The Impact of Vegetation Layouts on Thermal Comfort in Urban Main Streets: A Case Study of Youth Street in Shenyang
Abstract
1. Introduction
2. Materials and Methods
2.1. Study Area
2.2. Thermal Comfort Evaluation
2.3. Simulation Software
2.3.1. ENVI-Met Model
2.3.2. RayMan Model and Sky View Factor (SVF)
2.4. Model Validation
2.4.1. Field Measurement
2.4.2. Simulation Verification
2.5. ENVI-Met Simulation
2.5.1. Scenario Design
2.5.2. Parameter Setting
2.5.3. Heat Mitigation Rate (HMR) Analysis
3. Results
3.1. Correlation Analysis
3.2. Relationship Between SVF and PET
3.3. The Change of Current Situation of Site and Street Without Trees over Time
3.4. Effects of Different Scenarios on Environmental Microclimate
3.4.1. Air Temperature
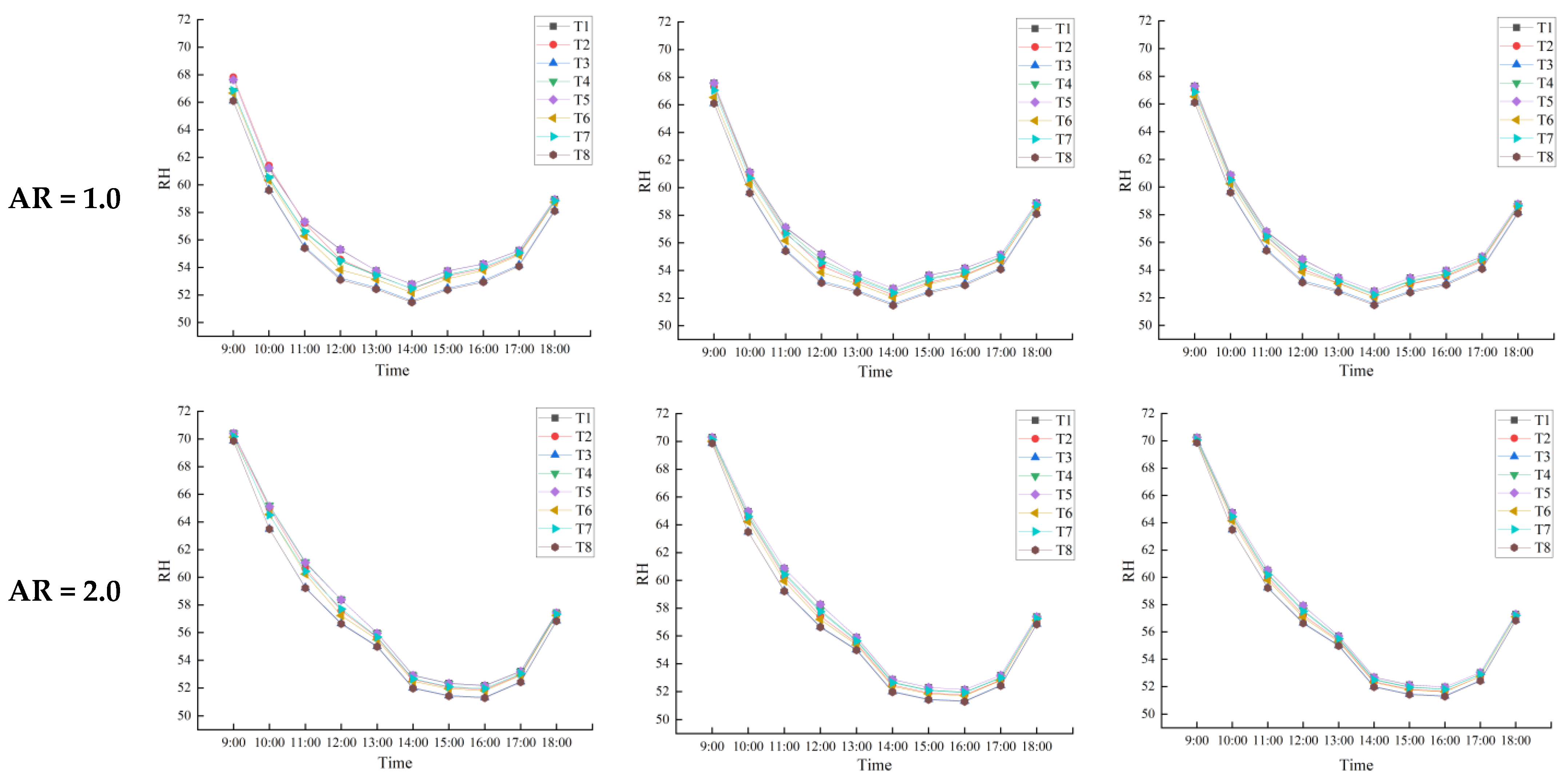
3.4.2. Relative Humidity
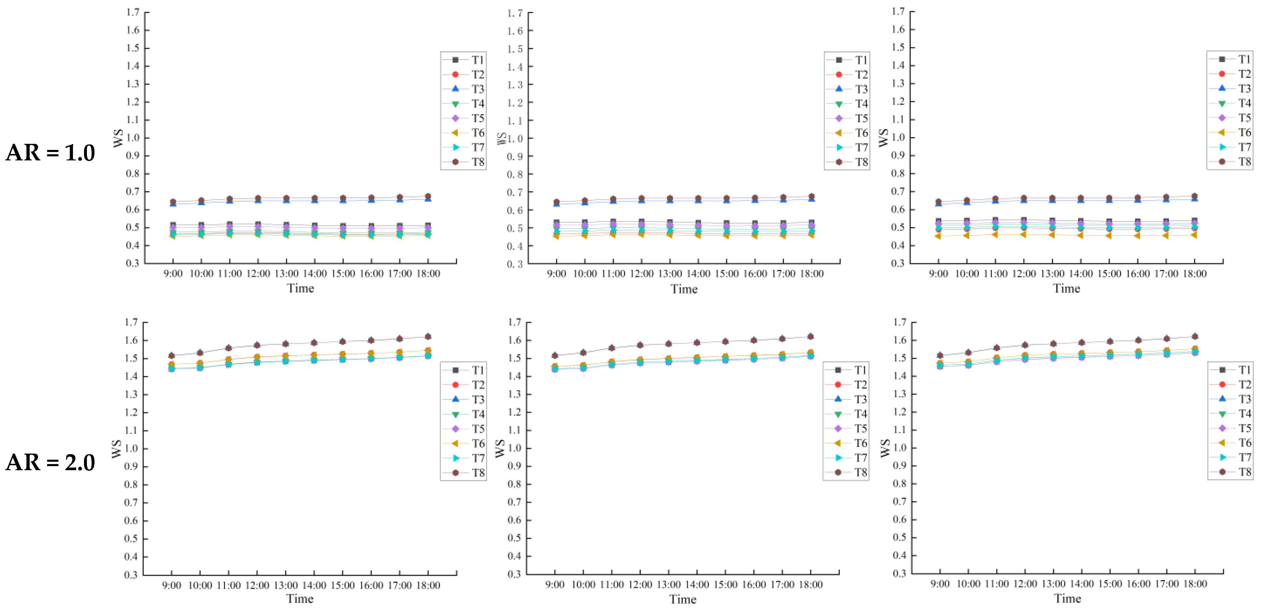
3.4.3. Wind Speed
3.4.4. Sky View Factor
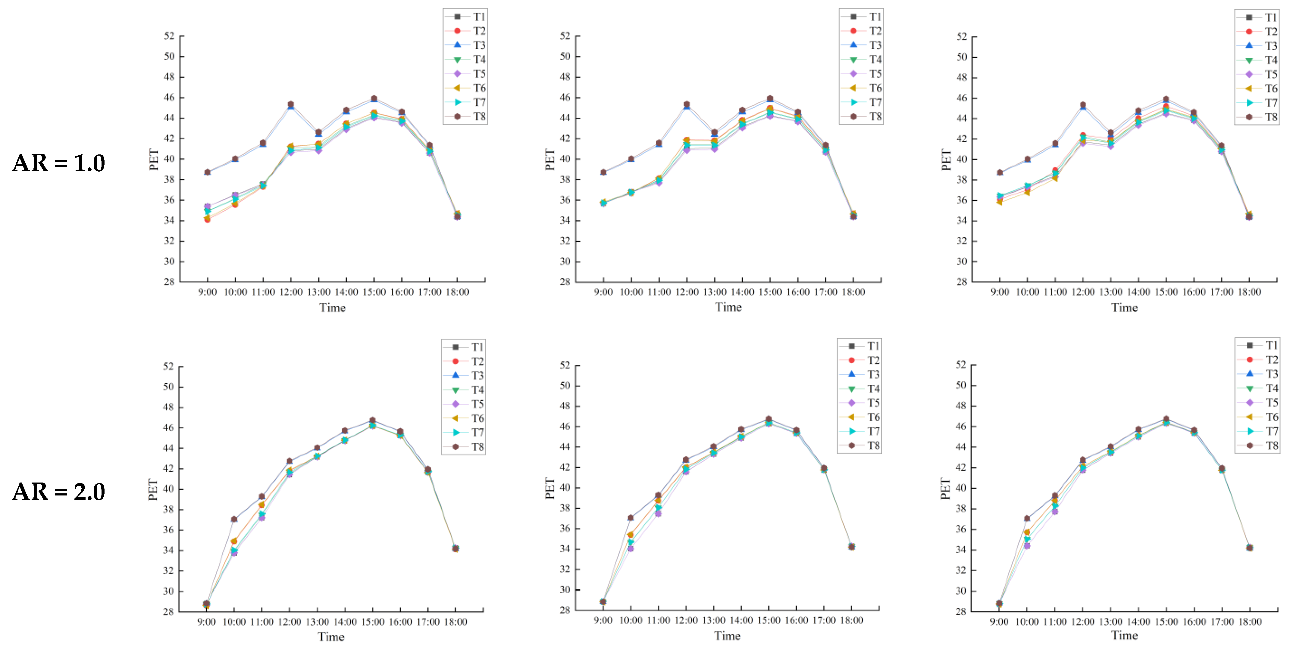
3.4.5. PET
3.5. Heat Mitigation Rate (HMR)
4. Discussion
5. Conclusions
- Correlation Analysis: Tmrt exhibits the strongest positive correlation with PET (r = 0.954, p = 0.000), followed by Ta (r = 0.920, p = 0.000). RH shows the strongest negative correlation with PET. Sidewalk Ta is highly positively correlated with meteorological Ta (r = 0.920, p = 0.000) and negatively correlated with RH.
