement
Data Availability Statement
Conflicts of Interest
Abbreviations
| HDD | Heating Degree-Days |
| CDD | Cooling Degree-Days |
| EPI | Energy performance index |
References
- Region, T. Ministry of Energy. Available online: https://www.energy.gov.dz/ (accessed on 1 October 2024).
- Afaifia, M.; Djiar, K.A.; Bich-Ngoc, N.; Teller, J. An energy consumption model for the Algerian residential building’s stock, based on a triangular approach: Geographic Information System (GIS), regression analysis and hierarchical cluster analysis. Sustain. Cities Soc. 2021, 74, 103191. [Google Scholar] [CrossRef]
- Ministère de L’habitat de l’urbanisme et de la ville, Ministère de L’habitat de L’urbanisme et de la Ville. Available online: https://www.mhuv.gov.dz/?page_id=5458&lang=fr (accessed on 10 October 2024).
- Guides et Ouvrages—Agence Nationale Pour la Promotion et la Rationalisation de l’Utilisation de l’Energie. Available online: https://www.aprue.org.dz/ (accessed on 10 November 2024).
- “AADL 3”—Ministère de L’habitat de L’urbanisme et de la Ville. Available online: https://www.mhuv.gov.dz/?s=AADL+3 (accessed on 15 November 2024).
- Attia, S.; Evrard, A.; Gratia, E. Development of Benchmark Models for the Egyptian Residential Buildings Sector. Appl. Energy 2012, 94, 270–284. [Google Scholar] [CrossRef]
- Fumo, N.; Mago, P.; Luck, R. Methodology to estimate building energy consumption using EnergyPlus Benchmark Models. Energy Build. 2010, 42, 2331–2337. [Google Scholar] [CrossRef]
- Li, Z.; Han, Y.; Xu, P. Methods for benchmarking building energy consumption against its past or intended performance: An overview. Appl. Energy 2014, 124, 325–334. [Google Scholar] [CrossRef]
- Tereci, A.; Ozkan, S.T.E.; Eicker, U. Energy benchmarking for residential buildings. Energy Build. 2013, 60, 92–99. [Google Scholar] [CrossRef]
- Gupta, G.; Mathur, S.; Mathur, J.; Nayak, B.K. Comparison of energy-efficiency benchmarking methodologies for residential buildings. Energy Build. 2023, 285, 112920. [Google Scholar] [CrossRef]
- Morris, J.; Allinson, D.; Harrison, J.; Lomas, K.J. Benchmarking and tracking domestic gas and electricity consumption at the local authority level. Energy Effic. 2016, 9, 723–743. [Google Scholar] [CrossRef][Green Version]
- Huang, H.; Zhu, K.; Lin, X. Research on Formulating Energy Benchmarks for Various Types of Existing Residential Buildings from the Perspective of Typology: A Case Study of Chongqing, China. Buildings 2023, 13, 1346. [Google Scholar] [CrossRef]
- Wang, E.; Shen, Z.; Alp, N.; Barry, N. Benchmarking energy performance of residential buildings using two-stage multifactor data envelopment analysis with degree-day based simple-normalization approach. Energy Convers. Manag. 2015, 106, 530–542. [Google Scholar] [CrossRef]
- Wang, X.; Feng, W.; Cai, W.; Ren, H.; Ding, C.; Zhou, N. Do residential building energy efficiency standards reduce energy consumption in China?—A data-driven method to validate the actual performance of building energy efficiency standards. Energy Policy 2019, 131, 82–98. [Google Scholar] [CrossRef]
- Gupta, G.; Mathur, S.; Mathur, J.; Nayak, B.K. Blending of Energy Benchmarks Models for Residential Buildings. Energy Build. 2023, 292, 113195. [Google Scholar] [CrossRef]
