Next Article in Journal
The Consumer Social Network’s Effect on the Price Premium: Evidence from China’s Organic Milk Market
Previous Article in Journal
Navigating Environmental Concerns: Assessing the Influence of Renewable Electricity and Eco-Taxation on Environmental Sustainability Using Nonlinear Approaches
 
 
Font Type:
Arial Georgia Verdana
Font Size:
Aa Aa Aa
Line Spacing:
Column Width:
Background:
Article

Dynamic Knowledge Guided Transfer Optimal Scheduling for Home Energy Management System Considering User Preference

School of Information Science and Engineering (School of Cyber Science and Technology), Zhejiang Sci-Tech University, Hangzhou 310018, China
Sustainability 2025, 17(23), 10844; https://doi.org/10.3390/su172310844
Submission received: 15 September 2025 / Revised: 18 November 2025 / Accepted: 1 December 2025 / Published: 3 December 2025

Abstract

Home energy management systems (HEMSs) have attracted considerable research interest in residential appliance management. Although optimal scheduling of home appliances has been extensively studied, these problems are fundamentally dynamic multi-objective optimization problems. This paper proposes a dynamic appliance scheduling model under time-of-use electricity pricing based on user’s preferences, to minimize energy costs and user dissatisfaction. A knee point-based manifold transfer algorithm (KPMT-DMOEA) is proposed to solve the scheduling problem. This approach leverages high-quality knee points from previous environments to generate optimized initial populations in response to environmental changes, thereby improving solution quality and convergence speed. The experimental results validate the effectiveness and feasibility of the proposed scheduling framework. By making a comparison with state-of-the-art algorithms, the experimental results demonstrate that the proposed method outperforms others and is able to efficiently generate optimal schedules for each appliance under different environments.

1. Introduction

The home energy management system (HEMS) is an advanced technological framework designed to optimize residential energy consumption by intelligently coordinating distributed energy resources, household loads, and energy storage systems in response to dynamic electricity pricing and grid conditions [1,2,3,4,5,6]. A critical component of the HEMS is demand response (DR) [7,8], which plays a positive role in shifting peak loads and enhancing grid stability by incentivizing consumers to modify their electricity usage patterns, specifically reducing consumption during peak periods while increasing usage during off-peak hours. Nevertheless, widespread implementation of DR technology faces significant challenges, primarily stemming from the heterogeneous nature of residential loads and the inherent unpredictability of consumer energy consumption behaviors.
The HEMS is becoming popular in residential appliance management. Based on electricity pricing policies and user preferences, the HEMS can rationally coordinate residential participation in grid interactions while optimizing the operation of household electrical appliances to minimize electricity costs while maintaining appliance scheduling convenience [9,10]. User satisfaction in residential energy management is critically dependent on maintaining appliance operation within preferred time periods to ensure comfort preservation. While a strategic reduction in appliance usage can effectively lower electricity expenses, such measures frequently result in compromised comfort levels, potentially leading to user dissatisfaction. This creates a fundamental tension between economic efficiency and user satisfaction objectives. The challenge of simultaneously optimizing both cost reduction and satisfaction is further compounded by substantial variations in residential appliance portfolios—including differences in device quantity, appliance types, and usage patterns—all of which significantly impact overall energy consumption patterns and costs.
Significant research efforts have been devoted to address the appliance optimization scheduling problems in HEMS, such as electricity costs [11,12,13] and user satisfaction [14,15,16]. In ref. [17], a new framework has been proposed to optimize three key parameters: electricity cost reduction, peak-to-average ratio reduction, and user comfort maximization, achieving dual benefits: consumer cost savings and grid operational stability through demand profile flattening. In ref. [10], a multi-interval algorithm has been proposed by using metaheuristic optimization for residential appliance scheduling under real-time pricing. It minimizes electricity bills and peak demand while maintaining user comfort. In ref. [8], a comprehensive home energy management model incorporating all load types has been developed, featuring a multi-objective optimization function that balances electricity cost reduction with user comfort maximization. This framework accounts for user preferences across multiple competing objectives, ensuring demand-side flexibility while meeting diverse consumer requirements.
Recent years have witnessed growing academic and industrial interest in multi-objective optimization algorithms (MOEAs) for appliance optimization scheduling problems [17,18,19,20,21]. For example, ref. [22] developed a strategy balancing electricity costs, waiting times, and peak loads. Ref. [11] investigated methods to align grid demand with user requirements. Jafari et al. [23] presented a comprehensive multi-objective model that conducts an in-depth analysis of issues related to pollution, financial considerations, and reliability. This model is solved by the ε -constraints method and optimized employing the exchange market algorithm.
While significant research has been conducted on appliance optimization scheduling problems, the domain of dynamic scheduling optimization remains relatively unexplored. Current approaches predominantly model these problems as static optimization scenarios, despite their inherently dynamic nature in real-world applications. This dynamic characteristic necessitates the implementation of dynamic multi-objective evolutionary algorithms (DMOEAs) [24] to effectively determine optimal scheduling solutions. For instance, when appliance priorities change in response to time-varying environmental conditions, the problem fundamentally transforms into a dynamic multi-objective optimization problem (DMOP) [25], requiring adaptive solution methods. Unlike static MOEAs, dynamic MOEAs are designed to rapidly track the moving Pareto Optimal Front (POF) while maintaining a diverse Pareto Optimal Set (POS). Classical prediction strategies, which rely on traditional learning techniques, operate under the assumption that the training and test data are Independent and Identically Distributed (IID). This assumption is often violated in DMOPs, where the solution distribution shifts across changing environments. In contrast, transfer learning-based MOEAs do not require the IID assumption and have demonstrated superior prediction performance in these dynamic contexts. Based on the aforementioned analysis, this paper proposes a dynamic appliance scheduling optimization model under time-of-use (TOU) pricing schemes. The model simultaneously minimizes electricity costs and user dissatisfaction, where the latter is quantified based on the user’s preferences. Crucially, it involves adaptive weights that dynamically adjust to shifting appliance priorities under varying operational conditions. To solve this dynamic optimization problem, we introduce KPMT-DMOEA, a novel knee point-based manifold transfer algorithm. This approach leverages high-quality knee points from previous environments to generate optimized initial populations when responding to environmental changes, thereby enhancing solution quality and convergence speed.
To sum up, the main contributions of this paper can be divided into three points:
  • A dynamic appliance scheduling model under TOU pricing is proposed, incorporating user preferences to simultaneously minimize electricity cost and user dissatisfaction.
  • In response to environmental changes, we propose a knee point-based manifold transfer method to generate a new initial population, which extends the geodesic flow kernel by mapping data to a lower-dimensional space. This approach achieves higher computational efficiency than traditional transfer learning methods by transferring only a few high-quality knee solutions with good convergence and diversity.
  • Experimental results demonstrate the superiority of the proposed KPMT-DMOEA over state-of-the-art algorithms to solve dynamic appliance scheduling problems.
The rest of the paper is arranged as follows. In Section 2, the dynamic home appliance scheduling model is explained. The KPMT-DMOEA algorithm for HEMS is detailed in Section 3. The experimental studies for the scheduling application are described in Section 4. Finally, Section 5 draws up conclusions.

