Next Article in Journal
Effects of Sowing Time on Yield and Quality of Winter and Spring Wheat Varieties
Previous Article in Journal
Is Digital Literacy a Moderator Variable in the Relationship Between Financial Literacy, Financial Inclusion, and Financial Well-Being in the Ecuadorian Context?
 
 
Font Type:
Arial Georgia Verdana
Font Size:
Aa Aa Aa
Line Spacing:
Column Width:
Background:
Article

Farmers’ Insights and Practices on Sustainable Soil Nutrient and Pest Management in Semi-Arid Eastern Africa

by
David Ojuu
1,*,
Angela G. Mkindi
1,
Akida I. Meya
1,
Richard A. Giliba
1,
Steven Vanek
2 and
Steven R. Belmain
3
1
School of Life Sciences and Bioengineering, The Nelson Mandela African Institution of Science and Technology, Arusha P.O. Box 447, Tanzania
2
Department of Soil and Crop Sciences, Colorado State University, Fort Collins, CO 80523, USA
3
Natural Resources Institute, University of Greenwich, Chatham Maritime, Kent ME4 4TB, UK
*
Author to whom correspondence should be addressed.
Sustainability 2025, 17(6), 2478; https://doi.org/10.3390/su17062478
Submission received: 18 November 2024 / Revised: 19 February 2025 / Accepted: 6 March 2025 / Published: 12 March 2025
(This article belongs to the Section Sustainable Agriculture)

Abstract

The need to increase agricultural production for food, fiber, and feed for a growing population is a global call. Sub-Saharan Africa currently experiences declining soil fertility and increasing pest pressures affecting agricultural production. Soil fertility and pest management practices tend to vary greatly among smallholder farmers due to farm-based limitations, attitudes, and perceptions. Using focus group discussions and individual farmer interviews, we evaluated the socio-economic factors influencing the production and utilization of nutrient resources by smallholder farmers. We also assessed factors for pest prevalence and management by smallholder farmers. We observed that the major organic nutrient fertilizer resources used by farmers are farmyard manure and crop residue recycling. The production and utilization of organic nutrient fertilizer resources vary according to agroecological zone, influenced by livestock ownership, grazing management, and farmer organization; Farmer Research Network farmers show optimal use of nutrient resources compared to non-Farmer Research Network farmers. Pest problems varied across agroecologies and were influenced by field management gradients. We noted that FRN farmers used ecologically relevant pest management approaches more frequently than non-FRN farmers. Our findings on nutrient resources and pest management highlight context-specific issues to leverage to promote agroecological approaches for agricultural productivity and resilient semi-arid landscapes.

1. Introduction

The human population is increasing rapidly and may rise to 9.7 billion by 2050 [1]. The increasing population will require increased agriculture production to provide for food, feed, fiber, and energy needs. The need for increased agricultural production comes with a high demand for land-based goods and services, consequently contributing to land degradation and negative ecosystem resilience [2]. Currently, sub-Saharan Africa (SSA) experiences the degradation of arable land in the form of declining soil fertility and declining biological and physical qualities of soil [3]. Land degradation in SSA is predicted at 65% and even higher rates in the next 2–3 decades [4], and the region continues to experience unprecedented negative nutrient balances [5]. The increasing trend of land degradation in SSA is linked to several biophysical and socio-economic factors that are coupled with limited uptake of more effective soil fertility management technologies and practices [2]. For example, nutrient exports are associated with crop harvests among smallholder farmers and these exports are not replaced [6,7]. A majority of smallholder farmers remain challenged by limited access to fertilizer and other resources to replenish soil nutrients [8].
Despite these challenges to smallholder sustainability, studies show that a large proportion of smallholder farmers in SSA utilize agroecological approaches for soil fertility management that make use of local resources and natural processes. Examples of these practices include application of cattle manure [9,10], recycling of crop residues, intercropping with legumes [11,12], and application of leaf litter and plant residues collected from local forests and field margins [13]. Recycling organic nutrient resources has the potential to improve soil organic matter, soil nutrients, and overall soil health in smallholder fields [14,15].
However, the organic nutrient resources generated on farmsteads are often inadequate [16] and recommended application rates are rarely achieved by resource-poor smallholder farmers [17]. Besides small quantities, organic nutrient sources may also be of poor quality [7,18,19] due to poor animal nutrition and poor organic resource management [20]. Further, management practices for crop residues vary across different farmer contexts, as some farmers retain all the crop residues in the field and incorporate them in the soil after harvesting while others transport them to their homesteads as additional fodder, fuel wood, and construction materials [21,22]. These practices have trade-offs with nutrient stocks in agricultural fields and soil health [23].
Numerous studies, e.g., [12,24,25,26], have reported key determinants of organic nutrient resource use and management, focusing on the resource status of farmers and socio-cultural factors such as adherence to the social norms of managing on-farm nutrient resources. These highlight the significant importance of how nutrient resource management can address soil health challenges, improving the ecological and environmental resilience of vulnerable smallholder farmers. However, resource management practices within farms can have effects on soil fertility, for example, crop residue movements that favor the allocation of bio-inputs to certain crops based on their socio-economic importance [2].
The traditional gender stereotypes associated with the production of certain crops influence labor distribution for land and crop management [27], while the level of farmer engagement in knowledge systems influences farm decisions on the use of sustainable soil fertility and crop management technologies [28]. Therefore, understanding the influence of different factors such as socio-economics, environmental variability, decision-making, and knowledge access on organic nutrient resource management is critical for promoting socio-economic and ecological approaches for sustainable soil health and crop productivity.
Besides soil fertility challenges, smallholder farmers are confronted with increasing pest pressures and drought conditions exacerbated by climate change [29]. Field insect pests such as stem borers (Busseola fusca, Chilo partellus, and Eldana saccharina) remain devastating for cereal crops [30], causing yield losses of up to 88% [29,30]. The management of pest problems using synthetic pesticides among smallholders in SSA is often less practiced due to resource constraints and limited knowledge of appropriate usage, as well as a poor understanding of ecological factors to guide effective management decisions. Traditionally, smallholder farmers have relied on the use of local resources such as pesticidal plant extracts or wood ash to manage pests [31]. Similarly, farmers in their unique settings perform landscape management practices such as preserving field margins, planting field border crops and trees that enhance biodiversity, and conserving biological control [32,33]. These practices are economically sustainable for resource-limited farmers and support ecological processes of pest management at the field and landscape levels. However, the use of these approaches and practices can vary widely among semi-arid smallholder farmers due to farm-based limitations, as well as farmers’ attitudes and perceptions associated with certain practices. This information is currently limited with regard to the sorghum-based agroecologies of smallholder farmers in the semi-arid regions of Eastern Africa.
In view of the complex management contexts and constraints faced by smallholder farmers in East Africa, our research was designed with the following objectives: (i) To examine socio-economic factors that influence the production and utilization of organic nutrient resources among smallholder farmers in the semi-arid regions of Eastern Africa. (ii) To determine the extent to which smallholder farmers in cereal-based farming systems engage in the production of different bio-inputs to meet their soil fertilization needs. (iii) To determine the agronomic and ecological factors that influence the prevalence and management of field insect pests in sorghum production in eastern Uganda and central Tanzania. In line with these objectives, our study was designed with the following hypotheses: (i) The extent of the production and utilization of on-farm nutrient fertilizer resources among smallholder farmers is affected by their economic status and participation in intensive knowledge platforms. (ii) Smallholder farmers who face limitations in access to and the utilization of fertilizer nutrient sources engage in the local biotransformation of existing organic matter resources to meet their soil fertilization needs. (iii) The application of agronomic and environmental practices by smallholder farmers affects the prevalence of sorghum field pests in semi-arid areas.

2. Materials and Methods

2.1. Description of Study Locations

The study locations lie in the semi-arid belts of Uganda and Tanzania, including the eastern Ugandan districts of Soroti (1.60–2.00° N, 33.40–33.80° E) and Pallisa (1.10–1.20° N, 33.40–33.80° E) and the Central Tanzania district of Singida (4.40–5.00° S, 34.60–35.40° E) (Figure 1). The study locations represent unique ecological and socio-economic characteristics for cereal–legume–livestock production systems in semi-arid regions of Eastern Africa.
The Soroti district lies at an average elevation of 1000–1100 m above sea level (m asl). The soils are vertic clays and sandy loams with rock outcrops. Soroti receives two rainy seasons [34] with an annual rainfall of 1200–1500 mm and mean daily temperatures varying between 18.0 and 31.3 °C [35]. The major cereal crops produced include finger millet (Eleusine coracana), sorghum (Sorghum bicolor), and maize (Zea mays) for both food and income [36]. Mixed agriculture (crops and livestock) is practiced across the district. Soils are of poor to low productivity [37].
The Pallisa district varies in elevation from 1050 to 1190 m asl and is characterized by wide, gently convex interfluves separated by swamps [7,34]. The district receives annual rainfall of between 900 and 1500 mm with a mean temperature of 32.5 °C [38]. The dominant soils in uplands are ferralsols, while valley bottoms exhibit dystric fluvisols [39]. Farmers mainly grow cereals such as sorghum, millet, and maize in rotation with legumes such as cowpeas (Vigna unguiculata) and green gram (Vigna radiata) in both the first and second rainy seasons [37]. In the majority of districts with drier conditions, raising livestock is the main activity [39].
The Singida district lies at an altitude of 1000–1650 m asl. The district is characterized by unimodal and erratic rains of up to 800 mm/annum stretching from December to March/April. The landscape is characterized by undulating plains with rocky hills and low scarps. The soils are of good drainage and low inherent fertility and underlaid by hardpan. Due to variable moisture levels, soils tend to be saline and display shrink and swell properties [40]. At the basement of rock outcrops, sandy colluvial soils are formed. The agricultural landscape is characterized by 60% crop farming and 40% agro-pastoralism. Cereal crops such as sorghum, millet, and maize form the main staples for farmers [41].
The survey adopted purposive cluster sampling of participants in these three regions [42]. Two clusters were considered; the first cluster involved participants in projects using a Farmer Research Network (FRN) approach [43]. FRN participants engage in trials on soil fertility management options and ecological pest and disease management in cereal production. They also receive customized training on soil health management and ecological pest and disease management. The second cluster included households that belong to community groups such as self-help groups and farmer groups organized by non-governmental organizations and local governments, with all groups actively involved in cereal crop production. In each cluster, a household was considered a basic sampling unit. Simple random sampling of households was performed using records of FRN projects and with the help of local council leadership, respectively. In each district, the distance between clusters was determined using a geographic information system (GIS) and by measuring the distance from the nearest FRN member to the nearest non-FRN member using the distance to the nearest hub (points) tool. The calculated distances between clusters are 990 m, 12,050 m, and 3210 m for Pallisa, Soroti, and Singida, respectively.

2.2. Data Collection

Data collection involved two stages. Stage one involved qualitative focus group discussions (FGDs) and stage two consisted of structured household interviews. The FGDs were composed of 10–12 farmers of mixed gender and age groups [44] and active farmers of cereals and legumes who kept livestock. The FGD tool was designed with open-ended questions to facilitate discussion on the following themes: accessibility, utilization, and management of soil fertility resources at the farm level, existing biofertilizers/ bioinoculants and their use, and the existing knowledge of and practices for sorghum field pest management. Each FGD session was facilitated by two researchers who were conversant in the local language and well-versed in the agricultural practices of the region [12]. Each FGD session lasted at least 2 h. When no new information emerged from the FGDs, the discussions were stopped as this was considered to be the saturation point [45]. During the FGDs, consent to audio record the discussions was sought from participants. Recordings of discussions were taken in the local language and later translated into English during transcription [46]. In each district, a total of four FDGs were conducted, whereby two FGDs were held with FRN participants and two FGDs with non-FRN participants. Overall, 12 FGDs were conducted across the three districts of this study. After the FGDs were conducted, the household survey data tool was further refined [46] and programmed in the Open Data Kit survey platform ((ODK); Harvard Humanitarian Initiative, 2018). A total of 413 interviews were conducted (Singida = 132, Soroti = 137, and Pallisa = 144).

