A Novel Method for Estimating Soil Organic Carbon Density Using Soil Organic Carbon and Gravel Content Data
Abstract
1. Introduction
2. Materials and Methods
2.1. Study Area and Data Sources
2.2. SOCD Calculation
2.3. SOCD Estimation
2.3.1. The Novel Method Proposed in This Paper
2.3.2. Traditional BD Substitution Methods
2.4. Data Splitting
2.5. Evaluation of Model Performance
2.6. Statistical Analysis
3. Results
3.1. The Basic Statistics of the Dataset
3.2. Correlation Analysis
3.3. The Direct Estimation of SOCD Based on the Novel Method
3.3.1. Estimation Results of SOCDicm Without Considering Gravel Content
3.3.2. Estimation Results of SOCD Without Considering Gravel Content
3.3.3. The Impact of Gravel Content on the Estimation of SOCDicm
3.3.4. The Estimation Results of SOCDicm with Gravel Content as a Correction Factor
3.3.5. The Estimation Results of SOCD with Gravel Content as a Correction Factor
3.4. Estimating SOCD Based on Traditional BD Substitution Methods
3.4.1. Estimation Results of BD Based on PTFs
3.4.2. Results of SOCDicm Based on Estimated BD
3.4.3. Results of SOCD Based on Estimated BD
4. Discussion
4.1. Correlation Between SOC, BD, and SOCDicm
4.2. The Selection and Accuracy of BD PTFs
4.3. Model Accuracy Validation
4.4. Comparison and Limitations of Soil Organic Carbon Measurement Methods
4.5. The Applicability and Limitations of the Models
5. Conclusions
Supplementary Materials
Author Contributions
Funding
Institutional Review Board Statement
Informed Consent Statement
Data Availability Statement
Acknowledgments
Conflicts of Interest
References
- Padarian, J.; Stockmann, U.; Minasny, B.; McBratney, A.B. Monitoring Changes in Global Soil Organic Carbon Stocks from Space. Remote Sens. Environ. 2022, 281, 113260. [Google Scholar] [CrossRef]
- Lal, R. Beyond COP 21: Potential and Challenges of the “4 per Thousand” Initiative. J. Soil Water Conserv. 2016, 71, 20A–25A. [Google Scholar] [CrossRef]
- Zhu, H.; Hu, W.; Ding, H.; Lv, C.; Bi, R. Scale- and Location-Specific Multivariate Controls of Topsoil Organic Carbon Density Depend on Landform Heterogeneity. CATENA 2021, 207, 105695. [Google Scholar] [CrossRef]
- Liu, Q.; He, L.; Guo, L.; Wang, M.; Deng, D.; Lv, P.; Wang, R.; Jia, Z.; Hu, Z.; Wu, G.; et al. Digital Mapping of Soil Organic Carbon Density Using Newly Developed Bare Soil Spectral Indices and Deep Neural Network. CATENA 2022, 219, 106603. [Google Scholar] [CrossRef]
- Sun, B.; Wang, Y.; Li, Z.; Gao, W.; Wu, J.; Li, C.; Song, Z.; Gao, Z. Estimating Soil Organic Carbon Density in the Otindag Sandy Land, Inner Mongolia, China, for Modelling Spatiotemporal Variations and Evaluating the Influences of Human Activities. CATENA 2019, 179, 85–97. [Google Scholar] [CrossRef]
- Jin, F.; Yang, H.; Zhao, Q. Research Progress on Soil Organic Carbon Storage and Influencing Factors. Soils 2000, 1, 12–18. [Google Scholar] [CrossRef]
- Wang, W. Spatial Distribution and Estimation of Topsoil Organic Carbon Density in Zhejiang Province. Master’s Thesis, Zhejiang University, Hangzhou, China, 2014. [Google Scholar]
- Abdelbaki, A.M. Evaluation of Pedotransfer Functions for Predicting Soil Bulk Density for U.S. Soils. Ain Shams Eng. J. 2018, 9, 1611–1619. [Google Scholar] [CrossRef]
- Chen, S.; Richer-de-Forges, A.C.; Saby, N.P.A.; Martin, M.P.; Walter, C.; Arrouays, D. Building a Pedotransfer Function for Soil Bulk Density on Regional Dataset and Testing Its Validity over a Larger Area. Geoderma 2018, 312, 52–63. [Google Scholar] [CrossRef]
- Xu, L.; He, N.; Yu, G. Methods of Evaluating Soil Bulk Density: Impact on Estimating Large Scale Soil Organic Carbon Storage. CATENA 2016, 144, 94–101. [Google Scholar] [CrossRef]
