Sign in to use this feature.

Years

Between: -

Subjects

remove_circle_outline
remove_circle_outline
remove_circle_outline
remove_circle_outline
remove_circle_outline
remove_circle_outline
remove_circle_outline
remove_circle_outline
remove_circle_outline

Journals

remove_circle_outline
remove_circle_outline
remove_circle_outline
remove_circle_outline
remove_circle_outline

Article Types

Countries / Regions

remove_circle_outline
remove_circle_outline
remove_circle_outline
remove_circle_outline
remove_circle_outline

Search Results (875)

Search Parameters:
Keywords = sowing time

Order results
Result details
Results per page
Select all
Export citation of selected articles as:
14 pages, 2830 KB  
Article
Effects of Different Tillage Measures on Soil Physical Properties, Organic Carbon Sequestration and Crop Production in Reclaimed Farmland Filled with Foreign Soil
by Xinsheng Wang, Jiaju Dong, Shouchen Ma, Zhenhao Gao, Huihao Liu and Shoutian Ma
Plants 2026, 15(8), 1239; https://doi.org/10.3390/plants15081239 - 17 Apr 2026
Abstract
A long-term positioning experiment was conducted from 2014 to 2021 to determine the appropriate tillage method for rapidly improving soil quality in reclaimed land. Four tillage methods were arranged before winter wheat sowing: deep tillage (DT), shallow tillage (ST), DT-ST alternate rotation (DST) [...] Read more.
A long-term positioning experiment was conducted from 2014 to 2021 to determine the appropriate tillage method for rapidly improving soil quality in reclaimed land. Four tillage methods were arranged before winter wheat sowing: deep tillage (DT), shallow tillage (ST), DT-ST alternate rotation (DST) and no tillage (NT). The results showed that: (1) with increasing reclamation years, ST, DT and DST had lower soil bulk density (SBD) and higher soil total porosity (STP) and soil capillary porosity (SCP) compared to NT. In the early stage of reclamation, ST had the lowest SBD and the highest STP and soil non-capillary porosity (NCP) in 0–20 cm soil layer, DT had the highest SCP and lowest NCP. In the 20–40 cm soil layer, DT has the lowest SBD and highest STP and SCP, followed by DST. In the late stage, SBD of each soil layer was NT > ST > DT > DST, while STP and SCP were NT < ST < DT < DST. (2) Different tillage methods influenced soil organic carbon (SOC) accumulation by affecting carbon sequestration rate (CSR). As opposed to NT, DT rapidly increased SOC of 0–40 cm soil layer in the early stages of reclamation, whereas DST facilitates maintaining higher SOC in the later stages. As compared to DT and DST, ST contributed more to SOC accumulation in surface soil, but less to SOC accumulation in deep soil. (3) Different tillage methods had various influences on SOC stratification ratio (SR). During the initial reclamation stage, NT had the lowest SR. Nevertheless, NT and ST maintained their high SR in the subsequent stage, whereas the SR of DT and DST experienced a notable decline due to the increase in SOC in deep soil. (4) It was observed that ST, DT and DST had higher grain yields compared with NT. The correlation analysis showed that DT improved soil properties by promoting SOC accumulation, increasing SCP and reducing NCP, thus increasing grain yield in the early stage of reclamation, while in the later stage of reclamation, DST can maintain better soil quality by reducing SBD and maintaining higher STP, SCP and SOC, and balanced the reasonable distribution of soil nutrients between the upper and lower soil layers by reducing SR of SOC, which helps the crop to maintain higher grain yields over time. Full article
Show Figures