2.3. Data Analysis

Qualitative data from the FGDs were transcribed, coded, and analyzed based on the key themes of this study. To generate the farm nutrient resource flow maps of a representative farm household, a graphical interface freeware; STAN (SubsTance flow Analysis, version 2.7.101) [47], was used. Quantitative data from the ODK survey (kobo collect database) were downloaded, cleaned, and transferred to R statistical software (R Core Team, 2019). Data analysis involved a combination of chi-squared tests, gamma regression analysis, multinomial regression analysis, and descriptive statistics to uncover patterns, relationships, and significant differences in the collected data.
Chi-squared tests were used to determine the significance of differences in the distribution of categorical variables across different groups. This technique was applied to variables such as gender, marital status, education level, age, types of organic nutrient resources used, barriers to using organic manure types, the prevalence of sorghum field pests, pest management measures, and environmental factors contributing to pest prevalence.
Gamma regression analysis was employed to examine factors influencing the amount of manure produced and used by farmers. This technique is suitable for modeling continuous, positively skewed data, providing insights into how various independent variables affect manure production and usage. Meanwhile, to investigate the factors influencing the categorical ranges of organic manure and the bioinoculant amounts applied to crops from surveys, multinomial regression analysis was utilized. This technique models the relationship between a categorical dependent variable with more than two levels and one or more independent variables, elucidating the influence of multiple factors on categorical outcomes with several possible categories. Finally, descriptive statistics were calculated to assess the distribution of demographic characteristics and the prevalence of various practices and challenges to their use for respondents. Frequencies and percentages highlighted the most common responses and practices in the surveyed districts.

3. Results

3.1. Demographic Characteristics of Respondents

The distribution of respondents across the districts reveals several notable patterns (Table 1). There was a higher percentage of female respondents in all districts, with Soroti having the highest proportion (67.2%), followed by Singida (59.8%) and Pallisa (56.2%). The chi-squared test for gender distribution showed no significant difference (χ2 = 3.6202, df = 2, p = 0.1636), suggesting gender distribution was relatively consistent across the districts. A majority of respondents were married, (92.4% in Pallisa, 84.1% in Singida, and 82.5% in Soroti). Widowed respondents were more prevalent in Singida (9.85%) compared to Pallisa (4.17%) and Soroti (8.76%). Soroti had a slightly higher percentage of divorced/separated respondents (6.57%) than Singida (3.79%) and Pallisa (2.78%). Cohabiting respondents and those who had never married were minimal across all districts.
The chi-squared test for education levels showed disparities in education levels among the districts (χ2 = 62.5, df = 10, p < 0.001) (Table 1). Singida had the highest percentage of respondents with primary education (86.4%), while Soroti had the highest percentage with no formal education (25.5%). The chi-squared test for the age distribution was not significant (χ2 = 7.25, df = 8, p = 0.51), suggesting that the age distribution was relatively uniform, but the 41–50 age group was the most represented, with Pallisa (33.3%), Singida (31.1%), and Soroti (31.4%) showing similar patterns. The 31–40 and 51–60 age groups were notable, particularly in Singida (25%) and Soroti (27%).
Livestock ownership calculated in terms of tropical livestock units (TLUs) [48] varied greatly across the three districts, with Singida having the highest TLUs (8.12), followed by Soroti (4.23) and Pallisa (4.01) (Table 1). The amount of cattle manure used by farmers across the three districts differed significantly, with Singida farmers using the highest amount of manure in crop production, while Soroti and Pallisa farmers used lower amounts of cattle manure. Among the farmer organization categories, non-FRN members applied more manure/acre than their FRN counterparts in the Singida and Soroti districts. However, in Pallisa, FRN farmers used more cattle manure than their non-FRN counterparts.

3.2. Farm Organic Nutrient Fertilizer Resource Utilization for Soil Fertility Management

Livestock grazing in crop fields after the crop harvest is the predominant practice of managing crop residues in cereals (Table 2. Quotes 1–3). Residues are also transported to homesteads for livestock feeding and for fuel wood (quotes 4 and 8). Crop residues together with manure deposited by grazing animals are plowed in the field to help with fertilizing fields (Table 2. Quotes 3 and 12). Crop residues after threshing at home are either burnt or deposited at the homestead margins and the decision is made by women (Table 2. Quotes 14–15). In Soroti, fields that show the lowest soil fertility are set for intensive grazing through tethering and night holding units for cattle (quotes 6–7). Manure collection is a joint activity for household members but the responsibility of transporting and applying manure rests on men and boys (Table 2. Quotes 13 and 16). The amount of manure applied to fields depends on the amounts available, the soil’s fertility status, and ease of transportation, as well as the grazing system (Table 2. Quotes 10, 2, and 5).
Using sorghum as a case study for cereal crop production in Soroti (Figure 2), Pallisa (Figure 3), and Singida districts (Figure 4), the analysis of nutrient resource inflows and outflows from crop fields showed that there was a similarity in soil nutrient resource inputs to sorghum fields in the districts of Soroti and Pallisa. The soil nutrient resource inputs were limited to animal manure application, manure deposition by grazing and tethered animals, and the incorporation of crop residues. However, in the Singida district, besides manure application and deposition by grazing animals as major nutrient fertilizer resources, there was the deliberate application of compost manures and intercropping sorghum with legumes (Figure 4). Across the three districts, defined rotations were practiced. In Ugandan districts, it was reported that legumes are usually planted after cereal crops have been harvested, while cassava is planted as a fallow crop after fields have shown lower yield performances. In Singida, sunflower is rotated with cereals crops. Farmers believe that sunflowers planted after either sorghum or maize crops benefit from residual manure applied to the previous cereal crop; therefore, no manure application is necessary for the sunflower crop.
Nutrient removal from the field has many streams across all the districts, including free grazing by livestock on crop residues, residues used as fuel wood, grain harvests, the use of residues as construction materials for houses, and the burning of crop stalks to prepare fields for the next cropping season (Figure 2, Figure 3 and Figure 4). In all the districts, once the crop harvest is delivered for processing at the homestead, the resulting residues are reportedly disposed of by women to either crop fields near homes or burnt, with burning being common in Soroti. The ash from burning is often disposed of or used for food preservation or processing. The composting of residues after threshing is commonly practiced by Pallisa and Singida farmers but not by Soroti farmers. Compost is then applied to crop fields which are not necessarily the same fields where the harvest came from.

3.3. Factors Influencing the Amount of Farmyard Manure Produced by Smallholder Farmers

District location had a significant impact on the amount of farmyard manure produced by smallholder farmers. Farmers in Singida produced substantially (p < 0.001) more manure than those in Pallisa and Soroti (Table 3). Farmers involved in FRNs produced significantly (p < 0.001) more manure than those not in FRNs, showing that location-specific factors and belonging to knowledge platforms influence the amount of manure produced by smallholder farmers. The method of feeding crop residues to livestock significantly affected manure production. Specifically, grazing cattle in the field was associated with higher (p < 0.001) manure production compared to cutting and carrying home. A combination of open-grazing livestock in the field with cutting and transporting crop residues to the homestead for livestock feeding significantly (p = 0.0018) increased the amount of manure produced on the farm. However, other feeding strategies such as processing into hay or silage did not show a significant impact (p = 0.29 for hay, p = 0.91 for silage; Table 3). Owned livestock was a strong predictor of manure production, indicating that owning a large number of livestock correlates with the production of high amounts of manure (Table 3).

3.4. Factors Influencing the Amount of Farmyard Manure Used by Smallholder Farmers

The use of farmyard manure per acre in a cropping season was significantly influenced by various factors (Table 4). District location plays a crucial role. Farmers in Singida were significantly (p < 0.001) less likely to apply 301–500 kg of farmyard manure compared to those in Soroti and Pallisa. However, they were more likely to use 501–700 kg (p = 0.0007), 701–900 kg (p = 0.0015), and more than a ton (p < 0.001) of farmyard manure (Table 4). In contrast, farmers in Soroti and Pallisa were significantly (p = 0.0015) more likely to use 50–300 kg, 301–500 kg, 501–700 kg, and 701–900 kg, and a significantly smaller number were likely to use more than a ton (p < 0.001) of farmyard manure compared to those in Singida. Meanwhile, belonging to a farmer organization also influenced the amount of farmyard manure used in a season. Non-FRN farmers were more likely to use 301–500 kg of farmyard manure (p = 0.0003) compared to those in a farmer research network, who applied manure from the ranges of 301 kg to more than a ton in the districts of Soroti and Pallisa. However, for the Singida district, no significant difference was observed between FRN and non-FRN farmers in the amount of manure used (Table 4).
TLU was a significant predictor of manure use, where an increase in TLU was associated with significantly (p < 0.001) higher amounts of manure used across all categories (Figure 5). This suggests that farmers with higher incomes are able to increase household livestock holdings and thus generate more manure for use in agricultural production. Interestingly, our results showed that although there was generally less manure applied in Soroti, we observed a small group of high manure appliers who had quite a few animals, more than the mean in the Singida district (Figure 5). Applying manure once a season significantly reduced the likelihood of using 701–900 kg (p < 0.001) and more than a ton of manure (p < 0.001). Challenges such as limited amounts of farmyard manure significantly decreased the likelihood of using 301–500 kg (p = 0.0015) and 501–700 kg (p = 0.0005). Conversely, limited labor at the household level to transfer and apply manure increased the likelihood of using 301–500 kg (p = 0.0056). Limited labor by male farmers who are responsible for the collection and transportation of manure reduced the amount of manure applied to crops such as sorghum and finger millet as these are considered female-managed crops (Supplementary Table S1).

3.5. Factors Influencing Farmyard Manure Allocation by Smallholder Farmers

District location played a significant role, with farmers in Singida using substantially (p < 0.001) more manure than those in Pallisa. In contrast, being in Soroti did not significantly affect manure usage (p = 0.1823) (Table 5). Farmers involved in FRN used significantly (p < 0.001) less manure compared to those not in the network (Table 5). The person responsible for manure application, whether it is everyone in the household (p = 0.6680), farm workers (p = 0.6848), husbands (p = 0.9360), or wives (p = 0.5061), did not show a significant impact when compared to male children (Table 5). Crop type significantly affected manure usage. Growing cereals (p = 0.0001), vegetables (p = 0.0001), and legumes (p < 0.001) increased manure usage (Table 5). The production of root and tuber crops is associated with a marginal (p = 0.0800) decrease in manure usage. It was observed that receiving extension services significantly (p < 0.001) influenced an increase in manure usage. Livestock ownership was positively correlated with the amount of manure (p < 0.001) (Table 5).

3.6. Usage of Organic Nutrient Fertilizer Resources Across the Districts and Farmer Categories

The results indicated a statistically significant association between the districts and the types of organic nutrient resources used (χ2 = 36.3, df = 14, p < 0.001). Uganda farmers showed diverse uses of organic nutrient resources (Figure 6); Pallisa farmers used compost manure (33 farmers) and farmyard manure (134 farmers), with few farmers using liquid manure (six farmers) and bokashi (seven farmers). In Soroti, besides compost manure (16 farmers) and farmyard manure (126 farmers), at least one farmer reported using each of the following: plant teas, vermicompost, bokashi, and native microbes. In addition, three farmers reported using liquid manure (Figure 5). In contrast, Singida farmers predominantly used compost manure (88 farmers) and farmyard manure (126 farmers), while only three farmers reported using biochar (Figure 5).
Organic manure usage by farmer organization category revealed distinct patterns (χ2 = 36.3, df = 14, p < 0.001). Farmers in the FRN category showed a high level of adoption of compost manure (105 farmers) and farmyard manure (189 farmers). Additionally, although less prevalent, usage of plant teas, liquid manure, vermicompost, bokashi, and native microbes was reported. In contrast, the non-FRN category exhibited a more limited adoption of diverse organic manure types. While 197 farmers used farmyard manure, there was a small number of farmers (32 farmers) using compost manure, while the use of plant teas, liquid manure, and vermicompost were each reported to be used by one farmer.