- SVF and PET Relationship: Higher SVF values correspond to greater exposure of the sidewalk to solar radiation, leading to reduced thermal comfort. The highest SVF value (0.942) and corresponding PET value indicate significant discomfort at point 1 in treeless conditions.
- Temporal Changes: The highest temperatures occur at 15:00, with maximum differences of 1.28 °C for Ta and 5.30% for RH. Tmrt values are significantly higher in treeless conditions (63.77 °C vs. 52.25 °C with trees). Wind speed (WS) is significantly higher without trees, with a maximum difference of 0.30 m/s at 16:00.
- Effects of Different Scenarios: Smaller plant spacing of street trees results in better cooling effects. For example, in the N-S/0.5/T5 scenario, average Ta values are 30.56 °C (4 m spacing), 30.59 °C (6 m spacing), and 30.68 °C (8 m spacing). The cooling effect decreases with wider plant spacing.
- Thermal Comfort: T5 (deciduous broadleaf trees and hedges) provides the best heat mitigation effect, particularly in low and medium AR streets (AR = 0.5, 1.0). In high-AR streets (AR = 2.0), overly dense plant configurations reduce heat mitigation ability. The heat mitigation rate (HMR) is highest at low AR (9.87% at AR = 0.5, 9.94% at AR = 1.0) and lower at high AR (8.16% at AR = 2.0).
- Evergreen Trees: Evergreen trees, like broadleaf trees, provide significant heat mitigation benefits in summer and enhance urban street aesthetics in winter.
Supplementary Materials
Author Contributions
Funding
Institutional Review Board Statement
Informed Consent Statement
Data Availability Statement
Conflicts of Interest
Abbreviations
| AR | Aspect Ratio |
| HMR | Heat Mitigation Rate |
| PET | Physiologically Equivalent Temperature |
| RH | Relative Humidity |
| SVF | Sky View Factor |
| Ta | Air Temperature |
| Tac | Ta with trees |
| Tan | Ta without trees |
| Tg | Black globe temperature |
| Tmrt | Mean Radiant Temperature |
| WS | Wind Speed |
References
- World Urbanization Prospects—Population Division—United Nations. Available online: https://population.un.org/wup/downloads (accessed on 7 October 2023).
- Zhang, X.Y.; Han, L.J.; Wei, H.Y.; Tan, X.R.; Zhou, W.Q.; Li, W.F.; Qian, Y.G. Linking urbanization and air quality together: A review and a perspective on the future sustainable urban development. J. Clean. Prod. 2022, 346, 130988. [Google Scholar] [CrossRef]
- Oke, T.R. City size and the urban heat island. Atmos. Environ. 1973, 7, 769–779. [Google Scholar] [CrossRef]
- Chen, Y.Q.; Shan, B.Y.; Yu, X.Y. Study on the spatial heterogeneity of urban heat islands and influencing factors. Build. Environ. 2022, 208, 108604. [Google Scholar] [CrossRef]
- Qiu, G.Y.; Zhang, X.N. China’s Urbanization and Its Ecological Environment Challenges in the 21st Century. Adv. Earth Sci. 2019, 34, 640–649. (In Chinese) [Google Scholar]
- Cao, S.J.; Deng, H.Y. Investigation of temperature regulation effects on indoor thermal comfort, air quality, and energy savings toward green residential buildings. Sci. Technol. Built Environ. 2019, 25, 309–321. [Google Scholar] [CrossRef]
- Ren, J.L.; He, J.J.; Kong, X.F.; Xu, W.; Kang, Y.T.; Yu, Z.; Li, H.W. A field study of CO2 and particulate matter characteristics during the transition season in the subway system in Tianjin, China. Energy Build. 2022, 254, 111620. [Google Scholar] [CrossRef]
- Ren, J.L.; Tang, M.J.; Novoselac, A. Experimental study to quantify airborne particle deposition onto and resuspension from clothing using a fluorescent-tracking method. Build. Environ. 2022, 209, 108580. [Google Scholar] [CrossRef]
- Patz, J.A.; Khaliq, M. Global climate change and health: Challenges for future practitioners. JAMA 2002, 287, 2283–2284. [Google Scholar] [CrossRef] [PubMed]
- Tan, J.G.; Zheng, Y.F.; Tang, X.; Guo, C.Y.; Li, L.P.; Song, G.X.; Zhen, X.R.; Yuan, D.; Kalkstein, A.J.; Li, F.R.; et al. The urban heat island and its impact on heat waves and human health in Shanghai. Int. J. Biometeorol. 2010, 54, 75–84. [Google Scholar] [CrossRef] [PubMed]