Figure 1

20 pages, 2977 KB  
Article
Predicting AquaCrop-Simulated Durum Wheat Yield with Machine Learning: Algorithm Comparison and Agronomic Signal Convergence in the Capitanata Plain
by Pasquale Garofalo, Anna Rita Bernadette Cammerino and Maria Riccardi
Agriculture 2026, 16(8), 890; https://doi.org/10.3390/agriculture16080890 - 17 Apr 2026
Abstract
Durum wheat production in the Mediterranean basin faces increasing climate variability and thus the need for computationally efficient tools to support agronomic decision-making at regional scale. Process-based crop models such as AquaCrop provide mechanistically sound yield estimates but require substantial computation time when [...] Read more.
Durum wheat production in the Mediterranean basin faces increasing climate variability and thus the need for computationally efficient tools to support agronomic decision-making at regional scale. Process-based crop models such as AquaCrop provide mechanistically sound yield estimates but require substantial computation time when screening large numbers of soil–climate–management combinations. The present study addresses this constraint by developing and evaluating five machine learning (ML) surrogate models—Linear Regression (LR), Multilayer Perceptron (MLP), Support Vector Machine for regression (SMOreg), RandomTree, and Reduced Error Pruning Tree (REPTree)—trained to emulate the AquaCrop-GIS response surface for durum wheat (Triticum durum Desf.) grain yield across the Capitanata plain (Southern Italy). A dataset of 342 instances was constructed by crossing 25 soil profiles, three sowing dates, and two irrigation regimes across 15 climatic grid cells (2014–2023), evaluated by stratified 10-fold cross-validation. The MLP achieved the highest accuracy (R = 0.983; R2 = 0.966; RMSE = 0.083 t ha−1); the four interpretable models were clustered at R = 0.891–0.907 (RMSE = 0.192–0.203 t ha−1). All models converged on consistent agronomic signals: standard sowing (1 November) yielded +0.53 t ha−1 over late sowing (15 November), supplemental irrigation added +0.17 t ha−1, and fine-textured soils produced superior yields. The convergence of directional signals across linear, kernel-based, and tree-based architectures confirms that ML surrogates trained on process-model outputs can efficiently emulate AquaCrop response surfaces and deliver actionable management guidance for durum wheat producers and agricultural planners in Mediterranean dryland farming systems. Full article
Show Figures