3.7. Barriers to Using Organic Nutrient Fertilizer Resources Across Districts and Farmer Categories

The chi-squared test results revealed a statistically significant association between districts and barriers to using organic nutrient resources (ONS) (χ2 = 35.2, df = 14, p < 0.001). In Singida, the most frequently cited barriers were a lack of knowledge of manure handling (49 instances) and difficulty in obtaining materials (49 instances). A smaller number of farmers (seven instances) reported that organic manure was not easily accessible, and a few (five instances) found it costly. No farmers in Singida reported that organic manure required many applications or that cultural restrictions were a barrier (Table 6). In Pallisa, lack of knowledge was a common barrier (26 instances), along with limited accessibility (12 instances) and difficulty accessing materials to produce organic nutrient resources (15 instances). In Soroti, a number of farmers reported a lack of knowledge on the importance of manure, accessibility issues, and difficulty in obtaining materials for the production of ONS (35 instances each), highlighting widespread challenges in these areas. Additionally, a significant number of farmers found soil fertilization via organic manures costly (32 instances) and believed that it required many applications to see results (32 instances), indicating economic and practical challenges. No farmers in Soroti reported cultural restrictions as a barrier (Table 6).
Similarly, the chi-squared test results revealed a statistically significant association between farmer organization categories and barriers to using ONS (χ2 = 29.48, df = 5, p < 0.001). In the FRN category, 95 farmers reported a lack of knowledge as a barrier, and 78 reported difficulties in obtaining raw materials for making different manures. Additionally, 41 farmers found organic manure to not be easily accessible, and 36 considered it expensive. Conversely, in the non-FRN category, fifty farmers reported a lack of knowledge, thirty-one faced accessibility issues, and twenty had difficulty obtaining materials, with only five considering it expensive and one reporting the need for many applications as a barrier (Table 6).

3.8. Bioinoculant Production and Use by Smallholder Farmers

The results showed that the use of bioinoculants in crop production does happen, albeit at relatively low levels. The FRN farmers in Pallisa commonly used cow dung microbes, biodynamics, and vermicompost, while their non-FRN members marginally used biodynamics, cow dung microbes, indigenous microorganisms (IMOs), forest native microbes, and vermicompost. In Soroti, the FRN participants reportedly used biodynamics, cow dung microbes, indigenous soil microorganisms (IMOs), forest native microbes, and vermicompost as bioinoculants, while non-FRN farmers did not use any of the reported bioinoculants. In the Singida district, farmers reportedly applied others, such as biochar and fresh farmyard manure, as bioinoculants in their fields (Figure 7).

3.9. Factors Influencing the Amount of Bioinoculants (Solid or Liquid) Applied to Crops

The results showed notable differences in the amount of bioinoculants applied by farmers across the three districts of Pallisa, Soroti and Singida. It was observed that Pallisa farmers applied more bioinoculants per season across different categories of 1–20 kg, 21–50 kg, 51–75 kg, 76–100 kg, 101–150 kg and above 150 kg per season than the Soroti and Singida farmers (Table 7). Applying bioinoculants once, twice, three and four times was a common practice among Pallisa and Soroti farmers, while all Singida farmers applied bioinoculants only once. Among those who applied bioinoculants more than once in a season in Pallisa and Soroti districts, results showed that the FRN farmers practiced many applications of bioinoculants in a season than the non-FRN farmers applying up to 150 kg/season (Table 7).
The regression analysis revealed that the amounts of bioinoculants applied per season was influenced by several factors such as number of applications in a season (p < 0.001). Applying bioinoculants two times per season led to an increase in bioinoculant amounts applied in the range of 101–150 kg or liters (p < 0.001) and more than 150 kg or liters per annum (p < 0.001). Receiving training on soil fertility management significantly affected the amount of bioinoculants applied, for example, training significantly influenced the application of 101–150 kg of bioinoculants in a season. Lastly, receiving extension services was observed to be consistently associated with positive increases in the amount of bioinoculant applied, such as in the 101–150 (p < 0.001), 51–75 (p < 0.001), 76–100 (p < 0.001), and above 150 (p < 0.001) categories (Table S2 in Supplementary Materials)

3.10. Prevalence of Sorghum Field Pests Across Districts and Farmer Organization Categories in Semi-Arid Regions of Tanzania and Uganda

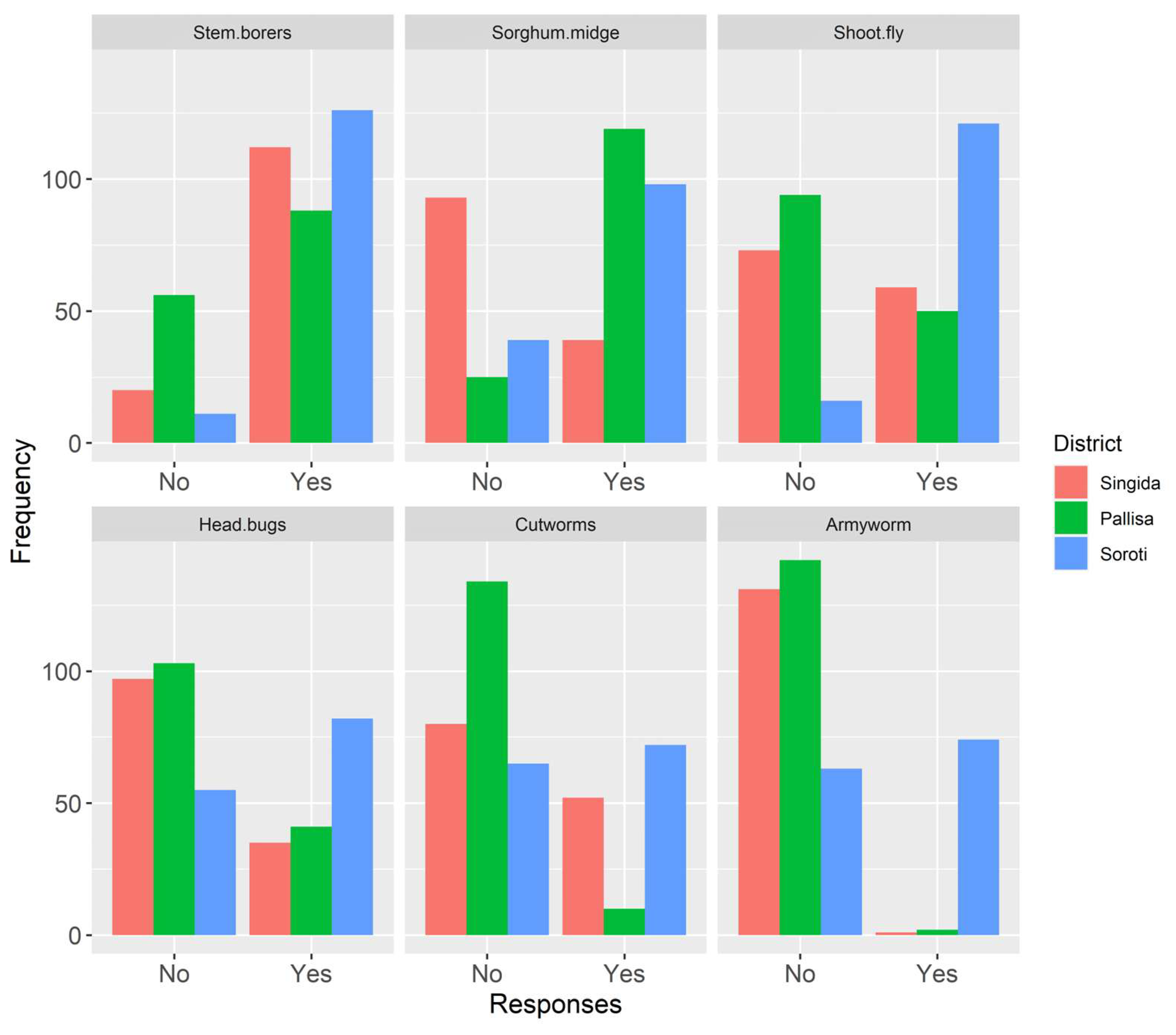
The analysis showed that the distribution of field pests in sorghum production varied significantly across the districts (χ2 = 67.934, df = 10, p = < 0.001) (Figure 8). In Singida, 112 respondents reported the presence of stem borers, 39 reported sorghum midges, 22 reported shoot flies, 52 reported the presence of cutworms, and 35 reported head bugs to be a problem. In Pallisa, 88 respondents reported stem borers, 119 reported sorghum midges, 50 reported shoot flies, and 41 stated that head bugs were a problem, while cutworm and armyworm problems were low. In Soroti, the most prevalent field pest in sorghum was reported to be the stem borer (126 responses), followed by shoot flies (121 responses), sorghum midges (98 responses), head bugs (82 responses), and armyworms (74 responses). It is observed that the Soroti district has a high prevalence of all reported field pests, followed by Pallisa and Singida. Generally, the stem borer was the most prevalent insect pest, followed by the sorghum midge and shoot fly.
The prevalence of field pests across different farmer organization categories (FRN vs. non-FRN) revealed marginally notable differences (χ2 = 12.235, df = 6 p = 0.05692). Among farmers in the FRN category, 172 reported the prevalence of stem borers compared with 154 farmers in the non-FRN category. For the sorghum midge, 122 FRN farmers noted its prevalence whereas 134 non-FRN farmers reported the sorghum midge as a problem. Regarding the shoot fly, 95 FRN farmers reported it being prevalent versus 136 non-FRN farmers. It was also noted that head bug, cutworm, and armyworm prevalence is low among FRN farmers compared to their non-FRN counterparts, who reported high prevalences of head bugs, cutworms, and armyworms (Table 8).

3.11. Agronomic and Environmental Factors Contributing to Field Pest Prevalence in Different Districts and Farmer Categories

Several agronomic and environmental factors are reported to contribute to the prevalence of field pests in sorghum across the districts, making them significant agricultural problems. The analysis indicated a statistically significant association between location and the factors contributing to the prevalence of pests (χ2 = 44.129, df = 6, p < 0.001). The results showed that delayed planting (369), low soil fertility (278 responses), drought (256), and too much rain during crop growth (253) were significant contributors to field pest prevalence across the three districts. For Pallisa and Soroti, farmers reported low soil fertility and drought conditions as predominant conditions contributing to the high prevalence of pests in their sorghum fields. In Singida, too much rainfall during crop growth and monocropping were significant contributors to a high prevalence of field pests in sorghum. Destruction of the environment was also reported to contribute to field pest prevalence in the Soroti and Pallisa districts. Generally, the repeated use of seeds, weedy fields, and poor use of pesticides were reported as contributors to pest prevalence in sorghum production (Table 9).
Similarly, results indicated that there was a statistically significant association between the farmer categories and the factors that contributed to the prevalence of pests (χ2 = 79.506, df = 9, p < 0.001). Both farmer organization categories reported numerous instances of delayed planting, with 178 occurrences in FRN farms and 191 in non-FRN farms, indicating that this is a common issue across the board. Low soil fertility features were the second contributor to field pest prevalence, with FRN farmers (125 responses) and non-FRN farmers (153 responses) reporting this challenge (Table 9).

