Abstract
As a sustainable mode of transportation, the electric scooter offers residents a low-carbon, convenient, and fast travel option. However, its battery quality problem also brings safety risks that cannot be ignored. We construct eight different differential game models to investigate quality improvement strategies by battery makers and electric scooter manufacturers at the design and manufacturing stages. Our results show that the government subsidy is a better incentive for manufacturers to invest more in quality in the design and manufacturing steps than the cost-sharing contract. This leads to improvements in the product quality of electric scooters. The indicators of the discrete decision-making model without government subsidies and cost-sharing contracts are relatively low. Second, the quality of the electric scooter is affected by several key factors, including time, quality decay coefficient, and income distribution coefficient. Specifically, the quality of electric scooter products exhibits a positive correlation with time but gradually declines as the quality decay coefficient increases. Third, through specific numerical analyses, we further find that the income distribution coefficient affects the manufacturer’s product quality inputs in the design and manufacturing process, the optimal revenues of upstream and downstream manufacturers, the cost-sharing ratio, and the government subsidy rate to varying degrees.
1. Introduction
Fueled by advancements in clean energy technology and growing environmental consciousness, electric scooters (e-scooters) are rapidly gaining popularity in China. These eco-friendly and sustainable vehicles offer a low-carbon, convenient alternative to traditional options like cars and motorcycles. Unlike their gas-powered counterparts, electric scooters run on batteries, producing zero exhaust emissions and significantly reducing noise pollution. However, while electric scooters offer a greener, more convenient way to travel, safety concerns, particularly regarding battery quality, remain a major hurdle. In the pursuit of profit, some unscrupulous manufacturers cut corners, producing low-quality batteries that compromise performance and, more importantly, safety. These inferior batteries pose a significant threat, as extreme temperatures or collisions can trigger explosions or fires, endangering riders, bystanders, and property. Data from the China Fire and Rescue Service paint a concerning picture. E-scooter fires have become a leading cause of urban fires in China, with a year-on-year increase. In 2022 alone, there were 18,000 fires involving electric scooters, a 23.4% jump from the previous year. Battery failures were responsible for a significant portion of these fires, with a 17.3% year-on-year rise to 3242 incidents [1]. Safety data from Baidu.com further highlight this issue. Most electric scooter accidents in Chinese cities in 2024 occurred in the early morning hours and were concentrated in densely populated areas. The accidents in electric scooters depend not only on the quality of the vehicle’s structure and assembly but also on the quality of the batteries provided by upstream battery manufacturers in the supply chain, which requires joint efforts from both upstream and downstream manufacturers in the electric scooter supply chain. All parties in the supply chain need to strengthen quality control and management during the manufacturing process. Therefore, how to coordinate the relationship between battery makers and electric scooter manufacturers and ensure that both parties work together on quality inputs has become an important issue in improving the overall quality level of electric scooters.
To tackle the challenge of electric scooter quality, the government needs to strategically influence the behavior of manufacturers throughout the supply chain. Two common and effective tools are government subsidies and cost-sharing contracts. The government subsidy is a form of direct financial support that provides financial assistance, tax incentives, or low-interest loans to incentivize both upstream (battery makers) and downstream (scooter manufacturers) players to invest more in quality improvement [2]. The advantage of government subsidies is that they are quick and direct and can see results in the short term. However, over-reliance on government subsidies can reduce manufacturers’ motivation for self-improvement. In contrast, the cost-sharing contract is a more indirect strategy in which the government encourages manufacturers up and down the supply chain to collaborate through agreements that share the additional costs of quality enhancement [3,4]. This fosters cooperation and creates a mutually beneficial situation. However, reaching cost-sharing agreements can be challenging due to potential conflicts of interest among manufacturers. Therefore, a flexible approach is crucial for governments. The chosen strategy should depend on the specific situation and aim to motivate both upstream and downstream manufacturers to work together toward improved e-scooter quality.
Motivated by the above analysis, this study aims to explore the quality improvement strategies of battery makers (upstream) and electric scooter manufacturers (downstream) during the design and manufacturing stages. We employ the differential game framework to explore these strategies and identify key factors impacting e-scooter quality. Our goal is to establish a quality input coordination mechanism, aiding battery makers and scooter manufacturers in optimizing quality investments, product quality, and overall revenue. This research will address the following key questions:
- (1)
- Do the effort levels and resulting product quality in the design and manufacturing processes differ between battery makers and scooter manufacturers across various decision-making scenarios?
- (2)
- How do the effort levels of both parties (battery makers and scooter manufacturers) during design and manufacturing, under different decision-making scenarios, influence product quality? Additionally, what are the key factors that significantly affect the overall quality of electric scooters?
- (3)
- Compared to cost-sharing contracts, do government subsidies offer greater advantages in maximizing the optimal profits of battery makers, scooter manufacturers, and the entire supply chain?
To answer the above questions, this study constructs eight distinct differential game models encompassing various government intervention scenarios. These models will be used to analyze the quality improvement strategies employed by battery makers and electric scooter manufacturers during the design and manufacturing stages. The differential game model used is an analytical tool that combines differential equations and game theory to describe the continuous strategic interactions of multiple decision-makers in the electric scooter supply chain. Specifically, we will explore eight decision-making scenarios: decentralized (no government involvement); centralized (complete coordination); unilateral cost-sharing contract (one party incentivizes the other); bilateral cost-sharing contract (both parties share costs) centralized with government subsidies; unidirectional government subsidies (subsidy for one party); bidirectional government subsidies (subsidies for both parties); and separate government subsidies (design and manufacturing steps subsidized separately). We analyze and compare the optimal quality investment strategies of battery makers and electric scooter manufacturers under these models.
We emphasize a few key findings of this work as follows: First, compared to the cost-sharing contract, the effort levels of quality investment in the design and manufacturing processes and the product quality levels of battery makers and electric scooter manufacturers are generally higher under the government subsidy. The metrics in the decentralized decision-making model without government subsidies or cost-sharing contracts remain relatively low. In addition, compared to the unilateral cost-sharing contract model, the product quality level is higher in the bilateral cost-sharing contract model. Second, the higher the effort levels of quality investment in the design and manufacturing processes by battery makers and electric scooter manufacturers, the better the quality level of electric scooters. The product quality of electric scooters is influenced jointly by key factors such as time, quality decay coefficient, and income distribution coefficient. Finally, in the cost-sharing contract models, the profits of battery makers, electric scooter manufacturers, and the supply chain are higher than those in the decentralized decision-making model. Moreover, the optimal supply chain profits in the bilateral cost-sharing contract model are higher than those in the unilateral cost-sharing contract model. Additionally, compared to the cost-sharing contract, the government subsidy has a better effect on improving the profits of battery makers, electric scooter manufacturers, and the entire supply chain. Notably, unilateral subsidies for scooter manufacturers alone are less effective than models with bidirectional subsidies.
The remainder of this paper is organized as follows: In Section 2, we briefly review relevant research on this topic. Section 3 outlines the problem we are addressing and establishes the foundational assumptions for our models. In Section 4, we build the differential game models and derive the equilibrium solutions for each scenario. Section 5 compares the findings from the different models we developed. Section 6 verifies the previous conclusions and obtains new findings by numerical analysis. Section 7 summarizes our conclusions and provides management insights.
2. A Literature Review
In this section, we review the relevant literature from three main streams: (1) battery quality control and management; (2) government subsidy and cost-sharing contracts; and (3) the application of differential game theory in supply chains.
2.1. The Battery Quality Control and Management
The battery has been widely used in various fields [5,6,7]. Research by Liu et al. [8] highlighted the critical link between battery quality and performance in electric vehicles. Hoffmann et al. [9] emphasized the importance of quality control in battery production for the success of electric vehicles. Battery manufacturing involves tightly coupled design, production processes, and final product quality. Quality fluctuations can accumulate throughout the supply chain, with upstream design issues impacting downstream manufacturing [10]. Therefore, controlling and coordinating the quality of batteries and vehicles during the design and manufacturing stages is crucial. In the design phase, key measures include optimizing concepts, evaluating schemes, and selecting high-quality materials. Schnell et al. [11] proposed standardization for cost reduction and overall quality improvement. Design scheme evaluation ensures continuous improvement of battery performance [12]. Manufacturing quality control focuses on process quality, equipment maintenance, and product defect detection. Stock et al. [13] introduced the application of machine learning methods in quality prediction, providing new solutions for early quality control. Ju et al. [14] proposed a process model for high-capacity battery manufacturing systems for hybrid and electric vehicles, aiming to improve the product quality of electric vehicle battery assembly lines. Darmawan et al. [15] adopted the quality function deployment method and proposed specific product development suggestions based on the importance and priority of customer product attributes.
2.2. The Government Subsidy and Cost-Sharing Contract
The government subsidy can be through direct financial transfers or indirect preferential measures. Z. Li et al. [16] explored the specific impacts of two different types of subsidies on green decision-making in a two-level supply chain. Rasti-Barzoki et al. [17] compared tax optimization and government subsidies, analyzing their potential effects on optimizing the research and development efforts of electric vehicle manufacturers. The purpose of government subsidies is relatively clear, aiming to guide resource flows to specific industries, fields, or groups through fiscal means, thereby promoting their rapid development. In the new energy vehicle industry, government subsidies are particularly important. They not only help alleviate funding shortages but also provide dual support for both production and consumers [18]. Zhao et al. [19] established a three-stage evolutionary game model to explore the positive role of government subsidies in the diffusion of new energy vehicles. Gu et al. [20] focused on a two-stage closed-loop supply chain model for the secondary use of batteries, where the government incentivized the reuse of electric vehicle batteries by providing subsidies to secondary users. X. Zhu et al. [21] argued that government subsidies could not only reduce operating costs for pure electric vehicle companies but also increase their expected profits, thereby stimulating their enthusiasm for investment, production, and innovation. Research on the role of government subsidies in supply chains is of great significance. Deeply analyzing the impact of government subsidies on enterprises, supply chains, and the entire industrial ecosystem can provide scientific evidence for the government to formulate more precise and effective policies. Meng et al. [22] used Stackelberg game theory to propose a green supply chain model with a dual-channel structure, considering consumers’ green preferences and channel preferences, and found that government subsidies could effectively reduce green product prices and promote their sales. Bian et al. [23] compared the impacts of emission reduction subsidies and emission taxes, finding that subsidy policies provided greater incentives for manufacturers to reduce pollution while also bringing higher profits to channel members.