Figure 1

22 pages, 1487 KB  
Article
Divergent Effects of Biochar Versus Straw Application on Soil Moisture and Temperature Dynamics During Maize Growth
by Zunqi Liu, Yuanyang Zhang, Ning Yang, Xuedong Dai, Qi Gao, Yi Zhang and Yinghua Juan
Agronomy 2026, 16(8), 805; https://doi.org/10.3390/agronomy16080805 - 14 Apr 2026
Viewed by 179
Abstract
The Changbai Mountain–Liaodong region is a crucial component of the global black soil belt in Northeast China and a significant national grain production base. However, like many high-latitude agricultural regions worldwide, it faces persistent challenges during the spring sowing period, including low soil [...] Read more.
The Changbai Mountain–Liaodong region is a crucial component of the global black soil belt in Northeast China and a significant national grain production base. However, like many high-latitude agricultural regions worldwide, it faces persistent challenges during the spring sowing period, including low soil temperatures and excessive moisture. Therefore, developing region-specific, effective methods of reducing soil moisture and increasing temperature while improving soil fertility is essential for improving agricultural productivity. To this aim, a field experiment was conducted with two factors: a main plot subjected to ridge tillage (RT) and flat tillage (FT) and subplots with biochar (BC) and straw (ST) amendments. A subplot with no amendment (CK) was used as a control. During maize growth, the daily soil temperature and moisture were monitored, and the soil water evaporation rates and physical structure, as well as the maize yield performance, were evaluated. The results showed that biochar and straw application significantly decreased the soil monthly water content by 1.69–2.22% (p < 0.05) in the surface soil layer (0–15 cm) from May to June, with a more pronounced effect under RT. In contrast, biochar application increased soil moisture and water storage from July to September, indicating that the influence of biochar on soil moisture depends on time and field aging processes. Biochar amendment raised the soil maximum temperature by 0.32–0.79 °C in the top 0–15 cm layer, while straw incorporation decreased the minimum soil temperature by 0.11–0.52 °C. The increase in soil temperature was primarily due to the biochar’s darker color, which facilitated solar radiation absorption, while the decrease in soil temperature was caused by the “Wind Leakage Effect” induced by the large particle size of the straw. Biochar and straw incorporation effectively enhanced maize dry matter accumulation by an average of 15.8% and 8.2%, respectively, and grain yield by 13.0% and 7.8%, respectively. Correlation analysis indicates that these increments are primarily due to enhanced soil moisture and available N content during the middle to late stages of maize growth. Therefore, the integration of straw and biochar with high-ridge cultivation is an effective strategy for excessive moisture reduction and warming in spring soil and it also contributes positively to maize yield. Full article
17 pages, 1688 KB  
Article
A Hybrid Deep Learning Model for Crop Yield Prediction Taking Weather Data Associated with Production Management Phases as Input
by Shu-Chu Liu, Yan-Jing Lin, Chih-Hung Chung and Hsien-Yin Wen
Sustainability 2026, 18(8), 3806; https://doi.org/10.3390/su18083806 - 11 Apr 2026
Viewed by 248
Abstract
Accurate crop yield prediction is fundamental to sustainable agricultural management, enabling optimized resource allocation and informed decision-making. However, a critical gap exists in current prediction models: existing approaches overlook the temporal alignment between meteorological conditions and production management phases—defined as the intervals between [...] Read more.
Accurate crop yield prediction is fundamental to sustainable agricultural management, enabling optimized resource allocation and informed decision-making. However, a critical gap exists in current prediction models: existing approaches overlook the temporal alignment between meteorological conditions and production management phases—defined as the intervals between consecutive agronomic operations (e.g., sowing, fertilization, thinning). This oversight results in suboptimal predictive performance, as conventional whole-season weather aggregation fails to capture phase-sensitive crop–weather interactions. While machine learning (e.g., XGBoost) and deep learning approaches (e.g., CNN, LSTM) have been applied to yield prediction, these models typically treat weather variables as temporally homogeneous inputs, inadequately modeling the correlation between historical yields and phase-specific meteorological patterns. To address this gap, this study proposes CNN-LSTM-AM, an innovative hybrid deep learning model that integrates convolutional neural networks (CNNs), long short-term memory (LSTM), and attention mechanisms (AMs), utilizing weather data explicitly aligned with production management phases as input. The CNN component extracts cross-phase weather patterns, the LSTM captures sequential dependencies across growth stages, and the attention mechanism dynamically weights phase importance based on meteorological conditions. The proposed model is validated using a real-world case study of Bok choy production from an agricultural cooperative in Yunlin County, Taiwan, encompassing 1714 production cycles over eight years (2011–2019). Experimental results demonstrate that CNN-LSTM-AM achieves an RMSE of 1448.24 kg/ha, MAPE of 3.60%, and R2 of 0.98, outperforming five baseline models—CNN (RMSE = 2919.18), LSTM (RMSE = 2529.74), CNN-LSTM (RMSE = 1516.44), LSTM-AM (RMSE = 2284.64), and XGBoost (RMSE = 3452.47)—representing a notable reduction in prediction error (58% lower RMSE) compared to XGBoost. Furthermore, prediction accuracy improves progressively as harvest time approaches, and phase-specific weather encoding enhances accuracy by 16.5% compared to whole-season averaging. These findings underscore the critical importance of integrating agronomic domain knowledge into data-driven prediction frameworks. Full article
(This article belongs to the Special Issue AI for Sustainable Supply Chain-Driven Business Transformation)
12 pages, 289 KB  
Article
Occurrence of Damage and Diseases in Early Maize (Zea mays L.) Varieties Depending on Sowing Date and Climatic Conditions
by Roman Wąsala, Piotr Szulc, Katarzyna Ambroży-Deręgowska, Przemysław Kardasz and Krzysztof Górecki
Agriculture 2026, 16(7), 802; https://doi.org/10.3390/agriculture16070802 - 3 Apr 2026
Viewed by 327
Abstract
