Research on Synergistic Mechanism of Upstream Subjects of Agro-Ecological Product Supply Chain—Based on the Perspective of Three Systems Evolutionary Game
Abstract
1. Introduction
2. Literature Review
2.1. Relevant Studies on Upstream Stakeholders in the Supply Chain
2.2. A Related Study on the Participation of Upstream Supply Chain Actors in Value Co-Creation
2.3. Review of Research
3. Model Assumptions
4. Construction and Stability Analysis of an Evolutionary Game Model for Innovation Service Systems Not Engaging in the Value Co-Creation of Agro-Ecological Products
4.1. Construction of a Dynamic Evolutionary Game Model
4.2. Analysis of Dynamic Equilibrium in Evolutionary Game Adjustments
4.3. Dynamic Evolutionary Game Evolutionary Path Analysis
5. Evolutionary Game Model Construction and Stability Analysis of Innovative Service System Participation in Value Co-Creation of Agro-Ecological Product
5.1. Dynamic Evolutionary Game Model Construction
5.2. Dynamic Evolutionary Game Adjustment Equilibrium Analysis
5.3. Dynamic Evolutionary Game Evolutionary Path Analysis
6. Simulation Analysis
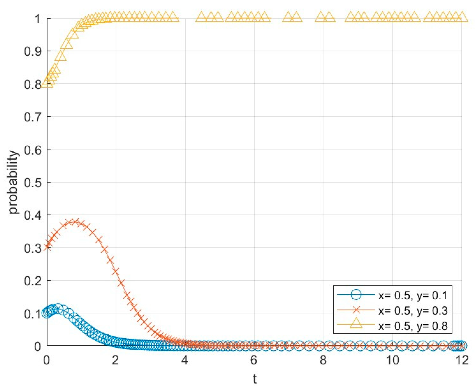
6.1. Influence of the Initial Willingness of Participating Subjects on the Evolution of the System
6.2. The Effect of the Distribution Coefficient of Potential Market Income on System Evolution
6.3. Impact of Co-Innovation Distribution Coefficients on System Evolution
6.4. Impact of Innovation Service System Participation on System Evolution
7. Conclusions and Discussion
7.1. Conclusions of This Study
7.2. Discussion
Author Contributions
Funding
Institutional Review Board Statement
Informed Consent Statement
Data Availability Statement
Acknowledgments
Conflicts of Interest
References
- Liu, G.Y.; He, P.; Wang, Y.Y. Agro-ecological product and its value realization pathway. Ying Yong Sheng Tai Xue Bao=J. Appl. Ecol. 2021, 32, 737–749. [Google Scholar] [CrossRef]
- Zhuan, W.; Wei, Z.; Cheng, J.I.A. New-quality productivity empowers the value realization of agro-ecological products: Theoretical logic and realization path. Chin. J. Eco-Agric. 2024, 32, 1756–1765. [Google Scholar] [CrossRef]
- Liu, J.; Su, X.; Liu, Y.; Shui, W. A review of research on progress in the theory and practice of eco-product value realization. Land 2024, 13, 316. [Google Scholar] [CrossRef]
- Lamine, C.; Dawson, J. The agroecology of food systems: Reconnecting agriculture, food, and the environment. Agroecol. Sustain. Food Syst. 2018, 42, 629–636. [Google Scholar] [CrossRef]
- Shi, T.; Han, F.; Chen, L.; Shi, J.; Xiao, H. Study on value co-creation and evolution game of low-carbon technological innovation ecosystem. J. Clean. Prod. 2023, 414, 137720. [Google Scholar] [CrossRef]
- Deng, M.; Xiang, G.; Yao, S. The effectiveness of the multilateral coalition to develop a green agricultural products market in China based on a TU cooperative game analysis. Sustainability 2018, 10, 1476. [Google Scholar] [CrossRef]
- Liu, Y.; Sun, D.; Wang, H.; Wang, X.; Yu, G.; Zhao, X. An evaluation of China’s agricultural green production: 1978–2017. J. Clean. Prod. 2020, 243, 118483. [Google Scholar] [CrossRef]
- Shen, H.; Liu, Z.; Xiong, K.; Li, L. A study revelation on market and value-realization of ecological product to the control of rocky desertification in south China karst. Sustainability 2022, 14, 3060. [Google Scholar] [CrossRef]
- Hamidoğlu, A. A game-theoretical approach on the construction of a novel agri-food supply chain model supported by the government. Expert Syst. Appl. 2024, 237, 121353. [Google Scholar] [CrossRef]
- Perlman, Y.; Ozinci, Y.; Westrich, S. Pricing decisions in a dual supply chain of organic and conventional agricultural products. Ann. Oper. Res. 2022, 314, 601–616. [Google Scholar] [CrossRef]
- Mitchell, R.K.; Agle, B.R.; Wood, D.J. Toward a Theory of Stakeholder Identification and Salience: Defining the Principle of Who and What Really Counts. Acad. Manag. Rev. 1997, 22, 853. [Google Scholar] [CrossRef]
