Next Article in Journal
Green Finance Dynamics in G7 Economies: Investigating the Contributions of Natural Resources, Trade, Education, and Economic Growth
Previous Article in Journal
The Impact of Vegetation Layouts on Thermal Comfort in Urban Main Streets: A Case Study of Youth Street in Shenyang
 
 
Font Type:
Arial Georgia Verdana
Font Size:
Aa Aa Aa
Line Spacing:
Column Width:
Background:
Article

Leaching of a Cs- and Sr-Rich Waste Stream Immobilized in Alkali-Activated Matrices

1
Institute for Sustainable Waste and Decommissioning, Belgian Nuclear Research Centre (SCK CEN), 2400 Mol, Belgium
2
Magnel-Vandepitte Laboratory, Department of Structural Engineering and Building Materials, Ghent University, Technologiepark-Zwijnaarde 60, 9052 Ghent, Belgium
*
Authors to whom correspondence should be addressed.
Sustainability 2025, 17(4), 1756; https://doi.org/10.3390/su17041756
Submission received: 17 December 2024 / Revised: 5 February 2025 / Accepted: 11 February 2025 / Published: 19 February 2025
(This article belongs to the Section Waste and Recycling)

Abstract

In the context of the disposal of spent radioactive fuel, heat-emitting radionuclides such as Cs and Sr are of utmost concern, as they have a major influence on the distance at which disposal galleries should be spaced apart and, thus, the cost of a disposal facility. Therefore, certain scenarios investigate the partitioning and transmutation of spent fuel to optimize the disposability of both Cs- and Sr-rich waste streams and the remaining fractions. In this study, the Cs- and Sr-rich waste stream, a nitrate-based solution, was immobilized in metakaolin and blast furnace slag-based alkali-activated matrices. These matrices were chosen for immobilization because they are known to offer advantages in terms of durability and/or heat resistance compared with traditional cementitious materials. The goal of this study is to develop an optimal recipe for the retention of Cs and Sr. For this purpose, recipes were developed following a design-of-experiments approach by varying the water-to-binder ratio, precursor, and waste loading while respecting matrix constraints. Leaching tests in deionized water showed that the metakaolin-based matrix was superior for the combined retention of both Cs and Sr. The optimal recipe was further tested under accelerated leaching conditions in an ammonium nitrate solution, which revealed that the leaching of Cs and Sr remained within reasonable limits. These results confirm that alkali-activated materials can be effectively used for the immobilization and long-term retention of heat-emitting radionuclides.

1. Introduction

Spent nuclear fuel is one of the most important radioactive waste streams generated during the operation of nuclear power plants. Apart from the isotopes of Pu and U, spent fuel typically contains a wide range of fission products, such as 137Cs, 90Sr, and various minor actinides. Without further reprocessing, spent nuclear fuel is considered a high-level radioactive waste, which means that, in many waste management scenarios, it should eventually be stored in geological disposal [1]. The reprocessing of spent nuclear fuel has been proposed as a viable alternative to direct disposal, with methods such as the Pu and U Recovery Extraction (PUREX) process being developed to recover U and Pu at an industrial scale [1,2,3]. The remaining PUREX raffinate is still considered a high-level radioactive waste, as it still generates significant amounts of heat owing to isotopes such as 137Cs and 90Sr [4]. Therefore, further partitioning of the raffinate to isolate heat-emitting isotopes remains a challenge. The Belgian Advanced Separation for Optimal Management of Spent Fuel (ASOF) project [5] investigated the effects of partitioning and transmutation on the disposal of spent fuel. Methods have been developed to separate heat-emitting Cs- and Sr-rich solutions from waste solutions rich in fission and activation products and smaller amounts of lanthanides and actinides. The rationale for the separation of Cs- and Sr-rich waste streams is that it would allow a smaller disposal surface for the remaining fraction, as disposal galleries would not need to be spaced as far apart as in the case with waste emitting significant amounts of heat [6].
After separation, the Cs- and Sr-rich waste stream would be in a liquid state and thus need further reprocessing in order to be acceptable as a waste form for disposal. Further reprocessing of the waste stream is an open question, and multiple routes of immobilization can be proposed, including hot isostatic pressing and cementation. With respect to cementation, multiple routes are available, including cementation in alkali-activated materials (AAMs). AAMs form a class of cementitious materials that have been studied in the past decades as alternatives to Ordinary Portland Cement (OPC), offering (amongst others) advantages in terms of sustainability, alkali–silica reaction (ASR) resistance, leaching [7,8], carbonation [9] and fire resistance [10,11]. Depending on the precursors used in the alkali activation process, AAMs can have a wide range of compositions and associated properties. Generally, AAMs are prepared by reacting an aluminosilicate precursor such as blast furnace slag (BFS), metakaolin (MK), or fly ash (FA) with an alkaline solution consisting of alkali hydroxides and silicates. AAMs prepared from low-Ca precursors, such as MK or Class F FA, are usually referred to as geopolymers, whereas those derived from high-Ca precursors, such as BFS, do not fall under this definition.
In addition to the aforementioned general advantages that AAMs offer over traditional cementitious matrices, there are also properties specific to the immobilization of Cs- and Sr-rich wastes that need consideration. For example, as a waste stream rich in radioactive Cs and Sr that will emit significant amounts of heat, the cementing matrix should be able to accommodate these conditions [12]. Nath et al. [13] reported that FA-based geopolymers showed accelerated geopolymerization due to the enhanced dissolution of the precursor at elevated temperatures. Additionally, the Na-dominated (C-)N-A-S-H gel present in AAMs could provide significant sites for the substitution of monovalent Cs, although differences in cationic radius might also play a role in determining the extent of substitution [14].
Apart from these advantages, the incorporation of Cs- and Sr-based waste streams into AAMs also faces challenges. On the one hand, the geopolymerization process could be significantly affected by the presence of Cs- and Sr-nitrates. Vandevenne et al. [15] showed that the heat released during the activation of an alkali-activated slag mixture was significantly affected by the presence of Sr(NO3)2. The reduction in heat was linked to a decreased reactivity, owing to the fact that Sr precipitates as Sr(OH)2 under alkaline conditions, reducing the amount of hydroxyl ions available for the dissolution of the precursor [16]. The setting time was also significantly delayed due to the presence of both Cs- and Sr-nitrate, although the effects of Cs were only noticeable at higher concentrations. The more pronounced effect of Sr can be attributed to two factors. On the one hand, the reduced reactivity is due to the precipitation of Sr(OH)2 as discussed above. In contrast, Sr stoichiometrically binds to double the amount of nitrate ions as Cs. The negatively charged NO3 ions actively repel similarly charged aluminosilicate oligomers, thereby disrupting the condensation process and the formation of a C-(N-)A-S-H gel [17,18,19]. The combination of the aforementioned processes also negatively affects the mechanical strength of waste forms with increased waste loading, with the concentration of Sr(NO3)2 being the most important factor [14,15,20].
In this study, the immobilization of a non-active simulated version of the Cs- and Sr-rich waste stream in two types of alkali-activated materials was investigated: MK-based geopolymers and alkali-activated BFS. First, the maximal waste loading of Cs and Sr from a mechanochemical perspective was investigated. Next, an optimal formulation for an alkali-activated waste form has been determined based on a leaching experiment in deionized water, where the constraints for waste loading are determined by a limit on the heat output that a waste canister may ultimately generate. Finally, the long-term durability of the optimal formulation was tested by an accelerated leaching test in the presence of ammonium nitrate (NH4NO3). The purpose of using an aggressive medium such as NH4NO3 is to observe whether significant mineralogical and microstructural changes occur in concurrence with high leaching rates, which should provide an answer to the question of whether the Cs- and Sr-based waste streams can be safely contained in alkali-activated materials in the long term [21].

