Next Article in Journal
An ESG-Oriented Sustainable Business Model for Paint Industry Supply Chain in Indonesia
Next Article in Special Issue
An Innovative LFC System Using a Fuzzy FOPID-Enhanced via PI Controller Tuned by the Catch Fish Optimization Algorithm Under Nonlinear Conditions
Previous Article in Journal
How to Fit Energy Demand Under the Constraint of EU 2030 and FIT for 55 Goals: An Italian Case Study
Previous Article in Special Issue
Biogas Production from a Solar-Heated Temperature-Controlled Biogas Digester
 
 
Font Type:
Arial Georgia Verdana
Font Size:
Aa Aa Aa
Line Spacing:
Column Width:
Background:
Article

Proposal of a Hybrid Neuro-Fuzzy-Based Controller to Optimize the Energy Efficiency of a Wind Turbine

by
Nathalia-Michelle Peralta-Vasconez
1,*,
Leonardo Peña-Pupo
2,
Pablo-Andrés Buestán-Andrade
1,
José R. Nuñez-Alvarez
3 and
Herminio Martínez-García
4,*
1
Unidad Académica de Informática Ciencias de la Computación e Innovación Tecnológica, Universidad Católica de Cuenca, Cuenca 010107, Ecuador
2
Excellence Group in Thermal Power and Distributed Generation-NEST, Postgraduate Program in Energy Engineering, Institute of Mechanical Engineering, Federal University of Itajubá, Itajubá 37500-903, Brazil
3
Energy Department, Universidad de la Costa, Barranquilla 080002, Colombia
4
Department of Electronic Engineering, Eastern Barcelona School of Engineering (EEBE), Universitat Politècnica de Catalunya—BarcelonaTech (UPC), E-08019 Barcelona, Spain
*
Authors to whom correspondence should be addressed.
Sustainability 2025, 17(8), 3742; https://doi.org/10.3390/su17083742
Submission received: 17 March 2025 / Revised: 10 April 2025 / Accepted: 14 April 2025 / Published: 21 April 2025

Abstract

Optimizing wind turbine control is a major challenge due to wind variability and nonlinearity. This research seeks to improve the performance of wind turbines by designing and developing hybrid intelligent controllers that combine advanced artificial intelligence techniques. A control system combining deep neural networks and fuzzy logic was implemented to optimize the efficiency and operational stability of a 3.5 MW wind turbine. This study analyzed several deep learning models (LSTM, GRU, CNN, ANN, and transformers) to predict the generated power, using data from the SCADA system. The structure of the hybrid controller includes a fuzzy inference system with 28 rules based on linguistic variables that consider power, wind speed, and wind direction. Experiments showed that the hybrid-GRU controller achieved the best balance between predictive performance and computational efficiency, with an R2 of 0.96 and 12,119.54 predictions per second. The GRU excels in overall optimization. This study confirms intelligent hybrid controllers’ effectiveness in improving wind turbines’ performance under various operating conditions, contributing significantly to the field of wind energy.

1. Introduction

In the global energy landscape, renewable sources have experienced unprecedented growth in recent years. According to statistics from the International Renewable Energy Agency (IRENA), total renewable generation capacity reached 3870 GW globally in 2023, with a record increase of 14% over the previous year’s provision to the grid [1,2]. Among the various renewable energy sources, wind generation stands out for its efficiency and growth potential. In 2023, wind energy accounted for 26.3% of the total renewable capacity, reaching 1017 GW [3] as illustrated in Figure 1. This technology stands out for its capacity to generate electricity on a large scale and its lower environmental impact compared to conventional energy sources [4]. Wind energy has proven to be highly competitive, with significantly lower operating costs per kilowatt-hour compared to other renewable energy sources such as solar and hydropower [5]. Its flexibility to adapt to fluctuating demand and its potential to reduce electricity prices position it as an attractive option in the transition to a more sustainable energy future [6].
In the context of this growth and the potential of wind energy, the development of advanced control systems for wind turbines has become a fundamental aspect of increasing the efficiency of wind energy production [7]. The variability of the wind speed presents significant challenges to the effective control and operation of wind turbines. Fluctuations in wind speed and direction directly impact energy production and can induce mechanical stress on turbine components [8].
Despite advances in wind turbine technology, conventional controllers, such as proportional, integral, and derivative (PID) systems, have shown restrictions in their effectiveness in dealing with nonlinearities and the stochastic nature of wind [9]. This limitation has led to the search for alternatives. In response to these limitations, the scientific community has focused its efforts on the development of advanced control systems that can adjust to variations in the environment [10]. These systems seek to maximize energy capture and minimize structural loads on wind turbines [11]. Fuzzy logic, in particular, has proven to be a valuable tool in the design of wind turbine controllers. Its ability to handle uncertainty and nonlinearities makes it particularly well-suited to address the challenges inherent in wind systems [12].
A study by Muñoz-Palomeque et al., 2024 [13], proposed a dual PID-PID control architecture for floating wind turbines. The system combines a maximum power point tracking (MPPT) controller, and a structural damping controller optimized with genetic algorithms. The configuration achieves an energy production of 3886 MW with a 5.45% reduction in tower vibrations, outperforming controllers based on conventional torque–speed curves. Salem et al., 2021 [14], presented a fuzzy logic adaptive controller for maximum power point optimization in wind turbines with permanent magnet synchronous generators. The system dynamically modifies the fuzzy controller parameters in response to fluctuating wind conditions. On the other hand, Gaied et al., 2022 [15], strategically analyzed maximum power point tracking (MPPT) techniques for wind systems, highlighting tip-speed ratio control with a proportional–integral controller (TSR-PI) as an optimal solution for maximum power tracking. The method demonstrated a 28% improvement in torque stability compared to fuzzy-optimization hybrid approaches, validated with SCADA data from actual turbines in turbulent wind profiles.
Despite the sustained growth of installed wind generation capacity, conventional control systems (PID/PI) have limitations in dynamic environments due to their inability to handle nonlinearities and the stochastic variability of the wind, causing mechanical oscillations and component stress. Simplified physical models underestimate the transient aerodynamic losses and require constant recalibration [16]. These restrictions have driven the development of hybrid systems that combine fuzzy logic with deep learning architectures, enabling proactive adaptation to environmental fluctuations and overcoming these barriers through proactive adaptation to environmental fluctuations, improving both operational stability and energy efficiency [17].
Advances in the field of artificial intelligence (AI), particularly in deep learning, have expanded the possibilities for predictive analytics and the real-time control of wind turbines. Various architectures such as artificial neural networks (ANNs), convolutional neural networks (CNNs), long short-term memory (LSTM) networks, gated recurrent units (GRUs), and transformers have shown promising results in wind pattern prediction and turbine performance optimization [4,17].
The integration of these AI technologies with fuzzy controllers constitutes an innovative strategy for addressing the complex challenges inherent in wind turbine control [18]. This methodology seeks to leverage the robustness and adaptability of fuzzy logic, complemented by the learning and predictive capabilities of AI models, with the potential to develop more efficient and pre-accurate control systems [19].
Recent advances include the development of model-based predictive controllers (MPCs) that integrate machine-learning algorithms to proactively adjust the blade pitch angles and generator torque [20]. Such is the case of López, 2024 [11], whose research has evidenced that adaptive control systems can respond in real-time to power grid conditions, balancing the output among multiple turbines. This system considers factors such as wake effects and electrical demand, optimizing not only energy production but also contributing to maintaining grid stability.
The application of variable speed control strategies has enabled wind turbines to operate more efficiently over a wide spectrum of wind speeds [21]. These systems maintain constant electromechanical torque and absorb wind speed fluctuations by varying rotor speed, resulting in improved quality of power delivered to the grid.
Ahmad et al., 2023 [22], developed a hybrid control system combining fuzzy logic and artificial neural networks to address the problem of structural vibrations in floating offshore wind turbines. This innovative approach was shown to significantly improve system stability and performance in dynamic offshore environments. Meanwhile, Sayeh et al., 2024 [23], introduced the F12-DPC (fuzzy logic-based 12-sector direct power control) method in their research, a technique that merges fuzzy logic with direct power control in wind turbines equipped with doubly fed induction generators. The results provided in [23] show improvements in energy efficiency and the quality of generated power.
Maafa et al. 2023 [24] presented an innovative adaptive neuro-fuzzy controller for a doubly fed induction generator (DFIG-WECS). This system integrates the learning capabilities of neural networks with the flexibility of fuzzy logic for direct torque and flux control. The researchers demonstrated that this hybrid approach improves dynamic performance and increases robustness to variations in operating conditions. Furthermore, Milles et al., 2024 [25], developed a robust and innovative technique using an interval type-2 fuzzy controller (IT2-FLC) for a wind turbine system based on a doubly fed induction generator (DSIG). The main objective was to improve the performance and robustness of the DSIG control against uncertainties and disturbances. In addition, in [25], a significant reduction in the active and reactive power oscillations was reported, a decrease in the total harmonic distortion (THD) of the current by up to 25.88%, and an improvement in the dynamic response of the system. Similarly, the model developed by Wang et al., 2023 [26], employed extreme learning machines optimized with swarm algorithms to improve wind power prediction (ITSA-ELM) and is based on a hybrid approach that combines supervised learning techniques with evolutionary optimization to adjust the model parameters. This approach reduces the MAPE by 29.18% compared to traditional KELM, using data from French wind farms with a temporal resolution of 10 min.
This paper focuses on the design assessment of hybrid intelligent controllers that combine deep learning techniques with fuzzy logic to enhance the performance of wind turbines. The goal of this work is to optimize the blade angle control and power output prediction by developing an adaptive system that responds dynamically to wind fluctuations. This approach seeks to overcome the inherent limitations in traditional control methods by taking advantage of the advanced capabilities offered by the combination of neuro-fuzzy systems.
This research overcomes the key limitations identified in conventional approaches. Recent studies have highlighted three fundamental advances: Sierra-García et al., 2022 [27], implemented a fuzzy controller coupled to LSTM networks for pitch angle adjustment, albeit restricted to a single deep learning architecture. Hosseini et al., 2022 [28], developed a hybrid system combining fuzzy logic with conventional PI control, achieving higher operational stability but lacking predictive capability in the face of wind fluctuations. Vu et al., 2022 [29], proposed an adaptive optimal controller (ANFIS) that improves the dynamic adaptability but does not take advantage of the deep learning architectures.
Therefore, this current paper proposes a synergetic integration of multiple deep learning architectures (ANN, CNN, LSTM, GRU, and transformers) with fuzzy inference systems. The system implements 28 multivariable control rules that process different input variables.
This article is structured to systematically present the methodology and research findings. Section 2 details the materials, data, and computational methods employed in the development of the hybrid controllers. Section 3 then presents the results obtained in the simulations and comparative evaluations of the proposed architectures and discusses these findings in the context of the existing literature and analyzes their implications. Finally, Section 4 offers the conclusions of this study, as well as recommendations for future research in this field.

