Vegetation Carbon Source/Sink Dynamics and Extreme Climate Response in the Yangtze River Delta Coastal Zone
Abstract
1. Introduction
2. Materials and Methods
2.1. Study Area
2.2. Data Sources
2.3. Methods
2.3.1. Extreme Climate Index
2.3.2. NEP Estimation Model
2.3.3. Change Trend Method
2.3.4. Hurst Index
2.3.5. OPGD Model
3. Results and Analysis
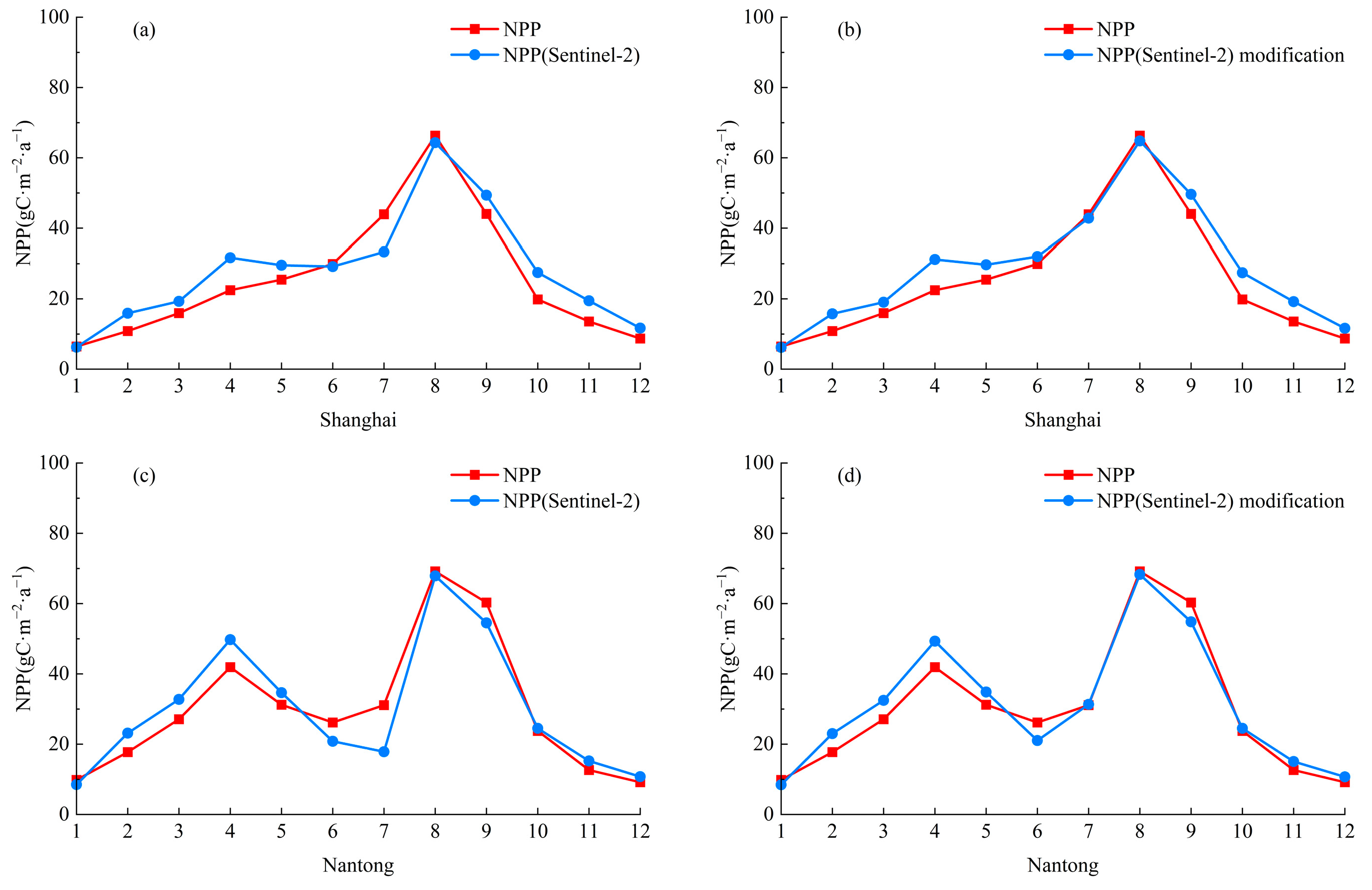
3.1. Validation of Results
3.2. Spatiotemporal Distribution Characteristics of Vegetation Carbon Source/Sink
3.2.1. Temporal Variation in Vegetation Carbon Source/Sink
3.2.2. Spatial Distribution of Vegetation Carbon Source/Sink
3.3. Spatial Variation Characteristics of Vegetation Carbon Source/Sink and Its Response to Extreme Climate
3.3.1. Trend Analysis
3.3.2. Future Trend Analysis
3.3.3. Optimal Parameter Setting and Factor Detection
3.3.4. Interaction Detection
4. Discussion
4.1. Discussion of Estimation Results
4.2. Uncertainty
4.3. Spatiotemporal Variation in Vegetation Carbon Source/Sink
4.4. Response of Vegetation Carbon Source/Sink to Extreme Climate
5. Conclusions
Author Contributions
Funding
Institutional Review Board Statement
Informed Consent Statement
Data Availability Statement
Conflicts of Interest
References
- IPCC. Climate Change 2021: The Physical Science Basis. Contribution of Working Group I to the Sixth Assessment Report of the Intergovernmental Panel on Climate Change; Masson-Delmotte, V., Zhai, P., Pirani, A., Connors, S.L., Péan, C., Berger, S., Caud, N., Chen, Y., Goldfarb, L., Gomis, M.I., et al., Eds.; Cambridge University Press: Cambridge, UK; New York, NY, USA, 2021.
- Keenan, T.F.; Prentice, I.C.; Canadell, J.G.; Williams, C.A.; Wang, H.; Raupach, M.; Collatz, G.J. Recent pause in the growth rate of atmospheric CO2 due to enhanced terrestrial carbon uptake. Nat. Commun. 2016, 7, 13428. [Google Scholar] [CrossRef]
- Piao, S.; Zhang, X.; Chen, A.; Liu, Q.; Lian, X.; Wang, X.; Peng, S.; Wu, X. The impacts of climate extremes on the terrestrial carbon cycle: A review. Sci. China Earth Sci. 2019, 62, 1551–1563. [Google Scholar] [CrossRef]
- Yang, Y.; Shi, Y.; Sun, W.; Chang, J.; Zhu, J.; Chen, L.; Wang, X.; Guo, Y.; Zhang, H.; Yu, L. Terrestrial carbon sinks in China and around the world and their contribution to carbon neutrality. Sci. China Life Sci. 2022, 65, 861–895. [Google Scholar] [CrossRef] [PubMed]
- Chen, Y.; Xu, Y.; Chen, T.; Zhang, F.; Zhu, S. Exploring the spatiotemporal dynamics and driving factors of net ecosystem productivity in China from 1982 to 2020. Remote Sens. 2023, 16, 60. [Google Scholar] [CrossRef]
- Field, C.B.; Randerson, J.T.; Malmström, C.M. Global net primary production: Combining ecology and remote sensing. Remote Sens. Environ. 1995, 51, 74–88. [Google Scholar] [CrossRef]