2. Materials and Methods

2.1. Synthesis of Waste Forms

To prepare alkali-activated waste forms, blast furnace slag (Ecocem Benelux, Moerdijk, The Netherlands) and metakaolin (MetaMax, BASF, Ludwigshafen, Germany) were used as precursors. The aluminosilicate precursors were dissolved using a mixture of NaOH (Merck) and sodium disilicate (Na2O·2SiO2, Silmaco, Lanaken, Belgium). The waste forms were prepared as mortars, i.e., using sand as the only aggregate, as this allowed lab-scale experimentation while still offering the possibility of examining the mechanical properties of the materials. Rhine river sand was used for these experiments, which was dried and sieved at 2 mm prior to use. This is a common practice for waste immobilization, in which only small aggregates are used to stabilize the waste form while allowing high waste loading.
The first step in the preparation of waste forms was the preparation of the activating solution, which was achieved by dissolving Na2O·2SiO2 in water while continuously stirring a beaker at 60 °C. Subsequently, a 10 M solution of NaOH solution was added while stirring. For alkali-activated slags, the water-to-binder (W/B) ratio varied between 0.35 and 0.55, while the W/B ratio for metakaolin geopolymers varied between 0.6 and 0.95. The upper and lower bounds of the W/B ratio for each precursor were determined experimentally: on the one hand, the W/B ratio has to be high enough to ensure good workability and sufficiently long setting times, while, on the other hand, the W/B ratio should not be too high to prevent phase separation of the aggregates and poor mechanical strength after curing. The large difference in the W/B ratio between the BFS and MK-based formulations is attributable to the larger surface area of the metakaolin precursor compared to that of the blast furnace slag. Additionally, the added amount of sodium disilicate is higher in the metakaolin geopolymer formulations because the SiO2/Al2O3 ratio of this material, which is directly linked to its mechanical strength, is lower than that of alkali-activated slag [22].
After preparation of the activated solution, the waste solution, consisting of a mixture of Cs and Sr nitrates, was added while continuously stirring at room temperature. The combined solution was then mixed with an aluminosilicate precursor in a planetary mixer. In the second step, river sand was added, and, finally, the finished mixture was cast into cubic molds that were cured for either 7 or 28 days in a curing cabinet at a temperature of 20 °C and a relative humidity of 95%.

2.2. Optimization of Waste Loading

To test the Cs and Sr waste loading capacity of the alkali-activated waste forms without considering heat generation by actual radionuclides, mixes were prepared with varying amounts of CsNO3 and Sr(NO3)2. The waste loading varied between 2 and 5 wt.%. The W/B ratio used was 0.45 for the BFS-based waste forms and 0.70 for the MK-based waste forms. After mixing, the workability was inspected, and the mechanical strength after 7 and 28 d was tested to evaluate the performance of the material.
While the determination of optimal waste loading is sufficient from a chemical point of view, in reality, an active Cs- and Sr-bearing waste stream generates significant amounts of heat due to radioactive decay. Disposing such a warm waste form can have negative effects on the surrounding concrete structures and possible host rocks in the context of underground disposal. Therefore, a boundary condition was defined for the power output generated by the waste canister containing the waste form. This boundary was set at 12 W per canister, which equated to a maximal combined waste loading of Cs and Sr of 0.01 wt.% [23]. If the expected power output of the radionuclides is halved, simulating a long cooling phase of the waste prior to disposal, waste loading increases to 0.02 wt.%. Compared to this conservative scenario, a more cost-friendly scenario could be defined, which allows heating of the waste form to 90 °C (waste loading of 0.31 wt.% Cs and 0.13 wt.% Sr). A second variant of the cost-friendly scenario would assume a cooling period of 65 years before geological disposal, allowing an increase in waste loading to 0.57 wt.% Cs and 0.25 wt.% Sr.
As the most cautionary approach, the conservative scenario was used for further optimization of the formulation of alkali-activated waste forms and their leaching characteristics, although future work could include other scenarios as well.

2.3. Leaching Test in Deionized Water

An experimental matrix was set up based on a design of experiments to optimize two variables (the water-to-binder ratio and waste loading) for both metakaolin- and blast furnace slag-based waste forms. Specifically, using the AlgDesign package in R [24], a full factorial design was generated with three levels for each variable (Table 1). The waste loadings of Cs and Sr varied in the range of 0.01 to 0.02 wt.%, i.e., the maximum waste loading, to avoid inducing a thermal phase in the surrounding host rock without a long initial cooling of the waste form. The W/B ratios varied in the range of 0.6 to 0.8 and 0.35 to 0.55 for the metakaolin geopolymer and alkali-activated slag, respectively. In total, 18 samples were cast for subsequent leaching experiments (9 for each precursor).
After curing for 28 d, cubic samples of ±100 g were exposed to deionized water at a solid–liquid ratio of 0.25 g/g and a surface area/volume ratio of 20 m2/m3. After one month, the samples were removed, and the leachate was sampled and analyzed by ICP-OES to determine the concentrations of Cs and Sr. The fraction leached from each sample was subsequently calculated using the known initial concentrations of the elements in the waste forms and the leachant solution.