2. Materials and Methods

This study adopted a mixed methodology, integrating quantitative and qualitative approaches to develop hybrid intelligent controllers for wind turbines. The research was structured in sequential phases as illustrated in Figure 2, each designed to address specific aspects of controller development and evaluation.

2.1. Data Collection and Preprocessing

A database was used from a Supervisory Control and Data Acquisition (SCADA) system of a 3.5 MW wind turbine located in Turkey [30], where measurements were recorded during 2018 at 10 min intervals. These measurements cover a full range of operating conditions, including periods of high turbulence and seasonal transitions. The dataset comprises 50,530 records with four variables: active power (AP), wind speed (WS), theoretical power curve (TPC), and wind direction (WD) (Figure 3). The database was exported in CSV format and subsequently processed using the Python Pandas library v. 2.2.2. The time series presents significant oscillations in AP (0–3600 kW), WS exhibits variable behavior (up to 25.206 m/s) throughout the period analyzed, and TPC reflects a close relationship with AP with more marked changes between energy generation levels, As for WD, significant transformations are observed throughout the study period, with stabilization intervals near to 200 degrees. This database provides detailed information on turbine performance under various atmospheric conditions throughout the year.
The data cleaning process included eliminating outliers and incomplete records through statistical analysis, ensuring that only consistent data representative of the system’s real behavior was retained. Subsequently, a linear interpolation technique was applied to complete missing values less than 5% of the total, avoiding bias in the time sequences and guaranteeing comparability between variables with different scales. The min–max scaling technique was used to normalize the data. This method adjusts the values of a variable to restrict them in a range from 0 to 1 [31]. The transformation is performed by applying Equation (1).
M S = X i X m i n X m a x X m i n
where
  • X m a x y X m i n are the minimum and maximum values of each variable.
The data are divided into training (80%) and validation (20%) sets, while test data are explicitly used for the fuzzy controller. The sliding window technique optimizes the predictive capability by organizing the input data into temporal sequences. The analysis covers three horizons:
  • 6 input data (1 h) to predict the next 10 min.
  • 36 input data (6 h) to predict the next 10 min.
  • 72 input data (12 h) to predict the next 10 min.
This methodology allows for optimizing the predictive performance of the models by considering both rapid variations and more prolonged trends in wind conditions.

2.2. Artificial Intelligence Models

To improve the predictive analysis and control of wind turbines, several artificial intelligence architectures were developed. Figure 4 shows a graphical overview of the implemented neural networks: artificial neural networks (ANNs), Convolutional neural networks (CNNs), long-term short-term memory networks (LSTMs), closed recurrent units (GRUs), and transformers:
  • Artificial neural networks: ANNs consist of multiple layers of interconnected nodes. These nodes process information using adjustable weights and non-linear activation functions [32]. ANNs are useful for recognizing complex patterns and improving the efficiency of wind turbines [30].
  • Convolutional Neural Networks: Particularly effective in spatial data analysis, CNNs employ convolutional layers to extract relevant features from the data [33]. In the context of wind turbines, CNNs can be used to analyze inspection images of blades, allowing automatic defect detection and predictive maintenance optimization [34].
  • Short-Term Memory Networks: the LSTM is an advanced architecture that incorporates memory cells and gates to regulate the flow of information over time [35]. This feature makes them ideal for modeling long-term dependencies in time series, such as long-term wind power production prediction and anomaly detection [36].
  • Closed Recurrent Units: GRUs are a simplified version of LSTMs that combine the input gate and the forgetting gate into a single update gate [37]. This reduces model complexity and improves computational efficiency, without sacrificing the ability to capture temporal dependencies in the data [38].
  • Transformers: Although originally designed for natural language processing, transformers have proven to be very effective in sequential data modeling [39]. Their architecture, based on attention mechanisms, allows them to capture complex relationships between different parts of the sequence, which makes them very valuable for time series prediction in the context of wind turbines [40].

Performance Metrics

The fundamental metrics for assessing the accuracy of predictive models in machine learning and deep learning are the mean square error (MSE), the mean absolute error (MAE), and the coefficient of determination (R2). These metrics provide different perspectives on model performance and predictive ability.
1.
The MSE measures the average difference between a model’s predictions and actual values, giving greater weight to larger errors by squaring them [41]. Equation (2) defines the MSE.
M S E = 1 n i = 1 n ( y i y ^ i ) 2
where
  • n : number of observations;
  • y i : actual values;
  • y ^ i : predicted values.
  • The MAE calculates the average of the absolute differences between the predicted and actual values [42]. Equation (3) defines the calculation of the MAE.
M A E = 1 n i = 1 n y i y ^ i
where
  • n : number of observations;
  • y i : actual values;
  • y ^ i : predicted values.
  • The R2 quantifies the proportion of the variability in the dependent variable that can be explained by the model [43]. R2 values range from 0 to 1, where a value close to 1 indicates a better fit. The formula for calculating R2 is defined in Equation (4).
R 2 = 1 i = 1 n y i y ^ i 2 i = 1 n y i y ¯ 2
where
  • n : number of observations;
  • y i : actual values;
  • y ^ i : predicted values.
2.
The MAPE measures the difference between predicted and actual values, presenting it as an average percentage [43]. This indicator is obtained using the following mathematical Formula (5):
M A P E = 1 n t = 1 n A t F t A t × 100 %
where
  • n : number of observations;
  • A t : actual values t ;
  • F t : model-predicted values t .
3.
The SMAPE is a highly accurate forecasting metric that overcomes the shortcomings of the MAPE, especially in cases where the values are close to zero, generating a symmetrical measure that fluctuates between 0% and 200%. The mathematical expression of SMAPE is presented in Equation (6):
S M A P E = 100 % n t = 1 n F i A i A i + F i / 2
where
  • n : number of observations;
  • A i : actual values;
  • F i : model-predicted values.

2.3. Pearson Correlation Coefficient

The Pearson correlation coefficient is used as a statistical tool to evaluate the linear relationship between variables in the context of wind turbines. This coefficient allows us to analyze the interaction between key factors such as wind speed, wind direction, and generated power. The coefficient values vary between −1 and 1, where extremes indicate strong correlations (negative and positive, respectively), while values close to 0 suggest a lack of linear relationship [44,45].
This method is applied to identify the variables that have the greatest impact on turbine performance, which facilitates the optimization of control models. Equation (7) presents the Pearson correlation coefficient formula.
r = ( X i X ¯ ) ( Y i Y ) ¯ ( X i X ¯ ) 2 ( Y i Y ) ¯ ) 2
where
  • y i : original values;
  • Y ¯ : predicted values;
  • y: is the average value of all the Y ¯ ;
  • I = 1 N ( y I Y I ) 2 : represents the sum of the squared errors of the predictions;
  • I = 1 N ( y I Y I ) 2 : indicates the sum of the squared deviations of the observer’s values from their mean.

Cross-Validation in Deep Learning Models

Cross-validation is a fundamental methodology in the development of machine learning models. It is designed to estimate predictive performance and guarantee the generalization of algorithms in unobserved data. This technique operates by iteratively partitioning the dataset into training and validation subgroups, allowing for a robust evaluation that mitigates overfitting and reduces bias in selecting hyperparameters [46,47].
Among the most common cross-validation techniques is k-fold validation, which divides the data into k subsets or “folds”, ensuring that each partition is used as a validation set once and as a training set, the remaining k − 1 times. This technique is particularly suitable for balanced datasets and moderately sized models, as it balances accuracy and computational efficiency [48].
K-fold validation can also incorporate stratified strategies, where the partitions preserve the original distribution of the target classes or variables. This is essential in problems with unbalanced data, such as those related to binary or multiclass classification [49]. In addition, recent research has suggested that k values between 5 and 10 are the most appropriate for obtaining reliable error estimates without incurring excessive computational costs [50].

2.4. Fuzzy Controller

The development of control systems based on fuzzy logic is an advanced methodology for improving the efficiency and performance of wind turbines. This approach facilitates the handling of complexities of wind turbine control and is composed of two fundamental interconnected elements that form the operational basis of the controller [51,52].
Figure 5a presents the fundamental architecture of the fuzzy controller. The system combines an input signal with feedback, generating an error signal that feeds the fuzzy controller [53]. This controller processes the information and generates a control action that is applied to the process, producing an output signal that is fed back to maintain system stability. Figure 5b details the internal structure of the fuzzy controller, which consists of four essential elements that operate sequentially [54].
The process starts in the fuzzification module, where precise signals are converted into fuzzy values. These values are processed in the inference system, which operates according to the guidelines of the knowledge base. This knowledge base stores the set of rules that define the behavior of the controller. Finally, the defuzzification module converts the results of the inference process into accurate control signals applicable to the physical system [55].
Fuzzy controllers employ linguistic variables and fuzzy sets to model discrete levels of input and output, using terms such as “low”, “medium”, and “high”. Membership functions, which can be triangular, trapezoidal, or Gaussian, quantify the degree to which values belong to these sets, influencing the interpretation of the data [56]. Inference rules, fundamental in fuzzy logic, define the relationship between input and output variables, allowing appropriate answers even with imprecise information [57]. In this research, the Mamdani system is used, structured with antecedents and consequents, where fuzzy sets are assigned to input and output variables. The process involves the formulation of rules that relate combinations of inputs to their corresponding outputs, using fuzzification and defuzzification techniques.

2.5. Hybrid Controller

The development of the intelligent hybrid controller was based on data from the wind turbine’s SCADA system, which recorded crucial variables such as active power, wind speed, wind direction, and the theoretical power curve. These data were essential for the construction of both the prediction module and the fuzzy controller.
Figure 6 illustrates the detailed process of the hybrid controller. Initially, the training and prediction module was developed, which implemented the ANN, CNN, LSTM, GRU, and transformer architectures. This module incorporates data preprocessing including cleaning, clustering, dimensional reduction, and normalization, to optimize the models using random search. Each architecture generated an active power prediction that subsequently fed the fuzzy controller.
Simultaneously, the fuzzy controller was developed, starting with the fuzzification of the input variables using specific membership functions. This process transformed the numerical values, including the power predictions of each model, into linguistic terms that fed an inference system supported by a rule base. The final result was obtained through a defuzzification process that determined the optimal blade angle.
For the development of the research, Python was used as the main programming language, with libraries such as Pandas (2.2.2), NumPy (2.0.2), TensorFlow (2.18.0), Keras (3.8.0), skfuzzy (0.5.0), and Matplotlib (3.10.10), was key. The controller segmented power, speed, wind direction and blade angle into five linguistic levels. The membership functions (trapezoidal and triangular) for speed, direction, and angle were kept constant, varying only those for power according to the neural network. The system was completed with a set of 28 inference rules relating the variables to the blade angle, adapting for precise control under various conditions, as can be seen in Figure 7.

