Optical–Thermal Performance and Energy Efficiency of Electrochromic Glazing in Hot Summer and Warm Winter Residential Buildings
Abstract
1. Introduction
2. EC Glazing and Its Performance Evaluation Method
2.1. Description of EC Glazing
2.2. Evaluation Equations for Optical–Thermal and Energy Performance
2.3. Simulation Method Using EnergyPlus for a Typical Residential Building
3. Optical–Thermal Performance of EC Glazing Compared to DL and LE Glazing
3.1. Dynamic Solar Transmittance
3.2. Daylighting Illuminance and Glare Index
3.3. Interior Convection Heat Gain
3.4. Transmitted Radiation Heat Gain
4. Energy Efficiency of EC Glazing Under Different Control Strategies
5. Discussion
6. Conclusions
- The solar transmittance of EC glazing dynamically adjusts to solar radiation, ranging from approximately 0.320 under low solar radiation to 0.012 at high solar radiation. This performance is lower than that of LE glazing (0.510) and DL glazing (0.112). EC glazing effectively reduces the transmittance during high solar radiation to limit indoor heat gains, while increasing it under lower radiation to maintain adequate lighting, thereby balancing indoor illumination and thermal comfort.
- On a typical summer day, the illuminance of the EC glazing ranged from 129.1 lux to 420.1 lux, lower than both the DL and LE glazing. However, the EC glazing demonstrated superior glare control, with a glare index ranging from 16.3 to 23.3. It exceeded the threshold between 10:00 and 14:30, whereas the DL and LE glazing exceeded it for much longer durations, indicating that EC glazing effectively mitigates glare discomfort.
- The EC glazing exhibited the lowest interior convection heat gain values across all orientations in both summer and winter, which is beneficial for lowering cooling loads. While the transmitted radiation heat gain for DL and LE glazing peaks at 736.8 and 161.5 J·m−2, respectively, EC glazing minimizes it to a maximum of only 23.7 J·m−2, highlighting its ability to minimize beam solar radiation energy, which is beneficial for summer cooling, although less so for winter heating needs.
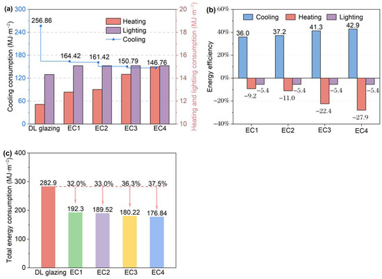
- The total energy consumption of EC glazing is 189.52 MJ·m−2, a substantial reduction compared to DL glazing (282.9 MJ·m−2, a 33.0% reduction) and LE glazing (214.02 MJ·m−2, a 24.3% reduction), highlighting the significant energy-saving potential of EC glazing. Increasing the tinted state further enhances the energy savings, suggesting that optimizing the EC glazing control strategy to prioritize darker states during high solar radiation can maximize the energy efficiency in these climates.