- Buchin, O.; Hoelscher, M.T.; Meier, F.; Nehls, T.; Ziegler, F. Evaluation of the health-risk reduction potential of countermeasures to urban heat islands. Energy Build. 2016, 114, 27–37. [Google Scholar] [CrossRef]
- Katsouyanni, K.; Trichopoulos, D.; Zavitsanos, X.; Touloumi, G. The 1987 Athens Heatwave. Lancet 1988, 332, 573. [Google Scholar] [CrossRef]
- Semenza, J.C.; Rubin, C.H.; Falter, K.H.; Selanikio, J.D.; Flanders, W.D.; Howe, H.L.; Wilhelm, J.L. Heat-Related Deaths during the July 1995 Heat Wave in Chicago. N. Engl. J. Med. 1996, 335, 84–90. [Google Scholar] [CrossRef]
- Robine, J.M.; Cheung, S.L.K.; Roy, S.L.; Oyan, H.V.; Griffiths, C.; Michel, J.P.; Herrmann, F.R. Death toll exceeded 70,000 in Europe during the summer of 2003. C. R. Biol. 2008, 331, 171–178. [Google Scholar] [CrossRef] [PubMed]
- Liu, L.Q.; Breitner, S.; Pan, X.C.; Franck, U.; Leitte, A.M.; Wiedensohler, A.; Klot, S.; Wichmann, H.E.; Peters, A.; Schneider, A. Associations between air temperature and cardio-respiratory mortality in the urban area of Beijing, China: A time-series analysis. Environ. Health 2011, 10, 51. [Google Scholar] [CrossRef] [PubMed]
- China Urban Planning Network. Available online: https://www.planning.org.cn/solicity (accessed on 7 October 2023).
- Hong, J.; Wang, B. A Review of Evaluation Studies on Urban Micro-Climate and Thermal Comfort. Build. Sci. 2017, 33, 1–8. (In Chinese) [Google Scholar]
- Cui, P.; Jiang, J.J.; Zhang, J.; Wang, L. Effect of street design on UHI and energy consumption based on vegetation and street aspect ratio: Taking Harbin as an example. Sustain. Cities Soc. 2023, 92, 104484. [Google Scholar] [CrossRef]
- Salata, F.; Golasi, I.; Petitti, D.; Vollaro, E.L.; Coppi, M.; Vollaro, A.L. Relating microclimate, human thermal comfort and health during heat waves: An analysis of heat island mitigation strategies through a case study in an urban outdoor environment. Sustain. Cities Soc. 2017, 30, 79–96. [Google Scholar] [CrossRef]
- Tang, Y.F.; Wen, Y.B.; Chen, H.; Tan, Z.C.; Yao, Y.H.; Zhao, F.Y. Airflow Mitigation and Pollutant Purification in an Idealized Urban Street Canyon with Wind Driven Natural Ventilation: Cooperating and Opposing Effects of Roadside Tree Plantings and Non-uniform Building Heights. Sustain. Cities Soc. 2023, 92, 104483. [Google Scholar] [CrossRef]
- Algeciras, J.A.R.; Coch, H.; Pérez, G.D.l.P.; Yeras, M.C.; Matzarakis, A. Human thermal comfort conditions and urban planning in hot-humid climates-The case of Cuba. Int. J. Biometeorol. 2016, 60, 1151–1164. [Google Scholar] [CrossRef]
- Vailshery, L.S.; Jaganmohan, M.; Nagendra, H. Effect of street trees on microclimate and air pollution in a tropical city. Urban For. Urban Green. 2013, 12, 408–415. [Google Scholar] [CrossRef]
- Perini, K.; Chokhachian, A.; Auer, T. Chapter 3.3—Green Streets to Enhance Outdoor Comfort. In Nature Based Strategies for Urban and Building Sustainability; Gabriel, P., Katia, P., Eds.; Butterworth-Heinemann: Oxford, UK, 2018; pp. 119–129. [Google Scholar]
- Rahman, M.A.; Hartmann, C.; Moser-Reischl, A.; Stracheitz, M.F.; Paeth, H.; Prezsch, H.; Pauleit, S.; Rotzer, T. Tree cooling effects and human thermal comfort under contrasting species and sites. Agr. For. Meteorol. 2020, 287, 107947. [Google Scholar] [CrossRef]
- Li, L.; Zou, Z.Q.; Zhou, T.T.; Zhou, X.Q.; Li, Q.L. Simulation and Analysis of Influencing Factors of Pavement Thermal Environments in Guangzhou. Sustainability 2022, 14, 7251. [Google Scholar] [CrossRef]
- Zheng, B.H.; Bernard Bedra, K.; Zheng, J.; Wang, G.G. Combination of Tree Configuration with Street Configuration for Thermal Comfort Optimization under Extreme Summer Conditions in the Urban Center of Shantou City, China. Sustainability 2018, 10, 4192. [Google Scholar] [CrossRef]
- Bartesaghi Koc, C.; Osmond, P.; Peters, A. Evaluating the cooling effects of green infrastructure: A systematic review of methods, indicators and data sources. Sol. Energy 2018, 166, 486–508. [Google Scholar] [CrossRef]
- Liaoning Provincial People’s Government. Available online: https://www.ln.gov.cn/web/spzb/2021nxwfbh/2023021922142311743/index.shtml (accessed on 19 February 2023).