3. Results

The implementation of various models, combined with fuzzy logic, was oriented to explore different approaches for the prediction of generated power and blade angle control in wind systems. Each neural network architecture has inherent characteristics that make them more or less suitable for modeling the complex dynamics of these systems. The experiments performed allowed identifying specific strengths and limitations of each model in the context of wind turbine control, seeking an optimal integration with fuzzy logic to maximize the efficiency and stability of the system. The objective was to determine the most effective combination in terms of prediction and adaptive control, considering nonlinearities and wind variability.

3.1. Hyperparameter Search of AI Models

The optimization of the neural models, using the random search technique for the search of hyperparameters, is presented in Table 1. These values have a direct impact on the learning and generalization capacity of each architecture. The resulting configuration showed a consistency in the number of layers, being set at 2 for all architectures. However, in the case of the ANN and transformer, 128 units were selected, as this configuration showed good performance in capturing complex patterns in the data. For the CNN, 64 filters were implemented with a kernel size of 5 and a pooling size of 2, which allowed for extracting relevant features from the input data. The LSTM was configured with 64 units, optimizing its ability to model temporal dependencies in longer sequences. On the other hand, the GRU required 256 units to adequately capture the complex temporal dynamics present in the data. The dropout rate was adjusted for each model, varying from 0.1 to 0.5, in order to mitigate the risk of overfitting. The ReLU activation function was used in the ANN, CNN, and GRU due to its computational efficiency, while the hyperbolic tangent function (Tanh) was selected for the LSTM, optimizing its performance in modeling temporal sequences.

3.2. ANN Model Training and Evaluation

The ANN model performance analysis evaluated four different combinations of features, where the configuration comprising [‘AP’, ‘WS’, ‘TCP’, and ‘WD’] demonstrated the best performance, illustrated in Table 2. This combination achieved the most favorable values in the key metrics: the lowest MSE (0.31907), the lowest MAE (0.25234), and the highest R2 (0.13198). In addition, it achieved the most efficient execution time of 9.36 s, although it demanded a higher RAM consumption of 15.4 GB plus 50.9 M.
Significant variations were observed among the different configurations evaluated related to computational efficiency and predictive capacity. The combination of AP, TCP, and WD excelled in prediction speed, reaching 888,562.86 predictions per second, while the SMAPE remained relatively stable in all configurations, varying between 80.09% and 80.75%. Notably, the MAPE showed a decreasing trend, reaching its lowest value of 3906.22% in the configuration that included all features, suggesting an improvement in the predictive accuracy of the model.

3.3. Training and Evaluation of the CNN Model

The results from the assessment of the CNN model show significant patterns in the performance of the various parameter combinations analyzed. The configuration [‘AP’, ‘WS’, ‘WD’] demonstrated the best performance, with an MSE of 0.18273, MAE of 0.13225, and R2 of 0.71541. This combination exhibited remarkable computational efficiency, requiring 8.73 s of processing and a 22.5 MB increase in RAM usage over the baseline of 18.0 GB. In addition, the configuration [‘AP’, ‘WS’, ‘TCP’, ‘WD’] achieved the lowest MAPE of 229.91%, indicating higher relative accuracy in predictions when using all parameters. It is worth highlighting that the combination [‘AP’, ‘TCP’, ‘WD’] surpassed in processing speed, achieving 254,662.36 predictions per second, although with a higher RAM consumption of 75.1 MB.
The results indicate that the configuration [‘AP’, ‘WS’, ‘WD’] offers the most favorable trade-off between predictive accuracy and computational efficiency, constituting the most suitable option for model implementation in terms of overall performance, as can be seen in Table 3.

3.4. Training and Evaluation of the LSTM Model

Evaluation of the LSTM model revealed outstanding performance on multiple performance metrics. All configurations achieved R2 values above 0.95, with the combination [‘AP’, ‘WS’, ‘TCP’] standing out with an R2 of 0.959441. In terms of error, MSE kept fluctuating between 0.06897 and 0.07028, while MAE varied between 0.04389 and 0.04596, with the [‘AP’, ‘WS’, ‘TCP’] configuration exhibiting the lowest values in both metrics. It is noteworthy to mention that the execution times presented significant variations among the different configurations, with [‘AP’, ‘WS’, ‘WD’] standing out as the most efficient with 140.27 s, in contrast to [‘AP’, ‘WS’, ‘TCP’, ‘WD’] which required 466.72 s. In terms of prediction speed, the [‘AP’, ‘WS’, ‘WD’] configuration distinguished itself with 3,699,447 predictions per second.
Memory consumption remained stable with a base of 20.1 GB. The MAPE and SMAPE values recorded were comparatively high, ranging from 6813.31% to 6912.62% for MAPE (Table 4).

3.5. GRU Model Training and Evaluation

Analysis of the GRU model results indicates that the [‘AP’, ‘WS’, ‘WD’] configuration proved to be the most efficient configuration, exhibiting optimal error metrics (MSE: 0.06872, MAE: 0.04404, R2: 0.95973) and a speed of 12,119.54 predictions per second. This combination revealed moderate RAM consumption, with an increase of 208.7 MB over the baseline of 18.9 GB, and completed its execution in 45.13 s, the shortest time recorded among all the configurations evaluated.
The combination with all variables [‘AP’, ‘WS’, ‘TCP’, ‘WD’] presented comparable error metrics (MSE: 0.06880, R2: 0.95964), but with a significantly higher execution time of 1975.48 s and a decrease in memory usage of 308.7 MB. The MAPE and SMAPE metrics remained relatively constant across all configurations, with values of approximately 6900% and 110%, respectively, indicating that these percentage error measures were not discriminating factors in evaluating performance between the different combinations of variables (Table 5).

3.6. Training and Evaluation of the TRANSFORMERS Model

Performance metrics analysis of the transformers model revealed significant results among the four combinations of features evaluated. The configuration [‘AP’, ‘TCP’, ‘WD’] emerged as the most efficient, achieving an R2 of 0.61303 and an MAE of 0.16711. This configuration maintained a favorable balance in terms of computational efficiency, with an execution time of 78.69 s and a 56.7 MB increase in RAM usage over a base of 18.1 GB. Despite presenting a high MAPE of 2216.42%, this combination achieved the lowest SMAPE of 64.868%, demonstrating greater consistency in predictions. Notably, this configuration achieved a processing speed of 45,063.26 predictions per second, establishing itself as a solution that optimizes predictive accuracy and resource efficiency.
The alternative configurations, although competitive, did not exceed the overall performance of the optimal combination, especially in terms of R2 and overall predictive accuracy (Table 6).

3.7. Fuzzy Control

3.7.1. Definition of the Discourse Universe

The universe of discourse defines the inputs and outputs of the controller. The inputs incorporate fundamental parameters for the operation of the wind turbine. Power is normalized to the interval [−1, 1], representing the difference between the predicted and current value. The wind speed is quantified from 0 to 25 m/s, while its direction covers 360 degrees, allowing an accurate representation of its orientation. As an output variable, the blade pitch angle, which determines how the blades interact with the wind, is set between 0 and 91 degrees.
These variables play a crucial role in determining the dynamic behavior of the turbine and its ability to adjust to varying conditions. The discretization of these intervals responds to the typical operating characteristics of wind turbines and is based on available historical records.

3.7.2. Membership Functions and Linguistic Variables

The implemented FLC system presents a complete structure of inputs and outputs. For the inputs, three linguistic variables were set: generated power, wind speed, and wind direction, each with their respective membership functions, as illustrated in Table 7. For the output variable, the blade angle is defined with five different levels, from AMB to AMA, using a combination of trapezoidal functions for the extremes and triangular functions for the intermediate levels.
The symmetry in the structure of the membership functions between the input and output variables facilitates the implementation of the control system. Specifically, the angle output variable maintains a structure analogous to the power and speed input variables, employing trapezoidal functions at the extremes (AMB and AMA) to provide stability at the system boundaries, while the intermediate levels (AB, AM, and AA) use triangular functions to allow smooth transitions between the different control states, as shown in Table 8.
This comprehensive configuration of inputs and outputs allows a precise mapping between the wind system conditions and the necessary control actions, establishing a solid basis for the implementation of the fuzzy control rules that will govern the system’s behavior.

3.7.3. Inference Rules

The design of the fuzzy inference system is structured using a matrix of 28 rules that relate the input variables with the output variable. These rules are formulated considering critical operational scenarios and patterns obtained from historical data from the SCADA system. For example, when the power is very low (PMB), and the wind speed is very high (VMA), the controller adjusts the angle of the blades to a very high value (AMA) to protect the mechanical components from intense gusts. Likewise, specific rules are included for wind direction, where winds from the north and east adjust to a medium angle (MA). In contrast, winds from the south induce a low angle (LA), adapting to the aerodynamic characteristics associated with these orientations.
In more complex situations, such as when the power is medium (PM) and the speed is low (VB) in a northerly direction, the system adjusts the angle to a low value (AB). Similarly, when the power is low (PB) and the speed is medium (VM) in a southerly direction, the controller sets a medium angle (AM). This approach ensures an efficient adaptive response that balances the wind turbine’s energy capture and structural protection against extreme environmental conditions. Table 9 shows a subset of the implemented rules.

3.8. Hybrid Controller

The effectiveness of the proposed hybrid controllers depends on the accuracy of the power prediction. In Figure 8, the projections made by five different structures are presented. This forecasting ability is critical for anticipating variations in power output, which is crucial in maintaining a stable wind turbine operation. The graphical representation of the results demonstrates how various models capture generation patterns, even in high-volatility scenarios where power output ranges from 0 to 4000 kW.
The hybrid control system is particularly favored by these predictions, allowing it to proactively modify its control variables in the face of impending changes in power generation. This feature is especially useful in situations of abrupt transitions, such as those observed at points 40 and 80 of Figure 8, where sudden variations of more than 2000 kW are recorded. The anticipatory capability allows the controller to implement more gradual and efficient regulation techniques, minimizing mechanical wear on turbine components and maximizing energy production across the entire operating spectrum.