Author Contributions
Funding
Institutional Review Board Statement
Informed Consent Statement
Data Availability Statement
Conflicts of Interest
References
- Zhong, X.; Hu, M.; Deetman, S.; Steubing, B.; Lin, H.X.; Hernandez, G.A.; Harpprecht, C.; Zhang, C.; Tukker, A.; Behrens, P. Global greenhouse gas emissions from residential and commercial building materials and mitigation strategies to 2060. Nat. Commun. 2021, 12, 6126. [Google Scholar] [CrossRef] [PubMed]
- Lou, H.-L.; Hsieh, S.-H. Towards Zero: A Review on Strategies in Achieving Net-Zero-Energy and Net-Zero-Carbon Buildings. Sustainability 2024, 16, 4735. [Google Scholar] [CrossRef]
- Wang, Z.; Gadi, M. Optimal HVAC setpoints for energy efficiency and thermal comfort in Chinese residential buildings. J. Build. Eng. 2024, 96, 110286. [Google Scholar] [CrossRef]
- Niza, I.L.; Luz, I.M.d.; Bueno, A.M.; Broday, E.E. Thermal comfort and energy efficiency: Challenges, barriers, and step towards sustainability. Smart Cities 2022, 5, 1721–1741. [Google Scholar] [CrossRef]
- Gustavsen, A.; Jelle, B.P.; Arasteh, D.; Kohler, C. State-of-the-Art Highly Insulating Window Frames-Research and Market Review; Lawrence Berkeley National Laboratory: Berkeley, CA, USA, 2007. [Google Scholar]
- Qahtan, A.M.; Shaik, S.; Alwadai, Y.A.; Alhamami, S.; Alawlaki, A.S.; Alyami, M.H.; Kodati, J.A. Smart Glazing Systems vs Conventional Glazing: A Comprehensive Study on Temperature Control, Daylighting, and Sustainability. Int. J. Sustain. Dev. Plan. 2024, 19, 939–947. [Google Scholar] [CrossRef]
- Rashidzadeh, Z.; Heidari Matin, N. A Comparative Study on Smart Windows Focusing on Climate-Based Energy Performance and Users’ Comfort Attributes. Sustainability 2023, 15, 2294. [Google Scholar] [CrossRef]
- Gassar, A.A.A.; Koo, C.; Kim, T.W.; Cha, S.H. Performance optimization studies on heating, cooling and lighting energy systems of buildings during the design stage: A review. Sustainability 2021, 13, 9815. [Google Scholar] [CrossRef]
- Liu, X.; Wang, W.; Ding, Y.; Wang, K.; Li, J.; Cha, H.; Saierpeng, Y. Research on the Design Strategy of Double–Skin Facade in Cold and Frigid Regions—Using Xinjiang Public Buildings as an Example. Sustainability 2024, 16, 4766. [Google Scholar] [CrossRef]
- Yang, J.; Zhuang, H.; Liang, Y.; Cen, J.; Zhang, X.; Li, L.; Li, P.; Qiu, R. A novel vacuum-photovoltaic glazing integrated thermoelectric cooler/warmer for environmental adaptation: Thermal performance modelling. Renew. Energy 2024, 229, 120733. [Google Scholar] [CrossRef]
- Meng, W.; Kragt, A.J.; Hu, X.; van der Burgt, J.S.; Schenning, A.P.; Yue, Y.; Zhou, G.; Li, L.; Wei, P.; Zhao, W. Photochromic Thermoelectric Smart Window for Season-Adaptive Solar Heat and Daylight Management. Adv. Funct. Mater. 2024, 34, 2402494. [Google Scholar] [CrossRef]
- Aldawoud, A.; Husein, L.A.; Mushtaha, E.S. Electrochromic glazing with nanocoating integration impact on building energy efficiency: Bibliometric analysis (1983–2023). Energy Build. 2025, 330, 115300. [Google Scholar] [CrossRef]
- Ling, H.; Wu, J.; Su, F.; Tian, Y.; Liu, Y.J. Automatic light-adjusting electrochromic device powered by perovskite solar cell. Nat. Commun. 2021, 12, 1010. [Google Scholar] [CrossRef] [PubMed]
- Huang, R.; Xie, Y.; Cao, N.; Jia, X.; Chao, D. Self-powered electrochromic smart window helps net-zero energy buildings. Nano Energy 2024, 129, 109989. [Google Scholar] [CrossRef]
- Li, X.; Wu, Y. A review of complex window-glazing systems for building energy saving and daylight comfort: Glazing technologies and their building performance prediction. J. Build. Phys. 2024, 48, 496–540. [Google Scholar] [CrossRef]
