Effects of Sowing Time on Yield and Quality of Winter and Spring Wheat Varieties
Abstract
1. Introduction
2. Materials and Methods
2.1. Experiment Location and Wheat Varieties
2.2. Experiment Design
2.3. Determination of Yield
2.4. Quality Assessment
2.5. Statistical Analysis
3. Results
3.1. Effects of Sowing Date on Yield Components
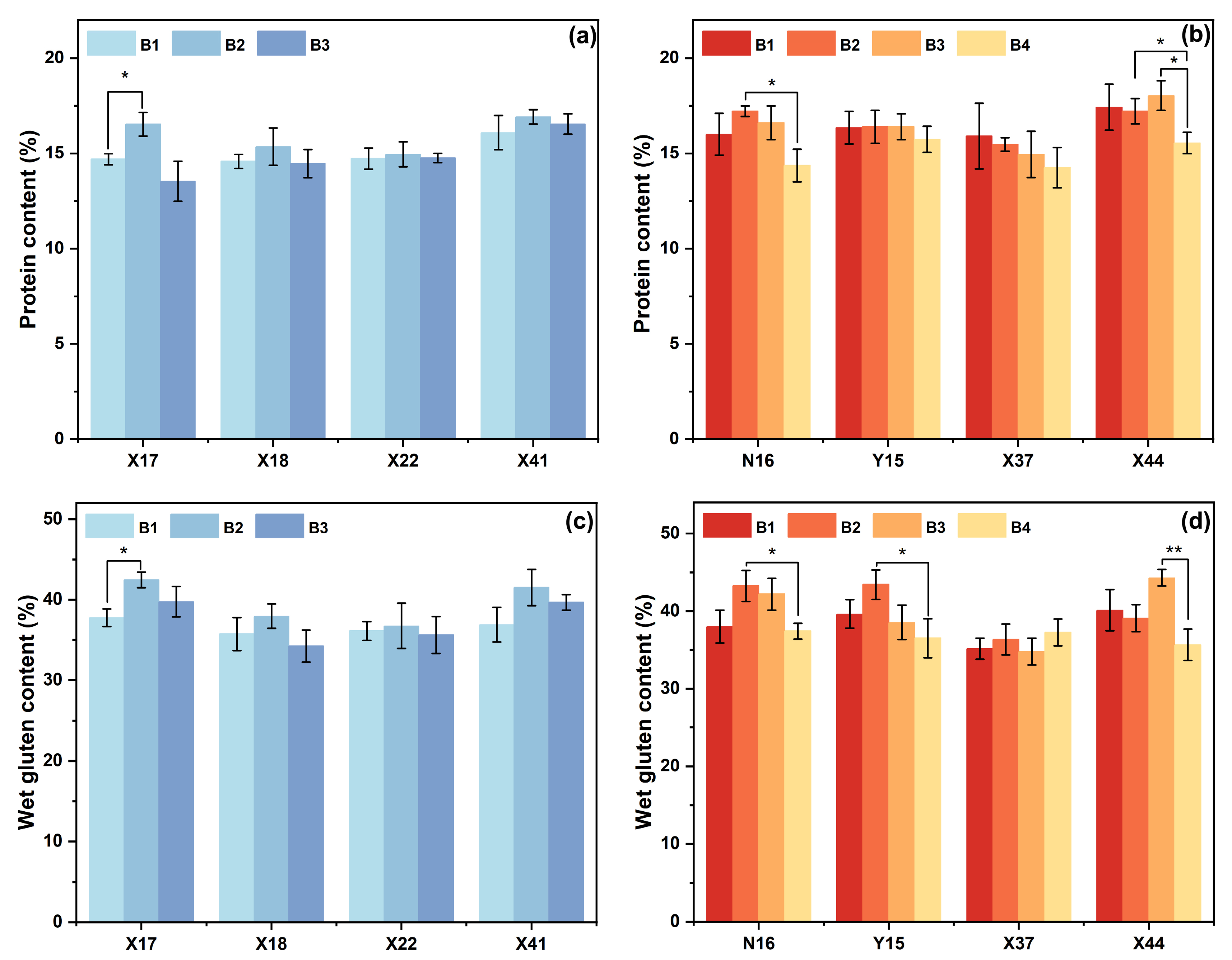
3.2. Effects of Sowing Date on Protein Quality
3.3. Effects of Sowing Date on Rheological Property Quality
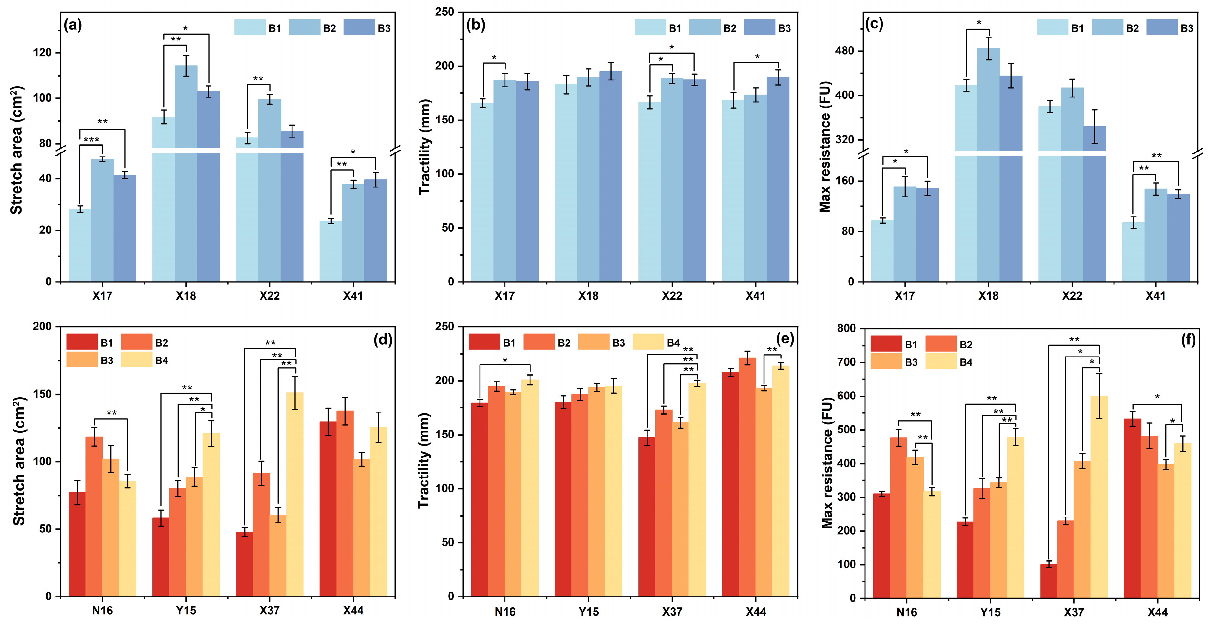
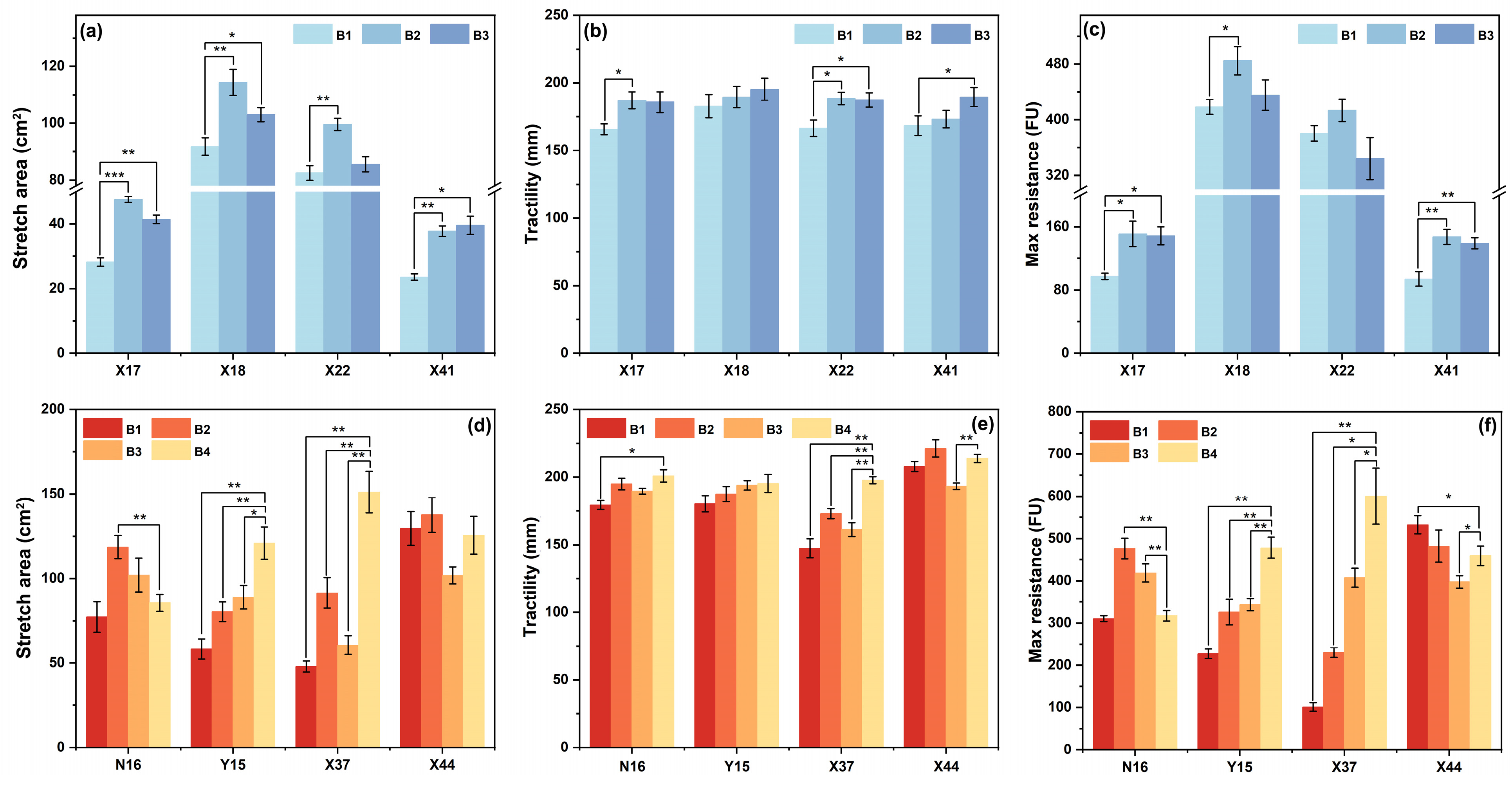
3.4. Effect of Sowing Date on Tensile Properties
3.5. PCA and Correlation Analysis
4. Discussion
5. Conclusions
- Yield: The adjustment of sowing dates was detrimental to achieving high yields for both spring and winter wheat in this region;
- Grain quality: X17, X18, X22, and X41 are suitable for late sowing, and N16 is suitable for extremely late sowing, while X44 is only suitable for normal-time sowing;
- Advice: Wheat varieties suitable for sowing should be selected according to local sowing habits, and agronomic measures such as water and fertilizer management and rational crop rotation should be combined to further improve wheat yield and quality.
Supplementary Materials
Author Contributions
Funding
Institutional Review Board Statement
Informed Consent Statement
Data Availability Statement
Conflicts of Interest
References
- Chen, W.; Zhang, J.; Deng, X. Winter wheat yield improvement by genetic gain across different provinces in China. J. Integr. Agric. 2024, 23, 468–483. [Google Scholar] [CrossRef]