- Poeplau, C.; Vos, C.; Don, A. Soil Organic Carbon Stocks Are Systematically Overestimated by Misuse of the Parameters Bulk Density and Rock Fragment Content. Soil 2017, 3, 61–66. [Google Scholar] [CrossRef]
- Schrumpf, M.; Schulze, E.D.; Kaiser, K.; Schumacher, J. How Accurately Can Soil Organic Carbon Stocks and Stock Changes Be Quantified by Soil Inventories? Biogeosciences 2011, 8, 1193–1212. [Google Scholar] [CrossRef]
- Wang, X.; Cai, C.; Li, H.; Xie, D. Influence of Rock Fragments on BulkDensity and Pore Characteristics of Purple Soil in Three-Gorge Reservoir Area. Acta Pedol. Sin. 2017, 54, 379–386. [Google Scholar]
- Batjes, N.H. Total Carbon and Nitrogen in the Soils of the World. Eur. J. Soil Sci. 1996, 47, 151–163. [Google Scholar] [CrossRef]
- Ma, A.; He, N.; Yu, G.; Wen, D.; Peng, S. Carbon Storage in Chinese Grassland Ecosystems: Influence of Different Integrative Methods. Sci. Rep. 2016, 6, 21378. [Google Scholar] [CrossRef]
- Wen, D.; He, N.P. Spatial Patterns and Control Mechanisms of Carbon Storage in Forest Ecosystem: Evidence from the North-South Transect of Eastern China. Ecol. Indic. 2016, 61, 960–967. [Google Scholar] [CrossRef]
- Botula, Y.-D.; Nemes, A.; Van Ranst, E.; Mafuka, P.; De Pue, J.; Cornelis, W.M. Hierarchical Pedotransfer Functions to Predict Bulk Density of Highly Weathered Soils in Central Africa. Soil Sci. Soc. Am. J. 2015, 79, 476–486. [Google Scholar] [CrossRef]
- Nasri, B.; Fouché, O.; Torri, D. Coupling Published Pedotransfer Functions for the Estimation of Bulk Density and Saturated Hydraulic Conductivity in Stony Soils. CATENA 2015, 131, 99–108. [Google Scholar] [CrossRef]
- Wang, Y.; Shao, M.; Liu, Z.; Zhang, C. Prediction of Bulk Density of Soils in the Loess Plateau Region of China. Surv. Geophys. 2014, 35, 395–413. [Google Scholar] [CrossRef]
- Yi, X.; Li, G.; Yin, Y. Pedotransfer Functions for Estimating Soil Bulk Density: A Case Study in the Three-River Headwater Region of Qinghai Province, China. Pedosphere 2016, 26, 362–373. [Google Scholar] [CrossRef]
- Zheng, G.; Jiao, C.; Xie, X.; Cui, X.; Shang, G.; Zhao, C.; Zeng, R. Pedotransfer Functions for Predicting Bulk Density of Coastal Soils in East China. Pedosphere 2023, 33, 849–856. [Google Scholar] [CrossRef]
- Khalil, M.I.; Kiely, G.; O’Brien, P.; Müller, C. Organic Carbon Stocks in Agricultural Soils in Ireland Using Combined Empirical and GIS Approaches. Geoderma 2013, 193, 222–235. [Google Scholar] [CrossRef]
- Khan, Z.; Chiti, T. Soil Carbon Stocks and Dynamics of Different Land Uses in Italy Using the LUCAS Soil Database. J. Environ. Manag. 2022, 306, 114452. [Google Scholar] [CrossRef] [PubMed]
- Xu, L.; He, N.P.; Yu, G.R.; Wen, D.; Gao, Y.; He, H.L. Differences in Pedotransfer Functions of Bulk Density Lead to High Uncertainty in Soil Organic Carbon Estimation at Regional Scales: Evidence from Chinese Terrestrial Ecosystems. J. Geophys. Res. Biogeosci. 2015, 120, 1567–1575. [Google Scholar] [CrossRef]
- Jalabert, S.S.M.; Martin, M.P.; Renaud, J.-P.; Boulonne, L.; Jolivet, C.; Montanarella, L.; Arrouays, D. Estimating Forest Soil Bulk Density Using Boosted Regression Modelling: Estimating Forest Soil Bulk Density Using Boosted Regression Modelling. Soil Use Manag. 2010, 26, 516–528. [Google Scholar] [CrossRef]
- Harbo, L.S.; Olesen, J.E.; Liang, Z.; Christensen, B.T.; Elsgaard, L. Estimating Organic Carbon Stocks of Mineral Soils in Denmark: Impact of Bulk Density and Content of Rock Fragments. Geoderma Reg. 2022, 30, e00560. [Google Scholar] [CrossRef]
- Huang, B.; Pan, J. Soil Series of China: JiangSu; Science Press: Beijing, China, 2017. [Google Scholar]
- Ma, W.; Zhang, M. Soil Series of China: Zhejiang; Science Press: Beijing, China, 2017. [Google Scholar]
- Li, D.; Zhang, G.; Wang, H. Soil Series of China: Anhui; Science Press: Beijing, China, 2017. [Google Scholar]