- Hafnaoui, R.; zin Kandar, M.; Ghosh, A.; Mesloub, A. Smart switchable glazing systems in Saudi Arabia: A review. Energy Build. 2024, 319, 114555. [Google Scholar] [CrossRef]
- Chen, X.; Liu, Q.; Cheng, L.; Zhou, S.; Chen, L.; Liang, G.; Wei, J.; Mo, F. Advanced electrochromic energy storage devices based on conductive polymers. Adv. Mater. Technol. 2024, 9, 2301969. [Google Scholar] [CrossRef]
- Yu, J.; Wang, S.; Gao, L.; Qiao, G.; Lin, M.-F.; Wei, C.; Chen, J.; Li, S. Recent advances in flexible multifunctional electrochromic devices. Nanoscale 2024. [Google Scholar] [CrossRef]
- Khan, I.; Baig, N.; Ali, S.; Usman, M.; Khan, S.A.; Saeed, K. Progress in layered cathode and anode nanoarchitectures for charge storage devices: Challenges and future perspective. Energy Storage Mater. 2021, 35, 443–469. [Google Scholar] [CrossRef]
- Wu, S.; Sun, H.; Duan, M.; Mao, H.; Wu, Y.; Zhao, H.; Lin, B. Applications of thermochromic and electrochromic smart windows: Materials to buildings. Cell Rep. Phys. Sci. 2023, 4, 101370. [Google Scholar] [CrossRef]
- Aburas, M.; Soebarto, V.; Williamson, T.; Liang, R.; Ebendorff-Heidepriem, H.; Wu, Y. Thermochromic smart window technologies for building application: A review. Appl. Energy 2019, 255, 113522. [Google Scholar] [CrossRef]
- Attia, S.; Bertrand, S.; Cuchet, M.; Yang, S.; Tabadkani, A. Comparison of Thermal Energy Saving Potential and Overheating Risk of Four Adaptive Façade Technologies in Office Buildings. Sustainability 2022, 14, 6106. [Google Scholar] [CrossRef]
- Krarti, M. Design optimization of smart glazing optical properties for office spaces. Appl. Energy 2022, 308, 118411. [Google Scholar] [CrossRef]
- Es-sakali, N.; Kaitouni, S.I.; Laasri, I.A.; Mghazli, M.O.; Cherkaoui, M.; Pfafferott, J. Static and dynamic glazing integration for enhanced building efficiency and indoor comfort with thermochromic and electrochromic windows. Therm. Sci. Eng. Prog. 2024, 52, 102681. [Google Scholar] [CrossRef]
- Piccolo, A. Thermal performance of an electrochromic smart window tested in an environmental test cell. Energy Build. 2010, 42, 1409–1417. [Google Scholar] [CrossRef]
- Saim, M.; Robert, D.; Zafar, S.; Siamak, H.; Ali, S.; Ali, R.; Takao, K. Daylighting, artificial electric lighting, solar heat gain, and space-heating energy performance analyses of electrochromic argon gas-filled smart windows retrofitted to the building. Int. J. Sol. Therm. Vac. Eng. 2021, 3, 50–72. [Google Scholar] [CrossRef]
- Papaefthimiou, S.; Leftheriotis, G.; Yianoulis, P.; Hyde, T.J.; Eames, P.C.; Fang, Y.; Pennarun, P.Y.; Jannasch, P. Development of electrochromic evacuated advanced glazing. Energy Build. 2006, 38, 1455–1467. [Google Scholar] [CrossRef]
- Budaiwi, I.M.; Abdul Fasi, M. Assessing the Energy-Saving Potential and Visual Comfort of Electrochromic Smart Windows in Office Buildings: A Case Study in Dhahran, Saudi Arabia. Sustainability 2023, 15, 9632. [Google Scholar] [CrossRef]
- Park, B.R.; Hong, J.; Choi, E.J.; Choi, Y.J.; Lee, C.; Moon, J.W. Improvement in Energy Performance of Building Envelope Incorporating Electrochromic Windows (ECWs). Energies 2019, 12, 1181. [Google Scholar] [CrossRef]
- Sun, Y.; Hao, Y.; Wang, D.; Wang, W.; Deng, S.; Qi, H.; Xue, P. A predictive control strategy for electrochromic glazing to balance the visual and thermal environmental requirements: Approach and energy-saving potential assessment. Renew. Energy 2022, 194, 334–348. [Google Scholar] [CrossRef]
- Riganti, M.; Castri, G.L.; Serra, V.; Manca, M.; Favoino, F. Energy saving potential of advanced dual-band electrochromic smart windows for office integration. Energy Build. 2025, 327, 115084. [Google Scholar] [CrossRef]