2.4. Accelerated Leaching Test

The best performant formulation in the deionized water leaching test was selected for further accelerated leaching tests in ammonium nitrate (NH4NO3). A reference waste solution, a non-active simulant of the actual waste form in which active Cs- and Sr-isotopes were replaced by stable isotopes, was selected as the waste to be immobilized (Table 2) [6]. It was synthesized by dissolving the cations in nitrate form in deionized water, after which nitric acid was added to achieve a concentration of 0.03 M of HNO3. The waste solution was incorporated into the geopolymer by replacing the equivalent amount of water with the waste solution during mixing and/or slightly reducing the amount of other components in the mixture. Although the waste is slightly acidic due to the presence of HNO3, the effect on the pH and, therefore, the dissolution of the precursor is negligible, as the concentration of NaOH (10 M) is more than enough as compensation. After mixing, the samples were cast into cylindrical samples with a diameter of 10 cm and a thickness of 2 cm.
After curing for 28 d and preconditioning, the samples were submerged in a 6 M NH4NO3 solution [25]. Within the set up, the samples were placed on a thin metal spiral to maximize contact between the leachants and the samples. Nitrogen gas was continuously bubbled through the solution for the entirety of the one month leaching experiment, while the leachant was stirred continuously. After 7 days, 14 days, and 1 month, the leachant was sampled, and its contents were analyzed by ICP-MS. Apart from Cs and Sr, Ba and Na were also analyzed, as they constitute important parts of the waste solution and the geopolymer itself, respectively. The concentrations of the elements in the leachates were then used to calculated cumulative fractions leached over the course of the leaching period. In turn, these data could then be used to calculate the leachability indices (LIs) for each element to quantify the leaching speed. The LIs are defined as the logarithm of the inverse of the effective diffusivity (De), which can be derived from the slope of the CFL curve as L I = l o g 1 D e = l o g 4 π . s l o p e 2 [26].
After the leaching test, samples were retrieved and dried in isopropanol. A subsample was taken, polished, and impregnated in resin, after which scanning electron microscopy (SEM) was performed using a Phenom Desktop SEM at a voltage of 15 kV.

3. Results and Discussion

3.1. Optimization of Waste Loading

As described above, the waste loading of Cs- and Sr-nitrates varied in the range of 2–5 wt.%. Higher waste loadings were not attempted, as described by Desbats-Le Chequer and Frizon [17] that high nitrate concentrations may interfere with the geopolymerization process. The workability of all formulations was good, but one mixture was set up within two days. The exception was the alkali-activated slag waste form containing 5 wt.% of Sr(NO3)2, which was subsequently replaced by a 3 wt.% formulation.
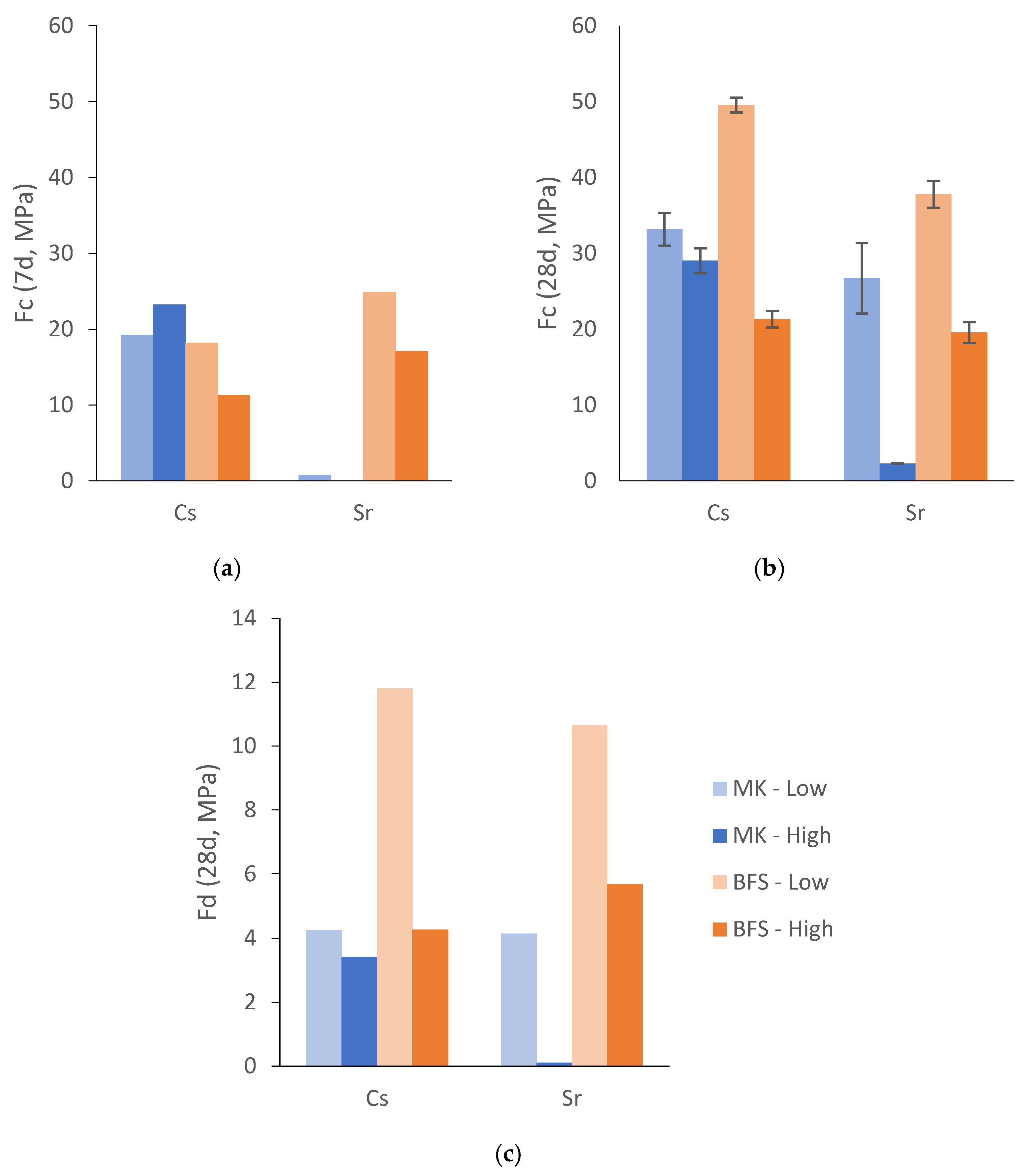
After 7 days of curing (Figure 1), all Cs-bearing waste forms already exceeded the 8 MPa compressive strength threshold required by the Belgian waste acceptance criteria [22], indicating good strength development. In contrast, the strength of the Sr-bearing metakaolin waste forms did not increase after seven days. BFS waste forms containing 2 and 3 wt.% of Sr(NO3)2 showed good compressive strength. After 28 d of curing, the geopolymerization of the Cs-bearing waste forms progressed to the point where all compressive strengths exceeded 21 MPa. The strengths of the metakaolin waste forms (with 2 and 5 wt.% CsNO3) are 33 and 29 MPa, respectively, or 87 and 76% of the strength of the reference geopolymer with an identical W/B ratio at the same age. For the BFS waste forms, the strengths were 50 and 21 MPa, or 94 and 49% of the strength of the reference alkali-activated slag, respectively. The 28-day flexural strengths of all waste forms showed either an increase or a slight decrease compared to the reference materials. These results indicate that, while there is a reduction in compressive strength, high waste loadings of Cs are possible without endangering the structural integrity of the material.
The 28-day compressive strength of the metakaolin waste forms bearing Sr varies strongly based on waste loading. The 2 wt.% waste loading waste form has developed a strength of 27 MPa, comparable to the strength of the Cs-bearing waste form. In contrast, waste loading of 5 wt.% resulted in a mere 2 MPa compressive strength. The alkali-activated slag waste forms showed good compressive strengths of 38 and 20 MPa, although the maximum Sr(NO3)2 loading was only 3 wt.%.
These tests reveal the importance of both the element being immobilized and its concentration on the mechanical strength. Cs ions, which share their charge with the dominant Na+ cation in the alkali-activated matrices, can be readily accommodated in the N-A-S-H gel, allowing relatively high waste loadings of up to 5 wt.% while preserving mechanical strength. In contrast, the addition of Sr(NO3)2 has a profound delaying effect on the geopolymerization process in both the MK- and BFS-based formulations. In metakaolin geopolymers, the low waste loading of 2 wt.% only resulted in appreciable mechanical strengths after 28 days, with a 5 wt.% waste loading never attaining acceptable strengths. A similar observation was made for BFS-based formulations, in which only mixtures of up to 3 wt.% Sr(NO3)2 could set and develop sufficient strength.
The delaying effect of high concentrations of nitrate ions on the geopolymerization process has been well described and attributed to an increase in the ionic strength of the pore solution [18,27,28]. Provis, Walls, and van Deventer [18] added that the role of the nitrate molecule as a whole and the associated cation are important as well. Because of their monovalent alkali metal nature, Cs+ ions are relatively compatible with the sodium-dominated N-A-S-H gel in metakaolin geopolymers. In contrast, owing to its divalent state and lower atomic mass, Sr2+ ions contribute many more nitrate ions to the pore solution than a similar weight percentage of CsNO3. Additionally, Mukiza et al. [16] observed that Sr2+ consumes OH ions from the activating solution, thereby exacerbating the retarding effect created by the nitrate ions. These mechanisms form a good framework for the observed (delayed) development of both MK- and BFS-based waste forms. The stronger delay in the strength development of MK-based waste forms containing Sr(NO3)2 compared with their BFS counterparts is likely attributable to the easier accommodation of Sr2+ in the Ca-dominated C-N-A-S-H gel of alkali-activated slags than in the Na-dominated N-A-S-H gels of MK geopolymers.