- Tian, P.; Li, J.L.; Pu, R.L.; Cao, L.D.; Liu, Y.C.; Zhang, H.T. Assessing the cold island effect of urban parks in metropolitan cores: A case study of Hangzhou, China. Environ. Sci. Pollut. Res. 2023, 30, 80931–80944. [Google Scholar] [CrossRef]
- Taleghani, M.; Sailor, D.J.; Tenpierik, M.; van den Dobbelsteen, A. Thermal assessment of heat mitigation strategies: The case of Portland State University, Oregon, USA. Build. Environ. 2014, 73, 138–150. [Google Scholar] [CrossRef]
- Tsoka, S.; Tsikaloudaki, K.; Theodosiou, T. Urban space’s morphology and microclimatic analysis: A study for a typical urban district in the Mediterranean city of Thessaloniki, Greece. Energy Build. 2017, 156, 96–108. [Google Scholar] [CrossRef]
- Duarte, D.H.S.; Shinzato, P.; Gusson, C.S.; Alves, C.A. The impact of vegetation on urban microclimate to counterbalance built density in a subtropical changing climate. Urban. Clim. 2015, 14, 224–239. [Google Scholar] [CrossRef]
- Chow, W.T.L.; Pope, R.L.; Martin, C.A.; Brazel, A.J. Observing and modeling the nocturnal park cool island of an arid city: Horizontal and vertical impacts. Theor. Appl. Climatol. 2011, 103, 197–211. [Google Scholar] [CrossRef]
- Lenzholzer, S.; Brown, R.D. Post-positivist microclimatic urban design research: A review. Landsc. Urban. Plan. 2016, 153, 111–121. [Google Scholar] [CrossRef]
- Morakinyo, T.E.; Kong, L.; Lau, K.K.L.; Yuan, C.; Ng, E. A study on the impact of shadow-cast and tree species on in-canyon and neighborhood’s thermal comfort. Build. Environ. 2017, 115, 1–17. [Google Scholar] [CrossRef]
- Zhang, L.; Zhan, Q.M.; Lan, Y.L. Effects of the tree distribution and species on outdoor environment conditions in a hot summer and cold winter zone: A case study in Wuhan residential quarters. Build. Environ. 2018, 130, 27–39. [Google Scholar] [CrossRef]
- Melasu. The application of evergreen tree in north garden. Mod. Hortic. 2018, 6, 152–153. (In Chinese) [Google Scholar]
- Ge, J.; Wang, Y.; Akbari, H.; Zhou, D. The effects of sky view factor on ground surface temperature in cold regions—A case from Xi’an, China. Build. Environ. 2022, 210, 108707. [Google Scholar] [CrossRef]
- Zhong, L.W. Structural Analysis and Evaluation of Street Trees in The Main Urban Area of Nanjing and Their Effects on Microclimate. Master’s Thesis, Southeast University, Nanjing, China, 2022. [Google Scholar]
- Liaoning Meteorological Bureau Shenyang Meteorological Bureau. Available online: https://ln.cma.gov.cn/gswz/sy/ (accessed on 7 October 2023).
- Zhao, Z.; Sharifi, A.; Dong, X.; Shen, L.; He, B.J. Spatial Variability and Temporal Heterogeneity of Surface Urban Heat Island Patterns and the Suitability of Local Climate Zones for Land Surface Temperature Characterization. Remote Sens. 2021, 13, 4338. [Google Scholar] [CrossRef]
- Shenyang 7th National Population Census Bulletin—Statistical Bulletin—Shenyang Municipal People’s Government. Available online: https://www.shenyang.gov.cn/zwgk/fdzdgknr/tjxx/tjgb/202201/t20220123_2653146.html (accessed on 23 January 2023).