Hybrid-ANN Controller

The conceptualization of the fuzzy sets was carried out using a combined strategy, which integrates empirical information and projections from the ANN predictive model. Five power categories were established, from PMB to PMA, normalized in the range [−1, 1]. Wind speed and direction parameters were based on a statistical analysis of historical records from the SCADA system, with a speed range from 0 to 21.62 m/s, and direction was divided into four quadrants. This approach allows the controller to anticipate power fluctuations and respond to the physical conditions of the environment.
It is important to emphasize that the ranges defined for blade speed, direction, and angle, as detailed in Table 10, will remain unchanged in all the hybrid control systems presented later in this study. This uniformity in the ranges not only ensures consistency in the design of the controllers but also allows a more accurate comparison of performance between the different control strategies proposed.
In the development of the fuzzy controller, an analysis of the membership functions for each system variable was carried out. For the variables related to wind (speed and direction) and blade angle, triangular functions were implemented. These functions are characterized by a uniform distribution and a 50% overlap between adjacent functions. The choice of this geometric configuration was based on its ability to provide a linear and computationally efficient response, allowing a smooth transition between states and facilitating the interpretation of the system behavior. The visual representation of these membership functions and their characteristics can be seen in Figure 9.
Furthermore, a Gaussian function was used for the power variable. This choice was based on the need to obtain a smoother and more differentiable response in power generation. This characteristic is essential to reduce abrupt variations in the system output and ensure stable operation of the wind turbine.
The plots representing the membership functions for the linguistic variables of wind speed and direction, as well as blade angle, are kept constant in all the hybrid controllers developed during this study. These functions are based on the fuzzy sets previously established in Table 10.
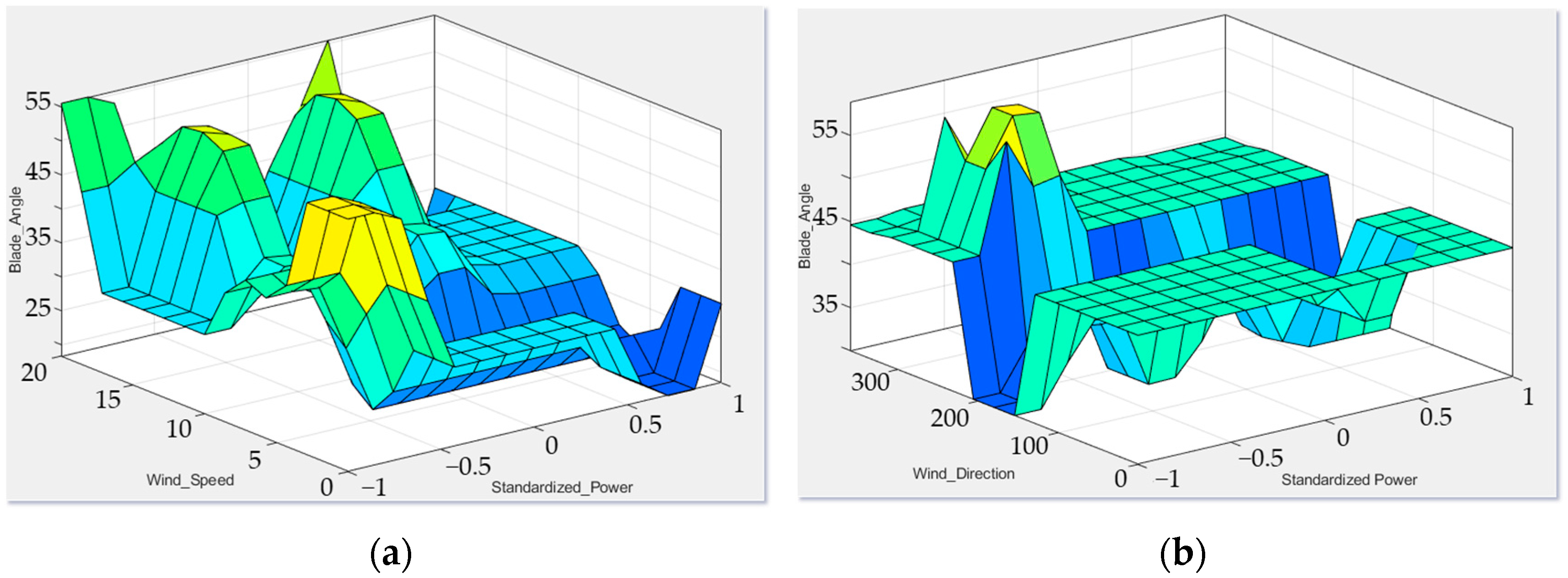
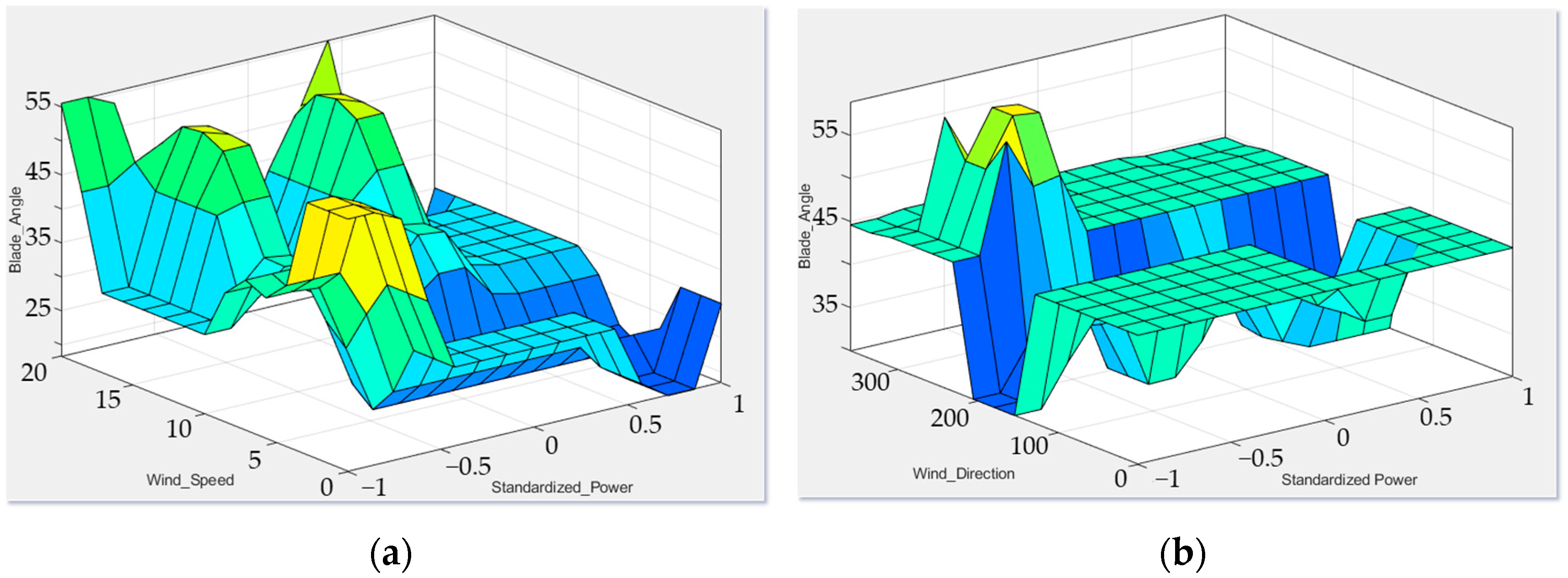
Similarly to the performance of the hybrid controller to adjust the blade angle, a remarkable dynamic response was observed with an operating range from 41.544208° to 66.987330° as a function of wind speed between 0.555333 m/s and 1.314823 m/s demonstrating its adaptive efficiency, as illustrated in Table 11.
Figure 10 reveals the complex interrelationship between the wind system components, highlighting how the orientation of the blades responds to fluctuations in wind intensity and power, with a maximum inclination close to 66.987330° when the wind reaches approximately 1.314823 m/s. In addition, the control system proved to be able to maintain operational balance over an angular spectrum from 190.7° to 293.5°, regulating the standardized power between approximately −0.636290 and −0.551294. The control plane configuration exhibits gradual changes between different operating zones, suggesting a balanced and finely calibrated management of the array, allowing the system to effectively adapt to various conditions without experiencing abrupt alterations in performance.

3.9. Hybrid-CNN Controller

The CNN hybrid controller demonstrated efficient behavior in controlling the blade angle, keeping it in a favorable operating range between 58.66° and 59.53° for the wind turbine. The control surface in Figure 11a shows an effective response with wind speeds between 1.29 m/s and 1.68 m/s, evidencing stability through smooth transitions and consistent blade angle values, as observed in Table 12. Furthermore, Figure 11b reveals that the controller maintains an accurate angle setting even with variations in wind direction between 236.52° and 265.39°. The standardized power, fluctuating between −0.68 and −0.62, showed a consistent correlation with the angle settings.

3.10. Hybrid-LSTM Controller

Analysis of the LSTM hybrid controller for blade angle control revealed significant adaptive patterns in various wind conditions. In a high wind of 1.31 m/s, the controller adjusted the angle to 70.71°, maintaining the standardized power at −0.77. It should be noted that negative standardized power values do not indicate an absolute loss of energy, but represent a relative reference used to evaluate system performance in different scenarios. At minimum operating conditions, with 0.55 m/s, it maintained an angle of 69.25° and a power of −0.71. At moderate speeds of 0.98 m/s, the angle was adjusted to 62.24° with a power of −0.70, demonstrating optimization in intermediate conditions (see Table 13).
The three-dimensional surfaces in Figure 12 show these interactions, indicating a non-linear correlation between wind speed and blade angle in Figure 12a, and the response to wind direction variations between 190.65° and 293.47° in Figure 12b, exhibiting smooth transitions indicative of stable control.

3.11. Hybrid-GRU Controller

The results of the GRU hybrid controller behavior for blade angle control showed robust and adaptive performance under various operating conditions. Table 14 showed angle variations between 48.91° and 70.85° corresponding to wind speeds between 0.55 and 1.31 m/s, and maintaining a standardized power close to −0.7.
The analysis of the three-dimensional surfaces in Figure 13 revealed a consistent control pattern, with gradual adjustments of the blade angle to changing operating conditions.
An upward trend in angle was observed as wind speed increased, indicating an effective control strategy. In addition, a uniform system response was obtained in wind directions between 190° and 293°, highlighting the controller’s ability to maintain stable blade angles even in the face of significant changes in wind direction. This behavior demonstrates the robustness of the GRU hybrid controller to maintain system efficiency under various operating conditions.