The cost-sharing contract aims to clarify the allocation of costs and expected benefits among parties involved in projects such as joint development, shared use, or cooperative operations. Such contracts are commonly seen when multiple enterprises jointly carry out a certain business, and their core lies in the shared distribution of project costs among parties based on the specified ratios. P. He et al. [24] explored a service supply chain composed of carbon emission reduction providers and service integrators. Their study focused on three different types of cost-sharing agreements and revealed the potential benefits of bidirectional cost-sharing contracts for the service chain and its members. Z. Yang et al. [25] constructed centralized and decentralized operational decision-making frameworks for supply chain enterprises using the Stackelberg game model. By comparing the equilibrium results under different decisions, they revealed the positive role of cost-sharing contracts in improving the safe production, product demand, and total profit levels of supply chain enterprises. Kuchesfehani et al. [26] further built a dynamic game model of a closed-loop supply chain involving manufacturers and retailers. Their analysis showed that under cost-sharing agreements, retailers typically bear the main costs of green activities, while manufacturers balance this relationship through partial revenue transfers. In essence, cost-sharing contracts facilitate resource sharing, risk mitigation, and profit distribution among multiple businesses in a supply chain.
2.3. The Application of Differential Game in the Supply Chain
The differential game model is a powerful tool for analyzing dynamic competition in systems with multiple players. These models involve continuous adjustments to strategies over time, leading to an equilibrium where no player has an incentive to change their strategy unilaterally [27,28,29]. This approach is particularly valuable in supply chain management, where companies collaborate or compete on aspects like quality control, cost sharing, and profit optimization [30]. For instance, J. Yang et al. [31] applied differential games to analyze optimal strategies for government, individuals, and enterprises in an express packaging waste recycling system. Lu et al. [32] studied the differential game process of a two-party supply chain where the manufacturer provided a cooperative advertising plan for the retailer. W. Zhu et al. [33] developed a stochastic differential equation model to evaluate the impact of multimedia advertising on sales in a multi-brand, multi-channel context. L. He et al. [34] focused on the dynamic emission reduction behavior in a low-carbon supply chain, using a differential game model to analyze in depth the impact of bilateral participation strategies on emission reduction behavior and related performance. Z. Liu et al. [35] also utilized a differential game model to explore the impact of the relationship between fresh food suppliers and retailers on the level of investment in pre-cooling technology and carbon emission reduction technology. In the context of electric scooters, differential games can be used to model the strategic interactions between battery makers and scooter manufacturers regarding quality investment during the design and manufacturing stages. This research aims to leverage this framework to identify strategies that promote improved quality throughout the electric scooter supply chain.
Compared to the above-reviewed studies, this study contributes to the literature by applying the differential game approach to investigate quality investment strategies for battery makers and scooter manufacturers throughout the design and manufacturing stages of electric scooters. While prior research has mainly explored quality control and management in new energy vehicle batteries, these batteries differ significantly from electric scooter batteries in terms of standards, types, and internal structures. Consequently, distinct quality control measures are needed within the electric scooter supply chain. Furthermore, our research establishes eight unique decision-making models to comprehensively analyze the impact of government subsidies and cost-sharing contracts on quality investment, product quality, and optimal profits for both battery makers and scooter manufacturers. These findings provide deeper insights into quality management practices within China’s electric scooter industry.
3. Problem Description and Hypothesis Proposal
We consider a two-tier supply chain with a battery maker (B) and an electric scooter manufacturer (E). Since design and manufacturing are the key stages for the quality of new energy batteries and electric scooters, we primarily focus on the quality investment behaviors in these two stages. In the design phase, the battery maker’s product quality investment mainly focuses on material selection, simulation design optimization, and control design for regulating charging and discharging processes. The electric scooter manufacturer’s quality investment mainly consists of rational design and improvement of the overall electric scooter structure based on quality requirements. In the manufacturing phase, the battery maker enhances product quality by improving new energy battery manufacturing processes. The electric scooter manufacturer enhances overall assembly quality by introducing advanced manufacturing techniques or upgrading equipment. To facilitate our analysis, we make the following assumptions:
Assumption 1.
Both the battery maker and the electric scooter manufacturer are assumed to be economically rational agents. They aim to maximize their profits over an infinite planning horizon by selecting optimal strategies. It is further assumed that both parties have the same discount rate and possess perfect knowledge of their costs and profits;
Assumption 2.
where,
represents the quality of the electric scooter product at time t, with an initial quality of
;
and
are the effort levels invested by the battery maker in the design and manufacturing stages, respectively;
and
denote the influence coefficients of the battery maker’s quality investment on product quality in the design and manufacturing stages, respectively; similarly,
and
represent the effort levels invested by the electric scooter manufacturer in design and manufacturing, respectively;
and
represent the influence coefficients of the electric scooter manufacturer’s quality investment on product quality in the design and manufacturing stages, respectively;
is the natural attenuation coefficient of the electric scooter product quality to describe the rate at which quality decreases over time;The quality improvement of electric scooters depends on the effort levels, which refer to the specific intensity or investment level invested by both the battery maker and the electric scooter manufacturer in the design and manufacturing stages. Referring to [36], we express the dynamic equation for electric scooter product quality as
Assumption 3.
Considering the marginal increase and convex characteristics of the cost function, referring to [37], we assume that the quality investment cost functions of the battery maker and the electric scooter manufacturer are and , respectively. Here, , , , and are all coefficients greater than 0, representing the cost coefficients of product quality investment in the design and manufacturing stages for both the battery maker and the electric scooter manufacturer, respectively;
Assumption 4.
where
and
are both constants greater than 0, and
is the influence coefficient of electric scooter product quality on the overall supply chain revenue;We assume that the revenue generated by the quality investments of the battery maker and the electric scooter manufacturer is directly proportional to the quality level of the electric scooter product. The total revenue of the electric scooter supply chain is assumed to be a linear function of the electric scooter product quality, expressed as
Assumption 5.
The battery maker and the electric scooter manufacturer distribute the total revenue of the supply chain in a certain proportion. The revenue share of the battery maker is , and the revenue share of the electric scooter manufacturer is . Here, is the revenue distribution coefficient, which is determined through negotiation within a certain range by both parties.
The control variables in the model include , , , and , while the state variable is . Additionally, , , , and represent the cost-sharing ratios for the battery maker and the electric scooter manufacturer in the design and manufacturing stages, respectively. and denote the government subsidy ratios received by the battery maker and the electric scooter manufacturer, respectively. For the convenience of research, the time variable t will be omitted in the following text. Table 1 summarizes the key notations used throughout this study.
Table 1.
List of notations.
4. Model Construction and Solution
Considering different government involvement, we establish eight distinct differential game models to investigate the quality investment strategies of battery makers and electric scooter manufacturers during the design and manufacturing processes. The structures of all eight models are illustrated in Figure 1.
Figure 1.
Structures of eight distinct differential game models.
4.1. Decentralized Decision-Making Model
In the decentralized decision-making mode or model 1 shown in Figure 1, the battery maker and the electric scooter manufacturer make independent decisions to maximize their respective profits. Therefore, the profit expressions for the battery maker and the electric scooter manufacturer are given by Equations (3) and (4), respectively:
Proposition 1.
The optimal strategies for both the battery maker and the electric scooter manufacturer in the decentralized decision-making model are denoted with superscript 1 as
Under these conditions, the optimal profits for the battery maker, electric scooter manufacturer, and the supply chain are, respectively,
Proof.
See Appendix A. □
4.2. Centralized Decision-Making Model
In the centralized decision-making model or model 2 shown in Figure 1, the battery maker and the electric scooter manufacturer act as a unified entity, jointly determining the optimal quality investment to maximize the overall profit of the supply chain. Therefore, the objective profit function for the entire supply chain is
Proposition 2.
The optimal strategies for both the battery maker and the electric scooter manufacturer in the centralized decision-making model are denoted with superscript 2 as
Under these conditions, the optimal profit for the entire supply chain is
Proof.
See Appendix B. □
4.3. Unilateral Cost-Sharing Contract Model
Under the unilateral cost-sharing contract model or model 3 shown in Figure 1, the electric scooter manufacturer first determines its optimal quality investment strategy and decides on the proportions of design and manufacturing quality investment costs it will bear for the battery maker, denoted as and (where ). The battery maker then observes the electric scooter manufacturer’s decision and chooses its optimal strategy accordingly. Therefore, the profit expressions for the battery maker and the electric scooter manufacturer are given by Equations (14) and (15), respectively.
Proposition 3.
where
. Under these conditions, the optimal profits for the battery maker, electric scooter manufacturer, and the supply chain are, respectively,The optimal strategies for both the battery maker and the electric scooter manufacturer in the unilateral cost-sharing contract model are denoted with superscript 3 as
Proof.