- Na, L.; Na, R.; Zhang, J.; Tong, S.; Shan, Y.; Ying, H.; Li, X.; Bao, Y. Vegetation dynamics and diverse responses to extreme climate events in different vegetation types of inner mongolia. Atmosphere 2018, 9, 394. [Google Scholar] [CrossRef]
- Liu, D.; Zhang, J.; Zhao, L.; Zhao, S.; Cui, G. The positive impact of extreme heat on vegetation growth in Northeast Asia. Agric. For. Meteorol. 2024, 347, 109918. [Google Scholar] [CrossRef]
- Li, S.; Wei, F.; Wang, Z.; Shen, J.; Liang, Z.; Wang, H.; Li, S. Spatial heterogeneity and complexity of the impact of extreme climate on vegetation in China. Sustainability 2021, 13, 5748. [Google Scholar] [CrossRef]
- Mo, Y.; Zhang, X.; Liu, Z.; Zhang, J.; Hao, F.; Fu, Y. Effects of climate extremes on spring phenology of temperate vegetation in China. Remote Sens. 2023, 15, 686. [Google Scholar] [CrossRef]
- Chowdhury, P.; Lakku, N.K.G.; Lincoln, S.; Seelam, J.K.; Behera, M.R. Climate change and coastal morphodynamics: Interactions on regional scales. Sci. Total Environ. 2023, 899, 166432. [Google Scholar] [CrossRef] [PubMed]
- Mcleod, E.; Chmura, G.L.; Bouillon, S.; Salm, R.; Björk, M.; Duarte, C.M.; Lovelock, C.E.; Schlesinger, W.H.; Silliman, B.R. A blueprint for blue carbon: Toward an improved understanding of the role of vegetated coastal habitats in sequestering CO2. Front. Ecol. Environ. 2011, 9, 552–560. [Google Scholar] [CrossRef]
- Mathis, M.; Lacroix, F.; Hagemann, S.; Nielsen, D.M.; Ilyina, T.; Schrum, C. Enhanced CO2 uptake of the coastal ocean is dominated by biological carbon fixation. Nat. Clim. Change 2024, 14, 373–379. [Google Scholar] [CrossRef]
- Pessarrodona, A.; Assis, J.; Filbee-Dexter, K.; Burrows, M.T.; Gattuso, J.-P.; Duarte, C.M.; Krause-Jensen, D.; Moore, P.J.; Smale, D.A.; Wernberg, T. Global seaweed productivity. Sci. Adv. 2022, 8, eabn2465. [Google Scholar] [CrossRef] [PubMed]
- Marx, L.; Flecha, S.; Wesselmann, M.; Morell, C.; Hendriks, I.E. Marine macrophytes as carbon sinks: Comparison between seagrasses and the non-native alga Halimeda incrassata in the Western Mediterranean (Mallorca). Front. Mar. Sci. 2021, 8, 746379. [Google Scholar] [CrossRef]
- Liu, S.; Trevathan-Tackett, S.M.; Lewis, C.J.E.; Ollivier, Q.R.; Jiang, Z.; Huang, X.; Macreadie, P.I. Beach-cast seagrass wrack contributes substantially to global greenhouse gas emissions. J. Environ. Manag. 2019, 231, 329–335. [Google Scholar] [CrossRef] [PubMed]
- Björk, M.; Rosenqvist, G.; Gröndahl, F.; Bonaglia, S. Methane emissions from macrophyte beach wrack on Baltic seashores. Ambio 2023, 52, 171–181. [Google Scholar] [CrossRef]
- Pishchalnik, V.; Myslenkov, S.; Latkovskaya, E.; Arkhipkin, V. Assessment of the hydrochemical characteristics of the carbon observational site ‘Carbon-Sakhalin’ (Aniva Bay, Sea of Okhotsk). Sustainability 2024, 16, 3031. [Google Scholar] [CrossRef]