2. Dynamic Multi-Objective HEMS Model

This section establishes the mathematical model for each household appliance in the HEMS. Figure 1 shows a home energy management system (HEMS) framework including eight home appliances: air conditioners, water heaters, electric vehicles, sweeping robots, electric cookers, washing machines, clothes dryers, and dishwashers. The KPMT-DMOEA algorithm is employed to determine the optimal on–off states of household appliances based on a dynamic multi-objective optimization model. The first objective function minimizes the total energy consumption cost, while the second objective accounts for user dissatisfaction. The goal of the KPMT-DMOEA algorithm is to optimally schedule appliance operations to simultaneously reduce energy costs and user discomfort. The following subsections detail the objective functions used in this dynamic multi-objective optimization approach for the HEMS.

2.1. Energy Cost

Let C k denote the time-of-use electricity tariff specified by the detailed implementation rules for peak and off-peak electricity pricing for residential users for each time slot k = [ 1 , 2 , , K ] . The duration of each time slot k is set to 1 h, with a scheduling cycle of 24 h. Accordingly, the value of K becomes 24. Specifically, k = 1 corresponds to the time interval [0:00, 1:00], k = 2 to the interval [1:00, 2:00], and so forth. J denotes the total number of schedulable appliances involved in the scheduling process, like an air conditioner, washing machine, and clothes dryer.
The first objective function is to reduce energy costs, expressed as follows:
min k = 1 K j = 1 J ( p j s j , k C k )
where p j denotes the total anticipated energy consumption of appliance j over a single time slot. s j , k denotes the optimal on–off statues of appliance j at time slot k, where
s j , k = 0 , the j th appliance is off at time slot k 1 , the j th appliance is on at time slot k