- Yang, J. Soil Series of China: Shanghai; Science Press: Beijing, China, 2017. [Google Scholar]
- Pu, Y.; Yang, L.; Zhang, L.; Huang, H.; Zhang, G.; Zhou, C. Major Contributions of Agricultural Management Practices to Topsoil Organic Carbon Distribution and Accumulation in Croplands of East China over Three Decades. Agric. Ecosyst. Environ. 2024, 359, 108749. [Google Scholar] [CrossRef]
- Shi, Y.; Yang, F.; Long, H.; Rossiter, D.G.; Zhang, A.; Zhang, G. Provenance of Soil Parent Materials in Relation to Regional Environmental Changes in the Songnen Plain, Northeast China. Geoderma Reg. 2024, 38, e00848. [Google Scholar] [CrossRef]
- Sun, Z.; Liu, F.; Wang, D.; Wu, H.; Zhang, G. Improving 3D Digital Soil Mapping Based on Spatialized Lab Soil Spectral Information. Remote Sens. 2023, 15, 5228. [Google Scholar] [CrossRef]
- Cooperative Research Group on Chinese Soil Taxonomy. Chinese Soil Taxonomy, 3rd ed.; Science Press: Beijing, China, 2001; p. 203. [Google Scholar]
- ISRIC; FAO. World Reference Base for Soil Resources. World Soil Resour. Rep. 1998, 84. [Google Scholar]
- ISSS Working Group RB. World Reference Base for Soil Resources: Introduction, 1st ed.; Acco: Leuven, The Netherlands; International Society of Soil Science, International Soil Reference and Information Centre: Wageningen, The Netherlands; Food and Agriculture Organisation of the United Nations: Rome, Italy, 1998. [Google Scholar]
- Zhang, G.; Gong, Z. Soil Survey Laboratory Methods; Science Press: Beijing, China, 2012. [Google Scholar]
- Pennock, D.J.; Appleby, P.G. Sample Processing. In Handbook for the Assessment of Soil Erosion and Sedimentation Using Environmental Radionuclides; Zapata, F., Ed.; Springer: Dordrecht, The Netherlands, 2002. [Google Scholar]
- Mebius, L. A Rapid Method for the Determination of Organic Carbon in Soil. Anal. Chim. Acta 1960, 22, 120–124. [Google Scholar] [CrossRef]
- Kaur, R.; Kumar, S.; Gurung, H.P. A Pedo-Transfer Function (PTF) for Estimating Soil Bulk Density from Basic Soil Data and Its Comparison with Existing PTFs. Soil Res. 2002, 40, 847–858. [Google Scholar] [CrossRef]
- Huntington, T.G.; Johnson, C.E.; Johnson, A.H.; Siccama, T.G.; Ryan, D.F. Carbon, Organic Matter, and Bulk Density Relationships in a Forested Spodosol. Soil Sci. 1989, 148, 380–386. [Google Scholar] [CrossRef]
- Manrique, L.A.; Jones, C.A. Bulk Density of Soils in Relation to Soil Physical and Chemical Properties. Soil Sci. Soc. Am. J. 1991, 55, 476. [Google Scholar] [CrossRef]
- Men, M.; Peng, Z.; Xu, H.; Yu, Z. Investigation on Pedo-Transfer Function for Estimating Soil Bulk Density in Hebei Province. Chin. J. Soil Sci. 2008, 1, 33–37. [Google Scholar]
- Al-Qinna, M.I.; Jaber, S.M. Predicting Soil Bulk Density Using Advanced Pedotransfer Functions in an Arid Environment. Trans. ASABE 2013, 56, 963–976. [Google Scholar]
- Bellon-Maurel, V.; Fernandez-Ahumada, E.; Palagos, B.; Roger, J.-M.; McBratney, A. Critical Review of Chemometric Indicators Commonly Used for Assessing the Quality of the Prediction of Soil Attributes by NIR Spectroscopy. TrAC Trends Anal. Chem. 2010, 29, 1073–1081. [Google Scholar] [CrossRef]
- Minasny, B.; McBratney, A. Why You Don’t Need to Use RPD. Pedometron 2013, 33, 14–15. [Google Scholar]
- Roudier, P.; Hedley, C.B.; Ross, C.W. Prediction of Volumetric Soil Organic Carbon from Field-Moist Intact Soil Cores: Predicting Volumetric SOC from Intact Soil Cores. Eur. J. Soil Sci. 2015, 66, 651–660. [Google Scholar] [CrossRef]
- R Core Team. R: A Language and Environment for Statistical Computing; R Foundation for Statistical Computing: Vienna, Austria, 2023; Available online: http://www.R-project.org/ (accessed on 11 September 2023).