See Appendix C. □
4.4. Bilateral Cost-Sharing Contract Model
Under the bilateral cost-sharing contract model or model 4 shown in Figure 1, the electric scooter manufacturer first determines its optimal quality investment strategy and decides on the proportions of design and manufacturing quality investment costs it will share with the battery maker, denoted as and (where ). The battery maker then observes the decision of the electric scooter manufacturer and chooses its optimal strategy, subsequently determining the proportions of design and manufacturing quality investment costs it will bear for the electric scooter manufacturer, denoted as and (where ). Therefore, the profit expressions for the battery maker and the electric scooter manufacturer are given by Equations (22) and (23), respectively:
Proposition 4.
where
. Under these conditions, the optimal profits for the battery maker, electric scooter manufacturer, and the supply chain are, respectively,The optimal strategies for both the battery maker and the electric scooter manufacturer in the bilateral cost-sharing contract model are denoted with superscript 4 as
Proof.
See Appendix D. □
4.5. Centralized Decision-Making Model with Government Subsidies
To analyze the effect of government policies, the centralized decision-making model with government subsidies or model 5 is presented. The decision-making process is as follows: Firstly, the government decides on the subsidy coefficients provided to the battery maker and the electric scooter manufacturer, denoted as and , respectively (where ). Subsequently, the battery maker and the electric scooter manufacturer act as a unified entity, jointly determining the optimal quality investment to maximize the overall profit of the supply chain. Therefore, the objective profit functions for both the government and the entire supply chain are given as
Proposition 5.
In the centralized decision-making model with government subsidies, the battery maker and the electric scooter manufacturer engage in a cooperative game. Their optimal strategies are denoted with the superscript 5 as
The optimal profit for the supply chain under these conditions is
Proof.
See Appendix E. □
4.6. Unidirectional Government Subsidy Decision Model
In the unidirectional government subsidy decision model or model 6 shown in Figure 1, the government only provides subsidies to the electric scooter manufacturer, with subsidy coefficients for the design and manufacturing stages denoted as and , respectively (where ). The decision-making process is as follows: Firstly, the government decides on the subsidies to be provided to the electric scooter manufacturer. Based on these subsidies, the electric scooter manufacturer determines its optimal quality investment strategy. The battery maker then observes the electric scooter manufacturer’s decision and chooses its optimal strategy accordingly. Therefore, the objective profit functions for the government, battery maker, and electric scooter manufacturer are, respectively,
Proposition 6:
The optimal strategies for both the battery maker and the electric scooter manufacturer in the unidirectional government subsidy decision model are denoted with superscript 6 as
Under these conditions, the optimal profits for the battery maker, electric scooter manufacturer, and the supply chain are, respectively,
where, , , , , .
Proof.
See Appendix F. □
4.7. Bidirectional Government Subsidy Decision Model
In the bidirectional government subsidy decision model or model 7 shown in Figure 1, the government simultaneously provides subsidies to both the battery maker and the electric scooter manufacturer, with subsidy coefficients denoted as and , respectively (where ). The decision-making process is as follows: Firstly, the government decides on the subsidies to be provided to both the battery maker and the electric scooter manufacturer. Based on these subsidies, the electric scooter manufacturer determines its optimal quality investment strategy. The battery maker then observes the electric scooter manufacturer’s decision and chooses its optimal strategy based on the government subsidies. Therefore, the objective profit functions for the government, battery maker, and electric scooter manufacturer are, respectively,
Proposition 7:
The optimal strategies for both the battery maker and the electric scooter manufacturer in the bidirectional government subsidy decision model are denoted with superscript 7 as
Under these conditions, the optimal profits for the battery maker, electric scooter manufacturer, and the entire supply chain are, respectively,
where , , , , , .
Proof.
See Appendix G. □
4.8. Government Subsidy Decision Model Considering Design and Manufacturing Stages Separately
In the government subsidy decision model or model 8 that considers design and manufacturing stages separately, the government simultaneously provides subsidies to both the battery maker and the electric scooter manufacturer, with different subsidy coefficients for the design and manufacturing stages denoted as and , respectively (where ). The decision-making process is as follows: Firstly, the government decides on the subsidies to be provided separately for the design and manufacturing stages of the manufacturers. Based on these subsidies, the electric scooter manufacturer determines its optimal quality investment strategy. The battery maker then observes the electric scooter manufacturer’s decision and chooses its optimal strategy based on the government subsidies. Therefore, the objective profit functions for the government, battery maker, and electric scooter manufacturer are, respectively,
Proposition 8.
The optimal strategies for both the battery maker and the electric scooter manufacturer in the government subsidy decision model that considers design and manufacturing stages separately are denoted with superscript 8:
Under these conditions, the optimal profits for the battery maker, electric scooter manufacturer, and the supply chain are as follows:
where , , , , , .
Proof.
See Appendix H. □
5. Comparisons Among Different Models
Based on the above model analysis, this section compares the effort levels of quality investment, product quality levels, and optimal revenues between the battery maker and the electric scooter manufacturer in the design and manufacturing stages among the eight different models and further analyzes the interaction between the modes and optimal strategies.
5.1. Comparison of Effort Levels in Quality Investment During the Design and Manufacturing Stages
Corollary 1.
When considering the cost-sharing contract, the effort levels of quality investment by the battery maker and the electric scooter manufacturer in the design and manufacturing stages, from lowest to highest, are as follows: < = < and = < < , respectively. When considering the government subsidy, the effort levels of quality investment by the battery maker and the electric scooter manufacturer in the design and manufacturing stages, from lowest to highest, are < = < and < = < , respectively.
Corollary 1 demonstrates that cost-sharing contracts significantly influence quality investment efforts by both upstream (battery maker) and downstream (scooter manufacturer) players in the electric scooter supply chain. Compared to a decentralized decision-making model, these contracts incentivize higher effort levels in the design and manufacturing stages. Cost-sharing contracts clarify responsibilities and investment expectations for quality improvement. By establishing a fair cost allocation, both parties gain a clearer understanding of their roles in quality assurance, leading to more targeted resource allocation. Notably, a two-way cost-sharing model, emphasizing cooperation and mutual benefit, further increases quality investment effort compared to a one-way model. This fosters collaboration between manufacturers, allowing them to share cost savings and efficiency gains.
Corollary 1 also reveals that government subsidies can incentivize higher-quality investment efforts by both manufacturers. Subsidies alleviate the financial burden associated with quality improvement, particularly for those heavily invested in high-quality design and production. However, the effect of subsidies on effort levels differs between manufacturers. The battery maker, with a more focused supply chain on battery technology, can more readily concentrate resources on core areas after receiving a subsidy, leading to a more significant improvement in battery quality. The electric scooter manufacturer, with a broader and more established supply chain, may not experience the same level of improvement. Their existing design and manufacturing systems may already be relatively mature, limiting the additional impact of subsidies.
Corollary 2.
Compared to the cost-sharing contract model, the effort levels of quality investment by the battery maker and the electric scooter manufacturer during the design and manufacturing stages are generally higher in the government subsidy model. The effort levels of quality investment by the battery maker and the electric scooter manufacturer during the design and manufacturing stages, from lowest to highest, under different decision-making modes are = < = < < = < and = < < < = < , respectively.
Corollary 2 indicates that the government can intervene in the cooperative relationship between the battery maker and the electric scooter manufacturer in two different ways. One is to provide financial aid directly to both manufacturers to incentivize investment in quality improvement, and the other is to promote the cost-sharing contract between the battery maker and the electric scooter manufacturer. Our analysis suggests that direct subsidies may be more effective in boosting quality investment efforts during the design and manufacturing stages. This is because subsidies circumvent the need for complex negotiations and cost-sharing agreements between manufacturers. Direct financial support allows manufacturers to rapidly access resources and enhance product quality, ultimately strengthening their market competitiveness.
5.2. Comparison of Product Quality Levels
Corollary 3.
When considering the cost-sharing contract, the quality levels of electric scooter products, from lowest to highest, are < < < . When considering the government subsidy, the quality levels of electric scooter products, from lowest to highest, are < < < . Compared to the cost-sharing contract model, the quality levels of electric scooter products in the government subsidy model are generally higher. The product quality levels under different decision-making modes, from lowest to highest, are < < < < < .
Corollary 3 indicates that the cost-sharing contract has a significant impact on the quality levels of electric scooter products. In the cost-sharing contract model, the quality levels of electric scooter products are higher than those in the decentralized decision-making model but lower than those in the centralized decision-making model. Additionally, compared to the one-way cost-sharing contract model, the two-way cost-sharing contract model results in higher product quality levels. When considering the government subsidy, the centralized decision-making model yields the highest product quality, followed by the two-way subsidy model, while the other two models achieve lower quality levels. Corollary 3 also demonstrates that the government subsidy has a more significant impact on improving product quality compared to the cost-sharing contract.
Corollary 4.
There is a positive correlation between product quality levels and the effort levels of quality investment by the battery maker and the electric scooter manufacturer during the design and manufacturing stages. That is, the higher the effort levels of quality investment by the battery maker and the electric scooter manufacturer during the design and manufacturing stages, the better the quality level of the electric scooter product.
Proof.
Let . From the dynamic equation of electric scooter product quality, we can deduce . Given , by solving the above differential equation, we obtain , which can be converted to . Therefore, Q is the increasing function of X, and X is the increasing function of ,, , and . Hence, Q is also the increasing function of , , , and .□
5.3. Comparison of Profits for Battery Makers, Electric Scooter Manufacturers, and the Supply Chain
Corollary 5.
When considering the cost-sharing contract, the optimal profits for battery makers, electric scooter manufacturers, and the supply chain, from lowest to highest, are < < , < < , < < < . When considering the government subsidy, the optimal profits for the supply chain, from lowest to highest, are < , , , respectively.
Corollary 6.
Compared to the cost-sharing contract model, the optimal profits for the supply chain are generally higher in the government subsidy model. The earnings levels, from lowest to highest, are < < < < , , , respectively.