- Giménez, V.D.; Serrago, R.A.; Abeledo, L.G.; Ciampitti, I.A.; Miralles, D.J. Comparative analysis of wheat and barley yield performance across temperate environments. Field Crops Res. 2024, 310, 109339. [Google Scholar] [CrossRef]
- Liu, J.; Si, Z.; Wu, L.; Shen, X.; Gao, Y.; Duan, A. High-low seedbed cultivation drives the efficient utilization of key production resources and the improvement of wheat productivity in the North China Plain. Agric. Water Manag. 2023, 285, 108357. [Google Scholar] [CrossRef]
- Wu, L.; Quan, H.; Wu, L.; Zhang, X.; Feng, H.; Ding, D.; Siddique, K.H.M. Responses of winter wheat yield and water productivity to sowing time and plastic mulching in the Loess Plateau. Agric. Water Manag. 2023, 289, 108572. [Google Scholar] [CrossRef]
- Koppensteiner, L.J.; Kaul, H.-P.; Piepho, H.-P.; Barta, N.; Euteneuer, P.; Bernas, J.; Klimek-Kopyra, A.; Gronauer, A.; Neugschwandtner, R.W. Yield and yield components of facultative wheat are affected by sowing time, nitrogen fertilization and environment. Eur. J. Agron. 2022, 140, 126591. [Google Scholar] [CrossRef]
- Ma, S.-C.; Wang, T.-C.; Guan, X.-K.; Zhang, X. Effect of sowing time and seeding rate on yield components and water use efficiency of winter wheat by regulating the growth redundancy and physiological traits of root and shoot. Field Crops Res. 2018, 221, 166–174. [Google Scholar] [CrossRef]
- Wen, P.; Wei, Q.; Zheng, L.; Rui, Z.; Niu, M.; Gao, C.; Guan, X.; Wang, T.; Xiong, S. Adaptability of wheat to future climate change: Effects of sowing date and sowing rate on wheat yield in three wheat production regions in the North China Plain. Sci. Total Environ. 2023, 901, 165906. [Google Scholar] [CrossRef]