- Lee, E.S.; DiBartolomeo, D.L.; Selkowitz, S.E. Daylighting control performance of a thin-film ceramic electrochromic window: Field study results. Energy Build. 2006, 38, 30–44. [Google Scholar] [CrossRef]
- Aldawoud, A. Conventional fixed shading devices in comparison to an electrochromic glazing system in hot, dry climate. Energy Build. 2013, 59, 104–110. [Google Scholar] [CrossRef]
- Fernandes, L.L.; Lee, E.S.; Ward, G. Lighting energy savings potential of split-pane electrochromic windows controlled for daylighting with visual comfort. Energy Build. 2013, 61, 8–20. [Google Scholar] [CrossRef]
- DeForest, N.; Shehabi, A.; Selkowitz, S.; Milliron, D.J. A comparative energy analysis of three electrochromic glazing technologies in commercial and residential buildings. Appl. Energy 2017, 192, 95–109. [Google Scholar] [CrossRef]
- Jain, S.; Karmann, C.; Wienold, J. Behind electrochromic glazing: Assessing user’s perception of glare from the sun in a controlled environment. Energy Build. 2022, 256, 111738. [Google Scholar] [CrossRef]
- Sun, Y.; Li, Y.; Xu, W.; Wang, W.; Wei, W.; Zhang, C. A glare predictive control strategy for split-pane electrochromic windows: Visual comfort and energy-saving assessment. Renew. Energy 2023, 218, 119259. [Google Scholar] [CrossRef]
- Suk, J.Y.; Schiler, M.; Kensek, K. Investigation of existing discomfort glare indices using human subject study data. Build. Environ. 2017, 113, 121–130. [Google Scholar] [CrossRef]
- Li, D.H.; Aghimien, E.I.; Alshaibani, K. An analysis of real-time measured solar radiation and daylight and its energy implications for semi-transparent building-integrated photovoltaic façades. Buildings 2023, 13, 386. [Google Scholar] [CrossRef]
- Lee, C.; Jeon, S.; Kim, S.J.; Kim, S.J. Near-flat top bandpass filter based on non-local resonance in a dielectric metasurface. Opt. Express 2023, 31, 4920–4931. [Google Scholar] [CrossRef]
- Bansal, N.P.; Doremus, R.H. Handbook of Glass Properties; Academic Press: Cambridge, MA, USA, 1986. [Google Scholar]
- American Society of Heating Refrigerating and Air-Conditioning Engineers. ASHRAE Handbook—Fundamentals; American Society of Heating Refrigerating and Air-Conditioning Engineers: New York, NY, USA, 2017. [Google Scholar]
- Moghaddam, S.A.; Serra, C.; Gameiro da Silva, M.; Simões, N. Comprehensive review and analysis of glazing systems towards nearly zero-energy buildings: Energy performance, thermal comfort, cost-effectiveness, and environmental impact perspectives. Energies 2023, 16, 6283. [Google Scholar] [CrossRef]
- Iluyemi, D.C.; Nundy, S.; Shaik, S.; Tahir, A.; Ghosh, A. Building energy analysis using EC and PDLC based smart switchable window in Oman. Sol. Energy 2022, 237, 301–312. [Google Scholar] [CrossRef]
- JGJ 75-2012; Ministry of Housing and Urban of People’s Republic of China; Design Standard for Energy Efficiency of Residential Buildings in Hot Summer and Warm Winter Zone. China Building Industry Press: Beijing, China, 2012.
- Odiyur Vathanam, G.S.; Kalyanasundaram, K.; Elavarasan, R.M.; Hussain Khahro, S.; Subramaniam, U.; Pugazhendhi, R.; Ramesh, M.; Gopalakrishnan, R.M. A review on effective use of daylight harvesting using intelligent lighting control systems for sustainable office buildings in India. Sustainability 2021, 13, 4973. [Google Scholar] [CrossRef]
- Tavares, P.; Ingi, D.; Araújo, L.; Pinho, P.; Bhusal, P. Reviewing the role of outdoor lighting in achieving sustainable development goals. Sustainability 2021, 13, 12657. [Google Scholar] [CrossRef]
- GB 50034-2024; Ministry of Housing and Urban-Rural Development of the People’s Republic of China; Standard for Lighting Design of Buildings. Architecture & Building Press: Beijing, China, 2024.