Corollary 5 indicates that under decentralized decision-making, the profits for battery makers, electric scooter manufacturers, and the supply chain system are the lowest. In the cost-sharing contract model, the profits of battery makers, electric scooter manufacturers, and the supply chain are higher than those in the decentralized decision-making model.
Corollary 6 shows that with the government subsidy, the supply chain has better profits. In the tripartite game involving the government, due to government intervention, the upstream and downstream manufacturers in the electric scooter supply chain make centralized decisions, making the profits of the entire supply chain even exceed those of the centralized decision-making model without the government subsidy. Additionally, compared to the cost-sharing contract, the government subsidy has a more significant impact on improving the overall supply chain earnings. The government subsidy can reduce risks and uncertainties for upstream and downstream manufacturers, making them more likely to form long-term, stable cooperative relationships. This stability is crucial for the long-term development and overall efficiency improvement of the supply chain.
6. Numerical Analysis
In this section, we use MATLAB 2020a for numerical simulation and analysis. Based on previous theoretical research and the actual operating conditions of the electric scooter supply chain [17,19,20,36], the specific parameter settings are as follows: = 0.1; = 0.5; = 0.4; = 0.4; = 0.2; = 0.1; = 0.6; = 0.4; = 0.4; = 0.3; = 1; = 0.5; = 3; = 0.4.
6.1. Comparison of Equilibrium Results from Different Decision Models
By substituting parameter values into Propositions 1–8, the equilibrium results of different decision models can be calculated. Table 2 shows that = = 0.83 < = = 1.67 < = 2.08 < = = 2.5 < = 3.13, and = = 1 < = = 2 < = 2.5 < = = 3 < = 3.75. Therefore, it can be derived that < = < , < = < , and = < = < < = < . Table 2 also indicates that = = 1.5 < = 1.75 < = 1.8 < = 2.5 < = = 3.25 < = 3.75, and = = 1 < = 1.17 < = 1.2 < = 1.67 < = = 2.17 < = 2.5. So, we can infer that = < < , < = < , and = < < < = < . In summary, Corollary 1 and Corollary 2 are proven. Similarly, since = 16.17 < = 24.33 < = 25.67 < = 33.75 < = 41.83 < = 50.63, and = 25.5 < = 34.1 < = 41.83 < = 50.63, Corollary 3 is also proven. Furthermore, since = 32.25 < = 44.5 < = 67.83, = 48.5 < = 64.83 < = 67.83, = 120.42 < = 193.92 < = 199.84 < = 213.37, and = 80.75 < = 109.33 < = 113.83 < = 136.56 < = 193.92 < = 199.84 < = 213.37, Corollary 5 and Corollary 6 are proven.
Table 2.
Comparison of equilibrium results from different models in numerical simulation.
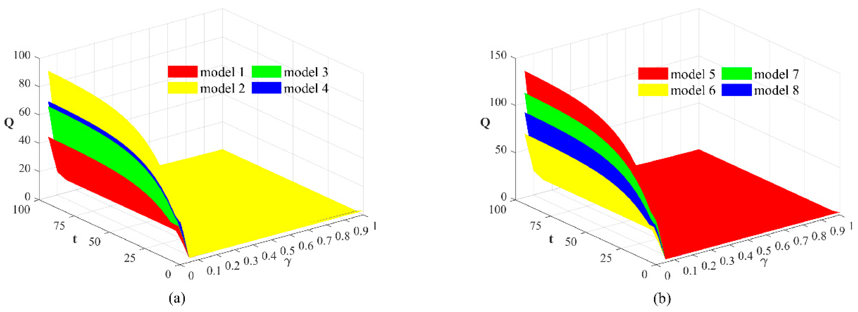
6.2. The Impact of the Time and Attenuation Coefficient on Product Quality
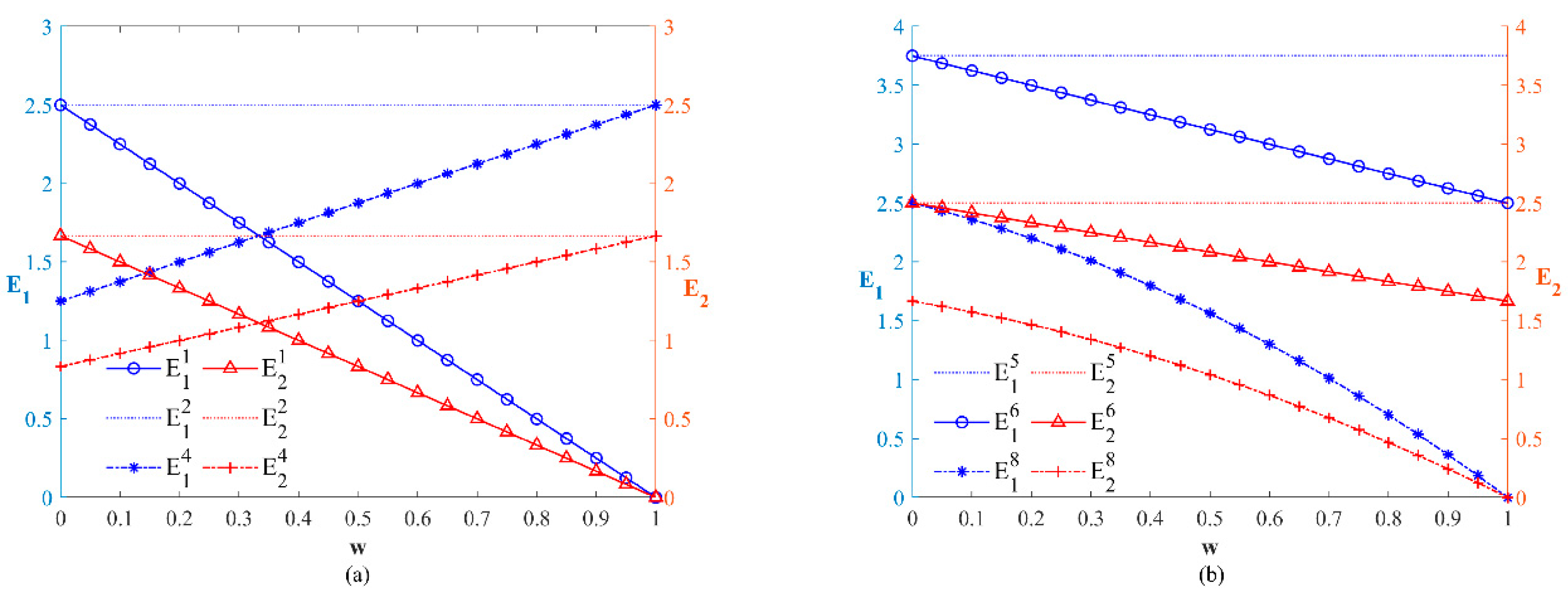
As shown in Figure 2, both cost-sharing models and government subsidy models lead to a gradual increase in electric scooter quality over time due to continuous investment by both manufacturers. However, this improvement is countered by a natural quality degradation represented by the quality attenuation coefficient.
Figure 2.
The impact of the time and attenuation coefficient on product quality.
Specifically, Figure 2a reveals that cost-sharing contracts deliver higher quality compared to the decentralized model. This indicates that cost-sharing fosters cooperation and a win–win equilibrium between upstream (battery maker) and downstream (scooter manufacturer) players in the supply chain. Additionally, bilateral cost-sharing offers superior quality compared to unilateral cost-sharing. By sharing costs, both parties experience a more equitable partnership conducive to long-term collaboration and avoid potential imbalances caused by one party bearing excessive costs. Under centralized decision-making, with full commitment from both parties, the quality reaches its optimal level. Figure 2b demonstrates that bilateral government subsidies lead to higher product quality compared to unilateral subsidies. Unilateral subsidies, targeting only the downstream manufacturer, create uneven resource allocation and inequity. Bilateral subsidies address the interests of both upstream and downstream players, promoting balanced development throughout the supply chain. Interestingly, this figure also suggests that separate subsidies for design and manufacturing stages, rather than for upstream and downstream entities, can negatively affect quality. This is because design and manufacturing are interconnected in the electric scooter supply chain. Disjointed subsidy policies can lead to a mismatch between these stages and uneven resource allocation, ultimately impacting overall product quality. For example, a high design subsidy might leave the manufacturing stage under-resourced, hindering overall performance.
6.3. The Impact of the Time and Attenuation Coefficient on Members’ Optimal Profits
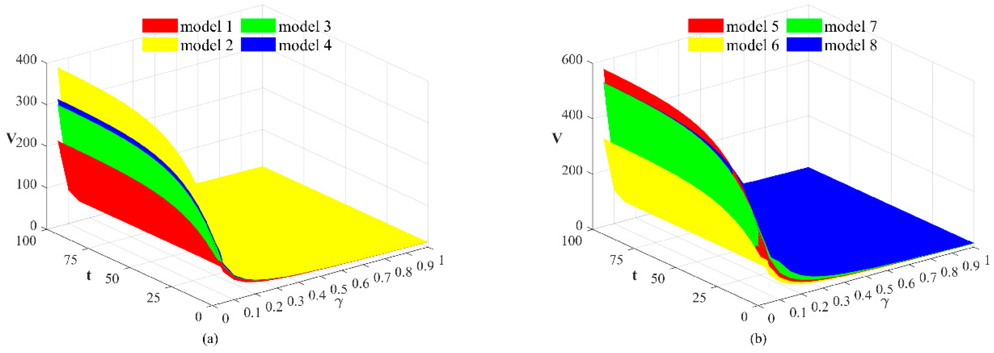
Figure 3 depicts the impact of various decision models on the electric scooter supply chain’s overall profit over time. Similar to quality, profits increase over time due to continuous improvement. However, the natural quality degradation (represented by the quality attenuation coefficient) also leads to a gradual decrease in profits.