3.2. Optimized Waste Form Recipes

Analysis of the leachates of the leaching experiment in deionized water (Figure 2) shows that the leachability of Cs and Sr depends strongly on the waste form. Sr leaching in the BFS was below detectable concentrations, whereas Cs leaching was significant, exceeding 10% in most formulations. On the other hand, Cs leaching in metakaolin-based waste forms is minimal (0.4–0.7%), whereas Sr leaching is low but detectable (0.01–0.06%).
As these experiments were performed using a design of experiments, it is possible to apply a linear regression model to the data to understand the importance of variables in determining the leaching of Cs and Sr and to evaluate the best recipe for accommodating these elements. A linear regression model was chosen as it is able to estimate the relationship between a dependent variable (the degree of leaching of Cs and Sr) and independent variables (precursor type, W/B ratio, waste concentration). It fits a linear equation to the observed data, with the coefficients representing the change in the dependent variable for a unit change in each independent variable. The results of these models (Table 3) show that, in the case of Cs leaching, the type of precursor is the most important parameter governing leaching, which confirms the observations made earlier regarding the strong differences between metakaolin and BFS-based waste forms. Waste concentration also has a negative impact on leachability, meaning that lower waste concentrations are associated with lower leachability. This suggests that smaller amounts of Cs can be effectively contained within the matrix without being mobilized. As the concentration increases, the Cs cations face significant competition from the prevalent, mostly sodium-rich, cation population and are less tightly immobilized.
The Sr model (Table 4) cannot adequately describe the leaching of Sr, which is at least in part due to the fact that half of the data points (belonging to BFS based waste forms) do not show any leaching. This also explains why the precursor type is the factor that comes closest to significance.
Because Sr leaching was not adequately modeled using these data, recipe optimization was constrained by the influence of Cs. From the Cs model, it was clear that metakaolin-based formulations outperformed BFS-based formulations, regardless of the concentration of the waste or the W/B ratio. Comparing the different MK-based formulations (Figure 3) reveals that the formulations with a W/B ratio of 0.6 display the lowest degrees of Cs-leaching, regardless of waste concentration. Therefore, for the accelerated experiments, a metakaolin-based waste form with a W/B ratio of 0.6 was retained as the most performant matrix.
The leaching experiment in deionized water demonstrates clear differences between the leaching of elements and the waste form. The lack of Sr leaching in the BFS-based waste form can be attributed to the fact that Sr easily substitutes for Ca in the C-N-A-S-H-matrix, which supports the observed shorter delay in strength development in these waste forms [29]. Meanwhile, monovalent Cs cannot be accommodated to the same extent in the predominantly C-N-A-S-H matrix. It merely acts as a charge-balancing ion and is easily mobilized by the leachant. The N-A-S-H matrix of metakaolin-based waste forms is better suited to accommodate Cs, as it can substitute Na. The still appreciable amount of Cs leached out is likely of the same order of magnitude as Na, which is present at much higher concentrations. The leaching behavior of Sr can be best understood as a combination of Sr sorption to the N-A-S-H gel and the precipitation of Sr in the form of SrCO3. Molecular dynamic simulations have shown that the sorption of cations onto N-A-S-H gel is inversely proportional to their ionic radius and charge [30]. While Sr2+ has a higher charge than competing ions, such as Na+ and Cs+, its ionic radius is close to that of Na+, allowing it to sorb relatively well to the surface of the N-A-S-H gel. In addition, thermodynamic simulations have revealed that Sr is likely to precipitate as SrCO3 under normal atmospheric conditions, although it is difficult to verify the extent to which this occurs kinetically if the carbonate is poorly crystalline or present at low concentrations [16].