- Zhu, Y.; Liu, J.; Li, J.; Xian, L.; Chu, J.; Liu, H.; Song, J.; Sun, Y.; Dai, Z. Delayed sowing increased dry matter accumulation during stem elongation in winter wheat by improving photosynthetic yield and nitrogen accumulation. Eur. J. Agron. 2023, 151, 127004. [Google Scholar] [CrossRef]
- Amo, A.; Serikbay, D.; Song, L.; Chen, L.; Hu, Y.-G. Vernalization and photoperiod alleles greatly affected phenological and agronomic traits in bread wheat under autumn and spring sowing conditions. Crop Environ. 2022, 1, 241–250. [Google Scholar] [CrossRef]
- Liu, J.; He, Q.; Zhou, G.; Song, Y.; Guan, Y.; Xiao, X.; Sun, W.; Shi, Y.; Zhou, K.; Zhou, S.; et al. Effects of Sowing Date Variation on Winter Wheat Yield: Conclusions for Suitable Sowing Dates for High and Stable Yield. Agronomy 2023, 13, 991. [Google Scholar] [CrossRef]
- Zhang, Z.-Z.; Cheng, S.; Fan, P.; Zhou, N.-B.; Xing, Z.-P.; Hu, Y.-J.; Xu, F.-F.; Guo, B.-W.; Wei, H.-Y.; Zhang, H.-C. Effects of sowing date and ecological points on yield and the temperature and radiation resources of semi-winter wheat. J. Integr. Agric. 2023, 22, 1366–1380. [Google Scholar] [CrossRef]
- Dong, S.; Zhang, X.; Chu, J.; Zheng, F.; Fei, L.; Dai, X.; He, M. Optimized seeding rate and nitrogen topdressing ratio for simultaneous improvement of grain yield and bread-making quality in bread wheat sown on different dates. J. Sci. Food Agric. 2022, 102, 360–369. [Google Scholar] [CrossRef] [PubMed]