Figure 3.
The impact of the time and attenuation coefficient on the supply chain’s optimal profits.
Specifically, Figure 3a reveals that cost-sharing contracts generate higher profits compared to the decentralized model but lower profits than the centralized model. Additionally, bilateral cost-sharing leads to greater profits than unilateral cost-sharing. This is because bilateral cost-sharing fosters deeper cooperation between manufacturers, optimizing supply chain processes, improving operational efficiency, and reducing costs. These factors ultimately contribute to higher overall profits for the supply chain. Figure 3b demonstrates that bilateral government subsidies lead to higher supply chain profits compared to unilateral subsidies. This is because both upstream and downstream manufacturers benefit from subsidies under the bilateral model, which improves both operational efficiency and profitability across the entire supply chain.
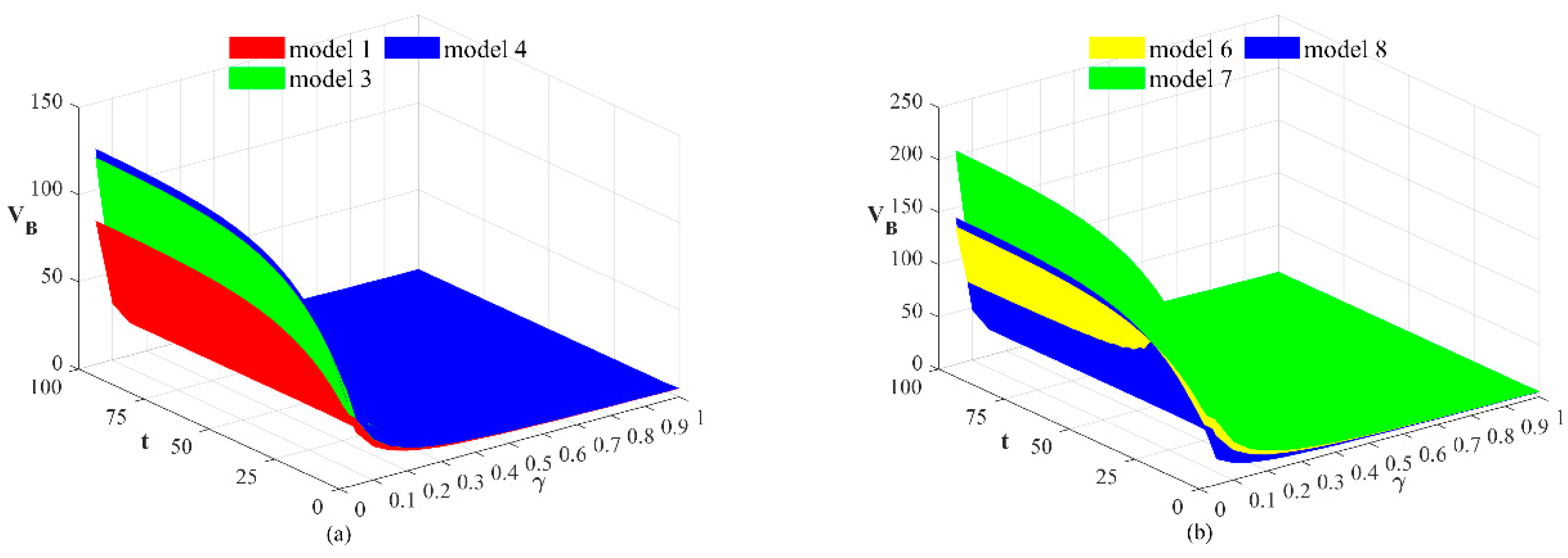
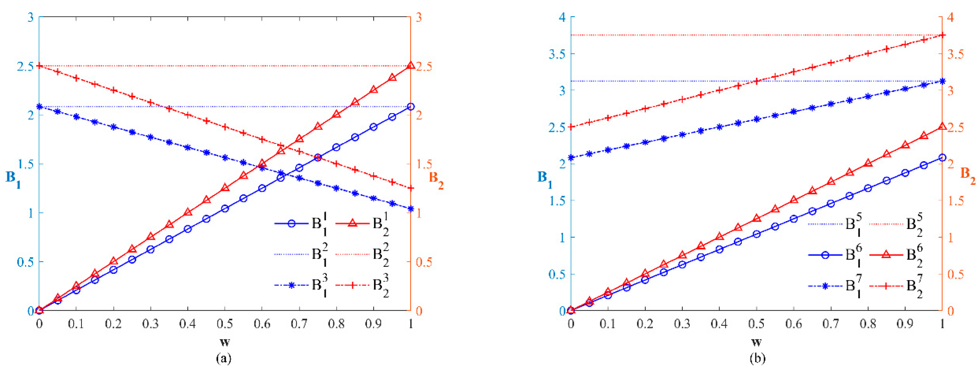
Figure 4 analyzes battery maker’s profits. As shown in Figure 4a, bilateral cost-sharing leads to higher profits compared to both unilateral cost-sharing and the decentralized model without cost-sharing. Furthermore, Figure 4b reveals that separate subsidies for upstream and downstream manufacturers (battery makers and scooter manufacturers) generate the greatest profit for battery makers.
Figure 4.
The impact of the time and attenuation coefficient on the battery makers’ optimal profits.
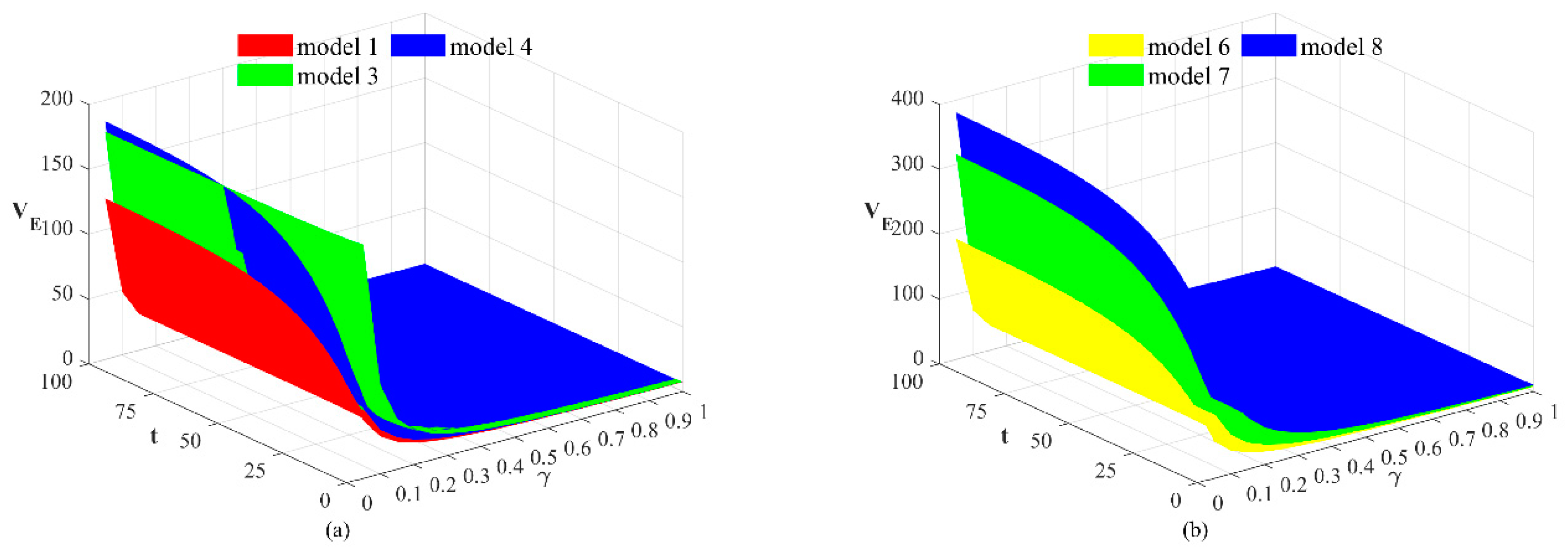
Figure 5 indicates that the revenue trends of electric scooter manufacturers differ across various decision models. Figure 5a indicates that in the cost-sharing models, the profit of the electric scooter manufacturer is not substantially higher under bilateral compared to unilateral cost-sharing. Furthermore, Figure 5b highlights a significant advantage for electric scooter manufacturers when subsidy policies target design and manufacturing stages separately, compared to separate subsidies for upstream and downstream entities. This is because design and manufacturing are the critical stages that create the most value in electric scooter production. By providing targeted subsidies for these stages, electric scooter manufacturers are incentivized to invest more resources in innovation and optimization. This can lead to improvements in product quality, technology level, and, ultimately, market competitiveness, resulting in significantly higher profits.
Figure 5.
The impact of the time and attenuation coefficient on the electric scooter manufacturers’ optimal profits.
6.4. The Impact of the Revenue Distribution Coefficient on Manufacturers’ Investments in Product Quality
Figure 6 explores how the revenue distribution coefficient influences battery makers’ investment in quality across different decision models. This coefficient reflects how much revenue each party receives. In the decentralized model (without cost-sharing, Figure 6a), we see a negative correlation. As the revenue distribution coefficient increases, signifying a greater share of revenue for the battery maker, their investment in quality during the design and manufacturing stages decreases. This suggests that without a cost-sharing mechanism, battery makers prioritize short-term profits over long-term quality improvements. Conversely, in the cost-sharing game scenario, the investment gradually increases. Figure 6b reveals that with the increase in the revenue distribution coefficient, the investment in product quality during the design and manufacturing stages by the battery maker in the government subsidy game scenario also gradually increases. This indicates that cost-sharing agreements and government subsidies incentivize battery makers to invest more in quality throughout the design and manufacturing stages, potentially leading to better-quality products in the long run.