To cope with the increasing pressure from diseases and pests under climate change, the effect of 6 maize sowing dates on the plant health of an ultra-early maize variety (Pyroxenia, FAO 130) was analyzed in studies conducted from 2016 to 2018. The assessment [...] Read more.
To cope with the increasing pressure from diseases and pests under climate change, the effect of 6 maize sowing dates on the plant health of an ultra-early maize variety (Pyroxenia, FAO 130) was analyzed in studies conducted from 2016 to 2018. The assessment of the response of the ultra-early variety to climate change will contribute to the identification of its predisposition to cultivation in terms of health recognition. The extent of plant damage caused by the frit fly (Oscinella frit L.), the European corn borer (Ostrinia nubilalis Hbn.), and the cereal leaf beetle (Oulema melanopus L.), as well as the severity of plant infection by Fusarium ear rot (Fusarium spp.) and maize smut (Ustilago maydis (D.C.) Corda), was assessed. Air temperature, precipitation, and the length of the growing period at individual sowing dates were also analyzed. The lowest level of insect damage and the highest level of disease infection were recorded in the final year of the study (2018), which was dry and had higher mean air temperature. Precipitation and temperature during the sowing dates ranged between 110.5 and 146.1 mm and 17.5 and 19.9 °C, respectively. The optimal sowing date for reducing maize losses caused by insect pests and diseases was found to be the earliest time points, i.e., between April 12 and 26. Full article
(This article belongs to the Section Crop Protection, Diseases, Pests and Weeds)
14 pages, 284 KB  
Review
Pregnant Pigs at Slaughter—An Overview of Legal and Ethical Frameworks, Reasons, Occurrence, and Fetal Age Determination
by Frauke Janelt, Johannes Kauffold, Ahmad Hamedy, Katharina Riehn and Philipp Maximilian Rolzhäuser
Animals 2026, 16(7), 1084; https://doi.org/10.3390/ani16071084 - 1 Apr 2026
Viewed by 442
Abstract
The slaughter of pregnant pigs raises legal, ethical, and animal welfare concerns in pig production. Relevant information for this overview was compiled from research identified through searches of PubMed, Web of Science, and Google Scholar using defined combinations of search terms related to [...] Read more.
The slaughter of pregnant pigs raises legal, ethical, and animal welfare concerns in pig production. Relevant information for this overview was compiled from research identified through searches of PubMed, Web of Science, and Google Scholar using defined combinations of search terms related to pregnancy, slaughter of sows, fetal age, gestational stage, and prevalence. No lower time limit for publication year was predefined; publications published up to 2025 were considered. Regulations vary widely between countries, with some specifying clear restrictions for animals in late gestation, while many provide no stage-specific limits. Reasons for culling include economic pressures, management practices such as unrecognized pregnancies and mixed-sex housing, and health or welfare issues. In Europe, the prevalence of sows being pregnant at slaughter ranges from 1.5% to 13%, with most fetuses being in the first or second trimester and a small proportion in the final trimester. In Africa, prevalence is higher and more variable, ranging from 9% to 36.14%, with a larger share of fetuses in mid to late gestation. Data from America is limited, reporting prevalences between 5.9% and 13.5%. The comparability of prevalence estimates is limited due to high heterogeneity and differences in study design. Fetal age can be assessed using metric or non-metric methods, applied either postmortem or in vivo (for example, ultrasonography). Variations in study design, methodology, and population characteristics restrict direct comparability. For legal enforcement and veterinary inspection, reliable fetal age assessment is important, and updated fetometric reference values could contribute to a more consistent interpretation of fetal age. Full article
(This article belongs to the Section Animal Reproduction)
17 pages, 1982 KB  
Article
Agronomic Efficiency of Alternative Potassium Sources, Rates, and Application Timing on Residual Effects for Maize in Savannah Region
by Mariana Cristina Barbosa, Bhim Bahadur Ghaley, Bruno Horschut Lima, Thiago Assis Rodrigues Nogueira, William Cesar Nishimoto Ito, Loiane Fernanda Romão de Souza, Guilherme Carlos Fernandes, Karina da Silva Souza, Edson Cabral da Silva, Carlos Eduardo da Silva Oliveira and Marcelo Carvalho Minhoto Teixeira Filho
Agrochemicals 2026, 5(2), 16; https://doi.org/10.3390/agrochemicals5020016 - 1 Apr 2026
Viewed by 253
Abstract
Silicate rocks represent alternative K sources when finely ground, reducing production costs and dependence on imported fertilizers. Therefore, this study aimed to evaluate the effects of potassium (K) dose, application timing, and fertilizer sources on the concentrations and accumulation of K, silicon (Si), [...] Read more.
Silicate rocks represent alternative K sources when finely ground, reducing production costs and dependence on imported fertilizers. Therefore, this study aimed to evaluate the effects of potassium (K) dose, application timing, and fertilizer sources on the concentrations and accumulation of K, silicon (Si), and sodium (Na) in maize diagnostic leaves, straw, and grains under a no-tillage system in Savanna. The soil was classified as Typic Haplustox (Oxisol). The experiment followed a randomized block design in a 2 × 4 × 3 factorial scheme, with two application times (30 days before sowing soybean and at sowing soybean), four K2O rates (0, 40, 80, and 120 kg ha−1), and three sources (KCl, Potasil, and Ekosil). K fertilization was applied by broadcasting without incorporation, before the preceding crop. Potasil provided a higher foliar Si concentration, and Si accumulation in grain and straw increased with the increment of K fertilization using the Potasil. Early fertilization promoted greater K accumulation in maize straw. For grain K accumulation, moderate K2O doses favor greater accumulation, with Ekosil and Potasil showing superior results compared to KCl. There was less sodium accumulation in the grains with Ekosil compared to KCl. Agronomic efficiency is maximized at 40 kg ha−1 of K2O, with Ekosil showing the best performance for maize crop. These findings indicate that alternative K sources, applied at optimized rates, improve crop nutrition and promote sustainability in soybean–maize crop rotation. Full article
(This article belongs to the Section Fertilizers and Soil Improvement Agents)
Show Figures