- Arata, G.J.; Martínez, M.; Elguezábal, C.; Rojas, D.; Cristos, D.; Dinolfo, M.I.; Arata, A.F. Effects of sowing date, nitrogen fertilization, and Fusarium graminearum in an Argentinean bread wheat: Integrated analysis of disease parameters, mycotoxin contamination, grain quality, and seed deterioration. J. Food Compos. Anal. 2022, 107, 104364. [Google Scholar] [CrossRef]
- Tian, Z.; Yin, Y.; Li, B.; Zhong, K.; Liu, X.; Jiang, D.; Cao, W.; Dai, T. Optimizing planting density and nitrogen application to mitigate yield loss and improve grain quality of late-sown wheat under rice-wheat rotation. J. Integr. Agric. 2024, in press. [Google Scholar] [CrossRef]
- Lin, S.; Wang, Q.; Deng, M.; Su, L.; Wei, K.; Guo, Y.; Zhang, J. Assessing the influence of water fertilizer, and climate factors on seed cotton yield under mulched drip irrigation in Xinjiang Agricultural Regions. Eur. J. Agron. 2024, 152, 127034. [Google Scholar] [CrossRef]
- Bai, Z.; Xie, C.; Yu, J.; Bai, W.; Pei, S.; Li, Y.; Li, Z.; Zhang, F.; Fan, J.; Yin, F. Effects of irrigation and nitrogen levels on yield and water-nitrogen-radiation use efficiency of drip-fertigated cotton in south Xinjiang of China. Field Crops Res. 2024, 308, 109280. [Google Scholar] [CrossRef]
- GBT14607-1993; Method for Determination of Dry Gluten in Flour. Supervision A. G. A. o. Q. Standards Press of China: Beijing, China, 1993.
- GB/T 14608-93; Method for Determination of Wet Gluten in Flour. Supervision A. G. A. o. Q. Standards Press of China: Beijing, China, 1993.
- AACC-54-21; Farinograph Method for Flour. Association A. C. C.: St. Paul, MN, USA, 1999.
- AACC-54-10; Physical Dough Test. Association A. C. C.: St. Paul, MN, USA, 1999.