- Ghajarkhosravi, M.; Huang, Y.; Fung, A.S.; Kumar, R.; Straka, V. Energy Benchmarking Analysis of Multi-Unit Residential Buildings (MURBs) in Toronto, Canada. J. Build. Eng. 2020, 27, 100981. [Google Scholar] [CrossRef]
- Zhou, Y.; Lork, C.; Li, W.-T.; Yuen, C.; Keow, Y.M. Benchmarking Air-Conditioning Energy Performance of Residential Rooms Based on Regression and Clustering Techniques. Appl. Energy 2019, 253, 113548. [Google Scholar] [CrossRef]
- Edalatnia, S.; Das, R.R. Building Benchmarking and Energy Performance: Analysis of Social and Affordable Housing in British Columbia, Canada. Energy Build. 2024, 313, 114259. [Google Scholar] [CrossRef]
- Shabunko, V.; Lim, C.M.; Brahim, S.; Mathew, S. Developing building benchmarking for Brunei Darussalam. Energy Build. 2014, 85, 79–85. [Google Scholar] [CrossRef]
- Shabunko, V.; Lim, C.M.; Mathew, S. EnergyPlus Models for the Benchmarking of Residential Buildings in Brunei Darussalam. Energy Build. 2018, 169, 507–516. [Google Scholar] [CrossRef]
- Tellache, A.; Lazri, Y.; Laafer, A.; Attia, S. Development of a Benchmark Model for Residential Buildings with a Mediterranean Climate: The Aero-Habitat in Algiers City. Sustainability 2025, 17, 831. [Google Scholar] [CrossRef]
- Chung, W. Review of building energy-use performance benchmarking methodologies. Appl. Energy 2011, 88, 1470–1479. [Google Scholar] [CrossRef]
- Papadopoulos, S.; Bonczak, B.; Kontokosta, C.E. Pattern recognition in building energy performance over time using energy benchmarking data. Appl. Energy 2018, 221, 576–586. [Google Scholar] [CrossRef]
- Wenninger, S.; Wiethe, C. Benchmarking Energy Quantification Methods to Predict Heating Energy Performance of Residential Buildings in Germany. Bus. Inf. Syst. Eng. 2021, 63, 223–242. [Google Scholar] [CrossRef]
- Parvaneh, M.; Seyrfar, A.; Movahedi, A.; Ataei, H.; Le Nguyen, K.; Derrible, S. Energy Consumption Prediction of Residential Buildings Using Machine Learning: A Study on Energy Benchmarking Datasets of Selected Cities Across the United States. In CIGOS 2021, Emerging Technologies and Applications for Green Infrastructure; Ha-Minh, C., Tang, A.M., Bui, T.Q., Vu, X.H., Huynh, D.V.K., Eds.; Springer Nature: Singapore, 2022; pp. 197–205. [Google Scholar] [CrossRef]
- Administration Centrale. Ministère de L’habitat de L’urbanisme et de la Ville. Available online: https://www.mhuv.gov.dz/?p=5041&lang=fr (accessed on 5 November 2024).
- A.A.D.L. Available online: https://www.aadl.com.dz/ (accessed on 10 November 2024).
- Sonelgaz. Available online: https://www.sonelgaz.dz/fr (accessed on 15 December 2024).
- Auffhammer, M.; Mansur, E.T. Measuring climatic impacts on energy consumption: A review of the empirical literature. Energy Econ. 2014, 46, 522–530. [Google Scholar] [CrossRef]
- Tarification—CREG. Available online: https://creg.gov.dz/?page_id=6757 (accessed on 15 November 2024).
- Météo Algérie. Available online: https://www.meteo.dz/ (accessed on 5 December 2024).
- Global Historical Climatology Network-Daily (GHCN-Daily), Version 3, Access. Available online: https://www.ncei.noaa.gov/access (accessed on 1 March 2025).





