Graphical abstract

22 pages, 1675 KB  
Article
Effects of Environmental and Agronomic Factors on the Dispersal of Multiple Resistant Lolium rigidum in Malt Barley Fields of Northern Greece
by Dimitra Doulfi, Garyfallia Economou, Dionissios Kalivas and Ilias G. Eleftherohorinos
Agronomy 2026, 16(7), 728; https://doi.org/10.3390/agronomy16070728 - 31 Mar 2026
Viewed by 262
Abstract
In this study, a survey was conducted in 14 fields (6 in Thessaloniki and 8 in Serres) before barley harvest during three growing seasons (2019–20, 2020–21, 2021–22) to map the occurrence of ACCase and ALS multi-resistant populations and evaluate the influence of agronomic [...] Read more.
In this study, a survey was conducted in 14 fields (6 in Thessaloniki and 8 in Serres) before barley harvest during three growing seasons (2019–20, 2020–21, 2021–22) to map the occurrence of ACCase and ALS multi-resistant populations and evaluate the influence of agronomic practices and environmental conditions on their dynamics. Specifically, weed cover and tiller number/plant were assessed in each field using a W pattern, while questionnaires were used to collect information from farmers on agronomic practices applied, such as seedbed preparation, the rate of fertilization at sowing, the time of sowing, the time and rate of top-dressing nitrogen fertilizer, the time of application of the herbicide pinoxaden, and the harvest time. Soil properties and climatic conditions were also recorded. These results indicated that regardless of the different agricultural practices applied in the fields of the studied regions, no significant association was found with L. rigidum’s ground cover or number of tillers/plant. Additionally, no association was identified between weed ground cover and climatic characteristics. Therefore, the findings of this study strongly support the dependence of the dispersal of the resistant strain L. rigidum on the interactions between genetic, biological, and soil factors; fertilizer or herbicide use; sowing or other agronomic practices; and climatic factors that drive resistance dynamics, rather than any individual practice alone. Full article
(This article belongs to the Section Weed Science and Weed Management)
Show Figures

Figure 1

15 pages, 1606 KB  
Article
Autumn Sowing and Site-Adapted Harvest Timing Stabilize Rubber Yield in Taraxacum kok-saghyz
by Heike Pannwitt, René Kaiser, Helge Flüß and Katja Thiele
Agronomy 2026, 16(7), 726; https://doi.org/10.3390/agronomy16070726 - 31 Mar 2026
Viewed by 240
Abstract
To mitigate supply risks associated with Hevea brasiliensis, Taraxacum kok-saghyz is being developed as a promising temperate source of natural rubber. For it to be successfully integrated into conventional cropping systems, optimized agronomic practices are required. The present study investigates the effects [...] Read more.
To mitigate supply risks associated with Hevea brasiliensis, Taraxacum kok-saghyz is being developed as a promising temperate source of natural rubber. For it to be successfully integrated into conventional cropping systems, optimized agronomic practices are required. The present study investigates the effects of sowing season (spring vs. autumn) and harvest timing (June–October) on rubber yield, determined by root dry weight and rubber content. Field trials were conducted at two contrasting locations in Germany using wild-type T. kok-saghyz and the interspecific hybrid ‘Hyb207’. Root dry weight accumulation was influenced by genotype, sowing season, harvest date and site conditions. Despite this variability, autumn sowing increased modeled root dry weight by approximately 81% and rubber content by 84% on average compared to spring sowing. In addition, autumn-sown plants reached peak root dry weight earlier in the season than their spring-sown counterparts. These results demonstrate that strategic selection of sowing and harvest windows is critical for optimizing yield formation. Site-specific management strategies can enhance biomass production and facilitate the integration of Tks into temperate cropping systems. Full article
(This article belongs to the Section Farming Sustainability)
Show Figures