- Martínez-Peña, R.; Rezzouk, F.Z.; Díez-Fraile, M.d.C.; Nieto-Taladriz, M.T.; Araus, J.L.; Aparicio, N.; Vicente, R. Genotype-by-environment interaction for grain yield and quality traits in durum wheat: Identification of ideotypes adapted to the Spanish region of Castile and León. Eur. J. Agron. 2023, 151, 126951. [Google Scholar] [CrossRef]
- Ul-Allah, S.; Hussain, S.; Mumtaz, R.; Naeem, M.; Sattar, A.; Sher, A.; Ijaz, M.; Azeem, A.; Hassan, Z.; Ahmad, K.; et al. Phenotypic characterization of wheat germplasm for heritability and dissection of association among post anthesis traits under variable sowing dates. J. King Saud Univ. Sci. 2023, 35, 102578. [Google Scholar] [CrossRef]
- Padovan, G.; Martre, P.; Semenov, M.A.; Masoni, A.; Bregaglio, S.; Ventrella, D.; Lorite, I.J.; Santos, C.; Bindi, M.; Ferrise, R.; et al. Understanding effects of genotype × environment × sowing window interactions for durum wheat in the Mediterranean basin. Field Crops Res. 2020, 259, 107969. [Google Scholar] [CrossRef]
- Sun, H.; Zhang, X.; Chen, S.; Pei, D.; Liu, C. Effects of harvest and sowing time on the performance of the rotation of winter wheat–summer maize in the North China Plain. Ind. Crops Prod. 2007, 25, 239–247. [Google Scholar] [CrossRef]
- Bai, L.; Li, L.; Lian, Y.-H.; Wang, Z.-Q.; Xin, Z.-Y.; Lin, T.-B.; Ren, Y.-Z. Effects of sowing date on growth period, yield, and quality-related traits of different genotypic wheat varieties. Chin. J. Ecol. 2021, 40, 3135–3146. [Google Scholar] [CrossRef]
- Huang, X.; Zhou, X.; Liu, X.; Zhong, W.; Wang, X.; Ju, Z.; Yin, Y.; Xin, Q.; Liu, N.; Liu, X.; et al. Structural and physicochemical effects on the starch quality of the high-quality wheat genotype caused by delayed sowing. Front. Nutr. 2024, 11, 1389745. [Google Scholar] [CrossRef] [PubMed]
- Sattar, A.; Nanda, G.; Singh, G.; Jha, R.K.; Bal, S.K. Responses of phenology, yield attributes, and yield of wheat varieties under different sowing times in Indo-Gangetic Plains. Front. Plant Sci. 2023, 14, 1224334. [Google Scholar] [CrossRef] [PubMed]
- Yang, Y.; Cao, Y.; Ma, H.; Qi, P.; Wei, Y.; Fan, G.; Zheng, T. Effects of Sowing Date on Storage Protein in Wheat Grain and Processing Quality. J. Nucl. Agric. Sci. 2023, 37, 811–821. [Google Scholar] [CrossRef]



| Sowing Date | Variety | Ears (105/hm2) | Grain Number | 1000-Grain Mass (g) | Yield (kg/hm2) | Yield Change % (Compared to B1) |
|---|---|---|---|---|---|---|
| B1 | X17 | 46.13 ± 7.70 a | 42.23 ± 0.95 bc | 43.50 ± 1.27 bcde | 9911.13 ± 1379.65 a | / |
| X18 | 44.93 ± 8.68 a | 39.30 ± 1.05 cd | 40.84 ± 4.77 de | 8361.13 ± 1053.61 ab | / | |
| X22 | 47.18 ± 4.65 a | 35.50 ± 1.11 e | 39.83 ± 0.57 f | 8416.68 ± 192.21 ab | / | |