- Liu, B.; Zhao, W.; Wen, Z.; Yang, Y.; Chang, X.; Zhu, Z.; Si, R. Hydrochemical characteristics jointly determine the transport and cycling of soil carbon, nitrogen, and phosphorus in an arid Chinese wetland. J. Geophys. Res. Biogeosciences 2020, 125, e2020JG005697. [Google Scholar] [CrossRef]
- Liu, X.; Zhu, X.; Pan, Y.; Li, S.; Ma, Y.; Nie, J. Vegetation dynamics in Qinling-Daba Mountains in relation to climate factors between 2000 and 2014. J. Geogr. Sci. 2016, 26, 45–58. [Google Scholar] [CrossRef]
- Pang, B.; Liu, Y.; An, R.; Xie, Y.; Tong, Z.; Liu, Y. Spatial and temporal divergence and driving mechanisms of carbon sinks in terrestrial ecosystems in the middle reaches of the Yangtze River urban agglomerations during 2008–2020. Ecol. Indic. 2024, 165, 112205. [Google Scholar] [CrossRef]
- Zhao, R.; Zhao, P. Defining and international comparing of the conception and scope of coastal zone. Mar. Econ. 2014, 4, 58–64. (In Chinese) [Google Scholar]
- Tong, C.; Zhang, W.; Tang, Y.; Wang, H. Estimation of daily solar radiation in China. Chin. J. Agrometeorol. 2005, 26, 165–169. (In Chinese) [Google Scholar]
- Gao, J.; Shi, Y.; Zhang, H.; Chen, X.; Zhang, W.; Shen, W.; Xiao, T.; Zhang, Y. China Regional 250 m Normalized Difference Vegetation Index Data Set (2000–2022); National Tibetan Plateau/Third Pole Environment Data Center: Beijing, China, 2023. [Google Scholar]
- Liu, L.; Zhang, X.; Zhao, T. GLC_FCS30D: Global 30-m Land-Cover Dynamic Monitoring Product with a Fine Classification System from 1985 to 2022; International Research Center of Big Data for Sustainable Development Goals: Beijing, China, 2023. [Google Scholar]
- Zhu, W.; Pan, Y.; He, H.; Yu, D.; Hu, H. Simulation of maximum light use efficiency for some typical vegetation types in China. Chin. Sci. Bull. 2006, 51, 457–463. [Google Scholar] [CrossRef]
- Zhu, W.; Pan, Y.; Zhang, J. Estimation of net primary productivity of Chinese terrestrial vegetation based on remote sensing. Chin. J. Plant Ecol. 2007, 31, 413–424. [Google Scholar]
- Pei, Z.; Ouyang, H.; Zhou, C. Carbon balance in an alpine grassland ecosystem on the Tibetan Plateau. J. Integr. Plant Biol. 2009, 51, 521–526. [Google Scholar] [CrossRef] [PubMed]
- Cao, R.; Jiang, W.; Yuan, L.; Wang, W.; Lv, Z.; Chen, Z. Inter-annual variations in vegetation and their response to climatic factors in the upper catchments of the Yellow River from 2000 to 2010. J. Geogr. Sci. 2014, 24, 963–979. [Google Scholar] [CrossRef]
- Wang, J.; Xu, C. Geodetector: Principle and prospective. Acta Geogr. Sin. 2017, 72, 116–134. [Google Scholar]
- Song, Y.; Wang, J.; Ge, Y.; Xu, C. An optimal parameters-based geographical detector model enhances geographic characteristics of explanatory variables for spatial heterogeneity analysis: Cases with different types of spatial data. GIScience Remote Sens. 2020, 57, 593–610. [Google Scholar] [CrossRef]