2.2. User Dissatisfaction

To align with user preferences, the system allows users to specify an optimal operating period for each appliance. During this period, the appliance’s status is set to “1” (ON), while remaining “0” (OFF) at all other times. This approach ensures that the appliance’s schedule adheres closely to the user’s habitual electricity consumption patterns. Specifically, the preferred operating time period for each load is configured according to the user’s preferences. User satisfaction can be expressed as follows:
U j , k = 0 , k A S j or k A E j k A S j P S j A S j , A S j k P S j 1 , P S j k P E j k A E j P E j A E j , P E j k A E j
where [ A S j , A E j ] defines the allowed operating interval, and  [ P S j , P E j ] defines the preferred operating interval with the requirement that [ P S j , P E j ] [ A S j , A E j ] .
Therefore, the minimization of the user dissatisfaction for the HEMS can be expressed as follows:
min 1 1 J j = 1 J w j , t k = 1 K s j , k U j , k ) k = 1 K U j , k
where the variable U j , k represents the user satisfaction value of the jth appliance at time k, defined in (3). The  user satisfaction U j , k for the jth appliance at time k can reach to 1 if it operates during the preference time interval. If the time k is outside the allowed operating interval, it becomes 0. User satisfaction is directly tied to the reliable operation of each appliance within its permissible operational period. Table 1 illustrates the electricity usage of eight schedulable appliances for a typical household, including the allowed operating interval, user preference interval, length of operation (LoT), and the rated power p j . Here, only the charging processes of electric vehicle and sweeping robot are considered.
The priority weight w j , t quantifies the relative importance of the jth home appliance in the tth environment, where j represents the appliance index and t represents the varying operating environment. The ordinal relationship w j 1 , t w j 2 , t implies that j 1 th appliance has a lower user priority than j 2 th appliance in the tth environment. Practically, user priority weights for appliances exhibit both heterogeneity (due to varying user preferences) and time-dependency (influenced by dynamic daily activities). Consequently, we model these priority weights as time-varying parameters, where the dynamic nature of w j , t reflects adaptive prioritization under varying operational conditions.

3. KPMT-DMOEA Algorithm for HEMS

In this section, we propose KPMT-DMOEA, a novel knee point-based manifold transfer learning-based DMOEA for optimal appliance scheduling in dynamic environments to simultaneously minimize both energy costs and user dissatisfaction. KPMT-DMOEA leverages high-quality knee points from previous environments to generate an excellent initial population to help the static multi-objective evolutionary algorithm determine the optima of a changing environment efficiently and effectively. Figure 2 shows a flowchart that shows the procedure of the proposed KPMT-DMOEA to solve the dynamic home appliance scheduling optimization model.
The KPMT-DMOEA, presented in Algorithm 1, operates through several key phases. Initially, a population is randomly generated. When environmental changes are detected, the algorithm archives non-dominated solutions from the previous time step A t 1 and identifies regional knee points P kp from this archive [26]. Then, it predicts current knee points P pkp using KPMT, which is detailed in Section 3.1. This method leverages prior experience gained from knee points to predict the new location of solutions, thereby expediting the convergence in the subsequent evolutionary process. The archived solutions are re-evaluated under current conditions to identify non-dominated solutions P non , while random samples P ran maintain population diversity. These components merge to form an initial population i n i t P o p , which is adjusted through either random truncation (if oversized) or Gaussian noise injection (if undersized). The population undergoes optimization via MOEA, with final solutions binarized through thresholding: values 0.5 indicate active appliances (1), while values < 0.5 represent inactive states (0), yielding the optimal scheduling strategy.
Algorithm 1:The framework of KPMT-DMOEA
Input: 
F ( x , t ) : the dynamic optimization problem; N: the population size.
Output: 
The POS of F ( x , t ) in different environments.
1:
Randomly initiate N individuals as i n i t P o p ; initialize t = 0 ;
2:
Evaluate the initial population with F ( x , 0 ) ;
3:
while  stopping criterion not satisfied  do
4:
    if change detected then
5:
        t = t+1;
6:
        Store the non-dominated solutions in P O S t 1 into A t 1 ;
7:
        Find the regional knee points P kp in A t 1 ;
8:
         P pkp =KPMT( F ( x , t ) , P kp ,N);
9:
        Reevaluate the solutions in A t 1 using F ( x , t ) to choose the non-dominated solutions P non ;
10:
        Generate the initial population i n i t P o p = P pkp P non ;
11:
        if  | P pkp | + | P non | < N  then
12:
             Add Gaussian noise into i n i t P o p ;
13:
        else
14:
             Delete individual in i n i t P o p ;
15:
        end if
16:
        Evaluate i n i t P o p using F ( x , t ) ;
17:
    end if
18:
     P O S t = MOEA  ( i n i t P o p , F ( x , t ) ) ;
19:
end while
20:
return  P O S t ;