3.12. Pest Control Measures Across Districts and Farmer Organization Categories

The results indicated a statistically significant difference in the distribution of field pest management options across the districts (χ2 = 92.86, df = 12, p < 0.001) (Table 10). In Singida, the most frequently reported pest control measures included timely planting (101 respondents), spraying with chemical pesticides (74 respondents), spraying with botanical pesticides (69), intercropping (50 respondents), and distracting pests from field crops by planting border plants. Pallisa showed timely planting (113) and spraying with chemical pesticides (77) as the most common pest management measures. The use of botanical pesticides was the lowest (eight respondents), and many farmers (forty-one) reported that they did nothing in managing sorghum field pests. Similarly, Soroti had a lower usage of botanical pesticides in managing sorghum pests; however, most farmers practiced timely planting (110), application of chemical pesticides (104), and preservation of field margins (82) as pest management measures.
Pearson’s chi-squared test revealed a significant association between the farmer organization category (FRN vs. non-FRN) and the pest management measures employed by farmers (χ2 = 92.86, 44.129, df = 6, p < 0.001). Specifically, both FRN and non-FRN farmers frequently used timely planting as a pest management measure, with 165 and 177 responses, respectively. However, non-FRN farmers were more likely to use chemical pesticides (166) compared to FRN farmers (81) and do nothing (54 responses). In contrast, FRN farmers were more inclined to use botanical pesticides (73 responses), mix sorghum with other crops (53 responses), and plant border plants to destroy sorghum pests (Table 10).

4. Discussion

4.1. Farmers’ Demographic and Socio-Economic Characteristics

The findings of our study revealed that women were the most likely gender to participate in the surveys. Education status analyses showed that Singida had a higher proportion of respondents who had attained a primary level of education, while Soroti and Pallisa had a high proportion of respondents with no formal education. We further observed no significant variation in age group across the three agroecological zones, indicating a more relatively uniform distribution of productive age groups in the range of 30–50 years, which could influence the level of adoption of integrated soil fertility options due to their risk management capacities and labor provisions [25]. However, livestock ownership (TLU) was significantly higher in Singida (8.12), followed by Soroti (4.23) and Pallisa (4.01).
The gender imbalance suggests that women were more actively involved or available for surveys, indicating that their role in agricultural production could be higher than that of men, for example, women have been noted to diversify cropping systems due to their active role of ensuring household nutrition [49]. In addition, [50] pointed out that women have a higher propensity to utilize organic nutrient resources in crop- and livestock-dominated farming systems. The low level of education or lack of formal education was associated with a poor capacity to comprehend information on soil fertility management from different sources, thereby impacting the use of sustainable soil nutrient management resources [24]. However, access to extension education and visits have been observed to compensate for inadequate formal education [26]. Therefore, education disparities across Singida, Soroti, and Pallisa agree with this narrative. The TLU has a direct influence on the amount of manure generated in the homestead [9]. Usually, the amounts applied to agricultural land may depend on how a farmer understands the importance of building soil health using farm yard manure [20].

4.2. Management of Organic Nutrient Fertilizer Resources for Soil Nutrient Replenishment

The findings of this study revealed that, across the study locations, the principal organic nutrient fertilizer resources used to replenish soil nutrients are crop residues and farmyard manure, and resource flow mapping shows a wide variation in the number of nutrient inputs versus nutrient resource outflows. This aligns with the view that farmers always tend to allocate more nutrient fertilizer resources based on the importance accorded to different crops [2]. Overall, outflow streams of nutrients from the fields are more than inflows in all the districts. The resource outflows from fields to homesteads take different avenues of management, and very limited amounts are returned to the fields as farmyard and compost manure. In addition, farmers are often faced with difficult decisions regarding whether to transport the crop residues back to the fields to recycle soil nutrients or retain them in the homestead as additional fodder [15]. In most instances, legume integration in cereal production is a common practice; however, soil nutrient replenishment from this system is dependent on the type of legume, the nitrogen fixation potential, and the amount of residues retained and incorporated into the field. For instance, [51] observed that the impact of legume residue recycling on the yield of proceeding crops was minimal (5–8%) and depended on tillage measures and the amount of irrigation. Similarly, [21] showed that yield increases in the maize–legume intercrop depend on a high amount of manure that is initially applied to the maize crop.
Further, the burning of legume residues to obtain wood ash for the preparation and preservation of food, as commonly done in Soroti and Pallisa, may further influence the extent of nutrient mining from agricultural fields [12]. This further exacerbates negative nutrient balances in cereal production [52]. The authors of [53], in their study in Tanzania, showed that although crop residue recycling by smallholder farmers can reverse the net P balance to positive figures, it cannot avoid the depletion of N.

4.3. Factors Influencing Farmyard Manure Production and Utilization Among Smallholder Farmers

Our results show wide disparities in the amount of farmyard manure produced in the homesteads as a major soil nutrient resource, with Singida farmers producing more manure than Soroti and Pallisa farmers. This could relate to animal holding, since households in Singida possess higher numbers of livestock than those in Soroti and Pallisa and could therefore produce larger amounts of animal manure. Livestock ownership as a feature of wealth has also been linked to the increased adoption and utilization of sustainable land management technologies [54,55]. The animal feeding strategy is an example of this, where a combination of free-grazing with the cut and carry of pasture ensures that cattle generate enough feed for them to produce more manure, as opposed to confined feeding on carried pasture alone or free-grazing alone, limiting the amount of feed per animal for optimal body requirements [11]. On-farm limitations, such as low household incomes and gender segregation in gender roles in agricultural production, may have a negative bearing on the amounts of farmyard manure collected and applied to agricultural land to improve soil fertility.
Our results further show that the type of farmer organization influenced the amount of farmyard manure collected, whereby FRN participants collected more manure than the non-FRN farmers. This could be ascribed to the education provided by the FRN approach on resource generation, management, and recycling for soil fertility management. Subscribing to an intense knowledge system is reported to influence farmers’ application of practices that enhance efficiency. For instance, ref. [56] observed in the Kagera region of Tanzania that groups of farmers trained in sustainable land management through farmer field schools had considerably more nutrient balance in their home gardens compared to even the best-performing untrained groups. In addition, ref. [57] observed that farmers who belonged to a cooperative in Ethiopia had a 3.4% increased probability of adopting fertilizer use. Furthermore, ref. [20] observed that access to information on manure management and optimal application was critical for farmers to obtain the best utility from the available manure.
Our findings indicated that, generally, Singida farmers had higher TLUs on average and produced and utilized more manure in their crop fields. There was a peculiar observation in the Soroti district that, although they generally used small amounts of manure, there was a small group of manure applicators in the category of above a ton/season who had few animals as compared to the mean in Singida. This could possibly relate to the level of understanding about the importance of organic manure in soil fertility management and the capacity of farmers to obtain manure from other farmers or sources within the community, which could be related to using household incomes to buy manure and labor availability to collect and transport manure [58].
Although Soroti and Pallisa receive two rainy seasons, we noted that the amount of manure applied was generally low. This can be attributed to shorter periods to accumulate manure as it is common that during cropping season, animals cannot access fields but feed mainly on rangelands. Due to dwindling rangeland spaces, livestock do not receive enough forage to produce substantial amounts of manure [9,11]. When limited manure is generated from the farm, coupled with plot/field distances from the homestead, most farmers prefer to apply manure around the homestead. It has been observed that plot distances from homesteads had negative relationships with the amount of manure applied by farmers [59]. In light of the shortage of manure, it is noted that the farmer’s perception of the soil fertility status may influence the way they allocate nutrient resources to different land parcels [60]. Our findings show that most farmers across the three study locations applied more manure to crops such as maize, sorghum, and finger millet, as well as vegetables, than to root and tuber crops simply due to the importance they accord to cereals and vegetables for household food and income security. These findings align with those of [50], who observed that farmers in Ghana applied more manure to cereal crops due to the costs and economic gains. In addition, [61] observed that 68.9% of smallholder farmers in eastern Kenya applied manure to sorghum fields.

4.4. Diversity of Organic Fertilizer Resource Production and Utilization

Our study aimed to understand the diversity of organic fertilizer resources used by smallholder farmers in the Singida district in Tanzania and the Soroti and Pallisa districts in Uganda. The Soroti and Pallisa districts district show more diversity in the organic fertilizer resources used by smallholder farmers. Besides farmyard and compost manures, liquid manure, bokashi, microbial fertilizers (ferments), plant tea, liquid manure, and compost manure were used. In contrast, farmers in the Singida district predominantly use farmyard manure and compost manure, with a few using biochar. It was further observed that farmers who belong to an FRN use more diverse organic fertilizer resources than non-FRN farmers. This indicates a potential lack of awareness among non-FRN farmers on other alternative fertilizer resources. The low diversity of organic nutrient resources used among non-FRN farmers highlights challenges such as a lack of knowledge and materials to make other organic fertilizer resources [59]. The diversity of organic fertilizer inputs used by the FRN farmers could be associated with the knowledge intensity and capacity-building aspects of the FRN approach in matching diverse options to different contexts [43,62].
A farmer’s ability to venture into other innovative biotransformations that can help them achieve soil fertilization objectives is a significant adaptation strategy for soil fertility management. Microbial sourcing for soil health improvement has traditionally been practiced by farmers the world over [63]. Accordingly, our findings show that farmers in the study sites are vesting small amounts of crop residues and manure into producing biofertilizers that allow them to stretch the utility of small amounts to improve crop production and soil health. It is further observed that where a system of collaboration between farmers and researchers/extension staff exists, such as a Participatory Action Research framework such as an FRN, farmer learning and innovation become an embedded process [64]. Where training on soil fertility management as well as access to extension services exist, farmer abilities to produce and utilize soil bio-inputs becomes unlimited [65].
We also assert that interest in optimizing the use of accessible amounts of manure could be a motivator for farmers in the Pallisa and Soroti districts, who appeared to produce and use smaller quantities of farmyard manure compared to those in the Singida district. Therefore, as a means to navigate through the constraints of manure, farmers in the Pallisa and Soroti districts in Uganda are venturing into other nutrient resources such as farm-made bioinoculants. A similar strategy in managing resource limitations for soil fertility management is reported to be successful among Indian smallholder farmers in dryer regions of India [65].

4.5. Prevalence and Management of Sorghum Field Pests in the Semi-Arid Smallholder System

Field insect pests pose a significant challenge to agricultural production among smallholder farmers in most agrarian communities. Moreover, poor pest management strategies by smallholder farmers mean that pest damage is a serious threat to food security. Our study revealed that the stem borer, sorghum midge, and shoot fly are the major field pests in sorghum production in eastern Uganda and central Tanzania. Pest prevalence varied at spatial scales, which could be related to environmental factors and farmers’ management gradients. Accordingly, among the contributors of field pest prevalence, the delayed or late planting of sorghum was reported at 94, 93, and 80% in the Pallisa, Singida, and Soroti districts, respectively. This can be attributed to the fact that crops planted outside the optimal planting window may not garner enough nutrients, such as nitrogen, phosphorus, and potassium, to develop the necessary defenses against pests [66], making them more vulnerable to attacks by stem borers, shoot flies, and other field pests. In addition, besides inadequate defenses, late-planted crops may coincide with high pest populations during their early stages of establishment, thereby making pest damage a significant problem. Low soil fertility was reported to be a significant contributor to field pest problems among Soroti farmers (79%) and Pallisa farmers (72%). We observed that Soroti and Pallisa farmers applied low amounts of fertilizer inputs, potentially affecting plant nutrition, thereby making plants more susceptible to pest damage and poor recovery from pest damage. It is established that good soil fertility and access to nutrients and water lead to vigorous plant growth and allow them to develop the ability to employ natural defenses against pest attacks and compensate for damage [67].
Inappropriate crop production practices such as monocropping, the repeated planting of sorghum in the same field, and the destruction of natural habitats (the environment) are reported to be other significant factors for pest problems in sorghum production. Inappropriate practices, besides depleting soil fertility further, influence the high build-up of pest population due to a continuous supply of food for the pests, allowing them to repeatedly complete several lifecycles [68]. On the other hand, the destruction of natural habitats affects the survival and build-up of natural enemies for the field pests. It is observed that field margins, for example, provide sufficient breeding spaces and food for the natural enemies of insect pests, thereby enhancing natural pest regulation in nearby crop fields [69]. Where the natural habitat destruction rate is high, as reported by Soroti and Pallisa farmers, the populations of predators and parasitoids are diminished; therefore, pest populations can increase unchecked [70]. In addition, poor farming practices and too much rain in some seasons, as reported by 91% of farmers in the Singida district, ensure favorable temperatures and humidity for pest reproduction and faster population build-up [70]. The authors of [71] reported that a large amount of rainfall caused stem borers to accumulate in a cereal-based cropping system.
Farmers reportedly applied different pest management practices, with timely planting generally practiced in all study locations. This implies that it is endogenic and part of traditional knowledge, employed by farmers to escape pest damage at certain stages of plant growth. We further observed that farmers are applying ecologically relevant practices in managing sorghum pests, for instance, using botanical pesticides, intercropping sorghum with legumes, and establishing border plants or grasses to divert pests from crops [72]. We also observed farmers deliberately preserving field margins and undertaking mixed cropping as pest management strategies in sorghum production. These practices offer farmers the advantage of supporting the pests’ natural enemies for natural pest regulation [73].