| Parameters | Explication |
|---|---|
| Case study | The analyzed housing typology and the sample size reported |
| Study period | Indicates the timeframe of data collection; it may correspond to a typical year, a specific season, a representative month, a single day, or an extended period |
| Application | Specifies the application type employed in the article, such as mathematical models, simulations, and surveys |
| Models and techniques | Methods applied in different studies, such as multiple linear regression, simple linear regression, and artificial neural networks |
| Response variable | The type of energy consumption studied |
| Explanatory variables | Factors influencing residential energy consumption, including building physical characteristics, type of energy, energy price, climate, occupant behavior, and income |
| Analytical tools and software | An overview of the tools and software employed for modeling and simulation |
| Ref | Case Study | Study Period | Application | Response Variables (Energy Use) | Explanatory Variables | Tools & Software |
|---|---|---|---|---|---|---|
| [6] | Residential apartments (Egypt: Alexandria, Cairo, and Asyut) | August and September 2008 | Simulation and benchmarking | Electricity and natural gas | Building characteristics, climate, occupant behavior | EnergyPlus 2010 |
| [7] | Hypothetical building (Atlanta, GA, and in Meridian) | Hourly electrical and fuel energy consumption | Simulation and degree day method | Electricity and fuel energy | Climate, building operation | EnergyPlus |
| [8] | No case study, the paper is a review | - | Review and comparison of energy benchmark methods, black, grey, and white box methods | - | - | - |
| [9] | Residential building quarters (Stuttgart) | 2012 | Urban energy benchmarking | Heating/cooling, CO2 emissions | Urban density, urban form building typology | EnergyPlus, SUN tool (CISBAT 2005) |
| [10] | Residential buildings in the city of Jaipur (2700 houses) Indian city of Jaipur | - | MLR, PCA, Bayesian regression | Energy performance index (EPI) | Income, built-up area, appliances | SPSS version 21, Python (PyCaret library) |
| [11] | The existing data (with national coverage) of 500–700 households (England) | 2008–2011 | Regression and energy index | Natural gas and electricity | Household income, climate, heating fuel type | SPSS, GIS |
| [12] | 370 residential buildings (Chongqing, a city in southwestern China) | 2017–2021 | Clustering and regression | Electricity | Building typology, shape coefficient | EnergyPlus, plugin Urban Modeling Interface (UMI) |
| [13] | 189 residential buildings (single-family) (Woodbine, Iowa) in the U.S. | 2008–2010 (3-year longitudinal panel data) | DEA, MLR, clustering, Tobit regression | Gas, coal, electricity | Building age, floor area, AC type, degree-day | - |
| [14] | 1128 households in Chongqing China | 2016 | Regression, propensity score matching | Electricity | Household characteristics, occupant behavior | Statistical tools (survey) |
| [15] | 2800 dwellings of Jaipur city | 2023 | Blending approach | Electricity | House type, appliances, income | PyCaret (python) |
| [16] | 120 multi-unit residential buildings (Toronto, Canada) | 2010 | Regression and PRISM models | Electricity and gas | Building size, occupants, Heating Degree Days | Statistical tools |
| [17] | The staff apartment of Singapore University of Technology and Design | 2016 | Regression and clustering | AC energy use | Weather, AC set points | MATLAB 2017b |
| [18] | 23 community housing buildings in British Columbia (BC) | 2019–2022 | ESPM, regression | Energy use intensity (EUI), CO2 emissions | Floor area, occupancy patterns | ENERGY STAR Portfolio Manager (ESPM) 2022 |
| [19] | 3 of such housing estates with a total of 256 samples, Brunei Darussalam | 2010–2013 | OLS, SVM | Electricity (kWh/m2) | Floor area, AC usage, weather | EnergyPlus, libsvm) libsvm, version 2.6 in R programming |
| [20] | 400 residential buildings (three types of buildings), Brunei Darussalam | 2012 | Simulation and utility bills | Electricity | Building type, occupancy | EnergyPlus |
| [21] | 284 homes: Aero-Habitat (Algiers, Algeria) | - | Modeling and Simulation | Energy use | Reference archetype (F4) | EnergyPlus |