3.3. Accelerated Leaching Results

Based on the leaching experiment in deionized water, the most promising recipe was selected as a metakaolin geopolymer with a W/B ratio of 0.6. The reference waste solution, as defined in Table 2, was selected as the waste to be immobilized. Two waste loadings were considered: on the one hand, the baseline scenario containing only 0.02 wt.% Cs and 0.01 wt.% Sr, and, on the other hand, a slightly higher waste loading of 0.3 wt.% Cs and 0.1 wt.% Sr.
The results of the leaching experiment can be expressed as the cumulative fraction leached (CFL), i.e., the ratio of the concentration of an element in the leachate to its concentration in the unleached sample. The CFL is typically plotted as a function of the square of time, as it is a diffusion-controlled process (Figure 4). As expected, the CFLs for each element were significantly higher than those reported in the deionized water experiments. Despite a significant difference in waste loading, the CFLs for the low- and high-waste loading recipes only show modest differences: Cs and Sr have a higher CFL (0.26 and 0.21 vs. 0.22 and 0.18) in the low-waste loading recipe, while Ba and Na have a lower CFL (0.16 and 0.14 vs. 0.18 and 0.15) in the low-waste loading recipe.
Two different leaching regimens can be identified based on the CFL curves, each of which is related to the charge of the cation. In the case of divalent cations Ba2+ and Sr2+, the CFL curve is linear, indicating a constant release of these cations during the leaching experiment. In the case of the monovalent cations Na+ and Cs+, the first rapid leaching of the cations was followed by a modest leaching regimen. Therefore, the amount of Cs and Na released in this manner is inversely proportional to the amount sorbed to the geopolymer. For Cs, this means that 77% and 82% (low and high waste loading) of the Cs was immobilized well in the geopolymer matrix, respectively.
The linear leaching regimen of divalent cations Ba2+ and Sr2+ indicates the possibility that the entirety of the population of these cations is sorbed to or accommodated within the N-A-S-H gel, a possibility already offered by Walkley et al. [31] for Sr2+. NH4NO3 can react with cations to resolubilize them as Sr(NO3)2 and Ba(NO3)2, which are gradually removed from the N-A-S-H gel and released into the solution. In contrast, the leaching regimen for the monovalent cations Na+ and Cs+ is characterized by the first rapid leaching of the cations, followed by a slow release. The fast release of monovalent cations equates to the equilibration of the pore solution of the waste form with the NH4NO3 leachant: Cs and Na ions not already sorbed to the N-A-S-H gel quickly dispersed into the leachant by diffusive action. Therefore, the amount of Cs and Na released in this manner is inversely proportional to the amount sorbed to the geopolymer. For Cs, this means that the majority of its population is well immobilized in the geopolymer matrix, and it can be expected that the leaching of this fraction is limited.
The CFL curves can then be used to calculate the leachability indices (LIs) for each element to quantify the leaching speed (Table 5). The Belgian and most international ACRIA regulations on nuclear waste forms state that a minimum LI of six is required. The LI for all elements in the accelerated tests was in the range of 6.6 to 7.3, which is above the minimum requirement. It should be noted that the standard for determination of the LI is to leach samples in deionized water for prolonged (e.g., 1 year) periods of time; therefore, if a leaching experiment in an aggressive medium such as NH4NO3 yields an LI above 6, one can assume that the same would hold true for a leaching experiment in deionized water. Assuming a linear leaching profile, the LI of Cs and Sr in deionized water after one month can also be calculated using the results in Figure 5. This yields LI values of 9.6 and 12.5 for Cs and Sr, respectively. The LI was notably different between Cs and Sr, whereas, in the accelerated experiment, they were of the same scale. The best explanation for this discrepancy is that the NH4NO3 used in the accelerated test is especially effective in reacting with divalent cations, which is understandable given that this method was developed to leach cementitious materials that primarily feature a calcium-rich gel phase (C-S-H).

3.4. Microstructure and Element Mapping

The effect of the leaching process on the microstructure of alkali-activated waste forms and the distribution of Cs and Sr can be investigated using a combination of SEM and EDX. Overall, the effect of NH4NO3 leaching on the fabric of both waste forms was limited, with no discernible generation or destruction of porosity. The exception is the local densification of the amorphous matrix in a band approximately 40 µm wide near the surface of the samples. EDX mapping of the near-surface section revealed that the majority of the matrix was enriched in Na, Si, and Al, corresponding to a typical N-A-S-H matrix. Qualitative phase segmentation was performed by combining the individual elemental EDX maps of Na, Si, Al, and Ti into a matrix, after which each pixel was assigned a phase class based on its composition (e.g., a pixel with a high Al concentration coupled with low Na and Si concentrations was assigned as unreacted metakaolin). This exercise reveals that the majority of the image can be segmented as an N-A-S-H gel, with minor amounts of anatase, characterized by localized high Ti concentrations, and unreacted metakaolin, characterized by an Al concentration higher than the surrounding N-A-S-H matrix.
The distribution of elements in the waste solution, i.e., Ba, Rb, Sr, and Cs, can also be visualized by EDX maps. In the low-waste loading sample, except for Ba, all elements were homogeneously distributed over the matrix, indicating bonding to or within the N-A-S-H matrix. Ba appeared to be located at the same location as anatase, indicating bonding to that mineral. In the high-waste loading sample, Ba displayed a similar concentration near anatase, while Rb and Sr were homogeneously distributed. Cs, on the other hand, shows a homogeneous distribution over the N-A-S-H matrix while, at the same time, clustering near unreacted metakaolin particles (Figure 6).
The observations from the combination of SEM and EDX reveal that the effect of NH4NO3 leaching on the microstructure of metakaolin geopolymer is limited, with no significant generation or clogging of the porosity. This implies that the aluminosilicate framework of the N-A-S-H gel was unaffected by the leachant. The homogeneous distribution of most elements indicates that they were either sorbed to or accommodated within the N-A-S-H gel. The concentration of Cs influences its distribution, with higher waste loadings of Cs resulting in a preferred situation near unreacted metakaolin particles. The high specific surface area combined with its high cation exchange capacity is likely the reason for the selective adsorption of Cs on metakaolin, which was also observed by Guangren et al. [32], who noted an improvement in the Cs retention of alkali-activated slag after the addition of metakaolin.
The observed binding of Ba to anatase can best be understood in terms of ion exchange, as titanium oxides have been found to exhibit a high ion-exchange potential for alkali metal ions [33]. Singh et al. [34] reported that anatase has a high specificity for sorbing Ba and outcompeting Cs and Eu, with sorption increasing sharply with the pH of the solution. Therefore, Ba is expected to preferentially bind anatase. However, the linear leaching regimen in the accelerated leaching experiment indicated that the sorption was reversible in the presence of NH4NO3.