| X41 | 34.82 ± 7.22 ab | 46.47 ± 1.07 a | 43.20 ± 2.46 bcde | 6316.68 ± 797.39 bcd | / | |
| Average | 43.27 ± 8.03 a | 40.88 ± 4.29 a | 41.84 ± 2.87 b | 8251.41 ± 1566.24 a | / | |
| B2 | X17 | 39.27 ± 5.20 ab | 41.93 ± 0.54 bc | 48.16 ± 0.61 abcd | 9572.24 ± 525.03 a | 3.42 ↓ |
| X18 | 38.73 ± 4.54 ab | 37.00 ± 0.70 de | 49.81 ± 2.02 ab | 8183.35 ± 900.16 abc | 2.13 ↓ | |
| X22 | 45.33 ± 6.23 a | 34.33 ± 1.01 e | 52.90 ± 1.73 a | 7777.79 ± 667.78 abc | 7.59 ↓ | |
| X41 | 27.07 ± 1.11 b | 43.37 ± 0.86 b | 49.42 ± 6.53 abc | 6050.01 ± 490.75 cd | 4.22 ↓ | |
| Average | 37.60 ± 7.98 a | 39.16 ± 3.87 a | 50.07 ± 3.53 a | 7895.85 ± 1429.79 a | 4.31 ↓ | |
| B3 | X17 | 37.09 ± 5.75 ab | 43.83 ± 1.74 ab | 41.91 ± 0.87 cde | 8627.80 ± 538.60 a | 12.95 ↓ |
| X18 | 47.27 ± 5.28 ab | 34.97 ± 1.16 e | 37.85 ± 0.89 f | 7805.57 ± 831.56 abc | 6.64 ↓ | |
| X22 | 42.44 ± 3.51 ab | 31.30 ± 0.80 f | 38.75 ± 0.77 f | 7694.56 ± 532.38 abc | 8.58 ↓ | |
| X41 | 31.38 ± 3.70 ab | 41.53 ± 0.67 bc | 40.42 ± 1.46 ef | 5350.01 ± 332.92 d | 15.30 ↓ | |
| Average | 39.55 ± 7.36 a | 37.91 ± 5.33 a | 39.73 ± 1.85 b | 7369.90 ± 1369.27 a | 10.68 ↓ | |
| F value | S | 11.101 *** | 25.808 *** | 50.459 *** | 4.148 * | |
| V | 3.115 | 196.441 *** | 0.734 | 32.529 *** | ||
| S × V | 0.919 | 7.541 *** | 1.854 | 0.247 |
| Sowing Date | Variety | Ears (105/hm2) | Grain Number | 1000-Grain Mass (g) | Yield (kg/hm2) | Yield Change (Compared to B4) |
|---|---|---|---|---|---|---|
| B1 | N16 | 41.64 ± 2.79 abcd | 32.53 ± 5.19 a | 49.35 ± 2.90 abc | 6616.68 ± 220.48 bcde | 40.98 ↓ |
| Y15 | 34.73 ± 9.03 bcde | 27.07 ± 4.91 a | 54.38 ± 1.46 ab | 4883.34 ± 405.52 de | 30.95 ↓ | |
| X37 | 29.91 ± 5.35 de | 32.20 ± 11.62 a | 62.39 ± 2.11 a | 5927.79 ± 294.55 cde | 23.95 ↓ | |
| X44 | 31.60 ± 4.06 de | 26.87 ± 4.38 a | 52.77 ± 3.00 ab | 5761.12 ± 864.48 cde | 34.24 ↓ | |
| Average | 34.47 ± 6.81 b | 29.67 ± 6.73 b | 54.72 ± 5.42 a | 5797.23 ± 778.66 b | 33.44 ↓ | |
| B2 | N16 | 27.96 ± 1.69 de | 35.17 ± 1.07 a | 48.17 ± 0.61 cd | 6294.46 ± 707.57 cde | 43.86 ↓ |
| Y15 | 25.93 ± 4.72 de | 38.43 ± 5.12 a | 49.81 ± 2.02 abc | 4750.01 ± 66.67 e | 32.85 ↓ | |
| X37 | 25.73 ± 2.46 de | 41.30 ± 12.73 a | 52.90 ± 1.73 ab | 5544.46 ± 735.29 de | 28.87 ↓ | |
| X44 | 21.73 ± 2.24 e | 36.37 ± 7.76 a | 49.43 ± 6.53 abc | 4927.79 ± 1209.03 de | 43.75 ↓ | |
| Average | 25.34 ± 3.48 c | 37.82 ± 7.16 a | 50.07 ± 3.63 b | 5379.18 ± 924.86 b | 38.03 ↓ | |
| B3 | N16 | 33.73 ± 1.47 cde | 40.37 ± 6.88 a | 47.87 ± 0.69 cd | 7088.90 ± 596.60 de | 43.86 ↓ |
| Y15 | 32.62 ± 6.84 de | 32.03 ± 9.38 a | 55.64 ± 2.55 ab | 5400.01 ± 1070.18 bcd | 32.85 ↓ | |