| [22] | - | 2011 | Public benchmarking and Internal benchmarking | The energy-use performance | - | - |
| [23] | Data from 15,000 properties in New York | 2011–2016 | Clustering approach and statistical tests | Energy use intensity | Number of floors, unit density | - |
| [24] | 25,000 single and two-family buildings (Germany) | 2016–2018 | Artificial Neural Network, D-vine copula quantile regression, Extreme Gradient Boosting, Random Forest, and Support Vector Regression | Electricity | Physical building attributes and geometry, the installed heating system, the location | - |
| [25] | Datasets for eight U.S. cities | - | XGBoost, RF, and ANN | Energy consumption | Floor area, year built, and energy star score | - |
| Energy Consumption Quarters (Trimester) | Designation of The Energy Consumption Period |
|---|---|
| T1 | From 20/11 to 20/02 |
| T2 | From 21/02 to 20/05 |
| T3 | From 21/05 to 20/08 |
| T4 | From 21/08 to 20/11 |
| Electricity Consumption | Natural Gas Consumption | ||
|---|---|---|---|
| Energy Consumption Bands | The Unit Price | Energy Consumption Bands | The Unit Price |
| 0–125 kWh | 1.7787 DA/kWh | 0–1125 thermie * | 0.1682 DA **/thermie |
| 125–250 kWh | 4.1789 DA/kWh | 1125–2500 thermie | 0.3245 DA/thermie |
| 250–1000 kWh | 4.8120 DA/kWh | 2500–7500 thermie | 0.4025 DA/thermie |
| >1000 kWh | 5.4796 DA/kWh | >7500 thermie | 0.4599 DA/tehrmie |
| Trimesters | 2022 | 2023 | 2024 |
|---|---|---|---|
| T1 and T2 | Stable: 70% in 250–1000 kWh | Stable: 70% in 250–1000 kWh | Stable: 70% in 250–1000 kWh |
| T3 | Increase in >1000 kWh (30–35%) | Even higher increase (~40%) | Strongest increase (>40%) |
| T4 | Return to normal, low >1000 kWh consumption | Slight increase in >1000 kWh | Continued rise in >1000 kWh |
| Trimesters | 2022 | 2023 | 2024 |
|---|---|---|---|
| T1 | High in 2500–7500 Thermie and 7500+ Thermie | Similar to 2022, slight efficiency gain | Slight drop in 7500+ Thermie consumption |
| T2 | Moderate consumption gains (1125–2500 Thermie) | Efficiency trend continues | More shift to 1125–2500 Thermie cluster |
| T3 | 0–1125 Thermie dominates | More pronounced drop in consumption | Maintains low consumption trend |
| T4 | Gradual rise, but with low to moderate clusters leading | Similar pattern, less increase in high consumption | Slight decrease in high consumption clusters |
| Year | EPI (kWh/m2) | EPI (kWh/Household Size) | ||||
|---|---|---|---|---|---|---|
| Mean | Min | Max | Mean | Min | Max | |
| 2022 | 202.70 | 5.81 | 815.79 | 3585.52 | 102.79 | 14,430.22 |
| 2023 | 161.95 | 4.13 | 379.82 | 2864.6 | 37.0 | 6718.5 |
| 2024 | 152.74 | 5.51 | 391.06 | 2701.8 | 79.8 | 6917.3 |
Disclaimer/Publisher’s Note: The statements, opinions and data contained in all publications are solely those of the individual author(s) and contributor(s) and not of MDPI and/or the editor(s). MDPI and/or the editor(s) disclaim responsibility for any injury to people or property resulting from any ideas, methods, instructions or products referred to in the content. |
© 2025 by the authors. Licensee MDPI, Basel, Switzerland. This article is an open access article distributed under the terms and conditions of the Creative Commons Attribution (CC BY) license (https://creativecommons.org/licenses/by/4.0/).
Share and Cite
Afaifia, M.; Boulahia, M.; Djiar, K.A.; Lamraoui, N.A.; Mansouri, A.N.; Milat, L.; Serrai, S.C.; Teller, J. Energy Benchmarking Analysis of Multi-Family Housing Unit in Algiers, Algeria. Sustainability 2025, 17, 4120. https://doi.org/10.3390/su17094120
Afaifia M, Boulahia M, Djiar KA, Lamraoui NA, Mansouri AN, Milat L, Serrai SC, Teller J. Energy Benchmarking Analysis of Multi-Family Housing Unit in Algiers, Algeria. Sustainability. 2025; 17(9):4120. https://doi.org/10.3390/su17094120
Chicago/Turabian StyleAfaifia, Marwa, Meskiana Boulahia, Kahina Amal Djiar, Nariman Aicha Lamraoui, Amina Naouel Mansouri, Lyna Milat, Sihem Chourouk Serrai, and Jacques Teller. 2025. "Energy Benchmarking Analysis of Multi-Family Housing Unit in Algiers, Algeria" Sustainability 17, no. 9: 4120. https://doi.org/10.3390/su17094120
APA StyleAfaifia, M., Boulahia, M., Djiar, K. A., Lamraoui, N. A., Mansouri, A. N., Milat, L., Serrai, S. C., & Teller, J. (2025). Energy Benchmarking Analysis of Multi-Family Housing Unit in Algiers, Algeria. Sustainability, 17(9), 4120. https://doi.org/10.3390/su17094120