- Waligo, V.M.; Clarke, J.; Hawkins, R. Implementing sustainable tourism: A multi-stakeholder involvement management framework. Tour. Manag. 2013, 36, 342–353. [Google Scholar] [CrossRef]
- Xie, Y.; Su, Y.; Li, F. The Evolutionary Game Analysis of Low Carbon Production Behaviour of Farmers, Government and Consumers in Food Safety Source Governance. Int. J. Environ. Res. Public Health 2022, 19, 12211. [Google Scholar] [CrossRef] [PubMed]
- Deng, L.; Zhang, H.; Wang, C.; Ma, W.; Zhu, A.; Zhang, F.; Jiao, X. Improving the sustainability of the wheat supply chain through multi-stakeholder engagement. J. Clean. Prod. 2021, 321, 128837. [Google Scholar] [CrossRef]
- Cao, W.; Tao, X. A Study on the Evolutionary Game of the Four-Party Agricultural Product Supply Chain Based on Collaborative Governance and Sustainability. Sustainability 2025, 17, 1762. [Google Scholar] [CrossRef]
- Vargo, S.L.; Lusch, R.F. Service-dominant logic: Continuing the evolution. J. Acad. Mark. Sci. 2007, 36, 1–10. [Google Scholar] [CrossRef]
- Pinho, N.; Beirão, G.; Patrício, L.; PFisk, R. Understanding value co-creation in complex services with many actors. J. Serv. Manag. 2014, 25, 470–493. [Google Scholar] [CrossRef]
- Vargo, S.L.; Lusch, R.F. From Repeat Patronage to Value Co-creation in Service Ecosystems: A Transcending Conceptualization of Relationship. J. Bus. Mark. Manag. 2010, 4, 169–179. [Google Scholar] [CrossRef]
- Jayashankar, P.; Johnston, W.J.; Nilakanta, S.; Burres, R. Co-creation of value-in-use through big data technology-a B2B agricultural perspective. J. Bus. Ind. Mark. 2020, 35, 508–523. [Google Scholar] [CrossRef]
- Meynhardt, T.; Chandler, J.D.; Strathoff, P. Systemic principles of value co-creation: Synergetics of value and service ecosystems. J. Bus. Res. 2016, 69, 2981–2989. [Google Scholar] [CrossRef]
- Wei, J. Building a new development pattern for the 14th Five-Year Plan based on a strong domestic market. J. Chang. Univ. (Soc. Sci. Ed.) 2021, 23, 19–23. (In Chinese) [Google Scholar]
- Zhang, Q.; Research Group of Institute of Industrial Economics; Chinese Academy of Social Sciences; Zhang, Q. Research on the path to enhance the modernization level of industrial chain supply chain. China Ind. Econ. 2021, 2, 80–97. [Google Scholar] [CrossRef]
- Borodin, V.; Bourtembourg, J.; Hnaien, F.; Labadie, N. Handling uncertainty in agricultural supply chain management: A state of the art. Eur. J. Oper. Res. 2016, 254, 348–359. (In Chinese) [Google Scholar] [CrossRef]
- Tsolakis, N.K.; Keramydas, C.A.; Toka, A.K.; Aidonis, D.A.; Iakovou, E.T. Agrifood supply chain management: A comprehensive hierarchical decision-making framework and a critical taxonomy. Biosyst. Eng. 2014, 120, 47–64. [Google Scholar] [CrossRef]
- Ostrovsky, M. Stability in supply chain networks. Am. Econ. Rev. 2008, 98, 897–923. [Google Scholar] [CrossRef]
- Bai, Y.; Wu, H.; Huang, M.; Luo, J.; Yang, Z. How to build a cold chain supply chain system for fresh agricultural products through blockchain technology—A study of tripartite evolutionary game theory based on prospect theory. PLoS ONE 2023, 18, e0294520. [Google Scholar] [CrossRef]
- Huo, Y.; Wang, J.; Guo, X.; Xu, Y. The collaboration mechanism of agricultural product supply chain dominated by farmer cooperatives. Sustainability 2022, 14, 5824. [Google Scholar] [CrossRef]
- Heimeriks, K.H.; Schreiner, M. Relational quality, alliance capability, and alliance performance: An integrated framework. In Enhancing Competences for Competitive Advantage; Emerald Group Publishing Limited: Leeds, UK, 2010; pp. 145–171. [Google Scholar] [CrossRef]
- Fischer, C.; Reynolds, N. Collaborative advantage, relational risks and sustainable relationships: A literature review and definition. In Agri-Food Chain Relationships; CABI: Delémont, Zwitserland, 2010; pp. 74–87. [Google Scholar] [CrossRef]