- Kim, S. ppcor: Partial and Semi-Partial (Part) Correlation, R Package Version 1.1. Available online: https://CRAN.R-project.org/package=ppcor (accessed on 11 September 2023).
- Hossain, M.F.; Chen, W.; Zhang, Y. Bulk Density of Mineral and Organic Soils in the Canada’s Arctic and Sub-Arctic. Inf. Process. Agric. 2015, 2, 183–190. [Google Scholar] [CrossRef]
- Post, W.M.; Emanuel, W.R.; Zinke, P.J.; Stangenberger, A.G. Soil Carbon Pools and World Life Zones. Nature 1982, 298, 156–159. [Google Scholar] [CrossRef]
- Keller, T.; Håkansson, I. Estimation of Reference Bulk Density from Soil Particle Size Distribution and Soil Organic Matter Content. Geoderma 2010, 154, 398–406. [Google Scholar] [CrossRef]
- Alexander, E.B. Bulk Densities of California Soils in Relation to Other Soil Properties. Soil Sci. Soc. Am. J. 1980, 44, 689–692. [Google Scholar] [CrossRef]
- Bernoux, M.; Cerri, C.; Arrouays, D.; Jolivet, C.; Volkoff, B. Bulk Densities of Brazilian Amazon Soils Related to Other Soil Properties. Soil Sci. Soc. Am. J. 1998, 62, 743–749. [Google Scholar] [CrossRef]
- Federer, C.A. Nitrogen Mineralization and Nitrification: Depth Variation in Four New England Forest Soils. Soil Sci. Soc. Am. J. 1983, 47, 1008–1014. [Google Scholar] [CrossRef]
- Boschi, R.S.; Bocca, F.F.; Lopes-Assad, M.L.R.C.; Assad, E.D. How Accurate Are Pedotransfer Functions for Bulk Density for Brazilian Soils? Sci. Agric. 2018, 75, 70–78. [Google Scholar] [CrossRef]
- Benites, V.M.; Machado, P.L.O.A.; Fidalgo, E.C.C.; Coelho, M.R.; Madari, B.E. Pedotransfer Functions for Estimating Soil Bulk Density from Existing Soil Survey Reports in Brazil. Geoderma 2007, 139, 90–97. [Google Scholar] [CrossRef]
- De Souza, E.; Fernandes Filho, E.I.; Schaefer, C.E.G.R.; Batjes, N.H.; dos Santos, G.R.; Pontes, L.M. Pedotransfer Functions to Estimate Bulk Density from Soil Properties and Environmental Covariates: Rio Doce Basin. Sci. Agric. 2016, 73, 525–534. [Google Scholar] [CrossRef]
- Heuscher, S.A.; Brandt, C.C.; Jardine, P.M. Using Soil Physical and Chemical Properties to Estimate Bulk Density. Soil Sci. Soc. Am. J. 2005, 69, 51–56. [Google Scholar] [CrossRef]
- Tomasella, J.; Hodnett, M.G. Estimating Soil Water Retention Characteristics from Limited Data in Brazilian Amazonia. Soil Sci. 1998, 163, 190–202. [Google Scholar] [CrossRef]
- Ghehi, N.G.; Nemes, A.; Verdoodt, A.; Van Ranst, E.; Cornelis, W.M.; Boeckx, P. Nonparametric Techniques for Predicting Soil Bulk Density of Tropical Rainforest Topsoils in Rwanda. Soil Sci. Soc. Am. J. 2012, 76, 1172–1183. [Google Scholar] [CrossRef]
- Katuwal, S.; Knadel, M.; Norgaard, T.; Moldrup, P.; Greve, M.H.; de Jonge, L.W. Predicting the Dry Bulk Density of Soils across Denmark: Comparison of Single-Parameter, Multi-Parameter, and Vis–NIR Based Models. Geoderma 2020, 361, 114080. [Google Scholar] [CrossRef]
- Shiri, J.; Keshavarzi, A.; Kisi, O.; Karimi, S.; Iturraran-Viveros, U. Modeling Soil Bulk Density through a Complete Data Scanning Procedure: Heuristic Alternatives. J. Hydrol. 2017, 549, 592–602. [Google Scholar] [CrossRef]
- Lucà, F.; Conforti, M.; Castrignanò, A.; Matteucci, G.; Buttafuoco, G. Effect of Calibration Set Size on Prediction at Local Scale of Soil Carbon by Vis-NIR Spectroscopy. Geoderma 2017, 288, 175–183. [Google Scholar] [CrossRef]
- Tranter, G.; Minasny, B.; Mcbratney, A.B.; Murphy, B.; Mckenzie, N.J.; Grundy, M.; Brough, D. Building and Testing Conceptual and Empirical Models for Predicting Soil Bulk Density. Soil Use Manag. 2007, 23, 437–443. [Google Scholar] [CrossRef]
- De Vos, B.; Van Meirvenne, M.; Quataert, P.; Deckers, J.; Muys, B. Predictive Quality of Pedotransfer Functions for Estimating Bulk Density of Forest Soils. Soil Sci. Soc. Am. J. 2005, 69, 500–510. [Google Scholar] [CrossRef]