3.1. KPMT

We propose a KPMT method that systematically incorporates prior knowledge acquired from knee points to guide subsequent search processes. The proposed method employs the improved geodesic flow kernel (GFK) [27] to effectively project high-dimensional knee points onto a low-dimensional geodesic flow manifold, offering superior computational efficiency compared to conventional transfer learning approaches.
The algorithmic procedure begins with the initialization of an empty set, denoted as P pkp , designed to store predicted knee points. Subsequently, a population P r comprising N r randomly generated individuals is created. An improved GFK framework [24,27] is then applied to construct the geodesic flow transformation ϕ ( · ) , facilitating the transfer of knowledge derived from P pkp . Upon establishing ϕ ( · ) , individuals within each cluster are mapped onto the geodesic flow, yielding the corresponding geodesic flow kernel k s , k s . By evaluating the intrinsic similarity between the source and target domains within the manifold space, the optimal predicted solution s is determined through nearest-neighbor analysis. Specifically, s corresponds to the kernel k s , k s that exhibits minimal distance to s , as formalized below:
s = arg min s | k s , k s k s , k s |
Finally, the set of optimal solutions s constitutes the predicted individuals P pkp .

4. Experimental Studies

4.1. Parameters

This section presents the simulation of the model described in Section 2. The schedulable appliances considered in this study include air conditioners, water heaters, electric vehicles, sweeping robots, electric cookers, washing machines, clothes dryers, and dishwashers. Their operational parameters are specified in Table 1. The time-of-use electricity tariffs for residential consumers in Shaanxi Province are provided in Table 2. Additionally, Table 3 summarizes the user-defined priority weights for home appliances under various operating conditions. For solving the dynamic multi-objective home appliance scheduling model formulated in Section 2, we employ the KPMT-RM-MEDA algorithm, with RM-MEDA [28] serving as the baseline static MOEA. The algorithm parameters are configured as follows: population size N = 100, 100 generations per environment, and 10 environmental changes per independent run. The parameter settings are detailed in Table 4.