3.12. Hybrid-Transformer Controller

The transformer-based hybrid controller demonstrated efficient adjustment of the wind turbine blade angle under various conditions, ranging from 52.65° to 69.90° for wind speeds from 0.55 m/s to 1.31 m/s, while maintaining a stable standardized power of approximately −0.72, as shown in Table 15.
The three-dimensional response surfaces (see Figure 14) illustrated the non-linear relationship between the operating parameters, showing the dynamic adaptation of the blade angle and the interaction between wind direction (190.65° to 293.47°) and standardized power. The quantitative analysis showed that the controller improved turbine performance through precise adjustments, managing to maintain a constant energy production despite wind fluctuations. In addition, its robustness and effectiveness in maintaining the optimal operating point and increasing the energy efficiency of the system was validated.
The analysis of the implemented architectures (ANN, CNN, LSTM, GRU, and transformers) highlights significant differences in terms of predictive accuracy, computational efficiency, and ability to handle complex temporal dynamics. The ANN showed acceptable performance in general prediction tasks, but its ability to model temporal dependencies was limited due to its static structure, resulting in a low R2 coefficient (0.13198).
On the other hand, although computationally efficient and helpful in extracting spatial characteristics, the CNN failed to adequately capture the temporal relationships inherent in wind time series, obtaining an R2 of 0.71541. LSTMs and GRUs proved more effective at modeling complex temporal dependencies, with the GRU model outperforming the LSTM in terms of computational efficiency (12,119.54 vs. 3699.45 predictions/second) and accuracy (R2 = 0.95973 vs. R2 = 0.95944). This can be attributed to the simplified structure of the GRU model, which reduces computational complexity without sacrificing predictive capacity. Finally, the transformers showed competitive performance in prediction speed. Still, their accuracy (R2 = 0.61303) was lower due to the lack of specific optimization for time series with high stochastic variability, such as wind.
The experimental results reveal significant variations in the performance of the implemented hybrid controllers. The analysis of the first 50 values of blade angle indicates that the hybrid-GRU controller achieved the best performance, with an average angle of 44.17° ± 13.39°, although it presented notable oscillations. The LSTM controller, with 43.92° ± 13.56°, shows a similar behavior to the GRU, particularly in areas of high variability, as illustrated in Figure 15.
The ANN and transformer models, with average angles of 44.40° ± 12.10° and 42.86° ± 13.28°, respectively, exhibit distinct patterns, with transformers maintaining higher values towards the end of the time series. The CNN controller (42.32° ± 12.95°) shows a steep drop at certain points, while the GRU and LSTM models maintain a more stable response, demonstrating a superior ability to handle abrupt transitions while retaining their average values within the specified range.
Figure 16 presents a comparison between the controlled and real angle (desired value), evaluating the performance of different key statistical metrics: MAE, RMSE, and R2. The results demonstrate significant differences in the ability of the models to replicate the actual behavior of the system. The evaluation seeks to identify which model best suits the system’s non-linear dynamics under varying wind conditions. The consistency in scales allows for a direct visual comparison between models. At the same time, the numerical results reinforce the superiority of the GRU model in terms of predictive accuracy and operational stability.
The GRU model stood out with an MAE of 9.72, reflecting higher prediction accuracy. Its RMSE was 14.88, indicating a good fit to the real data and lower error dispersion. In addition, its R2 reached 0.95973, thus evidencing a strong correlation between predicted and current values, as well as a high predictive capacity. In contrast, the ANN, CNN, LSTM, and transformer models showed lower performance in terms of MAE and RMSE, indicating lower accuracy and higher prediction errors. Their R2 values were also lower, reflecting reduced predictive ability. These results underscore the superiority of the GRU model in predicting blade angle, attributable to its ability to capture temporal dependencies more effectively.

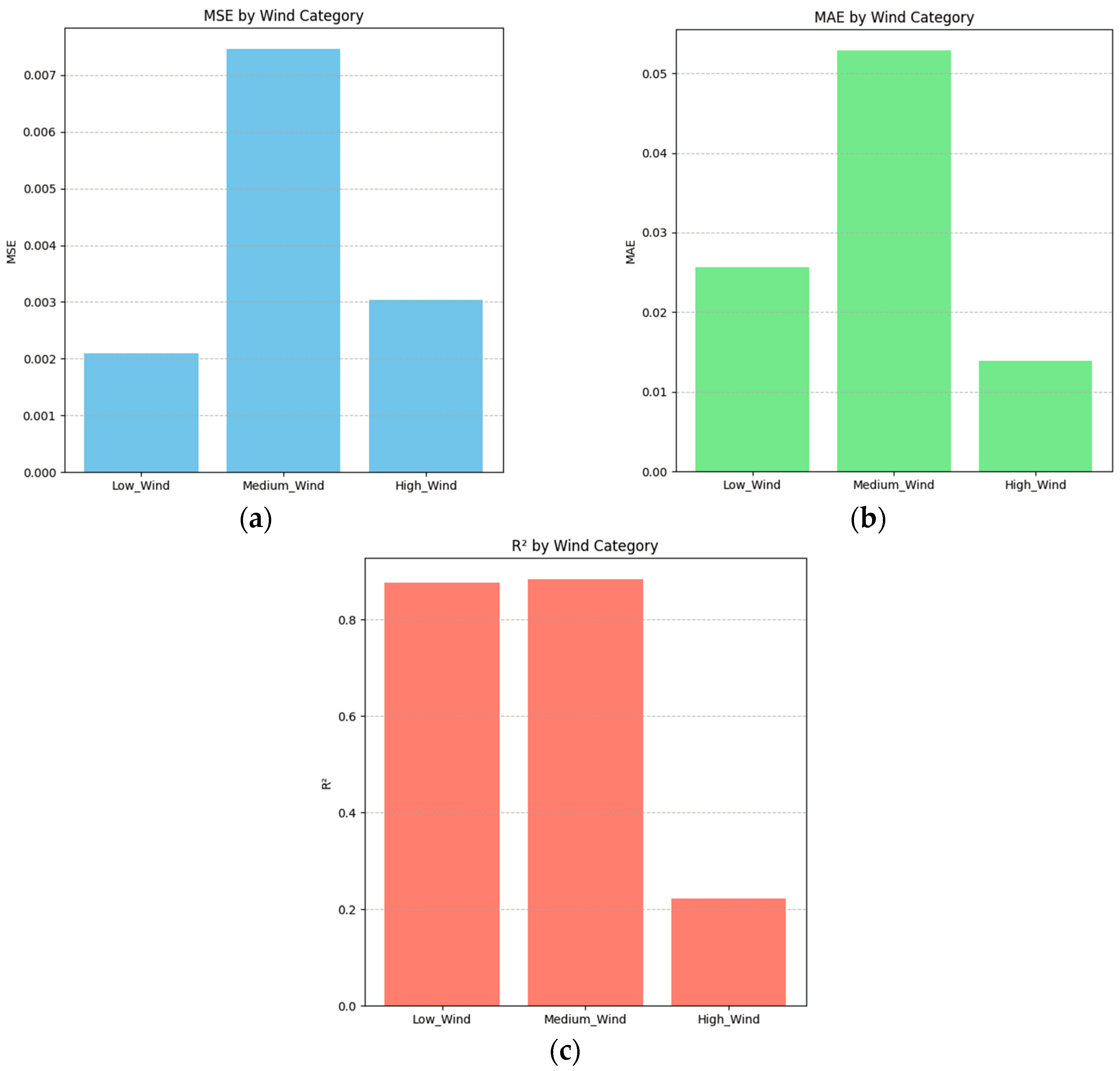
3.13. k-Fold Cross-Validation

The cross-validation results stratified by wind categories reveal significant patterns in the predictive behavior of the GRU model implemented. Figure 17 shows the distribution of the fundamental metrics (MSE, MAE, and R2) segmented into three operational ranges: low wind (0–8 m/s), medium wind (8–16 m/s), and high wind (>16 m/s).
In the analysis of the mean square error (MSE) shown in Figure 17a, a differentiated trend is observed according to the wind intensity. The model exhibits greater precision in low wind conditions (MSE ≈ 0.002), while in the medium range, the highest value is recorded (MSE ≈ 0.0075), which is approximately 3.75 times greater. For high speeds, the MSE remains at intermediate values (≈0.0035).
About the mean absolute error (MAE) in Figure 17b, the pattern of decreasing performance in medium winds is replicated, reaching approximately 0.055, compared to 0.027 at low speeds. Notably, the MAE in high-wind conditions has a minimum value (≈0.017), which suggests lower absolute errors despite the regime’s complexity.
Figure 17c shows the coefficient of determination (R2), which shows remarkable stability in the low and medium ranges with values close to 0.88, indicating the model’s robust explanatory capacity in these conditions.
Figure 18a complements the quantitative analysis with scatter diagrams that contrast the predicted against absolute values for each category. In low wind conditions, the points are distributed coherently around the reference line (y = x), with a greater concentration at lower values, demonstrating the correct capture of the underlying trend.
For the medium-wind regime shown in Figure 18b, where the highest proportion of operational data is concentrated, the dispersion increases notably. However, an identifiable correlative structure persists that sustains the high R2 obtained. The distribution shows more significant heterogeneity, especially in the central region of the range (0.4–0.7), where predictive uncertainty increases.
In the high-wind segment shown in Figure 18c, the distribution presents a particular characteristic: the points are predominantly concentrated in the upper end of the range (close to 1.0), with few records in the intermediate values, representing an expected behavior considering the stochastic nature of extreme wind regimes. The concentration of data in this segment reflects the operating conditions manifested during high wind-speed episodes. This phenomenon corresponds to the lower statistical frequency of these events in the training set. This stratified analysis confirms the robustness of the model in prevailing operating conditions (low and medium winds) while identifying specific opportunities for improvement for high-speed regimes, where more complex aerodynamic mechanisms and power limitation controls are involved.

4. Conclusions

The development of hybrid control systems combining fuzzy logic and deep learning techniques has proven effective in improving wind turbine performance. The GRU model exhibited superior predictive capability in power estimation, reaching an R2 of up to 0.95973. This hybrid architecture proved effective in modeling complex dynamic systems, allowing one to anticipate variations and adjust the blade angle in real time. The FLC-GRU controller generated 12,119.54 predictions per second with an MSE of 0.06872.
The Mamdani-type fuzzy inference system, with its 28 rules and four key linguistic variables, is a comprehensive tool. These variables, defined with multiple levels and based on operational parameters and historical SCADA data, ensure the system’s efficiency. The rules, designed not only to optimize energy efficiency but also to protect the turbine, are implemented using various membership functions. In the field of wind turbine prediction, deep learning architectures such as LSTM, GRU, CNN, ANN, and transformers are prioritized over traditional methods due to their ability to identify complex patterns.
Integrating advanced machine learning techniques and physical knowledge is proposed for future research. This proposal, which combines reinforcement learning, physics-informed neural networks (PINNs), deep learning, and fuzzy logic, aims to develop adaptive and robust control systems. The ultimate goal is to enable autonomous optimization of performance in the face of changing conditions and wear and tear, thereby significantly improving the efficiency and durability of wind turbines, and consequently, the renewable energy sector.

Author Contributions

Conceptualization, N.-M.P.-V. and L.P.-P.; methodology, N.-M.P.-V., L.P.-P. and P.-A.B.-A.; software, N.-M.P.-V. and P.-A.B.-A.; validation, L.P.-P., P.-A.B.-A., J.R.N.-A. and H.M.-G.; formal analysis, N.-M.P.-V., L.P.-P. and P.-A.B.-A.; investigation, N.-M.P.-V., L.P.-P., P.-A.B.-A., J.R.N.-A. and H.M.-G.; resources, J.R.N.-A. and H.M.-G.; data curation, N.-M.P.-V. and J.R.N.-A.; writing—original draft preparation, N.-M.P.-V., L.P.-P. and P.-A.B.-A.; writing—review and editing, J.R.N.-A. and H.M.-G.; visualization, N.-M.P.-V., J.R.N.-A. and H.M.-G.; supervision, L.P.-P., J.R.N.-A. and H.M.-G.; project administration, L.P.-P., J.R.N.-A. and H.M.-G.; funding acquisition, J.R.N.-A. and H.M.-G. All authors have read and agreed to the published version of the manuscript.