- Martin, M.P.; Lo Seen, D.; Boulonne, L.; Jolivet, C.; Nair, K.M.; Bourgeon, G.; Arrouays, D. Optimizing Pedotransfer Functions for Estimating Soil Bulk Density Using Boosted Regression Trees. Soil Sci. Soc. Am. J. 2009, 73, 485–493. [Google Scholar] [CrossRef]
- Wiesmeier, M.; Spörlein, P.; Geuß, U.; Hangen, E.; Haug, S.; Reischl, A.; Schilling, B.; Lützow, M.; Kögel-Knabner, I. Soil Organic Carbon Stocks in Southeast Germany (Bavaria) as Affected by Land Use, Soil Type and Sampling Depth. Glob. Change Biol. 2012, 18, 2233–2245. [Google Scholar] [CrossRef]
- Celik, I. Land-Use Effects on Organic Matter and Physical Properties of Soil in a Southern Mediterranean Highland of Turkey. Soil Tillage Res. 2005, 83, 270–277. [Google Scholar] [CrossRef]
- Dawson, J.J.; Smith, P. Carbon Losses from Soil and Its Consequences for Land-Use Management. Sci. Total Environ. 2007, 382, 165–190. [Google Scholar] [CrossRef]
- Hollis, J.M.; Hannam, J.; Bellamy, P.H. Empirically-derived Pedotransfer Functions for Predicting Bulk Density in European Soils. Eur. J. Soil Sci. 2012, 63, 96–109. [Google Scholar] [CrossRef]
- Islam, K.R.; Weil, R.R. Land Use Effects on Soil Quality in a Tropical Forest Ecosystem of Bangladesh. Agric. Ecosyst. Environ. 2000, 79, 9–16. [Google Scholar] [CrossRef]
- De Baets, S.; Meersmans, J.; Vanacker, V.; Quine, T.A.; Van Oost, K. Spatial Variability and Change in Soil Organic Carbon Stocks in Response to Recovery Following Land Abandonment and Erosion in Mountainous Drylands. Soil Use Manag. 2013, 29, 65–76. [Google Scholar] [CrossRef]
- Leifeld, J.; Bassin, S.; Fuhrer, J. Carbon Stocks in Swiss Agricultural Soils Predicted by Land-Use, Soil Characteristics, and Altitude. Agric. Ecosyst. Environ. 2005, 105, 255–266. [Google Scholar] [CrossRef]
- Rytter, R.-M. Stone and Gravel Contents of Arable Soils Influence Estimates of C and N Stocks. CATENA 2012, 95, 153–159. [Google Scholar] [CrossRef]
- Baetens, J.M.; Verbist, K.; Cornelis, W.M.; Gabriëls, D.; Soto, G. On the Influence of Coarse Fragments on Soil Water Retention. Water Resour. Res. 2009, 45, W07408. [Google Scholar] [CrossRef]
- Hlaváčiková, H.; Novák, V.; Šimůnek, J. The Effects of Rock Fragment Shapes and Positions on Modeled Hydraulic Conductivities of Stony Soils. Geoderma 2016, 281, 39–48. [Google Scholar] [CrossRef]
- Johnson, D.W.; Walker, R.F.; Glass, D.W.; Miller, W.W.; Murphy, J.D.; Stein, C.M. The Effect of Rock Content on Nutrients in a Sierra Nevada Forest Soil. Geoderma 2012, 173–174, 84–93. [Google Scholar] [CrossRef]
- Pan, Y.; Lyu, S.; Li, S.; Gao, Y.; Meng, X.; Ao, Y.; Wang, S. Simulating the Role of Gravel in Freeze–Thaw Process on the Qinghai–Tibet Plateau. Theor. Appl. Climatol. 2017, 127, 1011–1022. [Google Scholar] [CrossRef]
- Lai, X.; Liu, Y.; Li, L.; Zhu, Q.; Liao, K. Spatial Variation of Global Surface Soil Rock Fragment Content and Its Roles on Hydrological and Ecological Patterns. CATENA 2022, 208, 105752. [Google Scholar] [CrossRef]
- Mehler, K.; Schöning, I.; Berli, M. The Importance of Rock Fragment Density for the Calculation of Soil Bulk Density and Soil Organic Carbon Stocks. Soil Sci. Soc. Am. J. 2014, 78, 1186–1191. [Google Scholar] [CrossRef]
- Song, J.; Li, Z.; Nie, X.; Liu, C.; Xiao, H.; Wang, D.; Zeng, G. A Modified Soil Organic Carbon Density Model for a Forest Watershed in Southern China. Geomorphology 2017, 296, 153–159. [Google Scholar] [CrossRef]
- Sun, Y.; Ma, J.; Zhao, W.; Qu, Y.; Gou, Z.; Chen, H.; Tian, Y.; Wu, F. Digital Mapping of Soil Organic Carbon Density in China Using an Ensemble Model. Environ. Res. 2023, 231, 116131. [Google Scholar] [CrossRef] [PubMed]