4. Conclusions

This study examined the immobilization of a waste stream containing Cs and Sr nitrates in alkali-activated matrices composed of metakaolin and blast furnace slag. The primary objective was to determine the maximum waste loading of Cs and Sr nitrates. The results showed that the immobilization of more than 5 wt.% of Cs or Sr nitrates is not feasible due to the negative impact of nitrate ions on the geopolymerization process, as well as the detrimental effect of Sr on strength by reducing the alkalinity of the activating solution.
Further optimization of the alkali-activated waste form formulation, considering realistic waste loadings, revealed that metakaolin geopolymers offer superior resistance to leaching for a combination of Cs and Sr. Accelerated leaching tests conducted on an optimized geopolymer recipe demonstrated distinct differences in the leaching behavior of monovalent and divalent cations. Monovalent cations quickly leached out of the pore solution, while a larger fraction of sorbed monovalent cations remained relatively stable within the N-A-S-H gel. On the other hand, the leaching of divalent cations was linear, indicating a continuous release from the N-A-S-H gel (or anatase particles in the case of Ba). Overall, the leaching indices for all the cations were within an acceptable range, suggesting that an alkali-activated matrix can effectively contain a waste stream containing Cs and Sr nitrates. Future research will focus on alkali-activated matrices with higher waste loadings, which will allow for the cooling of the waste form prior to storage.

Author Contributions

Conceptualization, L.F. and Q.T.P.; methodology, L.F. and Q.T.P.; formal analysis, L.F. and E.M.; investigation, L.F. and E.M.; writing—original draft preparation, L.F.; writing—review and editing, L.F., Q.T.P. and E.M.; visualization, L.F.; supervision, Q.T.P.; project administration, Q.T.P. All authors have read and agreed to the published version of the manuscript.

Funding

This work was funded by the Energy Transition Fund of the Belgian FPS Economy (project ASOF—Advanced Separation for Optimal Management of Spent Fuel).

Data Availability Statement

Raw data supporting the conclusions of this article will be made available by the authors upon request.

Conflicts of Interest

The authors declare no conflicts of interest.