Figure 6.
The impact of the revenue distribution coefficient on battery makers’ investments in product quality.
Figure 7 examines the contrasting effects of cost-sharing contracts and government subsidies on electric scooter manufacturers’ quality investment decisions (design and manufacturing) as the revenue distribution coefficient increases. Figure 7a reveals a positive correlation in the cost-sharing scenario. As the manufacturer’s share of revenue increases, their investment in quality also gradually increases. This suggests that cost-sharing agreements incentivize scooter manufacturers to prioritize quality improvement alongside potential revenue gains. However, Figure 7b demonstrates a negative correlation in the government subsidy scenario. Here, increased revenue share for the manufacturer leads to a decrease in quality investment. This suggests that the cost-sharing contract is more effective in promoting electric scooter manufacturers’ efforts to invest in product quality during the design and manufacturing stages when the revenue distribution coefficient increases.
Figure 7.
The impact of the revenue distribution coefficient on electric scooter manufacturers’ investments in product quality.
6.5. The Impact of Revenue Distribution Coefficient on Optimal Revenue
Figure 8 explores how the revenue distribution coefficient affects profits for both battery makers and electric scooter manufacturers across different scenarios. In Figure 8a,b, we see that as the revenue distribution coefficient increases (meaning the battery maker receives a larger share of the total revenue), the battery maker’s revenue gradually rises regardless of cost-sharing agreements or government subsidy models. Conversely, the revenue of electric scooter manufacturers gradually decreases under all conditions. This suggests that a larger share of revenue allocated to battery makers comes at the expense of electric scooter manufacturer profits.
Figure 8.
The impact of the revenue distribution coefficient on members’ optimal revenues.
Figure 9 examines how the revenue distribution coefficient influences supply chain revenue. Figure 9a indicates that when , the revenue distribution coefficient increases (the battery maker receives a larger share), and the revenue for the entire supply chain is higher under bilateral cost-sharing contracts compared to unilateral contracts. The lowest revenue is achieved without any cost-sharing agreements. This suggests that collaboration through cost-sharing, particularly balanced cost-sharing (bilateral), leads to higher overall supply chain profits. Figure 9b reveals that the revenue distribution coefficient has a complex interaction with government subsidy structures. When the government subsidizes design and manufacturing stages separately, the supply chain’s revenue gradually decreases as the revenue distribution coefficient increases. However, under other government subsidy models, the supply chain’s revenue shows a gradual upward trend. Interestingly, Figure 9b also highlights that the most effective subsidy policy depends on the revenue distribution coefficient. When the coefficient is small (the battery maker receives a smaller share), separate subsidies for design and manufacturing stages yield the highest revenue. However, when the coefficient is large (the battery maker receives a larger share), implementing different subsidy policies for upstream (the battery maker) and downstream (the electric scooter manufacturer) entities in the supply chain results in the highest revenue. Therefore, the effectiveness of government subsidy policies on overall supply chain revenue depends on the specific revenue distribution between battery makers and electric scooter manufacturers.
Figure 9.
The impact of the revenue distribution coefficient on the supply chain’s optimal revenue.
6.6. The Impact of the Revenue Distribution Coefficient on the Cost-Sharing Ratio and Government Subsidy Rate
Figure 10a shows that under the unilateral cost-sharing contract, as the electric scooter manufacturer’s revenue share increases, the proportion of quality investment costs it allocates to the battery maker gradually decreases. This implies that as the manufacturer gains a larger share of the revenue, its willingness to share the battery maker’s costs diminishes. Figure 10b further reveals that under the bilateral cost-sharing contract, with the increment of the revenue distribution coefficient, the cost-sharing ratio of the electric scooter manufacturer for the battery maker gradually decreases, while the cost-sharing ratio of the battery maker for the electric scooter manufacturer gradually increases. This reflects a mutually responsive cost-sharing mechanism where cost-sharing ratios adjust based on revenue allocation. Notably, when the revenue distribution coefficient reaches 0.5 (indicating an even split of revenue), all four cost-sharing coefficients (representing the proportions each manufacturer shares for the other’s design and manufacturing costs) remain constant. This can be seen as a stable equilibrium point, where fair revenue distribution leads to a balanced cost-sharing state for both manufacturers in the supply chain. The revenue distribution coefficient acts as an indicator of not only how economic benefits are distributed between upstream and downstream players but also reflects their willingness and capacity for collaborative cost-sharing.
Figure 10.
The impact of the revenue distribution coefficient on the cost-sharing ratio.
Figure 11 depicts the interplay between the government subsidy coefficient and the revenue distribution coefficient under different subsidy models. In the one-way subsidy model, the government subsidy provided to the electric scooter manufacturer gradually increases as its revenue allocation from quality investments rises. This indicates that the government offers a higher subsidy as an incentive to incentivize the manufacturer to maintain or improve its quality investment efforts when the manufacturer receives a larger share of the revenue. However, in the two-way subsidy model, the dynamic is more nuanced. While the subsidy coefficient for the electric scooter manufacturer increases with a higher revenue distribution coefficient, the subsidy coefficient for the battery maker shows a downward trend. This suggests that as the electric scooter manufacturer’s revenue share increases (reducing the battery maker’s relative revenue), the government may believe the incentive for the battery maker is sufficient, or it might be balancing interests by reducing subsidies to the battery maker. Finally, in the subsidy model that considers the design and manufacturing stages separately, the subsidy coefficients for both stages decrease as the revenue distribution coefficient increases. This suggests that the government may be concerned that an excessively high revenue allocation in one stage might lead to insufficient investment or imbalanced development in the other stage. Therefore, the government reduces subsidy coefficients in both stages to encourage a more balanced revenue distribution.
Figure 11.
The impact of the revenue distribution coefficient on the government subsidy rate.
7. Conclusions and Management Implications
This study investigates how upstream (battery maker) and downstream (electric scooter manufacturer) players in the electric scooter industry make quality investment decisions during design and manufacturing. We utilize a game theory framework to analyze eight different scenarios, considering various forms of government involvement. These scenarios include decentralized decision-making, centralized control, cost-sharing contracts (unilateral and bilateral), government subsidies (centralized, one-way, two-way, and separate for design and manufacturing stages), and we perform a comparative analysis. Our conclusions are summarized as follows:
First, our findings demonstrate that both cost-sharing contracts and government subsidies can motivate manufacturers to invest more in quality control during design and manufacturing, ultimately leading to higher product quality. Government subsidies appear to be a stronger motivator for quality investment, aligning with existing research [23,38]. In the absence of these interventions, the decentralized decision-making model results in lower-quality investments;
Second, the product quality of electric scooters is influenced by several factors. The higher the level of effort invested by battery makers and electric scooter manufacturers in the design and manufacturing stages, the higher the final product quality of the electric scooter. Additionally, the product quality level of electric scooters gradually improves over time but decreases as the quality attenuation coefficient increases;
Third, the cost-sharing contract model yields significantly higher revenue for battery makers, electric scooter manufacturers, and the entire supply chain compared to the decentralized model, which is also consistent with the findings of existing studies [24,26]. Bilateral cost-sharing contracts generate even higher supply chain revenue compared to unilateral contracts. Furthermore, the effect of the government providing a one-way subsidy only to electric scooter manufacturers is not as significant as other government subsidy strategies. When the government implements different subsidy policies for the design and manufacturing stages of manufacturers, the revenue of electric scooter manufacturers is significantly higher than that of different subsidy policies for upstream and downstream manufacturers in the supply chain;
Finally, our numerical simulations reveal the interplay between the government subsidy coefficient and the revenue distribution coefficient under different subsidy models. In the one-way subsidy model, the government subsidy provided to the electric scooter manufacturer gradually increases as its revenue allocation from quality investments rises. However, in the two-way subsidy model, the subsidy coefficient for the electric scooter manufacturer increases with a higher revenue distribution coefficient, and the subsidy coefficient for the battery maker shows a downward trend. Considering this influence, both governments and manufacturers should consider more comprehensive and effective policy measures. By strategically adjusting profit distribution between upstream and downstream players in the electric scooter supply chain, policymakers can promote higher-quality electric scooter products.
Our research results provide the following implications for management:
- (1)
- Targeted government subsidies: Given our finding that government subsidies effectively increase quality investment and product quality, policymakers should actively consider implementing targeted subsidy programs for battery makers and electric scooter manufacturers. However, to ensure efficient use of funds, it is crucial to optimize subsidy standards and conditions. Subsidy policies can be closely linked to manufacturers’ quality efforts and achieved product quality. Policymakers can also explore implementing differentiated subsidy strategies, such as targeting specific stages (design or manufacturing) or entities (upstream or downstream) within the supply chain;
- (2)
- Promoting cost-sharing contracts: Cost-sharing contracts can significantly improve revenue for battery makers, electric scooter manufacturers, and the entire supply chain, which is discussed in our findings. Policymakers should advocate for the adoption of this cooperative model, particularly the bilateral cost-sharing structure, which offers superior revenue outcomes compared to unilateral or decentralized models;
- (3)
- Revenue distribution and collaboration: Manufacturers should recognize the significant impact of the revenue distribution coefficient on product quality, investment decisions, and optimal revenue. Open communication and negotiation with supply chain partners are crucial for establishing a fair and reasonable revenue distribution mechanism. Effective communication and collaboration ensure that revenue distribution incentivizes quality investment while maintaining supply chain stability.
There are several limitations and possible extensions in this paper.