4.2. Analysis of Home Appliance Scheduling Results

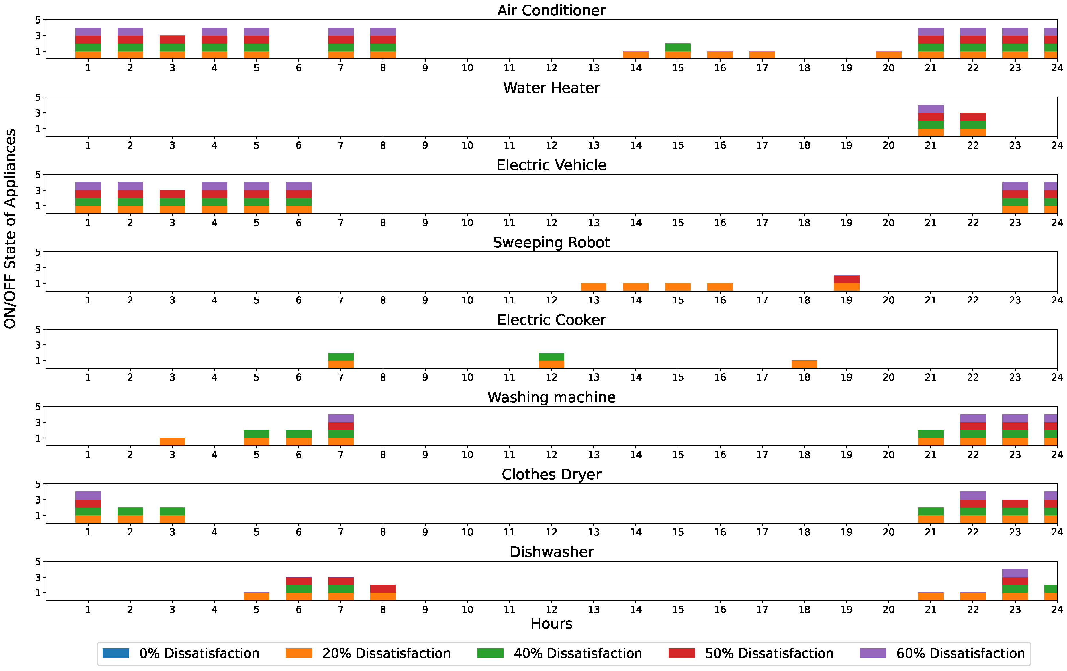
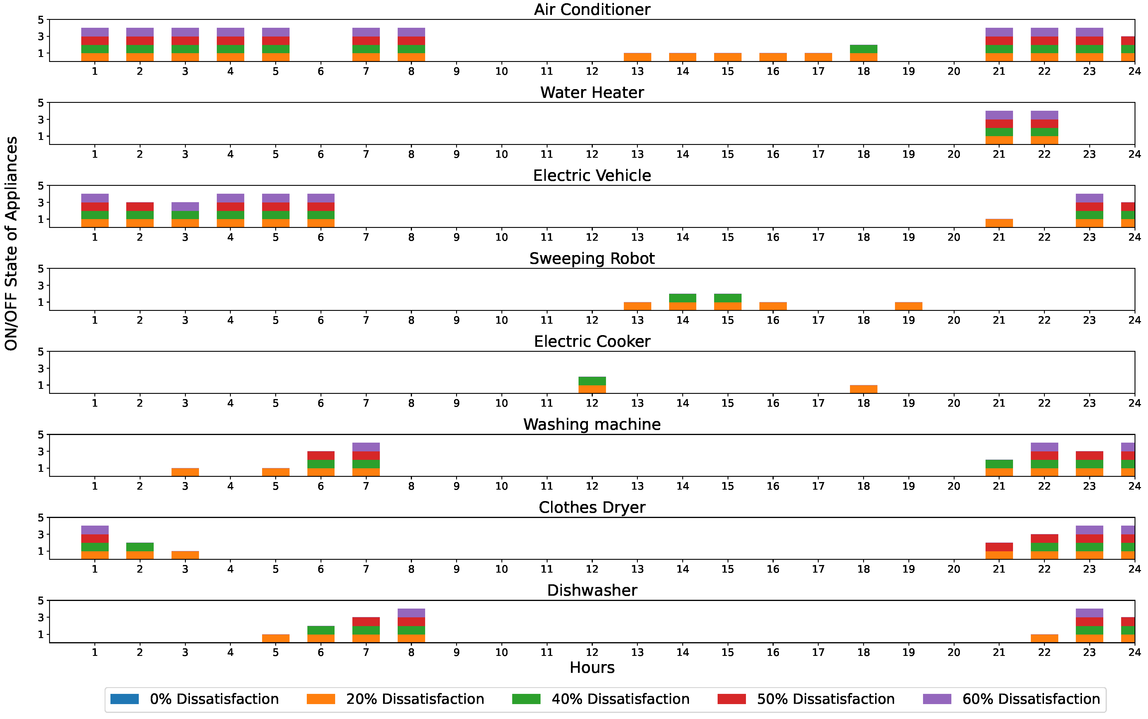
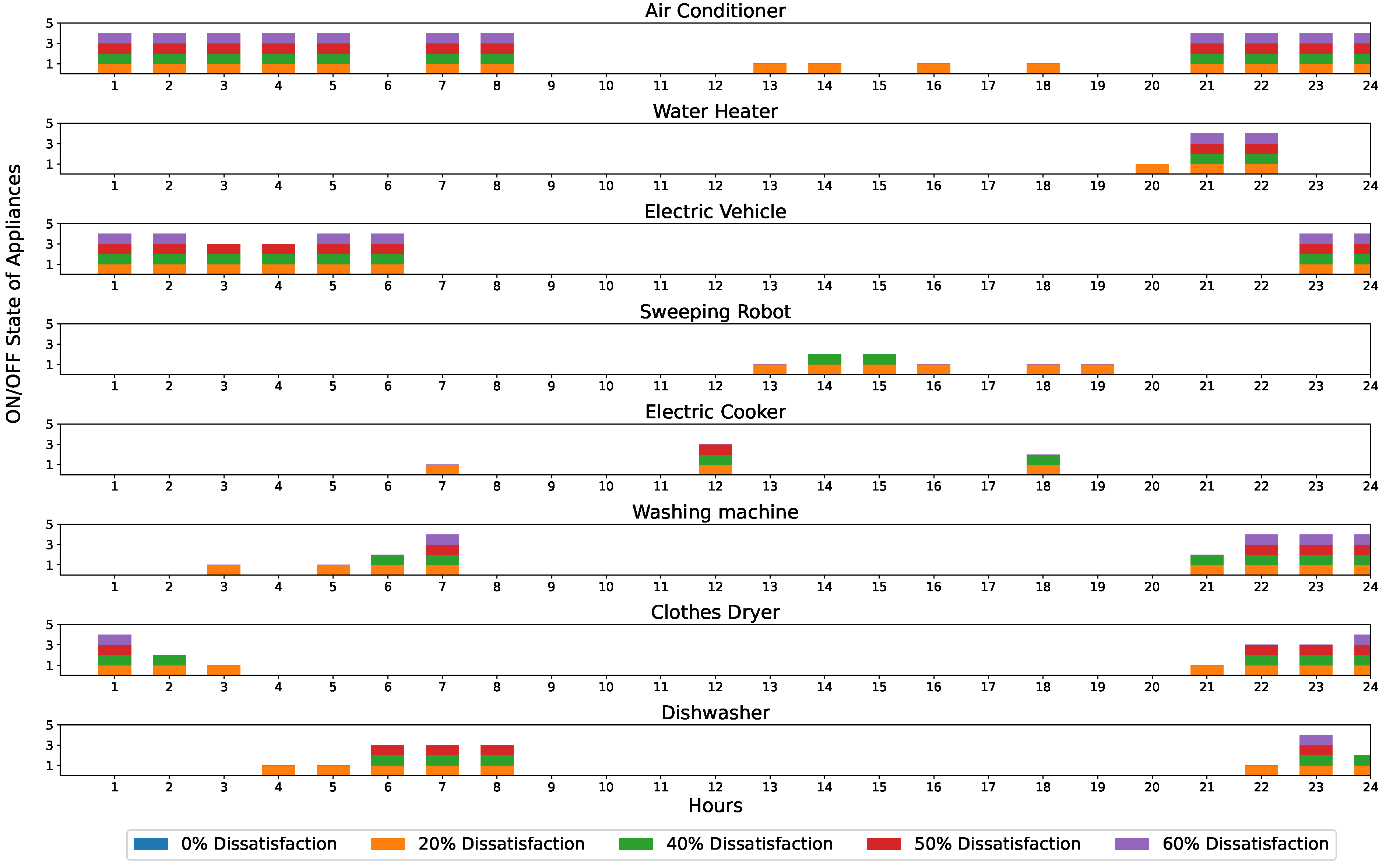
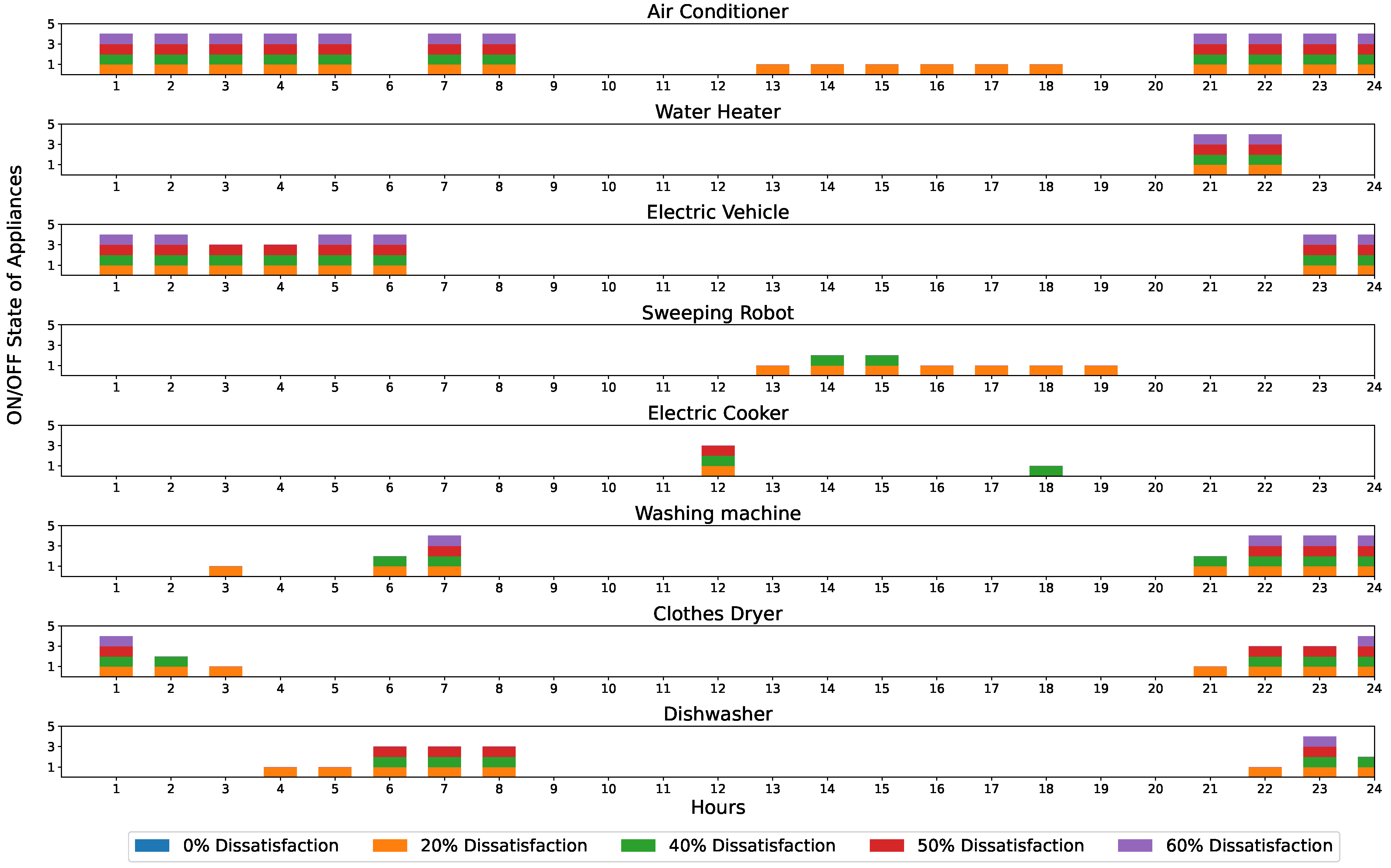
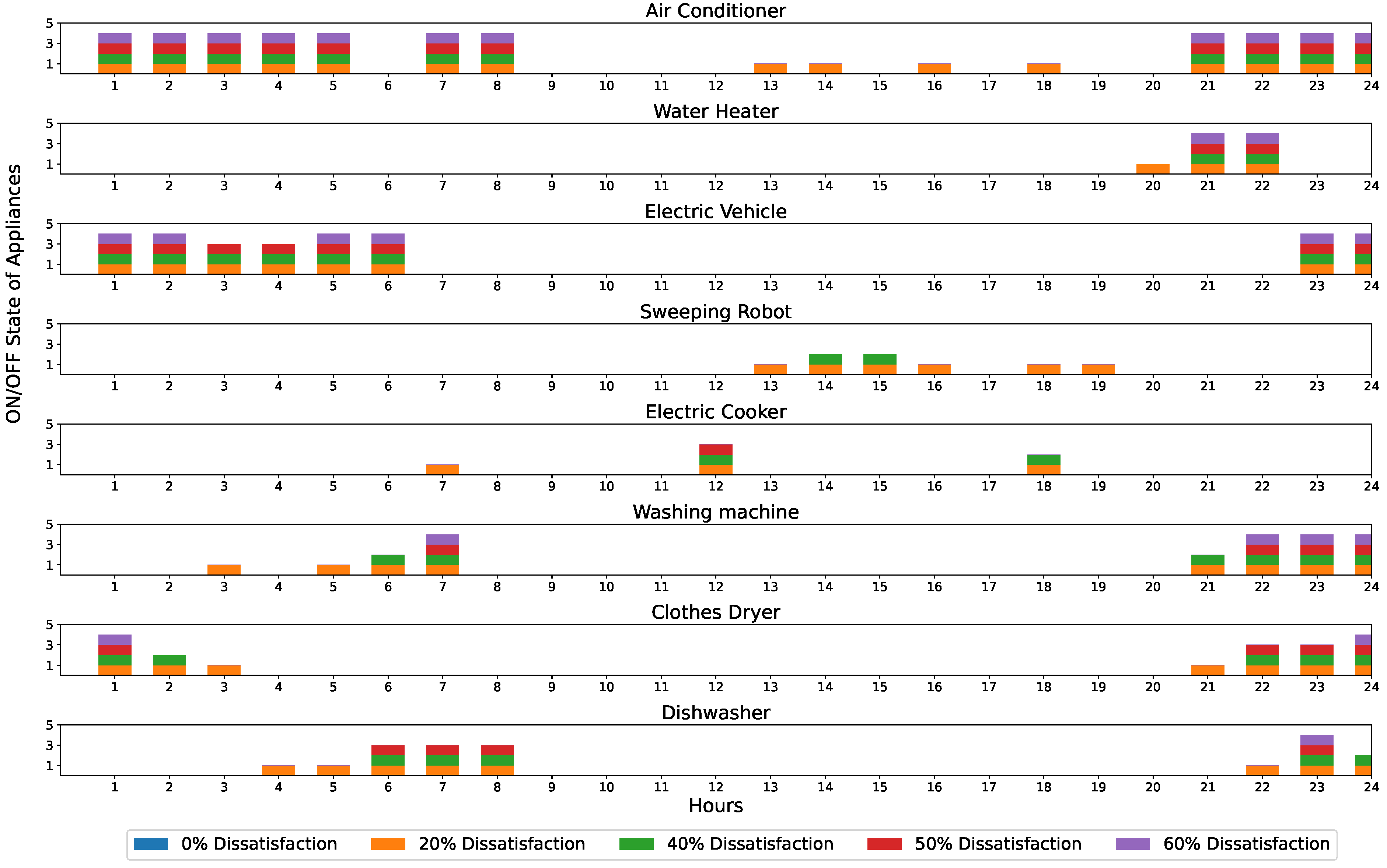
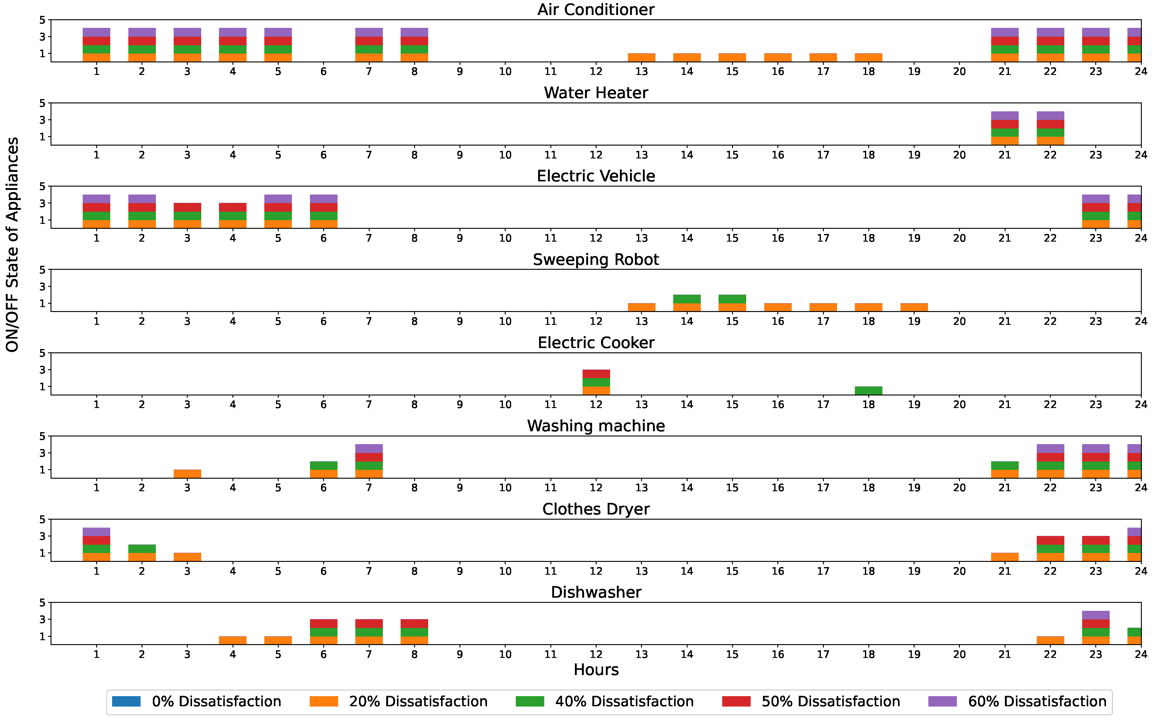
As shown in Figure 3, Figure 4, Figure 5 and Figure 6, the optimal operational times for various home appliances are presented in the form of stacked bar charts. These figures display the results obtained by applying