References

  1. Modolo, G.; Wilden, A.; Geist, A.; Magnusson, D.; Malmbeck, R. A review of the demonstration of innovative solvent extraction processes for the recovery of trivalent minor actinides from PUREX raffinate. Radiochim. Acta 2012, 100, 715–725. [Google Scholar] [CrossRef]
  2. Ning, S.Y.; Wang, X.P.; Zou, Q.; Shi, W.Q.; Tang, F.D.; He, L.F.; Wei, Y.Z. Direct separation of minor actinides from high level liquid waste by Me2-CA-BTP/SiO2-P adsorbent. Sci. Rep. 2017, 7, 14679. [Google Scholar] [CrossRef] [PubMed]
  3. Baker, A.; Fells, A.; Carrott, M.J.; Maher, C.J.; Hanson, B.C. Process intensification of element extraction using centrifugal contactors in the nuclear fuel cycle. Chem. Soc. Rev. 2022, 51, 3964–3999. [Google Scholar] [CrossRef] [PubMed]
  4. Zou, S.; Kuang, Y.; Tang, D.; Guo, Z.; Xu, S. Risk analysis of high level radioactive waste storage tank based on HAZOP. Ann. Nucl. Energy 2018, 119, 106–116. [Google Scholar] [CrossRef]
  5. Christophe, B.; Thomas, C.; Karen, V.H.; Ken, V.; Marc, V.; Gregory, L.; Karel, L.; Karine, F.; Tri, P.Q.; Lander, F.; et al. The ASOF project—Advanced separation for the optimal management of spent fuel. In Proceedings of the Waste Management 2023, Phoenix, AZ, USA, 26 February 2023; p. 8. [Google Scholar]
  6. Lemmens, K.; Ferrand, K.; Van Hecke, K. Reference Composition of the Fission Product and Rest Waste Stream; SCK CEN Report ER-1190; SCK CEN: Mol, Belgium, 2023. [Google Scholar]
  7. Nguyen, T.N.; Phung, Q.T.; Jacques, D.; Neji, M.; Dauzeres, A.; Elsen, J.; Pontikes, Y. Microstructure, water permeability and micromechanical properties of alkali activated slag subjected to accelerated leaching. Mater. Des. 2024, 238, 112706. [Google Scholar] [CrossRef]
  8. Nguyen, T.N.; Phung, Q.T.; Jacques, D.; Elsen, J.; Pontikes, Y. Microstructure and transport properties of metakaolin-based geopolymers subjected to accelerated leaching. Constr. Build. Mater. 2024, 426, 136225. [Google Scholar] [CrossRef]
  9. Nguyen, T.N.; Phung, Q.T.; Yu, Z.; Frederickx, L.; Jacques, D.; Sakellariou, D.; Dauzeres, A.; Elsen, J.; Pontikes, Y. Alteration in molecular structure of alkali activated slag with various water to binder ratios under accelerated carbonation. Sci. Rep. 2022, 12, 5524. [Google Scholar] [CrossRef]
  10. Davidovits, J. Geopolymers: Inorganic polymeric new materials. J. Therm. Anal. Calorim. 1991, 37, 1633–1656. [Google Scholar] [CrossRef]
  11. Provis, J.L. Alkali-activated materials. Cem. Concr. Res. 2018, 114, 40–48. [Google Scholar] [CrossRef]
  12. Mukiza, E.; Phung, Q.T.; Seetharam, S.C.; Nguyen, T.N.; Bruggeman, C.; De Schutter, G. Recent advances in immobilization of radioactive cesium and strontium-bearing wastes in alkali activated materials A review. J. Environ. Manag. 2024, 370, 122746. [Google Scholar] [CrossRef]
  13. Nath, S.; Mukherjee, S.; Maitra, S.; Kumar, S. Kinetics study of geopolymerization of fly ash using isothermal conduction calorimetry. J. Therm. Anal. Calorim. 2017, 127, 1953–1961. [Google Scholar] [CrossRef]
  14. Vandevenne, N.; Iacobescu, R.; Pontikes, Y.; Carleer, R.; Thijssen, K.; Gijbels, K.; Schreurs, S.; Schroeyers, W. Incorporating Cs and Sr into blast furnace slag inorganic polymers and their effect on matrix properties. J. Nucl. Mater. 2018, 503, 1–12. [Google Scholar] [CrossRef]
  15. Vandevenne, N.; Iacobescu, R.; Carleer, R.; Samyn, P.; D’Haen, J.; Pontikes, Y.; Schreurs, S.; Schroeyers, W. Alkali-activated materials for radionuclide immobilisation and the effect of precursor composition on Cs/Sr retention. J. Nucl. Mater. 2018, 510, 575–584. [Google Scholar] [CrossRef]
  16. Mukiza, E.; Phung, Q.T.; Frederickx, L.; Jacques, D.; Seetharam, S.; De Schutter, G. Co-immobilization of cesium and strontium containing waste by metakaolin-based geopolymer: Microstructure, mineralogy and mechanical properties. J. Nucl. Mater. 2023, 585, 154639. [Google Scholar] [CrossRef]
  17. Desbats-Le Chequer, C.; Frizon, F. Impact of sulfate and nitrate incorporation on potassium-and sodium-based geopolymers: Geopolymerization and materials properties. J. Mater. Sci. 2011, 46, 5657–5664. [Google Scholar] [CrossRef]
  18. Provis, J.L.; Walls, P.A.; van Deventer, J.S. Geopolymerisation kinetics. 3. Effects of Cs and Sr salts. Chem. Eng. Sci. 2008, 63, 4480–4489. [Google Scholar] [CrossRef]
  19. Komnitsas, K.; Zaharaki, D.; Bartzas, G. Effect of sulphate and nitrate anions on heavy metal immobilisation in ferronickel slag geopolymers. Appl. Clay Sci. 2013, 73, 103–109. [Google Scholar] [CrossRef]
  20. He, P.; Cui, J.; Wang, M.; Fu, S.; Yang, H.; Sun, C.; Duan, X.; Yang, Z.; Jia, D.; Zhou, Y. Interplay between storage temperature, medium and leaching kinetics of hazardous wastes in Metakaolin-based geopolymer. J. Hazard. Mater. 2020, 384, 121377. [Google Scholar] [CrossRef]
  21. Carde, C.; Escadeillas, G.; François, A. Use of ammonium nitrate solution to simulate and accelerate the leaching of cement pastes due to deionized water. Mag. Concr. Res. 1997, 49, 295–301. [Google Scholar] [CrossRef]
  22. Frederickx, L.; Nguyen, T.N.; Phung, Q.T. Strength and Microstructure Characteristics of Metakaolin-Based Geopolymer Mortars with High Water-to-Binder Ratios. Sustainability 2022, 14, 3141. [Google Scholar] [CrossRef]
  23. Weetjens, E.; Govaerts, J. Impact of Separation and Conditioning on Final Disposal: ASOF Deliverable D4.2; SCK CEN Reports; SCK CEN: Mol, Belgium, 2024; 87p. [Google Scholar]
  24. Wheeler, B.; Braun, M.J. Package ‘AlgDesign’. R Proj. Stat. Comput 2019, 1, 1–25. [Google Scholar]
  25. Phung, Q.T.; Maes, N.; Jacques, D.; De Schutter, G.; Ye, G. Investigation of the changes in microstructure and transport properties of leached cement pastes accounting for mix composition. Cem. Concr. Res. 2015, 79, 217–234. [Google Scholar] [CrossRef]
  26. Godbee, H.; Joy, D. Assessment of the Loss of Radioactive Isotopes from Waste Solids to the Environment. Part I. Background and Theory; Oak Ridge National Lab. (ORNL): Oak Ridge, TN, USA, 1974. [Google Scholar]
  27. Snyder, K.A.; Feng, X.; Keen, B.; Mason, T. Estimating the electrical conductivity of cement paste pore solutions from OH, K+ and Na+ concentrations. Cem. Concr. Res. 2003, 33, 793–798. [Google Scholar] [CrossRef]
  28. Shi, C. A discussion of paper “Estimating the electrical conductivity of cement paste pore solution from OH, K+ and Na+ concentrations. Cem. Concr. Res. 2005, 2, 420. [Google Scholar]
  29. Li, Z.; Nagashima, M.; Ikeda, K. Treatment technology of hazardous water contaminated with radioisotopes with paper sludge ash-based geopolymer—Stabilization of immobilization of strontium and cesium by mixing seawater. Materials 2018, 11, 1521. [Google Scholar] [CrossRef]
  30. Zhang, W.; Li, J.-S.; Huang, X.; Chen, Z.; Lang, L.; Huang, K. Unraveling the cation adsorption of geopolymer binder: A molecular dynamics study. Chemosphere 2023, 335, 139118. [Google Scholar] [CrossRef]
  31. Walkley, B.; Ke, X.; Hussein, O.H.; Bernal, S.A.; Provis, J.L. Incorporation of strontium and calcium in geopolymer gels. J. Hazard. Mater. 2020, 382, 121015. [Google Scholar] [CrossRef]
  32. Guangren, Q.; Yuxiang, L.; Facheng, Y.; Rongming, S. Improvement of metakaolin on radioactive Sr and Cs immobilization of alkali-activated slag matrix. J. Hazard. Mater. 2002, 92, 289–300. [Google Scholar] [CrossRef]
  33. Mishra, S.P.; Srinivasu, N.; Tiwary, D. Ion exchangers in radioactive waste management—V. A case of efficient removal of Ba (II) from aqueous solutions by TiO2 powder—Radiotracer study. Int. J. Radiat. Appl. Instrum. Part A. Appl. Radiat. Isot. 1992, 43, 1253–1257. [Google Scholar] [CrossRef]