- Dai, T.; Wang, Q.; Wang, G.; Chen, Y.; Zhao, S.; Zhai, J.; Zou, X.; Jiang, Y.; Shi, S.; Zhou, B. Climatic characteristics and major meteorological events over China in 2020. Meteorol. Mon. 2021, 47, 478–487. (In Chinese) [Google Scholar]
- Ding, Y.; Liu, Y.; Hu, Z.-Z. The record-breaking Mei-yu in 2020 and associated atmospheric circulation and tropical SST anomalies. Adv. Atmos. Sci. 2021, 38, 1980–1993. [Google Scholar] [CrossRef] [PubMed]
- Liang, L.; Wang, Q.; Qiu, S.; Geng, D.; Wang, S. NEP estimation of terrestrial ecosystems in China using an improved CASA model and soil respiration model. IEEE J. Sel. Top. Appl. Earth Obs. Remote Sens. 2023, 16, 10203–10215. [Google Scholar] [CrossRef]
- Zou, C.; Li, H.; Chen, D.; Fan, J.; Liu, Z.; Xu, X.; Li, J.; Wang, Z. Spatial-temporal changes of carbon source/sink in terrestrial vegetation ecosystem and response to meteorological factors in Yangtze River Delta Region (China). Sustainability 2022, 14, 10051. [Google Scholar] [CrossRef]
- Zhao, H.; Fan, J.; Gu, B.; Chen, Y. Carbon sink response of terrestrial vegetation ecosystems in the Yangtze River Delta and its driving mechanism. J. Geogr. Sci. 2024, 34, 112–130. [Google Scholar] [CrossRef]
- Cui, Y.; Liu, J.; Xu, X.; Dong, J.; Li, N.; Fu, Y.; Lu, S.; Xia, H.; Si, B.; Xiao, X. Accelerating cities in an unsustainable landscape: Urban expansion and cropland occupation in China, 1990–2030. Sustainability 2019, 11, 2283. [Google Scholar] [CrossRef]
- Huang, Y.; Xu, X.; Zhang, T.; Jiang, H.; Xia, H.; Xu, X.; Xu, J. Multi-temporal and time-lag responses of terrestrial net ecosystem productivity to extreme climate from 1981 to 2019 in China. Remote Sens. 2023, 16, 163. [Google Scholar] [CrossRef]
- Xu, X.; Jiang, H.; Guan, M.; Wang, L.; Huang, Y.; Jiang, Y.; Wang, A. Vegetation responses to extreme climatic indices in coastal China from 1986 to 2015. Sci. Total Environ. 2020, 744, 140784. [Google Scholar] [CrossRef] [PubMed]
- Wang, A.; Zhang, M.; Chen, E.; Zhang, C.; Han, Y. Impact of seasonal global land surface temperature (LST) change on gross primary production (GPP) in the early 21st century. Sustain. Cities Soc. 2024, 110, 105572. [Google Scholar] [CrossRef]
- Jiao, K.; Gao, J.; Wu, S.; Hou, W. Research progress on the response processes of vegetation activity to climate change. Acta Ecol. Sin. 2018, 38, 2229–2238. [Google Scholar]








| Category | Name | Index | Definition | Unit |
|---|---|---|---|---|
| Extreme temperature indices | Daily temperature range | DTR | Monthly mean difference between TX 1 and TN 2 | °C |
| Summer days | SU25 | TX > 25 °C days in year | day | |
| Min 3 TN | TNn | Min TN in month | °C | |
| Max 4 TN | TNx | Max TN in month | °C | |