Firstly, our research primarily analyzes the differential game relationship between a single battery maker and a single scooter manufacturer. This simplified setting offers clear insights into strategic interaction and quality investment decisions. However, real-world markets are far more complex, with numerous battery makers and electric scooter manufacturers competing fiercely. In a multi-party market game, manufacturers would need to consider a broader range of strategic options and navigate complex market dynamics. Future research can explore how these dynamics influence quality investment decisions and cooperation within the supply chain. In addition, consumer satisfaction and loyalty to electric scooter products are also crucial considerations. In the increasingly fierce market competition, consumer satisfaction and loyalty directly determine the manufacturer’s market position and profitability. Therefore, when formulating quality investment strategies, manufacturers must fully consider consumer needs and expectations to ensure that products can meet the diversified needs of the market.
Author Contributions
Conceptualization and formal analysis, R.S.; writing—original draft preparation, H.J.; conceptualization, writing—review and editing, X.X.; supervision, D.L. All authors have read and agreed to the published version of this manuscript.
Funding
This work was supported by the Ministry of Education of Humanities and Social Science Project [Grant number 20YJCZH133]; The Natural Sciences Funding Project of Hunan Province [Grant numbers 2022JJ40881 and 2022JJ31017]; The Youth Project of Hunan Provincial Department of Education [Grant number 21B0257]; Hunan Province Graduate Research Innovation Project [Grant number LXBZZ2024199].
Institutional Review Board Statement
Not applicable.
Informed Consent Statement
Not applicable.
Data Availability Statement
The data are contained within this manuscript.
Acknowledgments
Special thanks to those who participated in the writing of this paper.
Conflicts of Interest
The authors declare that they have no known competing financial interests or personal relationships that could have appeared to influence the work reported in this paper.
Appendix A
Proof of Proposition 1.
According to the continuous dynamic programming theory, the HJB (Hamilton–Jacobi–Bellman) equations for the battery maker and the electric scooter manufacturer are
where , are the optimal value functions of the battery maker and electric scooter manufacturer in Model 1. Using first-order optimality conditions at the right end of Equations (A1) and (A2), we can obtain
By substituting (A3) and (A4) into (A1) and (A2), we can obtain
According to the structure of (A5) and (A6), the solution of the HJB equation is a linear optimal value function with respect to Q. Therefore, the optimal value functions of the battery manufacturer and the electric scooter manufacturer are
where , , and are undetermined parameters. Substituting , and their derivatives into (A5) and (A6), we use the identity relationship to determine the undetermined parameter as
By substituting (A9)–(A12) into (A3) and (A4), we obtain the optimal equilibrium strategies as follows:
Finally, substituting (A9)–(A12) into Equations (A7) and (A8), the optimal returns for the battery maker, electric scooter manufacturer, and the supply chain are, respectively,
To sum up, we can obtain Proposition 1. □
Appendix B
Proof of Proposition 2.
According to the continuous dynamic programming theory, the HJB (Hamilton–Jacobi–Bellman) equations for the supply chain is
where is the optimal value functions of the supply chain in Model 2. Using first-order optimality conditions at the right end of Equation (A18), we can obtain
By substituting (A19) and (A20) into (A18), we can obtain
According to the structure of (A20) and (A21), the solution of the HJB equation is a linear optimal value function with respect to Q. So, the optimal value functions of the supply chain can be assumed to be
where , are undetermined parameters. Substituting and its derivative into (A21), we use the identity relationship to determine the undetermined parameter as
By substituting (A23) and (A24) into (A19) and (A20), we obtain the optimal equilibrium strategies as follows:
Finally, by substituting (A25) and (A26) into Equation (A22), the optimal returns for the supply chain is
To sum up, we can obtain Proposition 2. □
Appendix C
Proof of Proposition 3.
According to the continuous dynamic programming theory, the HJB (Hamilton–Jacobi–Bellman) equations for the battery maker and the electric scooter manufacturer are
where , are the optimal value functions of the battery maker and electric scooter manufacturer in Model 3. Using inverse induction and first-order optimality conditions at the right end of Equations (A28) and (A29), we can sequentially obtain
By substituting (A30) and (A31) into (A28) and (A29), we can obtain
According to the structure of (A32) and (A33), the solution of the HJB equation is a linear optimal value function with respect to Q. Therefore, the optimal value functions of the battery manufacturer and the electric scooter manufacturer can be assumed to be
where ,, , and are undetermined parameters. Substituting , , and their derivatives into (A32) and (A33), we use the identity relationship to determine the undetermined parameter as
where . By substituting (A9)–(A12) into (A3) and (A4), we obtain the optimal equilibrium strategies as follows:
Finally, by substituting (A36)–(A39) into Equations (A34) and (A35), the optimal returns for the battery maker, electric scooter manufacturer, and supply chain are, respectively,
To sum up, we can obtain Proposition 3. □
Appendix D
Proof of Proposition 4.
According to the continuous dynamic programming theory, the HJB (Hamilton–Jacobi–Bellman) equations for the battery maker and the electric scooter manufacturer are
where , are the optimal value functions of the battery maker and electric scooter manufacturer in Model 4. Using inverse induction and first-order optimality conditions at the right end of Equations (A45) and (A46), we can sequentially obtain
where , . Similarly, the optimal value functions of the battery maker and electric scooter manufacturer can be assumed to be
where , , and are undetermined parameters, and we use the identity relationship to determine the undetermined parameter as
By substituting (A51)–(A54) into (A47) and (A48), we obtain the optimal equilibrium strategies as follows:
Finally, substituting (A51)–(A54) into Equations (A49) and (A50), the optimal returns for the battery maker, electric scooter manufacturer, and the supply chain are, respectively,
To sum up, we can obtain Proposition 4. □
Appendix E
Proof of Proposition 5.
According to the continuous dynamic programming theory, the HJB (Hamilton–Jacobi–Bellman) equations for the government and supply chain are
where , are the optimal value functions of the government and supply chain in Model 5. Using inverse induction and first-order optimality conditions at the right end of Equations (A60) and (A61), we can obtain
where . Similarly, the optimal value functions of the supply chain can be assumed to be
where , are undetermined parameters, and we use the identity relationship to determine the undetermined parameter as
By substituting (A65) and (A66) into (A62) and (A63), we obtain the optimal equilibrium strategies as follows:
Finally, by substituting (A65) and (A66) into Equation (A64), the optimal returns for the supply chain is
To sum up, we can obtain Proposition 5. □
Appendix F
Proof of Proposition 6.
According to the continuous dynamic programming theory, the HJB (Hamilton–Jacobi–Bellman) equations for the government, the battery maker, and the electric scooter manufacturer are
where , , are the optimal value functions of the government, the battery maker, and the electric scooter manufacturer in Model 6. Using inverse induction and first-order optimality conditions at the right end of Equations (A70)–(A72), we can obtain
where . Similarly, the optimal value functions of the battery maker and the electric scooter manufacturer can be assumed to be
where ,,, are undetermined parameters, and we use the identity relationship to determine the undetermined parameter as
By substituting (A77)–(A80) into (A73) and (A74), we obtain the optimal equilibrium strategies as follows:
Finally, by substituting (A77)–(A80) into Equations (A75) and (A76), the optimal returns for the battery maker, electric scooter manufacturer, and supply chain are, respectively,
where , , , , and .
To sum up, we can obtain Proposition 6. □
Appendix G
Proof of Proposition 7.
According to the continuous dynamic programming theory, the HJB (Hamilton–Jacobi–Bellman) equations for the government, the battery maker, and the electric scooter manufacturer are
where , , are the optimal value functions of the government, the battery maker, and the electric scooter manufacturer in Model 7. Using inverse induction and first-order optimality conditions at the right end of Equations (A86)–(A88), we can obtain
where . Similarly, the optimal value functions of the battery maker and the electric scooter manufacturer can be assumed to be
where , , , are undetermined parameters, and we use the identity relationship to determine the undetermined parameter as
By substituting (A93)–(A96) into (A89) and (A90), we obtain the optimal equilibrium strategies as follows:
Finally, substituting (A93)–(A96) into Equations (A91) and (A92), the optimal returns for the battery maker, electric scooter manufacturer, and supply chain are, respectively,
where , , , , , and .
To sum up, we can obtain Proposition 7. □
Appendix H
Proof of Proposition 8.
According to the continuous dynamic programming theory, the HJB (Hamilton–Jacobi–Bellman) equations for the government, the battery maker, and the electric scooter manufacturer are
where , , are the optimal value functions of the government, the battery maker, and the electric scooter manufacturer in Model 8. Using inverse induction and first-order optimality conditions at the right end of Equations (A102)–(A104), we can obtain
where . Similarly, the optimal value functions of the battery maker and the electric scooter manufacturer can be assumed to be
where , , , are undetermined parameters, and we use the identity relationship to determine the undetermined parameter as
By substituting (A109)–(A112) into (A105) and (A106), we obtain the optimal equilibrium strategies as follows:
Finally, substituting (A109)–(A112) into Equations (A107) and (A108), the optimal returns for the battery maker, electric scooter manufacturer, and the supply chain are, respectively,
where , , , , , and .
To sum up, we can obtain Proposition 8. □
References
- Illegal Modification of Electric Bicycles Is Rampant, with Some People Changing to Only the Original Shell. Available online: https://baijiahao.baidu.com/s?id=1799613615732577936& (accessed on 21 May 2024).