- Sima, L.; Liu, Y.S.; Shang, X.W.; Yuan, Q.; Zhang, Y.M. A Review of the Application of Hemispherical Photography in Urban Outdoor Thermal Comfort Studies. Buildings 2025, 15, 123. [Google Scholar] [CrossRef]
- Zafarmandi, S.; Matzarakis, A.; Norford, L. Effects of clothing’s thermal insulation on outdoor thermal comfort and thermal sensation: A case study of an outdoor space in Tehran, Iran. Sustain. Cities Soc. 2024, 100, 104988. [Google Scholar] [CrossRef]
- Krüger, E.L.; Rossi, F.A. Effect of personal and microclimatic variables on observed thermal sensation from a field study in southern Brazil. Build. Environ. 2011, 46, 690–697. [Google Scholar] [CrossRef]
- Kumar, P.; Sharma, A. Study on importance, procedure, and scope of outdoor thermal comfort—A review. Sustain. Cities Soc. 2020, 61, 102297. [Google Scholar] [CrossRef]
- Gál, C.V.; Kántor, N. Modeling mean radiant temperature in outdoor spaces, A comparative numerical simulation and validation study. Urban. Clim. 2020, 32, 100571. [Google Scholar] [CrossRef]
- Matzarakis, A.; Rutz, F.; Mayer, H. Modelling radiation fluxes in simple and complex environments-application of the rayman model. Int. J. Biometeorol. 2007, 51, 323–334. [Google Scholar] [CrossRef] [PubMed]
- Gulyás, Á.; Unger, J.; Matzarakis, A. Assessment of the microclimatic and human comfort conditions in a complex urban environment: Modelling and measurements. Build. Environ. 2006, 41, 1713–1722. [Google Scholar] [CrossRef]
- Mayer, H.; Höppe, P. Thermal comfort of man in different urban environments. Theor. Appl. Climatol. 1987, 38, 43–49. [Google Scholar] [CrossRef]
- Chen, X.; Xue, P.; Liu, L.; Gao, L.X.; Liu, J. Outdoor thermal comfort and adaptation in severe cold area: A longitudinal survey in Harbin, China. Build. Environ. 2018, 143, 548–560. [Google Scholar] [CrossRef]
- Yang, Y.J.; Zhou, D.; Gao, W.J.; Zhang, Z.H.; Chen, W.; Peng, W.C.Y. Simulation on the impacts of the street tree pattern on built summer thermal comfort in cold region of China. Sustain. Cities Soc. 2018, 37, 563–580. [Google Scholar] [CrossRef]
- Bruse, M.; Fleer, H. Simulating surface–plant–air interactions inside urban environments with a three dimensional numerical model. Environ. Model. Softw. 1998, 13, 373–384. [Google Scholar] [CrossRef]
- Chatzidimitriou, A.; Axarli, K. Street Canyon Geometry Effects on Microclimate and Comfort; A Case Study in Thessaloniki. Procedia Environ. Sci. 2017, 38, 643–650. [Google Scholar] [CrossRef]
- Taleghani, M.; Sailor, D.; Ban-Weiss, G.A. Micrometeorological simulations to predict the impacts of heat mitigation strategies on pedestrian thermal comfort in a Los Angeles neighborhood. Environ. Res. Lett. 2016, 11, 024003. [Google Scholar] [CrossRef]
- Tsoka, S.; Tsikaloudaki, A.; Theodosiou, T. Analyzing the ENVI-met microclimate model’s performance and assessing cool materials and urban vegetation applications–A review. Sustain. Cities Soc. 2018, 43, 55–76. [Google Scholar] [CrossRef]
- Chow, W.T.L.; Brazel, A.J. Assessing xeriscaping as a sustainable heat island mitigation approach for a desert city. Build. Environ. 2012, 47, 170–181. [Google Scholar] [CrossRef]
- Shahidan, M.F.; Jones, P.J.; Gwilliam, J.; Salleh, E. An evaluation of outdoor and building environment cooling achieved through combination modification of trees with ground materials. Build. Environ. 2012, 58, 245–257. [Google Scholar] [CrossRef]
- Krüger, E.L.; Minella, F.O.; Rasia, F. Impact of urban geometry on outdoor thermal comfort and air quality from field measurements in Curitiba, Brazil. Build. Environ. 2011, 46, 621–634. [Google Scholar] [CrossRef]