| X37 | 32.91 ± 2.54 de | 42.67 ± 7.66 a | 52.61 ± 1.00 ab | 5288.90 ± 356.42 de | 28.87 ↓ | |
| X44 | 25.49 ± 2.99 de | 46.13 ± 8.20 a | 47.16 ± 1.32 cd | 5083.34 ± 381.88 de | 43.75 ↓ | |
| Average | 31.19 ± 4.87 bc | 40.30 ± 8.77 a | 50.82 ± 3.88 ab | 5715.29 ± 1011.31 b | 34.38 ↓ | |
| B4 | N16 | 55.31 ± 7.26 a | 34.70 ± 1.31 a | 43.36 ± 1.13 d | 11,211.13 ± 965.85 a | / |
| Y15 | 50.89 ± 7.03 ab | 32.40 ± 2.62 a | 50.34 ± 0.66 abc | 7072.24 ± 619.44 bcd | / | |
| X37 | 52.56 ± 6.32 a | 31.53 ± 3.86 a | 51.92 ± 2.28 ab | 7794.46 ± 1250.60 bc | / | |
| X44 | 50.04 ± 10.55 ab | 34.97 ± 1.80 a | 47.34 ± 2.36 cd | 8761.13 ± 694.49 b | / | |
| Average | 52.20 ± 7.10 a | 33.40 ± 2.69 ab | 48.24 ± 3.72 b | 8709.74 ± 1810.63 a | / | |
| F value | S | 3.682 *** | 5.744 ** | 14.867 *** | 53.084 *** | |
| V | 52.620 * | 0.977 | 23.846 *** | 21.135 *** | ||
| S × V | 0.533 | 0.877 | 2.837 | 2.265 * |
| Variety | Sowing Date | Absorption (%) | Formation Time (min) | Stability Time (min) | Softness (FU) | Powder Index |
|---|---|---|---|---|---|---|
| X17 | B1 | 63.82 ± 2.79 a | 2.77 ± 0.16 d | 1.72 ± 0.17 d | 107.41 ± 3.64 b | 36.78 ± 1.33 de |
| B2 | 65.44 ± 2.04 a | 3.05 ± 0.09 d | 2.04 ± 0.17 d | 78.84 ± 10.30 cd | 38.70 ± 1.38 de | |
| B3 | 64.41 ± 1.30 a | 2.94 ± 0.15 d | 2.16 ± 0.19 d | 86.19 ± 4.53 c | 38.55 ± 1.73 de | |
| X18 | B1 | 62.56 ± 2.41 a | 4.17 ± 0.15 c | 7.06 ± 0.15 c | 54.31 ± 3.77 de | 89.09 ± 1.57 c |
| B2 | 61.31 ± 2.18 a | 5.07 ± 0.12 a | 9.74 ± 0.46 a | 42.28 ± 2.91 ef | 134.67 ± 4.51 a | |
| B3 | 61.51 ± 2.05 a | 4.88 ± 0.11 a | 8.79 ± 0.21 b | 45.22 ± 1.76 ef | 124.31 ± 4.04 b | |
| X22 | B1 | 61.30 ± 3.10 a | 4.33 ± 0.21 bc | 6.67 ± 0.50 c | 54.52 ± 2.07 de | 89.48 ± 1.11 c |
| B2 | 61.71 ± 2.20 a | 4.63 ± 0.29 ab | 9.63 ± 0.31 ab | 41.69 ± 1.69 f | 127.74 ± 2.38 b | |
| B3 | 61.06 ± 2.88 a | 4.13 ± 0.15 c | 6.44 ± 0.41 c | 63.51 ± 2.39 d | 85.9 ± 1.54 c | |
| X41 | B1 | 61.90 ± 2.46 a | 2.15 ± 0.05 e | 1.87 ± 0.22 d | 123.75 ± 4.87 a | 34.70 ± 2.13 e |
| B2 | 63.28 ± 2.26 a | 2.91 ± 0.08 d | 2.37 ± 0.26 e | 89.12 ± 1.86 c | 47.95 ± 1.67 c | |
| B3 | 63.38 ± 1.82 a | 2.71 ± 0.10 d | 2.35 ± 0.23 d | 90.47 ± 1.39 c | 42.64 ± 0.81 cd | |
| Average | B1 | 62.40 ± 2.50 a | 3.36 ± 0.97 b | 4.33 ± 2.66 b | 85.00 ± 32.66 a | 62.51 ± 28.01 b |
| B2 | 63.77 ± 2.65 a | 3.92 ± 1.00 a | 5.92 ± 3.94 a | 70.98 ± 31.68 b | 86.01 ± 47.35 a | |
| B3 | 62.76 ± 2.30 a | 3.67 ± 0.93 ab | 4.94 ± 2.94 a | 71.35 ± 19.19 b | 74.10 ± 35.57 ab | |
| F value | S | 1.230 | 40.889 *** | 88.143 *** | 44.244 *** | 315.491 *** |
| V | 4.634 * | 427.299 *** | 1243.778 *** | 454.597 *** | 2759.831 *** | |
| V × S | 0.590 | 6.527 *** | 29.156 *** | 26.993 *** | 114.302 *** |