5. Conclusions

Our findings indicate significant differences in organic fertilizer resource production and utilization for sustainable soil fertility management, where the location, number of livestock kept per household, membership to a farmer research network, type of crop, access to information from intensive knowledge platforms, and farm-based limitations are responsible for the variability in production and the utilization of organic nutrient resources. We observed that besides manure and residue recycling, Soroti and Pallisa farmers applied bokashi, compost manure, plant teas, and manure ferments as farm-made bio-inputs to improve soil fertility, while Singida farmers predominantly applied farmyard and compost manure as organic nutrient resources.
This study revealed three major insect pests that attack sorghum at the critical growth stages, i.e., the seedling, vegetative, and flowering stages. Significant variability in perceived environmental and farmer practices responsible for pest prevalence is noted across districts, with delayed planting, drought conditions, and high amounts of rainfall being reported as key contributors to insect pest prevalence in sorghum fields. Management practices for insect pests vary across locations and farmer categories, whereby more Singida farmers applied ecological practices for insect pest management. Similarly, FRN farmers practiced diverse ecological methods of pest management, while non-FRN farmers used chemical pesticides to control sorghum field pests. Therefore, belonging to a collaborative research setting such as an FRN has a strong bearing on the application of ecologically relevant knowledge and practices for sustainable soil fertility and pest management among smallholder farmers in semi-arid areas.
This study advanced our understanding of organic fertilizer resource production, availability, and utilization in managing soil fertility in semi-arid regions of eastern Uganda and central Tanzania. However, it remains crucial to understand, at the farm level, the effects of organic nutrient resources on influencing the soil’s biological, chemical, and physical health. This could relate to a need to further build upon the capacity of FRN implementors to undertake low-cost routine soil analysis with farmers. Equally important is the need to understand how farm-based practices of pest management are contributing to landscape pest management in sorghum- or cereal-based agroecologies. The implication of our findings is that there is a need for development actors and policy-makers to design strategies that maintain or increase household asset bases, such as raising livestock, embracing training approaches and principles such as the FRN, which fosters farmer learning, and co-creating organic nutrient resource usage and the management of stable agroecosystems for resilient semi-arid landscapes.

Supplementary Materials

The following supporting information can be downloaded at: https://www.mdpi.com/article/10.3390/su17062478/s1, Table S1. Multinomial regression analysis examining factors that influence the amount of organic manure used by farmers. The variables include district location, farmer organization category, tropical livestock units (TLU), frequency of manure application and challenges related to organic manure use. Table S2: Multinomial regression analysis examining significant factors influencing the amount of bioinoculants (solid or liquid) applied to crops annually. The variables include district location, farmer organization category, tropical livestock units (TLU), and frequency of bioinoculant application. Significant results (p < 0.05) are highlighted, showing how these factors contribute to variations in bioinoculant usage among farmers.

Author Contributions

D.O., A.G.M., A.I.M., S.R.B. and S.V. conceptualized the idea, D.O. developed data instruments with contributions from S.R.B., S.V. and A.G.M., and A.I.M., S.R.B. and S.V. supervised the findings of this research. R.A.G. and D.O. analyzed the data and wrote the draft manuscript with contributions from A.G.M., S.R.B., S.V. and A.I.M. All authors have read and agreed to the published version of the manuscript.

Funding

This research was funded by the McKnight Foundation, Global Collaboration for Resilient Food Systems, grant numbers: 23-166 and 22-274.

Institutional Review Board Statement

This study was conducted with permission from the Tanzania Commission of Science and Technology (COSTECH); permit No. 2023-307-NA2023-750.

Informed Consent Statement

Informed consent was obtained from all subjects involved in this study.

Data Availability Statement

Data presented in this study can be available on request from the corresponding author.

Acknowledgments

The authors are grateful to the McKnight Foundation for providing funds for this research.

Conflicts of Interest

The authors declare no conflicts of interest.