- Spangenberg, J.; Shinzato, P.; Johansson, E.; Duarte, D. Simulation of the influence of vegetation on microclimate and thermal comfort in the city of Sao Paulo. Rev. Soc. Bras. Arborização Urbana 2008, 3, 1–19. [Google Scholar] [CrossRef]
- Kim, S.W.; Brown, R.D. Pedestrians’ behavior based on outdoor thermal comfort and micro-scale thermal environments, Austin, TX. Sci. Total Environ. 2022, 808, 152143. [Google Scholar] [CrossRef]
- Cárdenas-Jirón, L.A.; Graw, K.; Gangwisch, M.; Matzarakis, A. Influence of street configuration on human thermal comfort and benefits for climate-sensitive urban planning in Santiago de Chile. Urban. Clim. 2023, 47, 101361. [Google Scholar] [CrossRef]
- Muniz-Gäal, L.P.; Pezzuto, C.C.; Carvalho, M.F.H.; Mota, L.T.M. Urban geometry and the microclimate of street canyons in tropical climate. Build. Environ. 2020, 169, 106547. [Google Scholar] [CrossRef]
- Afiq, W.M.; Azwadi, C.S.N.; Saqr, K.M. Effects of buildings aspect ratio, wind speed and wind direction on flow structure and pollutant dispersion in symmetric street canyons: A review. Int. J. Mech. Mater. Eng. 2012, 7, 158–165. [Google Scholar]
- Li, Z.W.; Li, X.F.; Liu, J.Z. The Illustrated Book of Omamental Trees in Northeast China; Liaoning Science and Technology Publishing House: Shenyang, China, 2019. [Google Scholar]
- Park, C.Y.; Lee, D.K.; Krayenhoff, E.S.; Heo, H.K.; Hyun, J.H.; Oh, K.; Park, T.Y. Variations in pedestrian mean radiant temperature based on the spacing and size of street trees. Sustain. Cities Soc. 2019, 48, 101521. [Google Scholar] [CrossRef]
- Jamei, E.; Rajagopalan, P. Effect of street design on pedestrian thermal comfort. Arch. Sci. Rev. 2019, 62, 92–111. [Google Scholar] [CrossRef]
- Abreu-Harbich, L.V.; Labaki, L.C.; Matzarakis, A. Effect of tree planting design and tree species on human thermal comfort in the tropics. Landsc. Urban. Plan. 2015, 138, 99–109. [Google Scholar] [CrossRef]
- Klemm, W.; Heusinkveld, B.G.; Lenzholzer, S.; Hove, B. Street greenery and its physical and psychological impact on thermal comfort. Landsc. Urban. Plan. 2015, 138, 87–98. [Google Scholar] [CrossRef]
- Ren, Z.; Zhao, H.; Fu, Y.; Xiao, L.; Dong, Y.L. Effects of urban street trees on human thermal comfort and physiological indices: A case study in Changchun city, China. J. For. Res. 2022, 33, 911–922. [Google Scholar] [CrossRef]
- Mohammad, P.; Aghlmand, S.; Fadaei, A.; Gachkar, S.; Gachkar, D.; Karimi, A. Evaluating the role of the albedo of material and vegetation scenarios along the urban street canyon for improving pedestrian thermal comfort outdoors. Urban. Clim. 2021, 40, 100993. [Google Scholar] [CrossRef]


















| TSV | Mean PET (°C) | Standard Deviation | PET Range (°C) |
|---|---|---|---|
| 4 (very hot) | 44.25 | 1.06 | >43 |
| 3 (hot) | 33.94 | 8.73 | 28–43 |
| 2 (warm) | 28.10 | 7.73 | 21–28 |
| 1 (slightly warm) | 21.91 | 4.06 | 16–21 |
| 0 (neutral) | 13.82 | 5.47 | 13–16 |
| −1 (slightly cool) | 6.36 | 4.46 | 3–13 |
| −2 (cool) | −2.58 | 6.52 | −4–3 |
| −3 (cold) | −9.57 | 10.99 | −10 to −4 |
| −4 (very cold) | −16.24 | 8.47 | −23 to −10 |
| −5 (unbearably cold) | −18.83 | 2.32 | −30 to −23 |
| Category | Parameter Name | Input Value |
|---|---|---|
| Basic parameter | Total number of grid cells | 100 × 125 × 120 |
| Mesh accuracy | 2 m × 2 m | |
| Grid soil definition | Default value | |
| Geographical coordinates | 123°43′ E, 41°80′ N | |
| Start of simulation | 3 July 2023 at 7:00 | |
| Total simulation duration | 13 h | |
| Meteorological data | Maximum temperature | 32.80 °C |
| Minimum temperature | 20.24 °C | |
| Maximum relative humidity | 96.80% | |
| Minimum relative humidity | 51.91% | |
| Wind speed at 10 m altitude | 1.70 m/s | |
| Wind direction | 206 | |
| Roughness | 0.010 |
| Species | Crown Top | Crown Spokes | Leaf Area Index |
|---|---|---|---|