- Bonenberg, W.; Skórzewski, W.; Qi, L.; Han, Y.; Czekała, W.; Zhou, M. An Energy-Saving-Oriented Approach to Urban Design—Application in the Local Conditions of Poznań Metropolitan Area (Poland). Sustainability 2023, 15, 10994. [Google Scholar] [CrossRef]
- Bonomolo, M.; Di Lisi, S.; Leone, G. Building information modelling and energy simulation for architecture design. Appl. Sci. 2021, 11, 2252. [Google Scholar] [CrossRef]












| Optical Parameters | DL Glazing | States of EC Glazing | ||||
|---|---|---|---|---|---|---|
| Glazing | Transparent State | Intermediate State 1 | Intermediate State 2 | Colored State | ||
| Heat transfer coefficient (W·m−2·K−1) | 2.7 | 2.0 | ||||
| Visible light transmittance (dimensionless) | 0.786 | 0.602 | 0.176 | 0.057 | 0.009 | |
| External surface reflectance (dimensionless) | 0.144 | 0.158 | 0.104 | 0.101 | 0.113 | |
| Inner surface reflectance (dimensionless) | 0.144 | 0.143 | 0.093 | 0.089 | 0.090 | |
| Shading coefficient (dimensionless) | 0.810 | 0.490 | 0.220 | 0.170 | 0.150 | |
| Solar heat gain coefficient (dimensionless) | 0.700 | 0.430 | 0.190 | 0.150 | 0.130 | |
| Number EC Glass | Illumination in Different States (lux) | |||
|---|---|---|---|---|
| Transparent State | Intermediate State 1 | Intermediate State 2 | Colored State | |
| EC | 0~20,000 | 20,000~70,000 | 70,000~ | |
| EC1 | 0~20,000 | 20,000~40,000 | 40,000~ | |
| EC2 | 0~10,000 | 10,000~40,000 | 40,000~ | |
| EC3 | 0~5000 | 5000~20,000 | 20,000~60,000 | 60,000~ |
| EC4 | 0~5000 | 5000~10,000 | 10,000~30,000 | 30,000~ |
Disclaimer/Publisher’s Note: The statements, opinions and data contained in all publications are solely those of the individual author(s) and contributor(s) and not of MDPI and/or the editor(s). MDPI and/or the editor(s) disclaim responsibility for any injury to people or property resulting from any ideas, methods, instructions or products referred to in the content. |
© 2025 by the authors. Licensee MDPI, Basel, Switzerland. This article is an open access article distributed under the terms and conditions of the Creative Commons Attribution (CC BY) license (https://creativecommons.org/licenses/by/4.0/).
Share and Cite
Yang, J.; Huang, Y.; Han, J.; Mai, H.; Li, P. Optical–Thermal Performance and Energy Efficiency of Electrochromic Glazing in Hot Summer and Warm Winter Residential Buildings. Sustainability 2025, 17, 1705. https://doi.org/10.3390/su17041705
Yang J, Huang Y, Han J, Mai H, Li P. Optical–Thermal Performance and Energy Efficiency of Electrochromic Glazing in Hot Summer and Warm Winter Residential Buildings. Sustainability. 2025; 17(4):1705. https://doi.org/10.3390/su17041705
Chicago/Turabian StyleYang, Jianming, Yonglang Huang, Jie Han, Hongxing Mai, and Peng Li. 2025. "Optical–Thermal Performance and Energy Efficiency of Electrochromic Glazing in Hot Summer and Warm Winter Residential Buildings" Sustainability 17, no. 4: 1705. https://doi.org/10.3390/su17041705
APA StyleYang, J., Huang, Y., Han, J., Mai, H., & Li, P. (2025). Optical–Thermal Performance and Energy Efficiency of Electrochromic Glazing in Hot Summer and Warm Winter Residential Buildings. Sustainability, 17(4), 1705. https://doi.org/10.3390/su17041705