Figure 1

19 pages, 7460 KB  
Article
Transcriptional Response of Rice Mesocotyl Elongation to Sowing Depth and Identification of Key Regulatory Factors
by Ya Wang, Dong Liu, Mengjuan Ma, Ming Li, Jing Fu, Fengjiang Yu, Qiulin Li, Yuetao Wang, Fuhua Wang, Liyu Huang and Haiqing Yin
Genes 2026, 17(4), 382; https://doi.org/10.3390/genes17040382 - 27 Mar 2026
Viewed by 389
Abstract
Background/Objectives: Having longer mesocotyls is beneficial for the deep-sowing tolerance of rice, which is important for seedling establishment. Methods: Here, we performed transcriptome analysis of the elongating mesocotyl of Zhengdao 209 in response to three different sowing depths to identify the pivotal genes [...] Read more.
Background/Objectives: Having longer mesocotyls is beneficial for the deep-sowing tolerance of rice, which is important for seedling establishment. Methods: Here, we performed transcriptome analysis of the elongating mesocotyl of Zhengdao 209 in response to three different sowing depths to identify the pivotal genes regulating rice mesocotyl elongation. Results: Three groups with different mesocotyl lengths were compared using transcriptome analysis, and 60 common differentially expressed genes were detected. Gene Ontology and Kyoto Encyclopedia of Genes and Genomes enrichment analyses revealed that these genes are primarily involved in phenylpropanoid biosynthesis, cutin suberine and wax biosynthesis, the plant mitogen-activated protein kinase signaling pathway, diterpenoid biosynthesis, cyanoamino acid metabolism, carbon fixation in photosynthetic organisms, flavonoid biosynthesis, and glutathione metabolism. Furthermore, weighted gene co-expression network and hierarchical clustering analyses showed that most of the differentially expressed genes are implicated in phenylpropanoid biosynthesis, carbon metabolism, photosynthesis antenna proteins, and plant–pathogen interactions. Among the genes involved in phenylpropanoid biosynthesis processes, the expression levels of OsPHT3 and LOC_Os04g59260 increased, while OsCCR1, OsPGIP4, and LOC_Os01g45110 expression decreased with increasing sowing depth. Among the genes involved in the mitogen-activated protein kinase signaling pathway, the expression levels of LOC_Os07g03319 and LOC_Os07g03580 increased, while LOC_Os07g03409 decreased with increasing sowing depth. Among the genes involved in diterpenoid biosynthesis processes, the expression levels of OsCYP76M5 and OsCYP71Z2 decreased, while OsCYP71Z21 increased with increasing sowing depth. Furthermore, the expression levels of these genes were analyzed using quantitative real-time polymerase chain reaction, which confirmed the transcriptome analysis results. Conclusions: This study identified candidate genes governing rice mesocotyl length and provides novel insights into the molecular regulatory mechanisms underlying mesocotyl elongation in rice. Full article
(This article belongs to the Section Plant Genetics and Genomics)
Show Figures

Figure 1

19 pages, 3185 KB  
Article
Sown Summer-Blooming Wildflowers as a Tool to Support Pollinator Biodiversity During Dry Periods in Mediterranean Agroecosystems
by Stefano Benvenuti
Plants 2026, 15(6), 887; https://doi.org/10.3390/plants15060887 - 12 Mar 2026
Viewed by 401
Abstract
Summer abiotic stresses typical of Mediterranean agro-environments, now exacerbated by climate change, reduce floral resource availability and further compromise the survival of pollinators already threatened in the so-called Anthropocene. The aim of this study was to evaluate several summer-blooming wildflower species, collected from [...] Read more.
Summer abiotic stresses typical of Mediterranean agro-environments, now exacerbated by climate change, reduce floral resource availability and further compromise the survival of pollinators already threatened in the so-called Anthropocene. The aim of this study was to evaluate several summer-blooming wildflower species, collected from ecologically disturbed and diversified habitats, in order to assess their ecological role in attracting pollinators within agroecosystems. The primary dormancy typical of wild species seeds was partially overcome through appropriate pre-sowing seed treatments, while secondary dormancy was reduced by soil rolling after sowing. Soil rolling proved particularly beneficial for species with very small seeds, highlighting the importance of adequate seed–soil contact for successful establishment. All tested species exhibited summer flowering between May and July, with some flowering later in the season, and showed high attractiveness to pollinators both in terms of abundance and taxonomic diversity. However, this ecosystem service declined significantly in the second year, although certain species demonstrated a strong capacity to persist and to maintain satisfactory pollinator attractiveness over time. In conclusion, while the experiment revealed several critical aspects, it also provides encouraging prospects for further research aimed at enhancing pollinator survival in agroecosystems that are severely threatened by pollinator decline. Full article
(This article belongs to the Special Issue Interaction Between Flowers and Pollinators)
Show Figures