Funding

This work was supported in part by the Spanish Ministerio de Ciencia, Innovación y Universidades (MICINN)—Agencia Estatal de Investigación (AEI) by project PID2022-138631OB-I00. Grant PID2022-138631OB-I00 funded by MICIU/AEI/10.13039/501100011033 and by “ERDF/EU”.

Institutional Review Board Statement

Not applicable.

Informed Consent Statement

Not applicable.

Data Availability Statement

Dataset available on request from the authors.

Conflicts of Interest

The authors declare no conflicts of interest.

References

  1. Eskandari, A.; Vatankhah, R.; Azadi, E. Optimization of Wind Energy Extraction for Variable Speed Wind Turbines Using Fuzzy Backstepping Sliding Mode Control Based on Multi Objective PSO. Ocean Eng. 2023, 285, 115378. [Google Scholar] [CrossRef]
  2. La-Camera, F. Record Growth in Renewables, but Progress Needs to Be Equitable. Available online: https://www.irena.org/News/pressreleases/2024/Mar/Record-Growth-in-Renewables-but-Progress-Needs-to-be-Equitable-ES (accessed on 11 December 2024).
  3. IRENA Renewable Energy Highlights. 2024. Available online: https://www.irena.org/-/media/Files/IRENA/Agency/Publication/2024/Jul/Renewable_energy_highlights_FINAL_July_2024.pdf (accessed on 16 March 2025).
  4. Peinado Gonzalo, A.; Benmessaoud, T.; Entezami, M.; García Márquez, F.P. Optimal Maintenance Management of Offshore Wind Turbines by Minimizing the Costs. Sustain. Energy Technol. Assess. 2022, 52, 102230. [Google Scholar] [CrossRef]
  5. Turi, J.A.; Rosak-Szyrocka, J.; Mansoor, M.; Asif, H.; Nazir, A.; Balsalobre-Lorente, D. Assessing Wind Energy Projects Potential in Pakistan: Challenges and Way Forward. Energies 2022, 15, 9014. [Google Scholar] [CrossRef]
  6. Al-Ismail, F.S.; Alam, M.S.; Shafiullah, M.; Hossain, M.I.; Rahman, S.M. Impacts of Renewable Energy Generation on Greenhouse Gas Emissions in Saudi Arabia: A Comprehensive Review. Sustainability 2023, 15, 5069. [Google Scholar] [CrossRef]
  7. Pehlivan, A.S.; Bahceci, B.; Erbatur, K. Genetically Optimized Pitch Angle Controller of a Wind Turbine with Fuzzy Logic Design Approach. Energies 2022, 15, 6705. [Google Scholar] [CrossRef]
  8. Gorel, G.; Abdi, M.O. Advanced Pitch Angle Control Based on Genetic Algorithm and Particle Swarm Optimisation on FASTTurbineSystems. Elektron. Ir. Elektrotechnika 2023, 29, 11–18. [Google Scholar] [CrossRef]
  9. Guediri, M.; Guediri, A.; Ikhlef, N.; Hocine, B.; Guediri, A. Optimization by Genetic Algorithm of a Wind Energy System Applied to a Dual-Feed Generator. Eng. Technol. Appl. Sci. Res. 2024, 14, 16890–16896. [Google Scholar] [CrossRef]
  10. Phung, B.N.; Wu, Y.K.; Pham, M.H. Novel Fuzzy Logic Controls to Enhance Dynamic Frequency Control and Pitch Angle Regulation in Variable-Speed Wind Turbines. Energies 2024, 17, 2617. [Google Scholar] [CrossRef]
  11. López, J. Innovación En Turbinas Eólicas de Alto Rendimiento. Available online: https://inspenet.com/articulo/avances-turbinas-eolicas-de-alto-rendimiento/ (accessed on 11 December 2024).
  12. Guediri, M.; Touil, S.; Hettiri, M.; Guediri, A.; Ikhlef, N.; Hocine, B.; Guediri, A. Control of a Doubly Fed Induction Generator for Variable Speed Wind Energy Conversion Systems Using Fuzzy Controllers Optimized with a Genetic Algorithm. Eng. Technol. Appl. Sci. Res. 2025, 15, 19871–19877. [Google Scholar] [CrossRef]
  13. Muñoz-Palomeque, E.; Sierra-García, J.E.; Santos, M. Marine Wind Turbine PID-PID Torque Control with Vibration Reduction. IFAC-PapersOnLine 2024, 58, 509–514. [Google Scholar] [CrossRef]
  14. Salem, A.A.; Aldin, N.A.N.; Azmy, A.M.; Abdellatif, W.S.E. Implementation and Validation of an Adaptive Fuzzy Logic Controller for MPPT of PMSG-Based Wind Turbines. IEEE Access 2021, 9, 165690–165707. [Google Scholar] [CrossRef]
  15. Gaied, H.; Naoui, M.; Kraiem, H.; Goud, B.S.; Flah, A.; Alghaythi, M.L.; Kotb, H.; Ali, S.G.; Aboras, K. Comparative Analysis of MPPT Techniques for Enhancing a Wind Energy Conversion System. Front. Energy Res. 2022, 10, 975134. [Google Scholar] [CrossRef]
  16. Tummala, S.K.; Rakesh, G.; Al-Kharsan, I.H.; Shah, P.K. Integration of Solar and Wind Energy Systems with PI and PID Controller. In Proceedings of the E3S Web of Conferences; EDP Sciences: Les Ulis, France, 2023; Volume 391. [Google Scholar]
  17. Torchani, B.; Azar, A.T.; Ahmed, S.; Mahlous, A.R.; Kasim Ibraheem, I. Sliding Mode Control Based on Maximum Power Point Tracking for Dynamics of Wind Turbine System. Front. Energy Res. 2024, 12, 1434695. [Google Scholar] [CrossRef]
  18. Obregón, B.; Arias-Blanco, O.; Zúñiga-Granados, R.; Richmond-Navarro, G. Inteligencia Artificial Aplicada a La Operación y Mantenimiento de Aerogeneradores. Rev. Tecnol. Marcha 2024, 37, 100–109. [Google Scholar] [CrossRef]
  19. Song, D.; Shen, G.; Huang, C.; Huang, Q.; Yang, J.; Dong, M.; Joo, Y.H.; Duić, N. Review on the Application of Artificial Intelligence Methods in the Control and Design of Offshore Wind Power Systems. J. Mar. Sci. Eng. 2024, 12, 424. [Google Scholar] [CrossRef]
  20. Klein, A.; Wintermeyer-Kallen, T.; Zierath, J.; Kluge, K.; Abel, D.; Vallery, H.; Basler, M. Design and Practical Evaluation of Robust Model Predictive Wind Turbine Control. Wind Energy 2024, 28, e70011. [Google Scholar] [CrossRef]
  21. Liu, J.; Nie, G. Variable Speed Control Analysis of Direct-Drive Wind Turbines Incorporating the Variable Gain Pitch Knowledge Identification Algorithm. Mob. Inf. Syst. 2022, 2022, 6242534. [Google Scholar] [CrossRef]
  22. Ahmad, I.; M’zoughi, F.; Aboutalebi, P.; Garrido, I.; Garrido, A.J. Fuzzy Logic Control of an Artificial Neural Network-Based Floating Offshore Wind Turbine Model Integrated with Four Oscillating Water Columns. Ocean Eng. 2023, 269, 113578. [Google Scholar] [CrossRef]
  23. Sayeh, K.F.; Tamalouzt, S.; Ziane, D.; Deffaf, B.; Belaid, S.L.; Belkhier, Y.; Bajaj, M.; Blazek, V. Fuzzy Logic-Enhanced Direct Power Control for Wind Turbines with Doubly Fed Induction Generators. Results Eng. 2024, 24, 103557. [Google Scholar] [CrossRef]
  24. Maafa, A.; Mellah, H.; Benaouicha, K.; Babes, B.; Yahiou, A.; Sahraoui, H. Fuzzy Logic-Based Smart Control of Wind Energy Conversion System Using Cascaded Doubly Fed Induction Generator. Sustainability 2024, 16, 9333. [Google Scholar] [CrossRef]
  25. Milles, A.; Merabet, E.; Benbouhenni, H.; Debdouche, N.; Colak, I. Robust Control Technique for Wind Turbine System with Interval Type-2 Fuzzy Strategy on a Dual Star Induction Generator. Energy Rep. 2024, 11, 2715–2736. [Google Scholar] [CrossRef]
  26. Wang, Z.C.; Niu, J.C. Wind Power Output Prediction: A Comparative Study of Extreme Learning Machine. Front. Energy Res. 2023, 11, 1267275. [Google Scholar] [CrossRef]
  27. Sierra-Garcia, J.E.; Santos, M. Deep Learning and Fuzzy Logic to Implement a Hybrid Wind Turbine Pitch Control. Neural Comput. Appl. 2022, 34, 10503–10517. [Google Scholar] [CrossRef]
  28. Hosseini, E.; Behzadfar, N.; Hashemi, M.; Moazzami, M.; Dehghani, M. Control of Pitch Angle in Wind Turbine Based on Doubly Fed Induction Generator Using Fuzzy Logic Method. J. Renew. Energy Environ. 2022, 9, 1–7. [Google Scholar] [CrossRef]
  29. Vu, N.T.T.; Nguyen, H.D.; Nguyen, A.T. Reinforcement Learning-Based Adaptive Optimal Fuzzy MPPT Control for Variable Speed Wind Turbine. IEEE Access 2022, 10, 95771–95780. [Google Scholar] [CrossRef]
  30. Erisen, B. Wind Turbine Scada Dataset. Available online: https://www.kaggle.com/datasets/berkerisen/wind-turbine-scada-dataset (accessed on 30 June 2024).
  31. Huang, L.; Qin, J.; Zhou, Y.; Zhu, F.; Liu, L.; Shao, L. Normalization Techniques in Training DNNs: Methodology, Analysis and Application. IEEE Trans. Pattern Anal. Mach. Intell. 2023, 45, 10173–10196. [Google Scholar] [CrossRef]
  32. Rasekh, N.; Wang, J.; Yuan, X. Artificial Neural Network Aided Loss Maps for Inductors and Transformers. IEEE Open J. Power Electron. 2022, 3, 886–898. [Google Scholar] [CrossRef]
  33. Ketkar, N.; Moolayil, J. Convolutional Neural Networks. In Deep Learning with Python; Apress: Berkeley, CA, USA, 2021; pp. 197–242. [Google Scholar]
  34. Stone, E.; Giani, S.; Zappalá, D.; Crabtree, C. Convolutional Neural Network Framework for Wind Turbine Electromechanical Fault Detection. Wind Energy 2023, 26, 1082–1097. [Google Scholar] [CrossRef]
  35. Malashin, I.; Tynchenko, V.; Gantimurov, A.; Nelyub, V.; Borodulin, A. Applications of Long Short-Term Memory (LSTM) Networks in Polymeric Sciences: A Review. Polymers 2024, 16, 2607. [Google Scholar] [CrossRef]
  36. Bilgili, M.; Arslan, N.; Sekertekin, A.; Yasar, A. Application of Long Short-Term Memory (LSTM) Neural Network Based on Deep Learning for Electricity Energy Consumption Forecasting. Turk. J. Electr. Eng. Comput. Sci. 2022, 30, 140–157. [Google Scholar] [CrossRef]
  37. ArunKumar, K.E.; Kalaga, D.V.; Mohan Sai Kumar, C.; Kawaji, M.; Brenza, T.M. Comparative Analysis of Gated Recurrent Units (GRU), Long Short-Term Memory (LSTM) Cells, Autoregressive Integrated Moving Average (ARIMA), Seasonal Autoregressive Integrated Moving Average (SARIMA) for Forecasting COVID-19 Trends. Alex. Eng. J. 2022, 61, 7585–7603. [Google Scholar] [CrossRef]
  38. Wang, P.; Su, C.; Li, L.; Yuan, W.; Guo, C. An Ensemble Model for Short-Term Wind Power Prediction Based on EEMD-GRU-MC. Front. Energy Res. 2023, 11, 1252067. [Google Scholar] [CrossRef]
  39. Wen, Q.; Zhou, T.; Zhang, C.; Chen, W.; Ma, Z.; Yan, J.; Sun, L. Transformers in Time Series: A Survey. In Proceedings of the Thirty-Second International Joint Conference on Artificial Intelligence (IJCAI-23), Macao, China, 19–25 August 2023. [Google Scholar]
  40. Laib, L.; Obeidi, T.; Bensaci, A.; Naas, T.T. Drone-Based Inspection of Wind Turbine Blades: A Comparative Study of Deep Learning Models. Stud. Eng. Exact Sci. 2024, 5, e8248. [Google Scholar] [CrossRef]
  41. Hernández-Hernández, C.; Sierra-García, J.; Santos, M. Sintonización Basada En Datos de Un Control Difuso Mediante Técnicas de Optimización Evolutiva En Turbinas Eólicas Flotantes. In XLIII Jornadas de Automática: Libro de actas: 7, 8 y 9 de Septiembre de 2022, Logroño (La Rioja); Servizo de Publicacións da UDC: A Coruña, Spain, 2022; pp. 208–215. [Google Scholar]
  42. Taghinezhad, J.; Sheidaei, S. Prediction of Operating Parameters and Output Power of Ducted Wind Turbine Using Artificial Neural Networks. Energy Rep. 2022, 8, 3085–3095. [Google Scholar] [CrossRef]
  43. Huang, X.; Zhang, Y.; Liu, J.; Zhang, X.; Liu, S. A Short-Term Wind Power Forecasting Model Based on 3D Convolutional Neural Network–Gated Recurrent Unit. Sustainability 2023, 15, 4171. [Google Scholar] [CrossRef]
  44. Sreedevi, S. Study of Test for Significance of Pearson’s Correlation Coefficient. Peer Rev. Ref. J 2022, 11, 11. [Google Scholar]
  45. Zhang, L.; Feng, Z.; Pan, P.; Liang, J.; Tian, W.; Zhao, X.; Shen, K.; Zhang, P.; Chen, Y.; Song, C. Experimental Study on the Periodicity of Wake Flow of a Vertical Staggered Wind Turbine Fleet. Ocean Eng. 2024, 309, 118471. [Google Scholar] [CrossRef]
  46. Qiu, J. An Analysis of Model Evaluation with Cross-Validation: Techniques, Applications, and Recent Advances. Adv. Econ. Manag. Political Sci. 2024, 99, 69–72. [Google Scholar] [CrossRef]
  47. Bradshaw, T.J.; Huemann, Z.; Hu, J.; Rahmim, A. A Guide to Cross-Validation for Artificial Intelligence in Medical Imaging. Radiol. Artif. Intell. 2023, 5, e220232. [Google Scholar] [CrossRef]
  48. Oyedele, O. Determining the Optimal Number of Folds to Use in a K-Fold Cross-Validation: A Neural Network Classification Experiment. Res. Math. 2023, 10, 2201015. [Google Scholar] [CrossRef]
  49. Szeghalmy, S.; Fazekas, A. A Comparative Study of the Use of Stratified Cross-Validation and Distribution-Balanced Stratified Cross-Validation in Imbalanced Learning. Sensors 2023, 23, 2333. [Google Scholar] [CrossRef]
  50. Vasilopoulos, A.; Matthews, G. Cross-Validation Optimal Fold-Number for Model Selection. Am. J. Undergrad. Res. 2024, 21, 15–29. [Google Scholar] [CrossRef]