- Sun, Y.; Zhu, Z.; Yang, H. Fairness perception, trust perception, and relationship quality in agricultural supply chains. J. Food Qual. 2021, 2021, 8817003. [Google Scholar] [CrossRef]
- He, Y.; Wang, W. Theoretical Explanation of Data Factor Marketization. Contemp. Econ. Res. 2021, 308, 33–44. (In Chinese) [Google Scholar]
- Wang, S.; Yu, N.; Fu, R. Digital Village Construction: Mechanisms, Challenges and Implementation Strategies. Reform 2021, 4, 45–59. (In Chinese) [Google Scholar]
- Wang, J.; Chen, W.; Gao, C.; Bai, Y. Cloud manufacturing alliance innovation ecosystem formation, model construction and evolution research. Sci. Technol. Prog. Countermeas. 2018, 35, 53–58. (In Chinese) [Google Scholar]
- Xu, S.; Tang, H.; Lin, Z.; Lu, J. Pricing and sales-effort analysis of dual-channel supply chain with channel preference, cross-channel return and free riding behavior based on revenue-sharing contract. Int. J. Prod. Econ. 2022, 249, 108506. [Google Scholar] [CrossRef]
- Rogna, M.; Vogt, C. Coalition Formation with Cooperation-Enhancing Transfers When Players Are Heterogeneous and Inequality-Averse. Climate 2025, 13, 50. [Google Scholar] [CrossRef]
- Tian, B.; Zheng, M.; Liu, W.; Gu, Y.; Xing, Y.; Pan, C. Impacts of carbon border adjustment mechanism on the development of chinese steel enterprises and government management decisions: A tripartite evolutionary game analysis. Sustainability 2024, 16, 3113. [Google Scholar] [CrossRef]












| Supply Service System S | |||
|---|---|---|---|
| Active Cooperation (y) | Passive Cooperation (1 − y) | ||
| Industrial Service System I | active cooperation | ||
| (x) | |||
| passive cooperation | |||
| (1 − x) | |||
| balance Point | DetJ1 | TrJ1 | Stability |
|---|---|---|---|
| A (0,0) | + | - | ESS |
| B (0,1) | + | + | precarious |
| C (1,0) | + | + | precarious |
| D (1,1) | + | - | ESS |
| - | 0 | saddle point (math.) |
| Supply System | |||
|---|---|---|---|
| Active Cooperation (y) | Passive Cooperation (1 − y) | ||
| industrial system | active cooperation | ||
| (x) | |||
| passive cooperation | |||
| (1 − x) | |||
| Balance Point | DetJ1 | TrJ1 | Stability |
|---|---|---|---|
| + | - | ESS | |
| + | + | precarious | |
| + | + | precarious | |
| + | - | ESS | |
| - | 0 | saddle point (math.) |
Disclaimer/Publisher’s Note: The statements, opinions and data contained in all publications are solely those of the individual author(s) and contributor(s) and not of MDPI and/or the editor(s). MDPI and/or the editor(s) disclaim responsibility for any injury to people or property resulting from any ideas, methods, instructions or products referred to in the content. |
© 2025 by the authors. Licensee MDPI, Basel, Switzerland. This article is an open access article distributed under the terms and conditions of the Creative Commons Attribution (CC BY) license (https://creativecommons.org/licenses/by/4.0/).
Share and Cite
Shu, Q.; Wakasi, R.; Su, Y. Research on Synergistic Mechanism of Upstream Subjects of Agro-Ecological Product Supply Chain—Based on the Perspective of Three Systems Evolutionary Game. Sustainability 2025, 17, 3558. https://doi.org/10.3390/su17083558
Shu Q, Wakasi R, Su Y. Research on Synergistic Mechanism of Upstream Subjects of Agro-Ecological Product Supply Chain—Based on the Perspective of Three Systems Evolutionary Game. Sustainability. 2025; 17(8):3558. https://doi.org/10.3390/su17083558
Chicago/Turabian StyleShu, Qin, Reziyan Wakasi, and Yang Su. 2025. "Research on Synergistic Mechanism of Upstream Subjects of Agro-Ecological Product Supply Chain—Based on the Perspective of Three Systems Evolutionary Game" Sustainability 17, no. 8: 3558. https://doi.org/10.3390/su17083558
APA StyleShu, Q., Wakasi, R., & Su, Y. (2025). Research on Synergistic Mechanism of Upstream Subjects of Agro-Ecological Product Supply Chain—Based on the Perspective of Three Systems Evolutionary Game. Sustainability, 17(8), 3558. https://doi.org/10.3390/su17083558