References

  1. United Nations Department of Economic and Social Affairs, Population Division. Global Population Growth and Sustainable Development; UN DESA/POP/2021/TR/NO. 2. 2021. Available online: https://www.un.org/development/desa/pd/sites/www.un.org.development.desa.pd/files/undesa_pd_2022_global_population_growth.pdf (accessed on 19 September 2024).
  2. Mairura, F.S.; Musafiri, C.M.; Kiboi, M.N.; Macharia, J.M.; Ng, O.K.; Shisanya, C.A.; Okeyo, J.M.; Okwuosa, E.A.; Ngetich, F.K. Farm Factors Influencing Soil Fertility Management Patterns in Upper Eastern Kenya. Environ. Chall. 2022, 6, 100409. [Google Scholar] [CrossRef]
  3. Ten Berge, H.F.M.; Hijbeek, R.; van Loon, M.P.; Rurinda, J.; Tesfaye, K.; Zingore, S.; Craufurd, P.; van Heerwaarden, J.; Brentrup, F.; Schröder, J.J.; et al. Maize Crop Nutrient Input Requirements for Food Security in Sub-Saharan Africa. Glob. Food Sec. 2019, 23, 9–21. [Google Scholar] [CrossRef]
  4. Mansourian, S.; Berrahmouni, N. Review of Forest and Landscape Restoration in Africa; FAO and AUDA-NEPAD: Accra, Ghana, 2021. [Google Scholar]
  5. Zou, T.; Zhang, X.; Davidson, E.A. Global Trends of Cropland Phosphorus Use and Sustainability Challenges. Nature 2022, 611, 81–92. [Google Scholar] [CrossRef]
  6. Esilaba, A.O.; Byalebeka, J.B.; Delve, R.J.; Okalebo, J.R.; Ssenyange, D.; Mbalule, M.; Ssali, H. On Farm Testing of Integrated Nutrient Management Strategies in Eastern Uganda. Agric. Syst. 2005, 86, 144–165. [Google Scholar] [CrossRef]
  7. Ebanyat, P.; de Ridder, N.; Bekunda, M.; Delve, R.J.; Giller, K.E. Efficacy of Nutrient Management Options for Finger Millet Production on Degraded Smallholder Farms in Eastern Uganda. Front. Sustain. Food Syst. 2021, 5, 1–15. [Google Scholar] [CrossRef]
  8. Drinkwater, L.E.; Snapp, S.S. Advancing the Science and Practice of Ecological Nutrient Management for Smallholder Farmers. Front. Sustain. Food Syst. 2022, 6, 921216. [Google Scholar] [CrossRef]
  9. Falconnier, G.N.; Cardinael, R.; Corbeels, M.; Baudron, F.; Chivenge, P.; Couëdel, A.; Ripoche, A.; Affholder, F.; Naudin, K.; Benaillon, E.; et al. The Input Reduction Principle of Agroecology Is Wrong When It Comes to Mineral Fertilizer Use in Sub-Saharan Africa. Outlook Agric. 2023, 52, 311–326. [Google Scholar] [CrossRef]
  10. Mhoro, L.; Meya, A.I.; Amuri, N.A.; Ndakidemi, P.A.; Mtei, K.M.; Njau, K.N. Influence of Farmers’ Socio- Economic Characteristics on Nutrient Flow and Implications for System Sustainability in Smallholdings: A Review. J. Exp. Bot. 2023, 71, 632–641. [Google Scholar] [CrossRef]
  11. Berre, D.; Diarisso, T.; Andrieu, N.; Le Page, C.; Corbeels, M. Biomass Flows in an Agro-Pastoral Village in West-Africa: Who Benefits from Crop Residue Mulching? Agric. Syst. 2021, 187, 102981. [Google Scholar] [CrossRef]
  12. Nyamasoka-Magonziwa, B.; Vanek, S.J.; Carolan, M.; Ojiem, J.O.; Fonte, S.J. Organic Nutrient Source Allocation and Use in Smallholder Farming Communities: What Are We Missing? Front. Sustain. Food Syst. 2021, 5, 692981. [Google Scholar] [CrossRef]
  13. Nganga, W.B.; Ng, K.O.; Macharia, M.J.; Kiboi, N.M.; Adamtey, N.; Ngetich, K.F. Multi-Influencing-Factors’ Evaluation for Organic-Based Soil Fertility Technologies out-Scaling in Upper Tana Catchment in Kenya. Sci. Afr. 2020, 7, e00231. [Google Scholar] [CrossRef]
  14. Agegnehu, G.; Amede, T. Integrated Soil Fertility and Plant Nutrient Management in Tropical Agro-Ecosystems: A Review. Pedosphere 2017, 27, 662–680. [Google Scholar] [CrossRef]
  15. Tittonell, P.; Gérard, B.; Erenstein, O. Tradeoffs around Crop Residue Biomass in Smallholder Crop-Livestock Systems—What ’s next? Agric. Syst. 2015, 134, 119–128. [Google Scholar] [CrossRef]
  16. Meya, A.I.; Ndakidemi, P.A.; Mtei, K.M.; Swennen, R.; Merckx, R. Optimizing Soil Fertility Management Strategies to Enhance Banana Production in Volcanic Soils of the Northern Highlands, Tanzania. Agronomy 2020, 10, 289. [Google Scholar] [CrossRef]
  17. Amann, A.; Herrnegger, M.; Karungi, J.; John, A.; Mwanake, H.; Schneider, L.; Schürz, C.; Stecher, G.; Turinawe, A.; Zessner, M.; et al. Can Local Nutrient-Circularity and Erosion Control Increase Yields of Resource-Constraint Smallholder Farmers? A Case Study in Kenya and Uganda. J. Clean. Prod. 2021, 318, 128510. [Google Scholar] [CrossRef]
  18. Ciceri, D.; Allanore, A. Local Fertilizers to Achieve Food Self-Sufficiency in Africa. Sci. Total Environ. 2018, 648, 669–680. [Google Scholar] [CrossRef]
  19. Vanlauwe, B.; Amede, T.; Bationo, A.; Bindraban, P.; Breman, H.; Cardinael, R.; Couedel, A.; Chivenge, P.; Corbeels, M.; Dobermann, A.; et al. The Role of Fertilizers in Building Soil Health to Sustain Farming and Address Climate Change; IFDC: Muscle Shoals, AL, USA, 2023. [Google Scholar]
  20. Ndambi, O.A.; Pelster, D.E.; Owino, J.O.; de Buisonjé, F.; Vellinga, T. Manure Management Practices and Policies in Sub-Saharan Africa: Implications on Manure Quality as a Fertilizer. Front. Sustain. Food Syst. 2019, 3, 29. [Google Scholar] [CrossRef]
  21. Rusinamhodzi, L.; Van Wijk, M.T.; Corbeels, M.; Ru, M.C.; Giller, K.E. Agriculture, Ecosystems and Environment Maize Crop Residue Uses and Trade-Offs on Smallholder Crop-Livestock Farms in Zimbabwe: Economic Implications of Intensi Fi Cation. Agric. Ecosyst. Environ. 2015, 214, 31–45. [Google Scholar] [CrossRef]
  22. Valbuena, D.; Tui, S.H.; Erenstein, O.; Teufel, N.; Duncan, A.; Abdoulaye, T.; Swain, B.; Mekonnen, K.; Germaine, I.; Gérard, B. Identifying Determinants, Pressures and Trade-Offs of Crop Residue Use in Mixed Smallholder Farms in Sub-Saharan Africa and South Asia. Agric. Syst. 2015, 134, 107–118. [Google Scholar] [CrossRef]
  23. Rusinamhodzi, L.; Dahlin, S.; Corbeels, M. Agriculture, Ecosystems and Environment Living within Their Means: Reallocation of Farm Resources Can Help Smallholder Farmers Improve Crop Yields and Soil Fertility. Agric. Ecosyst. Environ. 2016, 216, 125–136. [Google Scholar] [CrossRef]
  24. Mwaura, G.G.; Kiboi, M.N.; Bett, E.K.; Mugwe, J.N.; Muriuki, A.; Nicolay, G.; Ngetich, F.K. Adoption Intensity of Selected Organic-Based Soil Fertility Management Technologies in the Central Highlands of Kenya. Front. Sustain. Food Syst. 2021, 4, 570190. [Google Scholar] [CrossRef]
  25. Adolwa, I.S.; Schwarze, S.; Waswa, B.; Buerkert, A. Understanding System Innovation Adoption: A Comparative Analysis of Integrated Soil Fertility Management Uptake in Tamale (Ghana) and Kakamega (Kenya). Renew. Agric. Food Syst. 2019, 34, 313–325. [Google Scholar] [CrossRef]
  26. Mponela, P.; Tamene, L.; Ndengu, G.; Magreta, R.; Kihara, J.; Mango, N. Determinants of Integrated Soil Fertility Management Technologies Adoption by Smallholder Farmers in the Chinyanja Triangle of Southern Africa. Land Use Policy 2016, 59, 38–48. [Google Scholar] [CrossRef]
  27. Tittonell, P.; Vanlauwe, B.; Leffelaar, P.A.; Shepherd, K.D.; Giller, K.E. Exploring Diversity in Soil Fertility Management of Smallholder Farms in Western Kenya: II. Within-Farm Variability in Resource Allocation, Nutrient Flows and Soil Fertility Status. Agric. Ecosyst. Environ. 2005, 110, 166–184. [Google Scholar] [CrossRef]
  28. Bonabana-Wabbi, J.; Hezron, M.; Onesmus, S.; Julian, K.; Basil, M. Adoption of Integrated Soil Fertility Management by Groundnut Farmers in Eastern Uganda. J. Dev. Agric. Econ. 2016, 8, 86–94. [Google Scholar] [CrossRef]
  29. Benjamin, J.; Idowu, O.; Babalola, O.K.; Oziegbe, E.V.; Oyedokun, D.O.; Akinyemi, A.M.; Adebayo, A. Cereal Production in Africa: The Threat of Certain Pests and Weeds in a Changing Climate—A Review. Agric. Food Secur. 2024, 13, 18. [Google Scholar] [CrossRef]
  30. Okosun, O.O.; Allen, K.C.; Glover, J.P.; Reddy, G.V.P. Biology, Ecology, and Management of Key Sorghum Insect Pests. J. Integr. Pest. Manag. 2021, 12, 4. [Google Scholar] [CrossRef]
  31. Belmain, S.R.; Tembo, Y.; Mkindi, A.G.; Arnold, S.E.J.; Stevenson, P.C. Elements of Agroecological Pest and Disease Management. Elementa 2022, 10, 00099. [Google Scholar] [CrossRef]
  32. Arnold, S.E.J.; Elisante, F.; Mkenda, P.A.; Tembo, Y.L.B.; Ndakidemi, P.A.; Gurr, G.M.; Darbyshire, I.A.; Belmain, S.R.; Stevenson, P.C. Beneficial Insects Are Associated with Botanically Rich Margins with Trees on Small Farms. Sci. Rep. 2021, 11, 15190. [Google Scholar] [CrossRef]
  33. Jeanneret, P.; Aviron, S.; Alignier, A.; Lavigne, C.; Helfenstein, J.; Herzog, F.; Kay, S.; Petit, S. Agroecology Landscapes. Landsc. Ecol. 2021, 36, 2235–2257. [Google Scholar] [CrossRef]
  34. Wortmann, C.; Eledu, C.A. Uganda’s Agroecological Zones. A Guide for Planners and Policy Makers; Centro Internacional de Agricultura Tropical: Kampala, Uganda, 1999. [Google Scholar]
  35. SDLG Soroti District Local Governmentl; Geographical Features. Available online: https://www.soroti.go.ug/ (accessed on 23 October 2023).
  36. Ekepu, D.; Tirivanhu, P.; Nampala, P. Assessing Farmer Involvement in Collective Action for Enhancing the Sorghum Value Chain in Soroti, Uganda. J. Agric. Ext. 2017, 45, 118–130. [Google Scholar] [CrossRef][Green Version]
  37. Sserumaga, J.P.; Biruma, M.; Akwero, A.; Okori, P.; Edema, R. Prevalence of Sorghum Anthracnose in Different Agroecologies of Uganda. Uganda J. Agric. Sci. 2013, 14, 125–135. [Google Scholar]
  38. OPM. Pallisa District Harzard Risk and Vulnerability Profile. 2016. Available online: https://www.necoc.opm.go.ug (accessed on 13 March 2024).
  39. Ebanyat, P.; de Ridder, N.; de Jager, A.; Delve, R.J.; Bekunda, M.A.; Giller, K.E. Drivers of Land Use Change and Household Determinants of Sustainability in Smallholder Farming Systems of Eastern Uganda. Popul. Environ. 2010, 31, 474–506. [Google Scholar] [CrossRef]
  40. Mwandosya, M.J. United Republic of Tanzania: National Adaptation Programme of Action (NAPA). Prospects 2007, 13, 95–103. [Google Scholar] [CrossRef]
  41. Singida District Council. The United Republic of Tanzania. Regional Administration and Local Government. Singida District Council, Socio Economic Profile; Singida District Council: Singida, Tanzania, 2015. [Google Scholar]
  42. Bennett, S.; Iiyanagec, W.M. Simplified General Method for Cluster Surveys of Wealth in Developing Countries. World Health Stat. Q 1991, 44, 98–106. [Google Scholar] [PubMed]
  43. Nelson, B.R.; Coe, R.; Haussmann, B.I.G. Farmer Research Networks as A Strategy for Matching Diverse Options and Contexts in Smallholder Agriculture. Expl. Agric. 2016, 55, 125–144. [Google Scholar] [CrossRef]
  44. Guest, G.; Namey, E.; McKenna, K. How Many Focus Groups Are Enough? Building an Evidence Base for Nonprobability Sample Sizes. Field Methods 2017, 29, 3–22. [Google Scholar] [CrossRef]
  45. Kipato, N.; Dorward, P.; Clarkson, G. A Lower Threat than I Thought: How the Analysis of the Interdependence between Risks Influences Smallholder Farmers’ Perceptions. Sustainability 2023, 15, 14467. [Google Scholar] [CrossRef]
  46. Lambert, S.D.; Loiselle, C.G. Combining Individual Interviews and Focus Groups to Enhance Data Richness. J. Adv. Nurs. 2008, 62, 228–237. [Google Scholar] [CrossRef]
  47. Cencic, O.; Rechberger, H. Material Flow Analysis with Software STAN. Environ. Inform. Ind. Ecol. 2008, 2008, 440–447. [Google Scholar]
  48. Jahnke, H.E. Livestock Production Systems and Livestock Development in Tropical Africa; Kieler Wissenschaftsverlag Vauk: Kiel, Germany, 1982; ISBN 3922553125. [Google Scholar]
  49. Snapp, S.S.; Cox, C.M.; Peter, B.G. Multipurpose Legumes for Smallholders in Sub-Saharan Africa: Identification of Promising ‘Scale out’ Options. Glob. Food Sec. 2019, 23, 22–32. [Google Scholar] [CrossRef]
  50. Daadi, B.E.; Latacz-Lohmann, U. Organic Fertilizer Use by Smallholder Farmers: Typology of Management Approaches in Northern Ghana. Renew. Agric. Food Syst. 2021, 36, 192–206. [Google Scholar] [CrossRef]
  51. Lu, X. A Meta-Analysis of the Effects of Crop Residue Return on Crop Yields and Water Use Efficiency. PLoS ONE 2020, 15, e0231740. [Google Scholar] [CrossRef]
  52. Huluka, G.S.; Wogi, L.; Argaw, A. Nutrient Flows and Balances under Crop-Livestock Farming System of Yabala, Bedele District, South Westeren Oromia, Ethiopia. Master’s Thesis, Haramaya University, Haramaya, Ethiopia, 2018. [Google Scholar]
  53. Krause, A.; Rotter, V.S. Recycling Improves Soil Fertility Management in Smallholdings in Tanzania. Agriculture 2018, 8, 31. [Google Scholar] [CrossRef]
  54. Oyetunde-Usman, Z.; Olagunju, K.O.; Ogunpaimo, O.R. Determinants of Adoption of Multiple Sustainable Agricultural Practices among Smallholder Farmers in Nigeria. Int. Soil Water Conserv. Res. 2021, 9, 241–248. [Google Scholar] [CrossRef]
  55. Kansanga, M.M.; Luginaah, I.; Bezner Kerr, R.; Dakishoni, L.; Lupafya, E. Determinants of Smallholder Farmers’ Adoption of Short-Term and Long-Term Sustainable Land Management Practices. Renew. Agric. Food Syst. 2020, 36, 265–277. [Google Scholar] [CrossRef]
  56. Reetsch, A.; Schwärzel, K.; Dornack, C.; Stephene, S.; Feger, K.H. Optimising Nutrient Cycles to Improve Food Security in Smallholder Farming Families—A Case Study from Banana-Coffee-Based Farming in the Kagera Region, NW Tanzania. Sustainability 2020, 12, 9105. [Google Scholar] [CrossRef]
  57. Tefera, T.; Elias, E.; Van Beek, C. Determinants of Smallholder Farmers’ Decisions on Fertilizer Use for Cereal Crops in the Ethiopian Highlands. Exp. Agric. 2020, 56, 677–687. [Google Scholar] [CrossRef]
  58. Dube, B.G.; Mshenga, P.M.; Zemedu, L. Analysis of Determinants of Adoption of Organic Fertilizer and Its Effect on Smallholder Farmers Income in Shashemene District, Ethiopia; Egertone University: Njoro, Kenya, 2016. [Google Scholar]
  59. Ewunetu, A.; Simane, B.; Teferi, E.; Zaitchik, B.F. Relationships and the Determinants of Sustainable Land Management Technologies in North Gojjam Sub-Basin, Upper Blue Nile, Ethiopia. Sustainability 2021, 13, 6365. [Google Scholar] [CrossRef]
  60. Kessler, C.A. Decisive Key-Factors Influencing Farm Households’ Soil and Water Conservation Investments. Appl. Geogr. 2006, 26, 40–60. [Google Scholar] [CrossRef]
  61. Este, K.D.E.L.; Dorcas, K.; Koech, O.K.; Kinama, J.M.; George, N. Sorghum Production Practices in an Integrated Crop-Livestock Production System in Makueni County, Eastern Kenya. Trop. Subtrop. Agroecosystems 2019, 22, 13–23. [Google Scholar]
  62. Richardson, M.; Coe, R.; Descheemaeker, K.; Haussmann, B.; Wellard, K.; Moore, M.; Maland Cady, J.; Gubbels, P.; Tchuwa, F.; Paz, Y.; et al. Farmer Research Networks in Principle and Practice. Int. J. Agric. Sustain. 2022, 20, 247–264. [Google Scholar] [CrossRef]
  63. FAO; Global Soil Partnership. State of Knowledge of Soil Biodiversity. Status, Challenges and Potentialities Report 2020; FAO: Rome, Italy, 2020; pp. 1–586. [Google Scholar]
  64. Mponela, P.; Manda, J.; Kinyua, M.; Kihara, J. Participatory Action Research, Social Networks, and Gender Influence Soil Fertility Management in Tanzania. Syst. Pract. Action Res. 2023, 36, 141–163. [Google Scholar] [CrossRef]
  65. Kumar, R.; Kumar, S.; Yashavanth, B.; Meena, P.; Indoria, A.; Kundu, S.; Manjunath, M. Adoption of Natural Farming and Its Effect on Crop Yield and Farmers’ Livelihood in India; ICAR-National Academy of Agricultural Research Management: Hyderabad, India, 2020; p. 150. [Google Scholar]
  66. Bala, K.; Sood, A.; Singh Pathania, V.; Thakur, S. Effect of Plant Nutrition in Insect Pest Management: A Review. J. Pharmacogn. Phytochem. 2018, 7, 2737–2742. [Google Scholar]
  67. Blundell, R.; Schmidt, J.E.; Igwe, A.; Cheung, A.L.; Vannette, R.L.; Gaudin, A.C.M.; Casteel, C.L. Organic Management Promotes Natural Pest Control through Altered Plant Resistance to Insects. Nat. Plants 2020, 6, 483–491. [Google Scholar] [CrossRef]
  68. Aman, M. Review Paper Impact of Monocropping for Crop Pest Management: Review. Acad. Res. J. 2020, 8, 447–452. [Google Scholar]
  69. Ndakidemi, B.J.; Mbega, E.R.; Ndakidemi, P.A.; Belmain, S.R.; Arnold, S.E.J.; Woolley, V.C.; Stevenson, P.C. Field Margin Plants Support Natural Enemies in Sub-Saharan Africa Smallholder Common Bean Farming Systems. Plants 2022, 11, 898. [Google Scholar] [CrossRef]
  70. Ojuu, D.; Kyamanywa, S.; Lapaka, T.O. Influence of Wetland Borders on Prevalence of Fall Armyworm and Wasps in Maize-Soybean Cropping System in Eastern Uganda in Maize-Soybean Cropping System in Eastern Uganda. Int. J. Pest Manag. 2021, 69, 306–314. [Google Scholar] [CrossRef]
  71. Mailafiya, D.M.; Le Ru, B.P.; Kairu, E.W.; Calatayud, P.A.; Dupas, S. Factors Affecting Stem Borer Parasitoid Species Diversity and Parasitism in Cultivated and Natural Habitats. Environ. Entomol. 2010, 39, 57–67. [Google Scholar] [CrossRef]
  72. Matama-Kauma, T.; Schulthess, F.; Mueke, J.M.; Omwega, C.O.; Ogwang, J.A. Effect of Wild Grasses Planted as Border Rows on Stemborer Infestations in Maize in Uganda). Ann. la Soc. Entomol. Fr. 2006, 42, 455–460. [Google Scholar] [CrossRef]
  73. Karabo, O.; Obopile, M.; Tiroesele, B. Insect Diversity and Population Dynamics of Natural Enemies under Sorghum–Legume Intercrops. Trans. R. Soc. South Afr. 2019, 74, 258–267. [Google Scholar] [CrossRef]
Figure 1. The geographic distribution of household survey sites within the study districts of Soroti and Pallisa in eastern Uganda and the Singida district in central Tanzania. (A) The location of household survey sites in the Singida district. The survey sites are marked with orange dots, indicating the areas where household surveys were conducted. (B) The distribution of household survey sites within the Pallisa district. Similarly, the orange dots indicate the households surveyed (C) The survey sites within the Soroti district, with orange dots marking the specific survey locations. The districts represent the agricultural landscape of cereal–legume–livestock integration, where soil fertilizer resources are generated and managed within the farm as a sustainable practice for land productivity enhancement among smallholder farmers in the semi-arid regions of Eastern Africa.
Figure 1. The geographic distribution of household survey sites within the study districts of Soroti and Pallisa in eastern Uganda and the Singida district in central Tanzania. (A) The location of household survey sites in the Singida district. The survey sites are marked with orange dots, indicating the areas where household surveys were conducted. (B) The distribution of household survey sites within the Pallisa district. Similarly, the orange dots indicate the households surveyed (C) The survey sites within the Soroti district, with orange dots marking the specific survey locations. The districts represent the agricultural landscape of cereal–legume–livestock integration, where soil fertilizer resources are generated and managed within the farm as a sustainable practice for land productivity enhancement among smallholder farmers in the semi-arid regions of Eastern Africa.
Sustainability 17 02478 g001
Figure 2. Flow diagram showing nutrient resource flows in sorghum production in the Soroti district, where inflows (IN1,2,3 etc., denoted by solid arrows into the sorghum field) represent the different nutrient inputs farmers add to their fields and the outflows (OUT1,2, 3 etc.), denoted by solid arrows out of the sorghum field) show the different nutrient resource export avenues from the field. The arrows out of the homestead indicate the different outflows and fates of sorghum harvests. Dotted arrows mean that harvests taken to the homestead are subject to multiple uses or fates, including being taken out of the farm.