Figure 1

23 pages, 1677 KB  
Article
Effects of a Glycosylated Form of Active Vitamin D Combined with Natural Triterpenes on Sow Productive Performance, Mineral Homeostasis, Immune Biomarkers and Serum Proteome
by Luca Marchetti, Raffaella Rebucci, Carlotta Giromini, Elisa Margherita Maffioli, Gabriella Tedeschi and Valentino Bontempo
Vet. Sci. 2026, 13(3), 246; https://doi.org/10.3390/vetsci13030246 - 5 Mar 2026
Viewed by 356
Abstract
This study evaluated the effects of the dietary administration of a glycosylated form of active vitamin D (calcitriol, 1,25(OH)2D3) combined with ursolic acid (UA) and oleanolic acid (OA) triterpenes on sow health and productivity. Twenty-four third-parity Landrace × Large [...] Read more.
This study evaluated the effects of the dietary administration of a glycosylated form of active vitamin D (calcitriol, 1,25(OH)2D3) combined with ursolic acid (UA) and oleanolic acid (OA) triterpenes on sow health and productivity. Twenty-four third-parity Landrace × Large White sows were allocated at day 108 of gestation into three groups: a control group receiving 1800 IU/kg of vitamin D3, and two treatment groups receiving the control diet supplemented with either 0.64 µg/kg (ACTD1) or 0.96 µg/kg (ACTD2) of glycosylated 1,25(OH)2D3 plus 140 or 210 µg/kg of UA + OA (4:1 ratio), respectively. Diets were administered from late gestation through the end of lactation. Farrowing duration, sow body weight, backfat thickness, and litter growth were recorded. Blood samples collected at key physiological stages were analyzed for pro-inflammatory cytokines, mineral homeostasis, endocrine markers, and serum proteome. Farrowing time was reduced in both treatment groups compared with the control (p < 0.05). Treated sows exhibited lower backfat thickness at the end of lactation and improved litter weights at farrowing, after cross-fostering, and at weaning (p < 0.05). Plasma pro-inflammatory cytokines (TNF-α, IL-1α, and IL-1β) were reduced at the end of lactation in ACTD1 and ACTD2 sows, with TNF-α and IL-1β already decreased after farrowing (p < 0.05). Treated sows also displayed decreased plasma parathormone concentrations at the end of lactation, along with increased circulating 1,25(OH)2D3 and calcium concentrations after farrowing and at lactation end (p < 0.05), while plasma phosphate levels remained unchanged. Proteomic analysis supported the systemic availability of the supplemented compounds and their involvement in metabolic and inflammatory pathways rather than calcium transport or vitamin D binding mechanisms. Overall, this nutritional strategy influenced the immune modulation while maintaining mineral homeostasis via modest endocrine adaptations. Larger-scale trials are warranted to confirm these results and to evaluate their practical applicability under commercial production conditions. Full article
(This article belongs to the Special Issue Nutritional Strategies to Improve Animal Health and Immunity)
Show Figures

Figure 1

21 pages, 3910 KB  
Article
Edge-AI Enabled Acoustic Monitoring and Spatial Localisation for Sow Oestrus Detection
by Hao Liu, Haopu Li, Yue Cao, Riliang Cao, Guangying Hu and Zhenyu Liu
Animals 2026, 16(5), 804; https://doi.org/10.3390/ani16050804 - 4 Mar 2026
Viewed by 421
Abstract
Timely and accurate detection of sow oestrus is crucial for enhancing reproductive efficiency and reducing non-productive days (NPDs) in large-scale pig farms. However, traditional manual observation is labour-intensive and subjective, while cloud-based deep learning solutions face challenges such as high latency and privacy [...] Read more.
Timely and accurate detection of sow oestrus is crucial for enhancing reproductive efficiency and reducing non-productive days (NPDs) in large-scale pig farms. However, traditional manual observation is labour-intensive and subjective, while cloud-based deep learning solutions face challenges such as high latency and privacy risks when applied in intensive housing environments. This study developed an edge-intelligent monitoring system that integrates deep temporal modelling with sound source localisation technology. A three-stage hierarchical screening strategy was utilised to select and deploy a lightweight Stacked-LSTM model on the resource-constrained ESP32-S3 hardware platform. This model was trained and calibrated using a high-quality acoustic dataset validated against serum reproductive hormones, specifically follicle-stimulating hormone (FSH), luteinising hormone (LH), and progesterone (P4). Experimental results demonstrate that the optimised model achieved a classification accuracy of 96.17%, with an inference latency of only 41 ms, thereby fully satisfying the stringent real-time monitoring requirements while maintaining a minimal memory footprint. Furthermore, the system integrates a localisation algorithm based on Generalised Cross-Correlation with Phase Transform (GCC-PHAT). Through spatial geometric modelling, the system successfully implements the functional mapping of vocalisation events to individual gestation stalls (Stall IDs). Laboratory pressure tests validated the robustness and low-cost deployment advantages of the “edge recognition–cloud synchronization” architecture, providing a reliable technical framework for the precision management of smart livestock farming. Full article
(This article belongs to the Section Animal Reproduction)
Show Figures