  34. Singh, B.; Tomar, R.; Kumar, S.; Kar, A.; Tomar, B.; Ramanathan, S.; Manchanda, V. Role of the humic acid for sorption of radionuclides by synthesized titania. Radiochim. Acta 2014, 102, 255–261. [Google Scholar] [CrossRef]
Figure 1. Overview of the compressive strength (Fc) after 7 days (a) and 28 days (b) of curing and the flexural strength (Fd) after 28 days of curing (c). ‘Low’ and ‘High’ refer to the waste loading of Cs- or Sr-nitrate. For the MK-based waste forms with Cs and Sr and for the BFS-based waste form with Cs ‘Low’ and ‘High’ refer to 2 and 5 wt.%, while 2 and 3 wt.% confer to the ‘Low’ and ‘High’ waste loadings of Sr in the BFS-based waste form. Where multiple subsamples are available for testing, error bars indicating uncertainty are added.
Figure 1. Overview of the compressive strength (Fc) after 7 days (a) and 28 days (b) of curing and the flexural strength (Fd) after 28 days of curing (c). ‘Low’ and ‘High’ refer to the waste loading of Cs- or Sr-nitrate. For the MK-based waste forms with Cs and Sr and for the BFS-based waste form with Cs ‘Low’ and ‘High’ refer to 2 and 5 wt.%, while 2 and 3 wt.% confer to the ‘Low’ and ‘High’ waste loadings of Sr in the BFS-based waste form. Where multiple subsamples are available for testing, error bars indicating uncertainty are added.
Sustainability 17 01756 g001
Figure 2. Percentage of Cs (a) and Sr (b) leached from the waste forms (respectively, MK- and BFS-based) by immersion in deionized water for one month.
Figure 2. Percentage of Cs (a) and Sr (b) leached from the waste forms (respectively, MK- and BFS-based) by immersion in deionized water for one month.
Sustainability 17 01756 g002
Figure 3. Comparison of the leaching behavior of Cs in metakaolin-based waste forms with different W/B ratios.
Figure 3. Comparison of the leaching behavior of Cs in metakaolin-based waste forms with different W/B ratios.
Sustainability 17 01756 g003
Figure 4. Plot of the cumulative fraction leached (CFL) as a function of the square root of time for the low (a) and high (b) waste loading varieties of the metakaolin geopolymer waste form immersed in 6 M of NH4NO3.
Figure 4. Plot of the cumulative fraction leached (CFL) as a function of the square root of time for the low (a) and high (b) waste loading varieties of the metakaolin geopolymer waste form immersed in 6 M of NH4NO3.
Sustainability 17 01756 g004
Figure 5. Microscopic maps of the low-waste loading sample: (a) SEM image; (b) qualitative phase segmented map; and (cf) EDX maps showing the spatial distribution of, respectively, Cs, Sr, Ba, and Rb. All these results indicate that, while Cs and Sr leach from their waste form, the overall leaching rates are acceptable even under accelerated conditions. It can be hypothesized that the leaching rate of divalent Sr is, in reality, lower than that measured by the accelerated experiment because of the high specificity of the medium for divalent cations; however, other accelerated tests are not carried out.
Figure 5. Microscopic maps of the low-waste loading sample: (a) SEM image; (b) qualitative phase segmented map; and (cf) EDX maps showing the spatial distribution of, respectively, Cs, Sr, Ba, and Rb. All these results indicate that, while Cs and Sr leach from their waste form, the overall leaching rates are acceptable even under accelerated conditions. It can be hypothesized that the leaching rate of divalent Sr is, in reality, lower than that measured by the accelerated experiment because of the high specificity of the medium for divalent cations; however, other accelerated tests are not carried out.
Sustainability 17 01756 g005
Figure 6. Microscopic maps of the low-waste loading sample: (a) SEM image; (b) qualitative phase segmented map; and (cf) EDX maps showing the spatial distribution of, respectively, Cs, Sr, Ba, and Rb.
Figure 6. Microscopic maps of the low-waste loading sample: (a) SEM image; (b) qualitative phase segmented map; and (cf) EDX maps showing the spatial distribution of, respectively, Cs, Sr, Ba, and Rb.
Sustainability 17 01756 g006aSustainability 17 01756 g006b
Table 1. Overview of the variables considered in the experimental matrix.
Table 1. Overview of the variables considered in the experimental matrix.
PrecursorW/B RatioCs (wt.%)Sr (wt.%)
MK0.60, 0.70, 0.800.01–0.020.005–0.010
BFS0.35, 0.45, 0.55
Table 2. Reference composition of the simulated Cs/Sr waste solution.
Table 2. Reference composition of the simulated Cs/Sr waste solution.
ElementConcentration (mol/L)
Cs3.85 × 10−3
Sr1.84 × 10−3
Ba2.85 × 10−3
Rb8.76 × 10−4
Na6.06 × 10−4
Table 3. Summary of the linear regression model applied to the results of the leaching experiments in order to predict the percentage of leached Cs. Significance codes: 0.001 ‘**’, 0.01 ‘*’, 0.05 ‘.’, 0.1 ‘x’. Multiple R-squared of the model is 0.78.
Table 3. Summary of the linear regression model applied to the results of the leaching experiments in order to predict the percentage of leached Cs. Significance codes: 0.001 ‘**’, 0.01 ‘*’, 0.05 ‘.’, 0.1 ‘x’. Multiple R-squared of the model is 0.78.
EstimateStd. Errort-ValuePr (>|t|)Significance
(Intercept)15.5245.5922.7760.015*
W/B ratio−1.0129.907−0.1020.920x
Precursor type−11.1512.818−3.9580.001**
Waste concentration−4.2662.090−2.0410.061.
Table 4. Summary of the linear regression model applied to the results of the leaching experiments in order to predict the percentage of leached Sr. Significance codes: 0.1 ‘x’. Multiple R-squared of the model is 0.01.
Table 4. Summary of the linear regression model applied to the results of the leaching experiments in order to predict the percentage of leached Sr. Significance codes: 0.1 ‘x’. Multiple R-squared of the model is 0.01.
EstimateStd. Errort-ValuePr (>|t|)Significance
(Intercept)0.0000.0230.0040.997x
W/B ratio0.0140.0400.3590.725x
Precursor type0.0190.0111.6710.117x
Waste concentration−0.0070.009−0.7810.448x
Table 5. Leachability indices for each element in the accelerated leaching experiment.
Table 5. Leachability indices for each element in the accelerated leaching experiment.
CsSrBaNa
Low waste loading6.97.06.87.3
High waste loading7.06.76.67.0
Disclaimer/Publisher’s Note: The statements, opinions and data contained in all publications are solely those of the individual author(s) and contributor(s) and not of MDPI and/or the editor(s). MDPI and/or the editor(s) disclaim responsibility for any injury to people or property resulting from any ideas, methods, instructions or products referred to in the content.

Share and Cite

MDPI and ACS Style

Frederickx, L.; Mukiza, E.; Phung, Q.T. Leaching of a Cs- and Sr-Rich Waste Stream Immobilized in Alkali-Activated Matrices. Sustainability 2025, 17, 1756. https://doi.org/10.3390/su17041756

AMA Style

Frederickx L, Mukiza E, Phung QT. Leaching of a Cs- and Sr-Rich Waste Stream Immobilized in Alkali-Activated Matrices. Sustainability. 2025; 17(4):1756. https://doi.org/10.3390/su17041756

Chicago/Turabian Style

Frederickx, Lander, Emile Mukiza, and Quoc Tri Phung. 2025. "Leaching of a Cs- and Sr-Rich Waste Stream Immobilized in Alkali-Activated Matrices" Sustainability 17, no. 4: 1756. https://doi.org/10.3390/su17041756

APA Style

Frederickx, L., Mukiza, E., & Phung, Q. T. (2025). Leaching of a Cs- and Sr-Rich Waste Stream Immobilized in Alkali-Activated Matrices. Sustainability, 17(4), 1756. https://doi.org/10.3390/su17041756

Note that from the first issue of 2016, this journal uses article numbers instead of page numbers. See further details here.

Article Metrics

Back to TopTop