  51. Gutiérrez, J.F.; Villanueva, M.G.; Zavala, S.R. Desempeño de Los Controladores Clásicos y Difuso Proporcional Para El Seguimiento de Pared de Un Robot Móvil. South Fla. J. Dev. 2022, 3, 6017–6027. [Google Scholar] [CrossRef]
  52. Schulte, H. Coherent Design of Wind Turbine Controllers Considering Transitions between Operating Regions Using Fuzzy Membership Functions. In Proceedings of the 2024 IEEE International Conference on Fuzzy Systems (FUZZ-IEEE), Yokohama, Japan, 30 June–5 July 2024. [Google Scholar]
  53. Cuji, C.; Mediavilla, E. Controlador Difuso Para Gestión De La Energía En Un Proceso De Transición De Central De Generación Térmica A Renovables. Rev. Técnica Energía 2022, 18, 61–73. [Google Scholar] [CrossRef]
  54. Kumar, N. Emulation of Wind Turbine System Using Fuzzy Controller-Based Vector Controlled Induction Motor Drive. J. Mod. Technol. 2024, 1, 38–46. [Google Scholar]
  55. Zambrana, P.; Fernández-Quijano, J.; Mayorga Rubio, P.M.; Fernandez-Lozano, J.J.; García-Cerezo, A. Development and Evaluation of Fuzzy Logic Controllers for Improving Performance of Wind Turbines on Semi-Submersible Platforms under Different Wind Scenarios. Appl. Sci. 2023, 13, 2422. [Google Scholar] [CrossRef]
  56. Mammadova, K.; Hasanquliyeva, M. Algorithms of Liquid Level Control Based on Fuzzy Logic Controllers. SSRN Electron. J. 2023. [Google Scholar] [CrossRef]
  57. Palacios-Pereira, F.; Ayala-Silva, M.E. Diseño de Sistema de Control de Ángulo Pitch En Aerogeneradores Mediante Control Pi Adaptativo Por Lógica Difusa. Rev. Científica UCSA 2023, 10, 91–114. [Google Scholar] [CrossRef]
Figure 1. Renewable electricity generation (TWh) [3].
Figure 1. Renewable electricity generation (TWh) [3].
Sustainability 17 03742 g001
Figure 2. Research methodology. Own elaboration.
Figure 2. Research methodology. Own elaboration.
Sustainability 17 03742 g002
Figure 3. Time series of the variables recorded. Own elaboration.
Figure 3. Time series of the variables recorded. Own elaboration.
Sustainability 17 03742 g003
Figure 4. Used neural network architectures (a) ANN architecture, (b) LSTM architecture, (c) LSTM architecture, (d) CNN architecture, (e) TRANSFORMERS architecture. Own elaboration.
Figure 4. Used neural network architectures (a) ANN architecture, (b) LSTM architecture, (c) LSTM architecture, (d) CNN architecture, (e) TRANSFORMERS architecture. Own elaboration.
Sustainability 17 03742 g004
Figure 5. Fuzzy controller: (a) description of what is contained in the first panel; (b) internal structure of the fuzzy controller. Own elaboration.
Figure 5. Fuzzy controller: (a) description of what is contained in the first panel; (b) internal structure of the fuzzy controller. Own elaboration.
Sustainability 17 03742 g005
Figure 6. Neural network architectures. Own elaboration.
Figure 6. Neural network architectures. Own elaboration.
Sustainability 17 03742 g006
Figure 7. Neural network architectures. Own elaboration.
Figure 7. Neural network architectures. Own elaboration.
Sustainability 17 03742 g007
Figure 8. AI model predictions. Own elaboration.
Figure 8. AI model predictions. Own elaboration.
Sustainability 17 03742 g008
Figure 9. Graphical representation of the membership functions: (a) membership function for power; (b) membership function for wind speed; (c) membership function for wind direction; (d) membership function for blade angle.
Figure 9. Graphical representation of the membership functions: (a) membership function for power; (b) membership function for wind speed; (c) membership function for wind direction; (d) membership function for blade angle.
Sustainability 17 03742 g009
Figure 10. Blade angle surface: (a) power vs. wind speed; (b) power vs. wind direction.
Figure 10. Blade angle surface: (a) power vs. wind speed; (b) power vs. wind direction.
Sustainability 17 03742 g010
Figure 11. Blade angle surface of the CNN model: (a) power vs. wind speed; (b) power vs. wind direction.
Figure 11. Blade angle surface of the CNN model: (a) power vs. wind speed; (b) power vs. wind direction.
Sustainability 17 03742 g011
Figure 12. LSTM model blade angle surface: (a) power vs. wind speed; (b) power vs. wind direction.
Figure 12. LSTM model blade angle surface: (a) power vs. wind speed; (b) power vs. wind direction.
Sustainability 17 03742 g012
Figure 13. GRU model blade angle surface: (a) power vs. wind speed; (b) power vs. wind direction.
Figure 13. GRU model blade angle surface: (a) power vs. wind speed; (b) power vs. wind direction.
Sustainability 17 03742 g013
Figure 14. Blade angle surface of the transformers model: (a) power vs. wind speed; (b) power vs. wind direction.
Figure 14. Blade angle surface of the transformers model: (a) power vs. wind speed; (b) power vs. wind direction.
Sustainability 17 03742 g014
Figure 15. Comparison of Neural Network Models for Blade Angle Prediction. Own elaboration.
Figure 15. Comparison of Neural Network Models for Blade Angle Prediction. Own elaboration.
Sustainability 17 03742 g015
Figure 16. Comparison of controlled vs. actual angle. Own elaboration.
Figure 16. Comparison of controlled vs. actual angle. Own elaboration.
Sustainability 17 03742 g016
Figure 17. Cross-validation: (a) MSE by wind category; (b) MAE by wind category; (c) R2 by wind category.
Figure 17. Cross-validation: (a) MSE by wind category; (b) MAE by wind category; (c) R2 by wind category.
Sustainability 17 03742 g017
Figure 18. Cross-validation: (a) prediction vs. actual—Low_Wind; (b) prediction vs. actual—Medium_Wind; (c) prediction vs. actual—High_Wind.
Figure 18. Cross-validation: (a) prediction vs. actual—Low_Wind; (b) prediction vs. actual—Medium_Wind; (c) prediction vs. actual—High_Wind.
Sustainability 17 03742 g018
Table 1. Model hyperparameters.
Table 1. Model hyperparameters.
HyperparametersANNCNNLSTMGRUTRANSFORMERS
Units128-64256128
Num_layers22222
Dropout_rate0.10.50.10.10.1
ActivationReLUReLUTanhReLU-
Pool_size-2---
Kernel_size-5---
Filters-64---
Num_heads----4
Table 2. ANN model metrics’ evaluation.
Table 2. ANN model metrics’ evaluation.
CombinationMSEMAER2MAPE (%)SMAPE (%)Pps *RAM UseTime (ms)
[‘AP’; ‘WS’; ‘TCP’]0.321240.253350.120104165.2280.0943884,791.77(15.4 GB) +31.7 MB10.12
[‘AP’; ‘WS’; ‘WD’]0.321790.253690.117104115.3280.3304840,746.34(15.4 GB) +34.5 MB9.96
[‘AP’; ‘TCP’; ‘WD’]0.320280.252940.125404022.0380.6683888,562.86(15.4 GB) +39.5 MB12.75
[‘AP’; ‘WS’; ‘TCP’; ‘WD’]0.319070.252340.131983906.2280.7538826,382.97(15.4 GB) +50.9 MB9.36
* Predictions per second.
Table 3. Evaluation of CNN model metrics.
Table 3. Evaluation of CNN model metrics.
CombinationMSEMAER2MAPE (%)SMAPE (%)Pps *RAM UseTime (ms)
[‘AP’; ‘WS’; ‘TCP’]0.201510.146250.65387466.3454.33164,229.56(18.0 GB) +2.2 MB15.56
[‘AP’; ‘WS’; ‘WD’]0.182730.132250.71540445.6351.13245,316.79(18.0 GB) +22.5 MB8.73
[‘AP’; ‘TCP’; ‘WD’]0.192220.138490.68504364.3052.32254,662.36(18.0 GB) +75.1 MB14.55
[‘AP’; ‘WS’; ‘TCP’; ‘WD’]0.200440.145280.65754229.9152.68173,286.51(18.0 GB) +118.7 MB13.37
* Predictions per second.
Table 4. Evaluation of LSTM model metrics.
Table 4. Evaluation of LSTM model metrics.
CombinationMSEMAER2MAPE (%)SMAPE (%)Pps *RAM UseTime (ms)
[‘AP’; ‘WS’; ‘TCP’]0.068970.043890.959446898.76109.962221.847(20.1 GB) +280 MB239.64
[‘AP’; ‘WS’; ‘WD’]0.069030.043990.959376818.96110.283699.447(20.1 GB) +173.3 MB140.27
[‘AP’; ‘TCP’; ‘WD’]0.069190.044430.959186813.31109.302647.081(20.1 GB) +118.1 MB226.32
[‘AP’; ‘WS’; ‘TCP’; ‘WD’]0.070280.045960.957896912.62107.55412.965(20.1 GB) +90.7 MB466.72
* Predictions per second.
Table 5. Evaluation of GRU model metrics.
Table 5. Evaluation of GRU model metrics.
CombinationMSEMAER2MAPE (%)SMAPE (%)Pps *RAM UseTime (ms)
[‘AP’; ‘WS’; ‘TCP’]0.069310.043810.959046877.53110.7311,062.41(18.9 GB) +216.3 MB48.18
[‘AP’; ‘WS’; ‘WD’]0.068720.044040.959736859.45109.9712,119.54(18.9 GB) +208.7 MB45.13
[‘AP’; ‘TCP’; ‘WD’]0.069120.043760.959266918.76109.372157.33(18.9 GB) +167.8 MB153.98
[‘AP’; ‘WS’; ‘TCP’; ‘WD’]0.068800.044300.959646895.26109.3359.4189(18.9 GB) −308.7 MB1975.48
* Predictions per second.
Table 6. Evaluation of metrics of the transformers model.
Table 6. Evaluation of metrics of the transformers model.
CombinationMSEMAER2MAPE (%)SMAPE (%)Pps *RAM UseTime (ms)
[‘AP’; ‘WS’; ‘TCP’]0.217550.170210.596482041.7665.87345,171.18(18.1 GB) +25.1 MB106.79
[‘AP’; ‘WS’; ‘WD’]0.225500.172080.577712187.0666.63045,764.66(18.1 GB) +51.5 MB45.05
[‘AP’; ‘TCP’; ‘WD’]0.213040.167110.613032216.4264.86845,063.26(18.1 GB) +56.7 MB78.69
[‘AP’; ‘WS’; ‘TCP’; ‘WD’]0.215500.165630.604032082.7365.51245,962.07(18.1 GB) +38.8 MB109.97
* Predictions per second.
Table 7. Input variable.
Table 7. Input variable.
Generated PowerWind SpeedWind Direction
VariableNameTypeVariableNameTypeVariableNameType
PMBVery Low PowerTrapezoidalVMBVery Low SpeedTrapezoidalNNorthTriangular
PBLow PowerTriangularVBLow SpeedTriangularEEastTriangular
PMMedium PowerGaussianVMMedium SpeedGaussianSSouthTriangular
PAHigh PowerTriangularVAHigh SpeedTriangularOWestTriangular
PMAVery High PowerTrapezoidalVMAVery High SpeedTrapezoidal---
Table 8. Output variable.
Table 8. Output variable.
Blade Angle
VariableNameType
AMBAngle very LowTrapezoidal
ABAngle LowTriangular
AMMedium AngleGaussian
AAAngle HighTriangular
AMAAngle Very HighTrapezoidal
Table 9. Inference rules.
Table 9. Inference rules.
Input VariableOutput Variable
Power GeneratedWind SpeedWind DirectionBlade Angle
PMBVMANAMA
PAVBSAMB
PMVMEAM
PBVAOAA
PMBVMA-AMA
PBVA-AA
PMVM-AM
Table 10. Ranges of membership functions for input and output variables of the ANN model.
Table 10. Ranges of membership functions for input and output variables of the ANN model.
InputOutput
Generated PowerWind SpeedWind DirectionBlade Angle
VariableRangeVariableRangeVariableRangeVariableRange
PMB[−1, −1, −0.75, −0.5]VMB[0, 0, 3, 5]N[−45, 0, 45]AMB[0, 0, 15, 22.5]
PB[−0.75, −0.5, −0.25]VB[3, 6, 9]E[45, 90, 135]AB[15, 30, 45]
PM[0, 0.25]VM[7, 11, 15]S[135, 180, 225]AM[30, 45, 60]
PA[0.25, 0.5, 0.75]VA[12, 16, 20]O[225, 270, 315]AA[45, 67.5, 90]
PMA[0.5, 0.75, 1, 1]VMA[18, 20, 21.61, 21.62]- AMA[67.5, 82.5, 90, 90]
Table 11. Results of the blade angle of the controller-ANN.
Table 11. Results of the blade angle of the controller-ANN.
Wind SpeedWind DirectionStandardized PowerBlade Angle
0.989804293.474091−0.62406661.997623
1.314823219.047607−0.63629066.987330
0.555333220.089203−0.57654063.231479
0.786245196.616501−0.61663450.479516
1.285165190.653793−0.55129441.544208
Table 12. Controller–CNN–blade angle results.
Table 12. Controller–CNN–blade angle results.
Wind SpeedWind DirectionStandardized PowerBlade Angle
1.684628249.992294−0.65501959.109151
1.294880254.807693−0.67506759.045891
1.285694265.385712−0.67728858.657963
1.503500250.952606−0.62156259.093922
1.320443236.520798−0.64777959.533882
Table 13. Results of the blade angle of the LSTM-controller.
Table 13. Results of the blade angle of the LSTM-controller.
Wind SpeedWind DirectionStandardized PowerBlade Angle
0.989804293.474091−0.70903562.248930
1.314823219.047607−0.77416370.717569
0.555333220.089203−0.71656069.257771
0.786245196.616501−0.67640248.383409
1.285165190.653793−0.74179553.652566
Table 14. Results of the controller–GRU blade angle.
Table 14. Results of the controller–GRU blade angle.
Wind SpeedWind DirectionStandardized PowerBlade Angle
0.989804293.474091−0.71204762.625636
1.314823219.047607−0.77773770.854309
0.555333220.089203−0.72190069.617997
0.786245196.616501−0.68037448.912181
1.285165190.653793−0.74289353.727358
Table 15. Controller blade angle results for transformers.
Table 15. Controller blade angle results for transformers.
Wind SpeedWind DirectionStandardized PowerBlade Angle
0.989804293.474091−0.72350563.029287
1.314823219.047607−0.72517268.190509
0.555333220.089203−0.72646169.907307
0.786245196.616501−0.72739753.717355
1.285165190.653793−0.72812352.652072
Disclaimer/Publisher’s Note: The statements, opinions and data contained in all publications are solely those of the individual author(s) and contributor(s) and not of MDPI and/or the editor(s). MDPI and/or the editor(s) disclaim responsibility for any injury to people or property resulting from any ideas, methods, instructions or products referred to in the content.