| Variety | Sowing Date | Absorption (%) | Formation Time (min) | Stability Time (min) | Softness (FU) | Powder Index |
|---|---|---|---|---|---|---|
| N16 | B1 | 61.58 ± 4.90 a | 4.04 ± 0.28 gh | 4.78 ± 0.51 ef | 76.33 ± 3.50 bcde | 75.07 ± 4.36 fg |
| B2 | 61.51 ± 1.86 a | 5.43 ± 0.40 def | 7.61 ± 0.62 de | 60.51 ± 2.71 f | 105.34 ± 4.95 bcd | |
| B3 | 61.48 ± 4.21 a | 5.96 ± 0.38 cdef | 7.42 ± 0.55 de | 61.44 ± 2.92 f | 102.08 ± 5.94 bcd | |
| B4 | 59.51 ± 2.93 a | 3.53 ± 0.40 h | 3.71 ± 0.27 f | 81.44 ± 6.93 bc | 58.52 ± 5.57 g | |
| Y15 | B1 | 61.63 ± 2.62 a | 3.80 ± 0.26 h | 5.16 ± 0.26 de | 78.62 ± 3.88 bcde | 76.07 ± 3.88 ef |
| B2 | 63.26 ± 3.06 a | 5.28 ± 0.27 ef | 6.71 ± 0.46 e | 68.26 ± 6.06 cdef | 96.63 ± 6.41 cd | |
| B3 | 61.79 ± 2.49 a | 5.02 ± 0.33 fg | 6.97 ± 0.29 de | 70.51 ± 3.93 bcdef | 92.51 ± 3.04 de | |
| B4 | 59.66 ± 2.23 a | 5.36 ± 0.27 ef | 7.43 ± 0.40 de | 72.98 ± 4.04 bcdef | 103.58 ± 6.12 bcd | |
| X37 | B1 | 63.95 ± 3.55 a | 5.07 ± 0.25 f | 5.14 ± 0.29 e | 103.11 ± 6.85 a | 76.19 ± 4.60 ef |
Disclaimer/Publisher’s Note: The statements, opinions and data contained in all publications are solely those of the individual author(s) and contributor(s) and not of MDPI and/or the editor(s). MDPI and/or the editor(s) disclaim responsibility for any injury to people or property resulting from any ideas, methods, instructions or products referred to in the content. |
© 2025 by the authors. Licensee MDPI, Basel, Switzerland. This article is an open access article distributed under the terms and conditions of the Creative Commons Attribution (CC BY) license (https://creativecommons.org/licenses/by/4.0/).
Share and Cite
Liu, J.; Shen, Y.; Zeng, C.; Zhang, J.; Shi, S.; Xue, L.; Jia, Y.; Li, J.; Liang, X. Effects of Sowing Time on Yield and Quality of Winter and Spring Wheat Varieties. Sustainability 2025, 17, 2479. https://doi.org/10.3390/su17062479
Liu J, Shen Y, Zeng C, Zhang J, Shi S, Xue L, Jia Y, Li J, Liang X. Effects of Sowing Time on Yield and Quality of Winter and Spring Wheat Varieties. Sustainability. 2025; 17(6):2479. https://doi.org/10.3390/su17062479
Chicago/Turabian StyleLiu, Jun, Yun Shen, Chaowu Zeng, Jinshan Zhang, Shubing Shi, Lihua Xue, Yonghong Jia, Jianjiang Li, and Xiaodong Liang. 2025. "Effects of Sowing Time on Yield and Quality of Winter and Spring Wheat Varieties" Sustainability 17, no. 6: 2479. https://doi.org/10.3390/su17062479
APA StyleLiu, J., Shen, Y., Zeng, C., Zhang, J., Shi, S., Xue, L., Jia, Y., Li, J., & Liang, X. (2025). Effects of Sowing Time on Yield and Quality of Winter and Spring Wheat Varieties. Sustainability, 17(6), 2479. https://doi.org/10.3390/su17062479