- Wu, C.H. A dynamic perspective of government intervention in a competitive closed-loop supply chain. Eur. J. Oper. Res. 2021, 294, 122–137. [Google Scholar] [CrossRef]
- Chandra, A.; Flack, E.; Obermeyer, Z. The Health Costs of Cost Sharing. Q. J. Econ. 2024, 139, 2037–2082. [Google Scholar] [CrossRef] [PubMed]
- Ghosh, D.; Sant, T.G.; Kuiti, M.R.; Swami, S.; Shankar, R. Strategic decisions, competition and cost-sharing contract under industry 4.0 and environmental considerations. Resour. Conserv. Recycl. 2020, 162, 105057. [Google Scholar] [CrossRef]
- Balasingam, B.; Ahmed, M.; Pattipati, K. Battery Management Systems-Challenges and Some Solutions. Energies 2020, 13, 2825. [Google Scholar] [CrossRef]
- Pradhan, S.K.; Chakraborty, B. Battery management strategies: An essential review for battery state of health monitoring techniques. J. Energy Storage 2022, 51, 104427. [Google Scholar] [CrossRef]
- Waseem, M.; Ahmad, M.; Parveen, A.; Suhaib, M. Battery technologies and functionality of battery management system for EVs: Current status, key challenges, and future prospectives. J. Power Sources 2023, 580, 233349. [Google Scholar] [CrossRef]
- Liu, W.; Placke, T.; Chau, K.T. Overview of batteries and battery management for electric vehicles. Energy Rep. 2022, 8, 4058–4084. [Google Scholar] [CrossRef]
- Hoffmann, L.; Kasper, M.; Kahn, M.; Gramse, G.; Silva, G.V.; Herrmann, C.; Kurrat, M.; Kienberger, F. High-Potential Test for Quality Control of Separator Defects in Battery Cell Production. Batteries 2021, 7, 64. [Google Scholar] [CrossRef]
- Ju, F.; Li, J.S.; Xiao, G.X.; Arinez, J.; Deng, W.W. Modeling, analysis, and improvement of integrated productivity and quality system in battery manufacturing. IIE Trans. 2015, 47, 1313–1328. [Google Scholar] [CrossRef]
- Schnell, J.; Reinhart, G. Quality Management for Battery Production: A Quality Gate Concept. Procedia CIRP 2016, 57, 568–573. [Google Scholar] [CrossRef]
- Li, J.Y.; Maiti, A.; Springer, M.; Gray, T. Blockchain for supply chain quality management: Challenges and opportunities in context of open manufacturing and industrial internet of things. Int. J. Comput. Integr. Manuf. 2020, 33, 1321–1355. [Google Scholar] [CrossRef]
- Stock, S.; Pohlmann, S.; Günter, F.J.; Hille, L.; Hagemeister, J.; Reinhart, G. Early Quality Classification and Prediction of Battery Cycle Life in Production Using Machine Learning. J. Energy Storage 2022, 50, 104144. [Google Scholar] [CrossRef]
- Ju, F.; Li, J.S.; Xiao, G.X.; Huang, N.J.; Biller, S. A Quality Flow Model in Battery Manufacturing Systems for Electric Vehicles. IEEE Trans. Autom. Sci. Eng. 2014, 11, 230–244. [Google Scholar] [CrossRef]
- Darmawan, H.; Purba, H.H.; Rezeki, R.; Hidayat, N.; Siregar, A.R.; Retna, F.; Aisyah, S. Product development strategy with quality function deployment approach: A case study in automotive battery. Manag. Sci. Lett. 2017, 7, 601–610. [Google Scholar] [CrossRef]
- Zhimin, L.; Yanchun, P.; Wen, Y.; Jianhua, M.; Ming, Z. Effects of government subsidies on green technology investment and green marketing coordination of supply chain under Cap-and-trade mechanism. Energy Econ. 2021, 101, 105426. [Google Scholar] [CrossRef]
- Rasti-Barzoki, M.; Moon, I. A game theoretic approach for analyzing electric and gasoline-based vehicles’ competition in a supply chain under government sustainable strategies: A case study of South Korea. Renew. Sustain. Energy Rev. 2021, 146. [Google Scholar] [CrossRef]
- Sun, Y.F.; Zhang, Y.J.; Su, B. Impact of government subsidy on the optimal R&D and advertising investment in the cooperative supply chain of new energy vehicles. Energy Policy 2022, 164, 112885. [Google Scholar] [CrossRef]
- Zhao, D.; Ji, S.F.; Wang, H.P.; Jiang, L.W. How do government subsidies promote new energy vehicle diffusion in the complex network context? A three-stage evolutionary game model. Energy 2021, 230, 120899. [Google Scholar] [CrossRef] [PubMed]
- Gu, X.Y.; Zhou, L.; Huang, H.F.; Shi, X.T.; Ieromonachou, P. Electric vehicle battery secondary use under government subsidy: A closed-loop supply chain perspective. Int. J. Prod. Econ. 2021, 234, 108035. [Google Scholar] [CrossRef]
- Zhu, X.X.; Liu, K.; Liu, J.; Yan, A. Is government R&D subsidy good for BEV supply chain? The challenge from downstream competition. Comput. Ind. Eng. 2022, 165, 107951. [Google Scholar] [CrossRef]
- Meng, Q.F.; Li, M.W.; Liu, W.Y.; Li, Z.; Zhang, J. Pricing policies of dual-channel green supply chain: Considering government subsidies and consumers’ dual preferences. Sustain. Prod. Consum. 2021, 26, 1021–1030. [Google Scholar] [CrossRef]
- Bian, J.S.; Zhao, X. Tax or subsidy? An analysis of environmental policies in supply chains with retail competition. Eur. J. Oper. Res. 2020, 283, 901–914. [Google Scholar] [CrossRef]
- He, P.; He, Y.; Shi, C.M.; Xu, H.; Zhou, L. Cost-sharing contract design in a low-carbon service supply chain. Comput. Ind. Eng. 2020, 139, 106160. [Google Scholar] [CrossRef]
- Yang, Z.K.; Mei, Q.; Wang, Q.W.; Liu, S.X.; Zhang, J.J. Research on Contract Coordination in the Manufacturing Supply Chain Given China’s Work Safety Constraints. Complexity 2021, 2021, 1779098. [Google Scholar] [CrossRef]
- Kuchesfehani, E.K.; Parilina, E.M.; Zaccour, G. Revenue and cost sharing contract in a dynamic closed-loop supply chain with uncertain parameters. Ann. Oper. Res. 2023, 322, 851–877. [Google Scholar] [CrossRef]
- Bertinelli, L.; Camacho, C.; Zou, B.T. Carbon capture and storage and transboundary pollution: A differential game approach. Eur. J. Oper. Res. 2014, 237, 721–728. [Google Scholar] [CrossRef]
- Heydari, J.; Govindan, K.; Basiri, Z. Balancing price and green quality in presence of consumer environmental awareness: A green supply chain coordination approach. Int. J. Prod. Res. 2021, 59, 1957–1975. [Google Scholar] [CrossRef]
- Liu, D.; Kumar, S.; Mookerjee, V.S. Advertising Strategies in Electronic Retailing: A Differential Games Approach. Inf. Syst. Res. 2012, 23, 903–917. [Google Scholar] [CrossRef]
- Xiang, Z.H.; Xu, M.L. Dynamic game strategies of a two-stage remanufacturing closed-loop supply chain considering Big Data marketing, technological innovation and overconfidence. Comput. Ind. Eng. 2020, 145, 106538. [Google Scholar] [CrossRef]
- Yang, J.H.; Long, R.Y.; Chen, H.; Sun, Q.Q. A comparative analysis of express packaging waste recycling models based on the differential game theory. Resour. Conserv. Recycl. 2021, 168, 105449. [Google Scholar] [CrossRef]
- Lu, F.X.; Tang, W.S.; Liu, G.W.; Zhang, J.X. Cooperative advertising: A way escaping from the prisoner’s dilemma in a supply chain with sticky price. Omega-Int. J. Manag. Sci. 2019, 86, 87–106. [Google Scholar] [CrossRef]
- Zhu, W.; Kumar, S.; Mookerjee, V. Coordination in Multibrand, Multimedia Advertising: Is It Always a Good Thing? Inf. Syst. Res. 2024, 35, 917–1506. [Google Scholar] [CrossRef]
- He, L.F.; Yuan, B.Y.; Bian, J.S.; Lai, K.K. Differential game theoretic analysis of the dynamic emission abatement in low-carbon supply chains. Ann. Oper. Res. 2023, 324, 355–393. [Google Scholar] [CrossRef]
- Liu, Z.; Huang, Y.Q.; Shang, W.L.; Zhao, Y.J.; Yang, Z.L.; Zhao, Z. Precooling energy and carbon emission reduction technology investment model in a fresh food cold chain based on a differential game. Appl. Energy 2022, 326, 119945. [Google Scholar] [CrossRef]
- Tian, W.; Ge, B. Differential game analysis of dual-channel supply chain based on two manufacturers’ competition and cooperation with their service efforts. Ind. Eng. Manag. 2019, 24, 136–143. [Google Scholar] [CrossRef]
- Teng, M.M.; Zhao, M.T.; Han, C.F.; Liu, P.H. Research on mechanisms to incentivize corporate environmental responsibility based on a differential game approach. Environ. Sci. Pollut. Res. 2022, 29, 57997–58010. [Google Scholar] [CrossRef] [PubMed]
- Barman, A.; Das, R.; De, P.K.; Sana, S.S. Optimal Pricing and Greening Strategy in a Competitive Green Supply Chain: Impact of Government Subsidy and Tax Policy. Sustainability 2021, 13, 9178. [Google Scholar] [CrossRef]
Disclaimer/Publisher’s Note: The statements, opinions and data contained in all publications are solely those of the individual author(s) and contributor(s) and not of MDPI and/or the editor(s). MDPI and/or the editor(s) disclaim responsibility for any injury to people or property resulting from any ideas, methods, instructions or products referred to in the content. |
© 2025 by the authors. Licensee MDPI, Basel, Switzerland. This article is an open access article distributed under the terms and conditions of the Creative Commons Attribution (CC BY) license (https://creativecommons.org/licenses/by/4.0/).