Figure 1

18 pages, 1965 KB  
Article
Effects of Different Heading Dates on Agronomic and Yield-Related Traits Under Salt Stress in Rice
by Sadia Afrin, Sayuri Ito, M M Emam Ahmed, Shuto Ogino, Asami Tomita and Yoshihiko Hirai
Crops 2026, 6(2), 28; https://doi.org/10.3390/crops6020028 - 2 Mar 2026
Viewed by 379
Abstract
Salinity is a major abiotic stress limiting rice production worldwide. This study aims to elucidate the effects of heading date on salt tolerance in rice. Five near-isogenic lines (NILs) developed from the SL2038/Koshihikari backcross population were grown with or without salt stress. SL2038 [...] Read more.
Salinity is a major abiotic stress limiting rice production worldwide. This study aims to elucidate the effects of heading date on salt tolerance in rice. Five near-isogenic lines (NILs) developed from the SL2038/Koshihikari backcross population were grown with or without salt stress. SL2038 is a salt-tolerant line with delayed heading (~18 days) compared to the salt-sensitive background Koshihikari. The results showed that late-heading NILs produced significantly higher plant dry weight, panicle weight, percentage of filled grains, and grain weight (p < 0.05) under long-term salt stress. In Koshihikari, which exhibited delayed heading due to long-day treatment, the percentage of white heads was low, and panicle and grain weights were significantly higher under salt stress. Experiments with different sowing times indicated that late heading, such as sowing in June, resulted in higher grain weights. This is the first report to assess the impact of heading date on agronomic and yield-related traits under salt stress. In conclusion, even with a prolonged salt treatment period, heading during periods of low temperature and solar radiation results in higher grain weight under salt stress. This is proposed as one of the strategies for salt escape. These findings can be used to improve rice yield and implement crop management in salt-affected regions. Full article
Show Figures

Figure 1

18 pages, 4147 KB  
Article
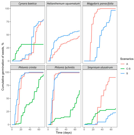
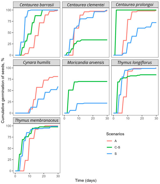
Towards More Resilient Urban Landscapes: Optimal Sowing Season of 16 Native Mediterranean Species for Planting Designs
by Silvia Villegas-Navarro and Ana María Sánchez
Plants 2026, 15(5), 766; https://doi.org/10.3390/plants15050766 - 2 Mar 2026
Viewed by 410
Abstract
Cities increasingly face the impacts of global change, demanding innovative approaches in species selection and management to create more adapted and resilient urban landscapes. The incorporation of native Mediterranean flora into planting design offers an opportunity for certain Mediterranean cities to achieve this [...] Read more.
Cities increasingly face the impacts of global change, demanding innovative approaches in species selection and management to create more adapted and resilient urban landscapes. The incorporation of native Mediterranean flora into planting design offers an opportunity for certain Mediterranean cities to achieve this by selecting species according to their ecological feasibility and aesthetic impression throughout the year. This study constitutes a first step towards understanding the germination behaviour of 16 native Iberian plant species, with potential for use in urban planting through direct seeding. Species were selected for their ecological feasibility in Mediterranean urban environments and to maximise functional diversity in growth forms, phenology, and other vegetative and reproductive traits, thereby supporting biodiversity and ecosystem resilience. Controlled germination trials were used to evaluate germination percentage and mean germination time of 16 species under temperature and light conditions that simulated autumn and spring, the main Mediterranean germination seasons, and spring-like conditions following cold stratification. The results revealed variability in seed germination among scenarios and species, indicating diverse and contrasting germination strategies. The majority of species achieved their highest final germination percentage under the autumn scenario. Germination speed was also strongly scenario-dependent, with several species completing germination within 10 days, and cold stratification reducing the mean germination time of the most responsive species. Based on these findings, a functional classification is proposed to guide the optimal sowing season. Although autumn appears to be the most favourable time for seed sowing, species-specific germination patterns must be considered to ensure successful establishment and the effective inclusion of each species in seed mixtures. Full article
(This article belongs to the Special Issue Plants for Biodiversity and Sustainable Cities)
Show Figures

Figure 1

Back to TopTop