| Min TX | TXn | Min TX in month | °C | |
| Max TX | TXx | Max TX in month | °C | |
| Cold nights | TN10p | Proportion of days with TN < 10th percentile | day | |
| Warm nights | TN90p | Proportion of days with TN > 90th percentile | day | |
| Cold days | TX10p | Proportion of days with TX < 10th percentile | day | |
| Warm days | TX90p | Proportion of days with TX > 90th percentile | day | |
| Extreme precipitation indices | Consecutive dry days | CDD | Max of consecutive days with daily precipitation < 1 mm | day |
| Consecutive wet days | CWD | Max of consecutive days with daily precipitation ≥ 1 mm | day | |
| Annual total precipitation | PRCPTOT | Total precipitation in year | mm | |
| Moderate precipitation days | R10 | Days of daily precipitation ≥ 10 mm in year | day | |
| Heavy precipitation days | R20 | Days of daily precipitation ≥ 20 mm in year | day | |
| Rainstorm precipitation days | R25 | Days of daily precipitation ≥ 25 mm in year | day | |
| Intense precipitation | R95p | Annual total precipitation when daily precipitation > 95th percentile | mm | |
| Extreme precipitation | R99p | Annual total precipitation when daily precipitation > 99th percentile | mm | |
| Max 1-day precipitation | Rx1day | Max 1-day precipitation in month | mm | |
| Max consecutive 5-day precipitation | Rx5day | Max consecutive 5-day precipitation in month | mm |
| Vegetation Type | Pixel | NDVImax | NDVImin | SRmax | SRmin | εmax |
|---|---|---|---|---|---|---|
| Cropland | 729,129 | 0.833 | 0.023 | 11.98 | 1.05 | 0.542 |
| Evergreen broadleaved forest | 435,272 | 0.859 | 0.023 | 14.57 | 1.05 | 0.985 |
| Deciduous broadleaved forest | 30,783 | 0.884 | 0.023 | 17.72 | 1.05 | 0.692 |
| Evergreen needle-leaved forest | 74,290 | 0.857 | 0.023 | 14.61 | 1.05 | 0.389 |
| Grassland | 1627 | 0.634 | 0.023 | 4.46 | 1.05 | 0.542 |
| Wetland | 13,642 | 0.634 | 0.023 | 4.46 | 1.05 | 0.542 |
| Impervious surface | 16,8547 | 0.733 | 0.023 | 6.58 | 1.05 | 0.542 |
| Other | 561 | 0.634 | 0.023 | 4.46 | 1.05 | 0.542 |
| Ecosystem Type | Highly Significant Increase | Significant Increase | Non-Significant Increase | Increase | Non-Significant Decrease | Significant Decrease | Highly Significant Decrease | Decrease |
|---|---|---|---|---|---|---|---|---|
| Study area | 14.57% | 12.49% | 36.55% | 63.61% | 21.65% | 5.42% | 9.32% | 36.39% |
| Cropland ecosystem | 4.68% | 4.06% | 15.33% | 24.07% | 13.36% | 3.66% | 6.30% | 23.32% |
| Forest ecosystem | 7.54% | 7.22% | 16.97% | 31.73% | 4.04% | 0.47% | 0.43% | 4.94% |
| Grassland ecosystem | 0.02% | 0.01% | 0.05% | 0.08% | 0.03% | 0.01% | 0.01% | 0.05% |
| Wetland ecosystem | 0.21% | 0.10% | 0.30% | 0.60% | 0.31% | 0.08% | 0.13% | 0.52% |
| Urban ecosystem | 2.11% | 1.11% | 3.90% | 7.13% | 3.91% | 1.20% | 2.45% | 7.56% |