| Fraxinus chinensis (large) | 11 m | 7 m | 2.0 |
| Fraxinus chinensis (medium) | 10 m | 7 m | 2.0 |
| Fraxinus chinensis (small) | 7 m | 5 m | 2.0 |
| Or/ARi/di/Ti | ||
|---|---|---|
| Ari = 0.5; 1.0; 2.0 | di = 4 m; 6 m; 8 m | Ti = T1; T2; T3; T4; T5; T6; T7 |
| N-S/0.5/4 m/T1, N-S/0.5/4 m/T2; N-S/0.5/4 m/T3, N-S/0.5/4 m/T4, N-S/0.5/4 m/T5, N-S/0.5/4 m/T6, N-S/0.5/4 m/T7 | ||
| N-S/0.5/6 m/T1, N-S/0.5/6 m/T2, N-S/0.5/6 m/T3, N-S/0.5/6 m/T4, N-S/0.5/6 m/T5, N-S/0.5/6 m/T6, N-S/0.5/6 m/T7 | ||
| N-S/0.5/8 m/T1, N-S/0.5/8 m/T2, N-S/0.5/8 m/T3, N-S/0.5/8 m/T4, N-S/0.5/8 m/T5, N-S/0.5/8 m/T6, N-S/0.5/8 m/T7 | ||
| N-S/1.0/4 m/T1, N-S/1.0/4 m/T2, N-S/1.0/4 m/T3, N-S/1.0/4 m/T4, N-S/1.0/4 m/T5, N-S/1.0/4 m/T6, N-S/1.0/4 m/T7 | ||
| N-S/1.0/6 m/T1, N-S/1.0/6 m/T2, N-S/1.0/6 m/T3, N-S/1.0/6 m/T4, N-S/1.0/6 m/T5, N-S/1.0/6 m/T6, N-S/1.0/6 m/T7 | ||
| N-S/1.0/8 m/T1, N-S/1.0/8 m/T2, N-S/1.0/8 m/T3, N-S/1.0/8 m/T4, N-S/1.0/8 m/T5, N-S/1.0/8 m/T6, N-S/1.0/8 m/T7 | ||
| N-S/2.0/4 m/T1, N-S/2.0/4 m/T2, N-S/2.0/4 m/T3, N-S/2.0/4 m/T4, N-S/2.0/4 m/T5, N-S/2.0/4 m/T6, N-S/2.0/4 m/T7 | ||
| N-S/2.0/6 m/T1, N-S/2.0/6 m/T2, N-S/2.0/6 m/T3, N-S/2.0/6 m/T4, N-S/2.0/6 m/T5, N-S/2.0/6 m/T6, N-S/2.0/6 m/T7 | ||
| N-S/2.0/8 m/T1, N-S/2.0/8 m/T2, N-S/2.0/8 m/T3, N-S/2.0/8 m/T4, N-S/2.0/8 m/T5, N-S/2.0/8 m/T6, N-S/2.0/8 m/T7 | ||
| Species | Crown Top | Crown Spokes | Leaf Area Index |
|---|---|---|---|
| Populus tomentosa | 7 m | 5 m | 3.5 |
| Pinus tabulaeformis | 5 m | 3 m | 2.0 |
| Buxus sinica | 1.2 m | / | 2.0 |
| Microclimate | Atmospheric Characteristics of Sidewalk | ||||
|---|---|---|---|---|---|
| Parameter | PET | Atmospheric Temperature of Sidewalk (Ta) | Wind Speed of Sidewalk (WS) | Relative Humidity of Sidewalk (RH) | |
| Temperature | 0.920 ** | 0.976 ** | −0.409 | −0.980 ** | |
| <0.001 | <0.001 | 0.241 | <0.001 | ||
| Wind speed | 0.234 | −0.266 | 0.835 ** | 0.208 | |
| 0.516 | 0.458 | 0.003 | 0.564 | ||
| Relative humidity | −0.929 ** | −0.792 ** | <0.001 | 0.852 ** | |
| <0.001 | 0.006 | 1.000 | 0.002 | ||
| Mean radiant temperature | 0.945 ** | 0.799 ** | −0.096 | −0.801 ** | |
| <0.001 | 0.006 | 0.791 | 0.005 | ||
Disclaimer/Publisher’s Note: The statements, opinions and data contained in all publications are solely those of the individual author(s) and contributor(s) and not of MDPI and/or the editor(s). MDPI and/or the editor(s) disclaim responsibility for any injury to people or property resulting from any ideas, methods, instructions or products referred to in the content. |
© 2025 by the authors. Licensee MDPI, Basel, Switzerland. This article is an open access article distributed under the terms and conditions of the Creative Commons Attribution (CC BY) license (https://creativecommons.org/licenses/by/4.0/).
Share and Cite
Fan, L.; Zhao, M.; Huo, J.; Sha, Y.; Zhou, Y. The Impact of Vegetation Layouts on Thermal Comfort in Urban Main Streets: A Case Study of Youth Street in Shenyang. Sustainability 2025, 17, 1755. https://doi.org/10.3390/su17041755
Fan L, Zhao M, Huo J, Sha Y, Zhou Y. The Impact of Vegetation Layouts on Thermal Comfort in Urban Main Streets: A Case Study of Youth Street in Shenyang. Sustainability. 2025; 17(4):1755. https://doi.org/10.3390/su17041755
Chicago/Turabian StyleFan, Lei, Meiyue Zhao, Jiayi Huo, Yixuan Sha, and Yan Zhou. 2025. "The Impact of Vegetation Layouts on Thermal Comfort in Urban Main Streets: A Case Study of Youth Street in Shenyang" Sustainability 17, no. 4: 1755. https://doi.org/10.3390/su17041755
APA StyleFan, L., Zhao, M., Huo, J., Sha, Y., & Zhou, Y. (2025). The Impact of Vegetation Layouts on Thermal Comfort in Urban Main Streets: A Case Study of Youth Street in Shenyang. Sustainability, 17(4), 1755. https://doi.org/10.3390/su17041755