Figure 2. Flow diagram showing nutrient resource flows in sorghum production in the Soroti district, where inflows (IN1,2,3 etc., denoted by solid arrows into the sorghum field) represent the different nutrient inputs farmers add to their fields and the outflows (OUT1,2, 3 etc.), denoted by solid arrows out of the sorghum field) show the different nutrient resource export avenues from the field. The arrows out of the homestead indicate the different outflows and fates of sorghum harvests. Dotted arrows mean that harvests taken to the homestead are subject to multiple uses or fates, including being taken out of the farm.
Sustainability 17 02478 g002
Figure 3. Flow diagram showing nutrient resource flows in sorghum production in the Pallisa district, where inflows (IN1,2,3 etc., denoted by solid arrows into the sorghum field) represent the different nutrient inputs farmers add to their fields and the outflows (OUT 1,2,3 etc., denoted by solid arrows out of the sorghum field) show the different nutrient resource export avenues from the field. The arrows out of the homestead indicate the different outflows and fates of sorghum harvests. Dotted arrows mean that harvests taken to the homestead are subject to multiple uses or fates, including being taken out of the farm.
Figure 3. Flow diagram showing nutrient resource flows in sorghum production in the Pallisa district, where inflows (IN1,2,3 etc., denoted by solid arrows into the sorghum field) represent the different nutrient inputs farmers add to their fields and the outflows (OUT 1,2,3 etc., denoted by solid arrows out of the sorghum field) show the different nutrient resource export avenues from the field. The arrows out of the homestead indicate the different outflows and fates of sorghum harvests. Dotted arrows mean that harvests taken to the homestead are subject to multiple uses or fates, including being taken out of the farm.
Sustainability 17 02478 g003
Figure 4. Flow diagram showing nutrient resource flows in sorghum production in the Singida district, where inflows (IN1,2,3 etc., denoted by solid arrows into the sorghum field) represent the different nutrient inputs farmers add to their fields and the outflows (OUT1,2,3, denoted by solid arrows out of the sorghum field) show the different nutrient resource export avenues from the field. The arrows out of the homestead indicate the different outflows and fates of sorghum harvests. Dotted arrows mean that harvests taken to the homestead are subject to multiple uses or fates, including being taken out of the farm.
Figure 4. Flow diagram showing nutrient resource flows in sorghum production in the Singida district, where inflows (IN1,2,3 etc., denoted by solid arrows into the sorghum field) represent the different nutrient inputs farmers add to their fields and the outflows (OUT1,2,3, denoted by solid arrows out of the sorghum field) show the different nutrient resource export avenues from the field. The arrows out of the homestead indicate the different outflows and fates of sorghum harvests. Dotted arrows mean that harvests taken to the homestead are subject to multiple uses or fates, including being taken out of the farm.
Sustainability 17 02478 g004
Figure 5. TLU animals owned by different classes of manure applications per season (separated by district).
Figure 5. TLU animals owned by different classes of manure applications per season (separated by district).
Sustainability 17 02478 g005
Figure 6. The different organic nutrient fertilizer resources used by smallholder farmers in the districts of Soroti, Pallisa, and Singida to improve the fertility of their farms.
Figure 6. The different organic nutrient fertilizer resources used by smallholder farmers in the districts of Soroti, Pallisa, and Singida to improve the fertility of their farms.
Sustainability 17 02478 g006
Figure 7. The variation in the production and use of bioinoculants by farmers across three study districts. The bioinoculants are farm-made bio-inputs produced by farmers by fermenting existing organic nutrient resources such as cow dung (cow dung microbes) and forest litter (forest native microbes), composting farm residues using earthworms (vermicompost), and trapping effective soil microbes (IMOs) by burying carbohydrate-rich materials such as boiled sweet potatoes and maize meal in the soil, preferably under big trees in the farm.
Figure 7. The variation in the production and use of bioinoculants by farmers across three study districts. The bioinoculants are farm-made bio-inputs produced by farmers by fermenting existing organic nutrient resources such as cow dung (cow dung microbes) and forest litter (forest native microbes), composting farm residues using earthworms (vermicompost), and trapping effective soil microbes (IMOs) by burying carbohydrate-rich materials such as boiled sweet potatoes and maize meal in the soil, preferably under big trees in the farm.
Sustainability 17 02478 g007
Figure 8. The prevalence of different field insect pests in sorghum across the three districts of Pallisa and Soroti in Uganda and Singida in Tanzania.
Figure 8. The prevalence of different field insect pests in sorghum across the three districts of Pallisa and Soroti in Uganda and Singida in Tanzania.
Sustainability 17 02478 g008
Table 1. Social, resource, and management characterization of respondents. The upper part of the table shows the frequency (number) of respondents categorized by sex, marital status, level of education, and age across three districts (Pallisa, Singida, and Soroti). The lower part of the table gives information on animal ownership among respondents. TLU is a measure of livestock ownership based on metabolic weight, determined by multiplying numbers of each livestock category by a factor: 0.7 for cattle, 0.1 for sheep and goats, 0.2 for pigs, and 0.01 for poultry.
Table 1. Social, resource, and management characterization of respondents. The upper part of the table shows the frequency (number) of respondents categorized by sex, marital status, level of education, and age across three districts (Pallisa, Singida, and Soroti). The lower part of the table gives information on animal ownership among respondents. TLU is a measure of livestock ownership based on metabolic weight, determined by multiplying numbers of each livestock category by a factor: 0.7 for cattle, 0.1 for sheep and goats, 0.2 for pigs, and 0.01 for poultry.
VariableCategoryPallisa FrequencySingida FrequencySoroti Frequencyχ2p-Value
SexFemale8179923.62, df = 20.1636
Male635345
Marital StatusCohabiting10110.75, df = 80.2161
Divorced/Separated459
Married133111113
Single032
Widowed61312
Level of EducationA-level20062.46, df = 10<0.001
No education24235
O-level341115
Primary8111483
Tertiary/University301
Vocational053
Age19–302013167.25, df = 80.5098
31–40323324
41–50484143
51–60232937
>60211617
Animal ownership
Animals owned (TLU) 4.018.124.23 <0.001
Table 2. Summary of farmer statements that relate to themes of crop residue management and utilization of organic resources, as well as gender aspects in the management of organic inputs for nutrient cycling in the Soroti and Pallisa districts in Uganda and the Singida district in Tanzania.
Table 2. Summary of farmer statements that relate to themes of crop residue management and utilization of organic resources, as well as gender aspects in the management of organic inputs for nutrient cycling in the Soroti and Pallisa districts in Uganda and the Singida district in Tanzania.
Theme Farmer Insights on the Themes
Fate of crop residues
  • We commonly graze cattle in the fields of cereal crops such as finger millet, sorghum, and maize by either free-range grazing or tethering. This practice also applies to residues of groundnuts, cowpeas, and green grams.
2.
Cattle grazing in the fields is not restricted, even neighbors are free to graze because this helps to add manure to our fields.
3.
After cattle grazing, the remaining residues, together with the deposited manure, are incorporated into the soil through plowing.
4.
In our communities, some cereal residues are cut and carried home for cattle feeding, fuel wood, and the construction of local hats (houses). After the threshing of harvests, the residues are either used for compost-making or burnt.
Grazing practices for nutrient resources management
5.
We perform free-grazing of cattle in crop fields after harvest. “During cropping season, cattle grazing is done in the existing open non-cropped land, including wetlands”.
6.
For farms that have shown a serious decline in soil fertility, we designate them for intensive cattle grazing for a given period—Soroti district.
7.
Where cattle are tethered in the field, they have to be rotated at least twice in a day.
8.
Maize stalks are very precious cattle feed and we cut them and carry them home as additional fodder during the dry season—Singida district.
Nutrient fertilizer resources and utilization
9.
Farmyard manure is what we rely on to improve soil fertility. This can be collected at homesteads and carried to fields or grazing animals deposit directly in fields.
10.
The amount of farmyard manure applied in fields depends on quantities generated on the farm, ease of transportation to fields, and the perception of the soil fertility status of the fields.
11.
Compost manure is mostly used by those who have the knowledge and time to make it.
12.
Replowing crop residues is the major practice for nutrient cycling in crop fields.
Gender issues in soil fertility management
13.
Men, women, and children participate in collecting cattle manure.
14.
Women make the decision on the burning of crop residues from cereals or any other crop after threshing.
15.
Usually, women dispose of residues after processing in the vicinity of their homesteads and these spots are used as vegetable home gardens.
16.
Transportation of cattle manure and application in the field is the work of men and male children.
Table 3. Gamma regression analysis examining various factors that influence the amount of manure produced by farmers. The variables include district location, involvement in farmer research networks, the proportion of crop residues fed to livestock, the method of feeding crop residues to livestock, and the number of tropical livestock units. The coefficients, standard errors, t-values, and p-values indicate the significance and direction of each factor’s impact on manure production. Significant results *** (p < 0.001), ** (p < 0.01), are highlighted, showing how significantly these factors contribute to variations in manure production among farmers.
Table 3. Gamma regression analysis examining various factors that influence the amount of manure produced by farmers. The variables include district location, involvement in farmer research networks, the proportion of crop residues fed to livestock, the method of feeding crop residues to livestock, and the number of tropical livestock units. The coefficients, standard errors, t-values, and p-values indicate the significance and direction of each factor’s impact on manure production. Significant results *** (p < 0.001), ** (p < 0.01), are highlighted, showing how significantly these factors contribute to variations in manure production among farmers.
Variable EstimateStd. Errort-ValuePr(>|t|)
(Intercept)2.02460.25028.0940<0.001 ***
Pallisa reference group
District Singida4.51310.160628.0950<0.001 ***
District Soroti−1.28950.1318−9.7820<0.001 ***
Farmer not in research network is reference group
Farmer organization Farmer research network 0.46490.11843.9260<0.001 ***
Proportion of crop residues fed to livestock 10–39 reference group
Proportion of crop residues fed to livestock 40–690.03880.12060.32100.7481
Proportion of crop residues fed to livestock 70–990.14400.18990.75800.4488
Proportion of crop residues fed to livestock 100−0.16351.0457−0.15600.8758
Cut and carry home reference group
Crop residues fed to livestock cut and carried home grazed in the field0.84460.22233.8000<0.001 ***
Crop residues fed to livestock cut and carried home grazed in the field Cut and processed into hay or silage 1.13961.07801.05700.2911
Crop residues fed to livestock grazed in the field0.66390.19773.3590<0.001 ***
Crop residues fed to livestock grazed in the field cut and carried home0.64270.20493.13600.0018 **
Crop residues fed to livestock grazed−0.93681.0558−0.88700.3755
Crop residues fed to livestock grazed in the field cut and processed into hay or silage0.12391.05730.11700.9068
TLU0.17370.014911.6510<0.001 ***
*** Indicate statistical significance at p < 0.001, ** indicates statistical significance at p < 0.01.
Table 4. Differences in manure applied by farmers (in kg/season) across study districts and farmer categories (FRN vs. non-FRN).
Table 4. Differences in manure applied by farmers (in kg/season) across study districts and farmer categories (FRN vs. non-FRN).
Total Manure Applied Across the Farm (kg, Categorized)
DistrictFarmer Organization Type50–300301–500501–700701–900900–1000Above a Ton
PallisaFRN ***2219121273
non-FRN5594100
total Pallisa7728161373
SorotiFRN ***44144212
non-FRN7000000
total Soroti114144212
SingidaFRN (ns)1014061
non-FRN0011063
total Singida10250124
*** indicate statistical significance at p < 0.001, ns indicates no statistically significant difference.
Table 5. Gamma regression analysis examining various factors that influenced the amount of manure used by farmers. The variables include district location, involvement in FRN, responsibility in manure application, crop types grown, receipt of extension services, and the number of tropical livestock units.
Table 5. Gamma regression analysis examining various factors that influenced the amount of manure used by farmers. The variables include district location, involvement in FRN, responsibility in manure application, crop types grown, receipt of extension services, and the number of tropical livestock units.
VariableEstimateStd. Errort-ValuePr(>|t|)
(Intercept)0.73170.31692.30900.0215 *
Pallisa reference group
District Singida4.55220.233819.4680<0.001 ***
District Soroti0.25500.19091.33600.1823
Farmer not in research network is reference group
Farmer category Farmer network research−1.33360.1845−7.2280<0.001 ***
Male children reference group
Responsible for application Everyone in the farm0.10060.23430.42900.6680
Responsible for application farm Workers0.22310.54920.40600.6848
Responsible for application Husband−0.01990.2482−0.08000.9360
Responsible for application Wife−0.17290.2598−0.66500.5061
Cereals0.79850.20123.9690<0.001 ***
Vegetables0.66740.16634.0140<0.001 ***
Legumes0.94960.19614.8430<0.001 ***
Roots and tubers−0.35990.2051−1.75500.0800
Received extension services1.00860.21954.5940<0.001 ***
Tropical livestock unit0.15430.01589.7960<0.001 ***
*** Indicate statistical significance at p < 0.001, * Statistical significance at p < 0.05).
Table 6. Frequency of various barriers to using different bio-inputs as reported by farmers in different districts (Singida, Pallisa, and Soroti) and farmer organization categories (FRN and Non-FRN).
Table 6. Frequency of various barriers to using different bio-inputs as reported by farmers in different districts (Singida, Pallisa, and Soroti) and farmer organization categories (FRN and Non-FRN).
DistrictLack of KnowledgeNot Easily AccessibleDifficult to Get MaterialsExpensive to BuyRequires Many ApplicationsCultural Restrictions
Singida49749500
Pallisa261215410
Soroti35353532320
Farmer Organization
FRN95417836320
Non-FRN503120510
Table 7. Number of farmers who applied different amounts of bioinoculants in relation to categories of belonging to a farmer research network (FRN), number of applications during a season, receiving training on soil fertility management and access to extension services, in Pallisa and Soroti districts, Uganda and Singida district, Tanzania.
Table 7. Number of farmers who applied different amounts of bioinoculants in relation to categories of belonging to a farmer research network (FRN), number of applications during a season, receiving training on soil fertility management and access to extension services, in Pallisa and Soroti districts, Uganda and Singida district, Tanzania.
DistrictFarmer CategoryNumber of Times Bioinoculants AppliedTotal Amounts of Bioinoculants Applied per Season
1–20 kg21–50 kg51–75 kg76–100 kg101–150 kgAbove 150 kg
PallisaFRNOnce3
Twice301610834
Three times 1
Non-FRN Once671
Three times 1
Received training on soil fertility managementYes28179933
No7211 1
Received extension servicesYes28169933
No 1
SorotiFRNOnce474 1
Twice71 1
Four times2
Non-FRNOnce70
Three times12 1
Four times2
Received training on soil fertility managementYes 754 1 1
No523
Received Extension servicesYes543 1 1
No734 1
SingidaFRNOnce13 50
Non-FRNOnce31 34
Received Training on soil fertility mgtYes 15 4 50
No29 34
Received extension servicesYes15 4 50
No29 34
Table 8. Number of respondents reporting the presence and absence of three types of pests (stem borers, sorghum midges, and shoot flies) across districts and farmer organization categories.
Table 8. Number of respondents reporting the presence and absence of three types of pests (stem borers, sorghum midges, and shoot flies) across districts and farmer organization categories.
Farmer Organization PestYesNo
FRNStem borers17237
Sorghum midge12287
Shoot fly95114
Head bugs37172
Cutworms33172
Armyworm 08201
Non-FRNStem borers15450
Sorghum midge13470
Shoot fly13668
Head bugs12183
Cutworms101103
Armyworm69135
Table 9. Frequency of various agronomic and environmental factors that contribute to the prevalence of sorghum pests in the Singida, Pallisa, and Soroti districts, as well as across different farmer organization categories (FRN and Non-FRN).
Table 9. Frequency of various agronomic and environmental factors that contribute to the prevalence of sorghum pests in the Singida, Pallisa, and Soroti districts, as well as across different farmer organization categories (FRN and Non-FRN).
DistrictDelayed PlantingLow Soil FertilityDrought ConditionsMono croppingToo Much RainRepeated Sorghum Planting Destroyed EnvironmentRepeated Use of SeedWeedy FieldsPoor Pesticide Use
Singida1246635701215622200
Pallisa13510410122491148021
Soroti11010812012839485510
Farmer organization
FRN17812510561775837711
Non-FRN19115315143176103118020
Table 10. The different sorghum pest management measures employed by farmers across the districts of Singida, Pallisa, and Soroti, including the variation in pest management measures undertaken by farmers who belong to farmer research networks and those in non-farmer research network organizations.
Table 10. The different sorghum pest management measures employed by farmers across the districts of Singida, Pallisa, and Soroti, including the variation in pest management measures undertaken by farmers who belong to farmer research networks and those in non-farmer research network organizations.
DistrictDo Timely PlantingSpray with Chemical PesticidesSpray with Botanical PesticidesDo NothingPlanting Border Plants to Destroy PestsMixed Planting of Sorghum and Other CropsPreserving Field Borders/Margins
Singida10174692731505
Pallisa13169084101161
Soroti1101040821042082
Farmer organization
FRN165817335245317
Non-FRN1771661254123371
Disclaimer/Publisher’s Note: The statements, opinions and data contained in all publications are solely those of the individual author(s) and contributor(s) and not of MDPI and/or the editor(s). MDPI and/or the editor(s) disclaim responsibility for any injury to people or property resulting from any ideas, methods, instructions or products referred to in the content.