| Ecosystem Type | Anti-Persistent Increase | Anti-Persistent Decrease | Persistent Increase | Persistent Decrease |
|---|---|---|---|---|
| Study area | 46.48% | 23.18% | 17.13% | 13.21% |
| Cropland ecosystem | 16.77% | 15.69% | 7.30% | 7.62% |
| Forest ecosystem | 25.81% | 3.20% | 5.91% | 1.74% |
| Grassland ecosystem | 0.06% | 0.04% | 0.03% | 0.02% |
| Wetland ecosystem | 0.28% | 0.30% | 0.32% | 0.22% |
| Urban ecosystem | 3.56% | 3.96% | 3.57% | 3.60% |
| Driving Factor | Index | Discretized Classification | Number of Intervals | q |
|---|---|---|---|---|
| X1 | CDD | quantile | 6 | 0.20 |
| X2 | CWD | natural | 7 | 0.28 |
| X3 | DTR | natural | 7 | 0.18 |
| X4 | PRCPTOT | natural | 7 | 0.21 |
| X5 | R10 | natural | 7 | 0.28 |
| X6 | R20 | quantile | 7 | 0.24 |
| X7 | R25 | natural | 7 | 0.33 |
| X8 | R95p | sd | 6 | 0.22 |
| X9 | R99p | quantile | 7 | 0.10 |
| X10 | Rx1day | natural | 7 | 0.15 |
| X11 | Rx5day | natural | 7 | 0.09 |
| X12 | SU25 | sd | 6 | 0.41 |
| X13 | TMAX | quantile | 7 | 0.41 |
| X14 | TMIN | sd | 6 | 0.16 |
| X15 | TN10p | sd | 6 | 0.08 |
| X16 | TN90p | equal | 7 | 0.05 |
| X17 | TNn | sd | 7 | 0.11 |
| X18 | TNx | geometric | 7 | 0.17 |
| X19 | TX10p | sd | 7 | 0.21 |
| X20 | TX90p | natural | 7 | 0.10 |
| X21 | TXn | equal | 6 | 0.21 |
| X22 | TXx | quantile | 7 | 0.36 |
| X23 | LST | equal | 5 | 0.33 |
| X24 | TEMP | quantile | 7 | 0.23 |
Disclaimer/Publisher’s Note: The statements, opinions and data contained in all publications are solely those of the individual author(s) and contributor(s) and not of MDPI and/or the editor(s). MDPI and/or the editor(s) disclaim responsibility for any injury to people or property resulting from any ideas, methods, instructions or products referred to in the content. |
© 2025 by the authors. Licensee MDPI, Basel, Switzerland. This article is an open access article distributed under the terms and conditions of the Creative Commons Attribution (CC BY) license (https://creativecommons.org/licenses/by/4.0/).
Share and Cite
Han, Y.; Han, Z. Vegetation Carbon Source/Sink Dynamics and Extreme Climate Response in the Yangtze River Delta Coastal Zone. Sustainability 2025, 17, 1456. https://doi.org/10.3390/su17041456
Han Y, Han Z. Vegetation Carbon Source/Sink Dynamics and Extreme Climate Response in the Yangtze River Delta Coastal Zone. Sustainability. 2025; 17(4):1456. https://doi.org/10.3390/su17041456
Chicago/Turabian StyleHan, Yuhang, and Zhen Han. 2025. "Vegetation Carbon Source/Sink Dynamics and Extreme Climate Response in the Yangtze River Delta Coastal Zone" Sustainability 17, no. 4: 1456. https://doi.org/10.3390/su17041456
APA StyleHan, Y., & Han, Z. (2025). Vegetation Carbon Source/Sink Dynamics and Extreme Climate Response in the Yangtze River Delta Coastal Zone. Sustainability, 17(4), 1456. https://doi.org/10.3390/su17041456