Share and Cite

MDPI and ACS Style

Peralta-Vasconez, N.-M.; Peña-Pupo, L.; Buestán-Andrade, P.-A.; Nuñez-Alvarez, J.R.; Martínez-García, H. Proposal of a Hybrid Neuro-Fuzzy-Based Controller to Optimize the Energy Efficiency of a Wind Turbine. Sustainability 2025, 17, 3742. https://doi.org/10.3390/su17083742

AMA Style

Peralta-Vasconez N-M, Peña-Pupo L, Buestán-Andrade P-A, Nuñez-Alvarez JR, Martínez-García H. Proposal of a Hybrid Neuro-Fuzzy-Based Controller to Optimize the Energy Efficiency of a Wind Turbine. Sustainability. 2025; 17(8):3742. https://doi.org/10.3390/su17083742

Chicago/Turabian Style

Peralta-Vasconez, Nathalia-Michelle, Leonardo Peña-Pupo, Pablo-Andrés Buestán-Andrade, José R. Nuñez-Alvarez, and Herminio Martínez-García. 2025. "Proposal of a Hybrid Neuro-Fuzzy-Based Controller to Optimize the Energy Efficiency of a Wind Turbine" Sustainability 17, no. 8: 3742. https://doi.org/10.3390/su17083742

APA Style

Peralta-Vasconez, N.-M., Peña-Pupo, L., Buestán-Andrade, P.-A., Nuñez-Alvarez, J. R., & Martínez-García, H. (2025). Proposal of a Hybrid Neuro-Fuzzy-Based Controller to Optimize the Energy Efficiency of a Wind Turbine. Sustainability, 17(8), 3742. https://doi.org/10.3390/su17083742

Note that from the first issue of 2016, this journal uses article numbers instead of page numbers. See further details here.

Article Metrics

Back to TopTop