Share and Cite

MDPI and ACS Style

Ojuu, D.; Mkindi, A.G.; Meya, A.I.; Giliba, R.A.; Vanek, S.; Belmain, S.R. Farmers’ Insights and Practices on Sustainable Soil Nutrient and Pest Management in Semi-Arid Eastern Africa. Sustainability 2025, 17, 2478. https://doi.org/10.3390/su17062478

AMA Style

Ojuu D, Mkindi AG, Meya AI, Giliba RA, Vanek S, Belmain SR. Farmers’ Insights and Practices on Sustainable Soil Nutrient and Pest Management in Semi-Arid Eastern Africa. Sustainability. 2025; 17(6):2478. https://doi.org/10.3390/su17062478

Chicago/Turabian Style

Ojuu, David, Angela G. Mkindi, Akida I. Meya, Richard A. Giliba, Steven Vanek, and Steven R. Belmain. 2025. "Farmers’ Insights and Practices on Sustainable Soil Nutrient and Pest Management in Semi-Arid Eastern Africa" Sustainability 17, no. 6: 2478. https://doi.org/10.3390/su17062478

APA Style

Ojuu, D., Mkindi, A. G., Meya, A. I., Giliba, R. A., Vanek, S., & Belmain, S. R. (2025). Farmers’ Insights and Practices on Sustainable Soil Nutrient and Pest Management in Semi-Arid Eastern Africa. Sustainability, 17(6), 2478. https://doi.org/10.3390/su17062478

Note that from the first issue of 2016, this journal uses article numbers instead of page numbers. See further details here.

Article Metrics

Back to TopTop