- Nelson, D.W.; Sommers, L.E. Total Carbon, Organic Carbon, and Organic Matter. In Methods of Soil Analysis. Part 2. Chemical and Microbiological Properties; Page, A.L., Miller, R.H., Keeney, D.R., Eds.; ASA: Madison, WI, USA; SSSA: Madison, WI, USA, 1982; pp. 539–579. [Google Scholar]
- Baldock, J.A.; Skjemstad, J.O. Soil Organic Carbon/Soil Organic Matter. Soil Anal. Interpret. Man. 1999, 159–170. [Google Scholar]
- De Vos, B.; Lettens, S.; Muys, B.; Deckers, J.A. Walkley–Black Analysis of Forest Soil Organic Carbon: Recovery, Limitations and Uncertainty. Soil Use Manag. 2007, 23, 221–229. [Google Scholar] [CrossRef]
- Allison, L.E. Wet-Combustion Apparatus and Procedure for Organic and Inorganic Carbon in Soil. Soil Sci. Soc. Am. J. 1960, 24, 36–40. [Google Scholar] [CrossRef]
- Díaz-Zorita, M. Soil Organic Carbon Recovery by the Walkley-Black Method in a Typic Hapludoll. Commun. Soil Sci. Plant Anal. 1999, 30, 739–745. [Google Scholar] [CrossRef]
- Hussain, I.; Olson, K.R. Recovery Rate of Organic c in Organic Matter Fractions of Grantsburg Soils. Commun. Soil Sci. Plant Anal. 2000, 31, 995–1001. [Google Scholar] [CrossRef]
- Mikhailova, E.A.; Noble, R.R.P.; Post, C.J. Comparison of Soil Organic Carbon Recovery by Walkley-Black and Dry Combustion Methods in the Russian Chernozem. Commun. Soil Sci. Plant Anal. 2003, 34, 1853–1860. [Google Scholar] [CrossRef]
- Krishan, G.; Srivastav, S.K.; Kumar, S.; Saha, S.K.; Dadhwal, V.K. Quantifying the Underestimation of Soil Organic Carbon by the Walkley and Black Technique—Examples from Himalayan and Central Indian Soils. Curr. Sci. 2009, 96, 1133–1136. [Google Scholar]
- Kumar, S.; Ghotekar, Y.S.; Dadhwal, V.K. C-Equivalent Correction Factor for Soil Organic Carbon Inventory by Wet Oxidation, Dry Combustion and Loss on Ignition Methods in Himalayan Region. J. Earth Syst. Sci. 2019, 128, 62. [Google Scholar] [CrossRef]
- Lettens, S.; De Vos, B.; Quataert, P.; Van Wesemael, B.; Muys, B.; Van Orshoven, J. Variable Carbon Recovery of Walkley-Black Analysis and Implications for National Soil Organic Carbon Accounting. Eur. J. Soil Sci. 2007, 58, 1244–1253. [Google Scholar] [CrossRef]
- Jha, P.; Biswas, A.K.; Lakaria, B.L.; Saha, R.; Singh, M.; Rao, A.S. Predicting Total Organic Carbon Content of Soils from Walkley and Black Analysis. Commun. Soil Sci. Plant Anal. 2014, 45, 713–725. [Google Scholar] [CrossRef]
- Brye, K.R.; Slaton, N.A. Carbon and Nitrogen Storage in a Typic Albaqualf as Affected by Assessment Method. Commun. Soil Sci. Plant Anal. 2003, 34, 1637–1655. [Google Scholar] [CrossRef]
- Konare, H.; Yost, R.S.; Doumbia, M.; McCarty, G.W.; Jarju, A.; Kablan, R. Loss on Ignition: Measuring Soil Organic Carbon in Soils of the Sahel, West Africa. Afr. J. Agric. Res. 2010, 5, 3088–3095. [Google Scholar]
- Jankauskas, B.; Slepetiene, A.; Jankauskiene, G.; Fullen, M.A.; Booth, C.A. A Comparative Study of Analytical Methodologies to Determine the Soil Organic Matter Content of Lithuanian Eutric Albeluvisols. Geoderma 2006, 136, 763–773. [Google Scholar] [CrossRef]
- Dieckow, J.; Mielniczuk, J.; Knicker, H.; Bayer, C.; Dick, D.P.; Kögel-Knabner, I. Comparison of Carbon and Nitrogen Determination Methods for Samples of a Paleudult Subjected to No-till Cropping Systems. Sci. Agric. 2007, 64, 532–540. [Google Scholar] [CrossRef]
- Meersmans, J.; Van Wesemael, B.; Van Molle, M. Determining Soil Organic Carbon for Agricultural Soils: A Comparison between the Walkley & Black and the Dry Combustion Methods (North Belgium). Soil Use Manag. 2009, 25, 346–353. [Google Scholar] [CrossRef]
- Hoogsteen, M.J.J.; Lantinga, E.A.; Bakker, E.J.; Groot, J.C.J.; Tittonell, P.A. Estimating Soil Organic Carbon through Loss on Ignition: Effects of Ignition Conditions and Structural Water Loss. Eur. J. Soil Sci. 2015, 66, 320–328. [Google Scholar] [CrossRef]
- Davies, B.E. Loss-on-Ignition as an Estimate of Soil Organic Matter. Soil Sci. Soc. Am. J. 1974, 38, 150–151. [Google Scholar] [CrossRef]
- McBratney, A.B.; Minasny, B.; Cattle, S.R.; Vervoort, R.W. From Pedotransfer Functions to Soil Inference Systems. Geoderma 2002, 109, 41–73. [Google Scholar] [CrossRef]
- Nanko, K.; Ugawa, S.; Hashimoto, S.; Imaya, A.; Kobayashi, M.; Sakai, H.; Ishizuka, S.; Miura, S.; Tanaka, N.; Takahashi, M.; et al. A Pedotransfer Function for Estimating Bulk Density of Forest Soil in Japan Affected by Volcanic Ash. Geoderma 2014, 213, 36–45. [Google Scholar] [CrossRef]
- Wu, Z.; Liu, Y.; Li, G.; Han, Y.; Li, X.; Chen, Y. Influences of Environmental Variables and Their Interactions on Chinese Farmland Soil Organic Carbon Density and Its Dynamics. Land 2022, 11, 208. [Google Scholar] [CrossRef]












| Method No. | Method Description | Reference | ||
|---|---|---|---|---|
| Approaches | Investigated Soils | Estimating Bulk Density (BD, g cm−3) | ||
| M1 | Mean method | varying soils in this study area | Mean value of horizon samples in this study | |
| M2 | Median method | varying soils in this study area | Median value of horizon samples in this study | |
| M3 | PTFs | forest soils in New Hampshire | [41] | |
| M4 | PTFs | forest soils in New Hampshire | [41] | |
| M5 | PTFs | varying soils in continental USA, Hawaii, Puerto Rico, and some foreign countries | [42] | |
| M6 | PTFs | varying soils in continental USA, Hawaii, Puerto Rico, and some foreign countries | [42] | |
| M7 | PTFs | varying soils in Hebei Province | [43] | |
| M8 | PTFs | arid soils in Amman–Zarqa basin | [44] | |
| Variables | Min | Max | Mean | SD | CV | Skew | Kurt |
|---|---|---|---|---|---|---|---|
| Whole set (m = 1929) | |||||||
| BD | 0.58 | 1.80 | 1.37 | 0.19 | 14 | −0.48 | −0.23 |
| SOC | 0.06 | 52.37 | 7.87 | 6.76 | 86 | 1.87 | 5.02 |
| SOCDicm | 0.0009 | 0.4926 | 0.0967 | 0.0720 | 74 | 1.40 | 2.50 |
| SOCD (n = 443) | 0.08 | 24.07 | 8.21 | 3.75 | 46 | 0.93 | 1.57 |
| Sand | 1.00 | 950.00 | 298.81 | 200.63 | 67 | 0.70 | −0.33 |
| Silt | 17.05 | 913.00 | 466.48 | 182.70 | 39 | −0.08 | −0.79 |
| Clay | 10.00 | 666.00 | 234.75 | 119.99 | 51 | 0.53 | −0.10 |
| Calibration subset (m = 1309) | |||||||
| BD | 0.58 | 1.80 | 1.37 | 0.19 | 14 | −0.44 | −0.39 |
| SOC | 0.06 | 52.37 | 8.09 | 6.96 | 86 | 1.86 | 5.04 |
| SOCDicm | 0.0009 | 0.4926 | 0.0993 | 0.0740 | 75 | 1.40 | 2.42 |
| SOCD (n = 300) | 0.08 | 22.44 | 8.43 | 3.84 | 46 | 0.81 | 1.12 |
| Sand | 1.00 | 918.00 | 292.84 | 198.41 | 68 | 0.71 | −0.31 |
| Silt | 21.00 | 913.00 | 469.63 | 184.25 | 39 | −0.05 | −0.84 |
| Clay | 10.00 | 659.00 | 237.60 | 120.20 | 51 | 0.42 | −0.36 |
| Prediction subset (m = 620) | |||||||
| BD | 0.62 | 1.76 | 1.36 | 0.18 | 13 | −0.59 | 0.20 |
| SOC | 0.12 | 43.66 | 7.40 | 6.31 | 85 | 1.87 | 4.67 |
| SOCDicm | 0.0018 | 0.4295 | 0.0911 | 0.0672 | 74 | 1.38 | 2.52 |
| SOCD (n = 143) | 1.48 | 24.07 | 7.75 | 3.51 | 45 | 1.21 | 3.12 |
| Sand | 20.00 | 950.00 | 311.42 | 204.81 | 66 | 0.68 | −0.37 |
| Silt | 17.00 | 895.00 | 459.83 | 179.36 | 39 | −0.16 | −0.68 |
| Clay | 21.00 | 666.00 | 228.74 | 119.42 | 52 | 0.77 | 0.55 |
| Gravel Content (%) | Frequency (%) | Average Relative Deviation from Measured SOCDicm Values | ||
|---|---|---|---|---|
| 0–100 cm | Linear | Polynomial | Power | |
| <5 | 76.72 | 7.34 | 5.19 | 4.93 |
| 5–10 | 9.49 | 9.12 | 6.96 | 6.95 |
| 10–15 | 5.39 | 15.12 | 11.41 | 10.46 |
| 15–20 | 2.38 | 14.74 | 12.79 | 13.24 |
| 20–25 | 1.56 | 19.57 | 16.49 | 17.06 |
| 25–30 | 0.88 | 27.18 | 23.39 | 24.50 |
| ≥30 | 3.58 | 34.77 | 32.84 | 33.78 |
| total | 9.45 | 7.20 | 7.01 | |
| Model | Function | Calibration Subset (m = 1309) | Prediction Subset (m = 620) | |||
|---|---|---|---|---|---|---|
| Rc2 | RMSEC (kg m−2) | Rp2 | RMSEP (kg m−2) | RPIQ | ||
| Linear | 0.950 | 0.017 | 0.935 | 0.017 | 4.852 | |
| Polynomial | 0.957 | 0.015 | 0.947 | 0.016 | 5.381 | |
| Power | 0.958 | 0.015 | 0.947 | 0.015 | 5.397 | |
| Method No. | Function | Refitted Coefficients | Reference | |
|---|---|---|---|---|
| Estimate | s.e. of Estimate | |||
| M3 | a = 1.5254 | 0.0159 | [41] | |
| b = 0.0277 | 0.0138 | |||
| c = −0.0359 | 0.0031 | |||
| M4 | a = 1.5291 | 0.0104 | [41] | |
| b = −0.0103 | 0.0107 | |||
| c = −0.0362 | 0.0032 | |||
| M5 | a = 1.5059 | 0.0066 | [42] | |
| b = −0.0165 | 0.0006 | |||
| M6 | a = 1.6473 | 0.0109 | [42] | |
| b = −0.1048 | 0.0038 | |||
| M7 | a = 1.4343 | 0.0163 | [43] | |
| b = −0.0165 | 0.0006 | |||
| c = 4.7978 × 10−5 | 2.3422 × 10−5 | |||
| d = 0.0002 | 3.5868 × 10−5 | |||
| M8 | a = −2.6847 | 2.9931 | [44] | |
| b = −0.0165 | 0.0006 | |||
| c = 0.0043 | 0.0030 | |||
| d = 0.0042 | 0.0030 | |||
| e = 0.0041 | 0.0030 | |||
| No. Method | Calibration Subset (m = 1309) | Prediction Subset (m = 620) | |||
|---|---|---|---|---|---|
| Rc2 | RMSEC (g cm−3) | Rp2 | RMSEP (g cm−3) | RPIQ | |
| M3 | 0.370 | 0.153 | 0.332 | 0.146 | 1.786 |
| M4 | 0.370 | 0.153 | 0.332 | 0.146 | 1.786 |
| M5 | 0.354 | 0.154 | 0.349 | 0.144 | 1.810 |
| M6 | 0.364 | 0.153 | 0.344 | 0.144 | 1.802 |
| M7 | 0.371 | 0.152 | 0.358 | 0.143 | 1.822 |
| M8 | 0.372 | 0.152 | 0.358 | 0.143 | 1.822 |
| No. Method | Calibration Subset (m = 1309) | Prediction Subset (m = 620) | |||
|---|---|---|---|---|---|
| Rc2 | RMSEC (kg m−2) | Rp2 | RMSEP (kg m−2) | RPIQ | |
| M1 | 0.872 | 0.026 | 0.852 | 0.026 | 3.602 |
| M2 | 0.851 | 0.029 | 0.830 | 0.028 | 3.429 |
| M3 | 0.958 | 0.015 | 0.950 | 0.015 | 5.520 |
| M4 | 0.958 | 0.015 | 0.950 | 0.015 | 5.523 |
| M5 | 0.944 | 0.018 | 0.949 | 0.015 | 5.481 |
| M6 | 0.957 | 0.015 | 0.950 | 0.015 | 5.522 |
| M7 | 0.942 | 0.018 | 0.947 | 0.015 | 5.400 |
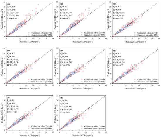
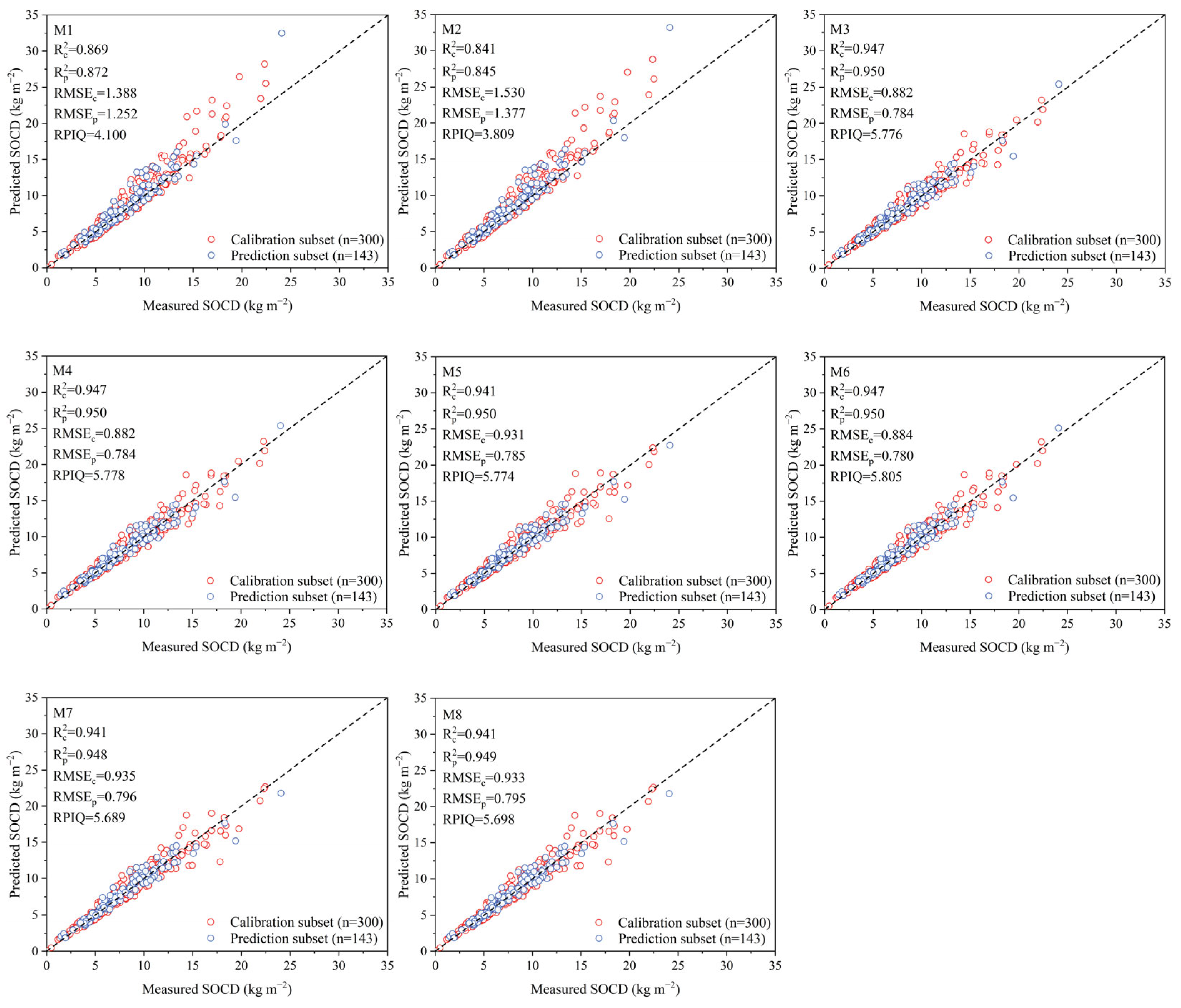
| M8 | 0.941 | 0.018 | 0.948 | 0.015 | 5.402 |
Disclaimer/Publisher’s Note: The statements, opinions and data contained in all publications are solely those of the individual author(s) and contributor(s) and not of MDPI and/or the editor(s). MDPI and/or the editor(s) disclaim responsibility for any injury to people or property resulting from any ideas, methods, instructions or products referred to in the content. |
© 2025 by the authors. Licensee MDPI, Basel, Switzerland. This article is an open access article distributed under the terms and conditions of the Creative Commons Attribution (CC BY) license (https://creativecommons.org/licenses/by/4.0/).
Share and Cite
Fan, J.; Zheng, G.; Jiao, C.; Zeng, R.; Zhou, Y.; Wang, Y.; Xu, M.; Zhao, C. A Novel Method for Estimating Soil Organic Carbon Density Using Soil Organic Carbon and Gravel Content Data. Sustainability 2025, 17, 3533. https://doi.org/10.3390/su17083533
Fan J, Zheng G, Jiao C, Zeng R, Zhou Y, Wang Y, Xu M, Zhao C. A Novel Method for Estimating Soil Organic Carbon Density Using Soil Organic Carbon and Gravel Content Data. Sustainability. 2025; 17(8):3533. https://doi.org/10.3390/su17083533
Chicago/Turabian StyleFan, Jiawen, Guanghui Zheng, Caixia Jiao, Rong Zeng, Yujie Zhou, Yan Wang, Mingxing Xu, and Chengyi Zhao. 2025. "A Novel Method for Estimating Soil Organic Carbon Density Using Soil Organic Carbon and Gravel Content Data" Sustainability 17, no. 8: 3533. https://doi.org/10.3390/su17083533
APA StyleFan, J., Zheng, G., Jiao, C., Zeng, R., Zhou, Y., Wang, Y., Xu, M., & Zhao, C. (2025). A Novel Method for Estimating Soil Organic Carbon Density Using Soil Organic Carbon and Gravel Content Data. Sustainability, 17(8), 3533. https://doi.org/10.3390/su17083533