the KPMT-RM-MEDA to solve the dynamic appliance scheduling optimization model across various environments from t = 1 to t = 4 , under user dissatisfaction levels of 0%, 20%, 40%, 50%, and 60%. Each colored segment in the bars corresponds to the scheduled operation at a specific time under a particular dissatisfaction level. For instance, a blue segment indicates that the appliance is active at that time under 0% dissatisfaction, while orange represents operation under 20% dissatisfaction.
When t = 1 , all home appliances are assigned the same priority weight. The algorithm schedules the operation of schedulable appliances during low-cost periods within the allowed operating period to minimize costs. The results indicate that at 20% user dissatisfaction, most appliances operate within user preference intervals. As the dissatisfaction level increases, users can reduce energy costs by limiting or forgoing the operation of certain appliances. The algorithm effectively reduces the runtime of schedulable appliances during high-cost periods, thereby lowering electricity consumption costs. This trend is consistent with the real-world strategy of shifting appliance usage to off-peak times to achieve economic savings. Users can employ the optimized schedules to tailor their electricity consumption according to personal preferences and requirements.

4.3. Comparison with State-of-the-Art Algorithms

The proposed KPMT-RM-MEDA is compared with three algorithms, including Tr-RM-MEDA [29], HETD-RM-MEDA [30], and RI-ISDE+. Tr-RM-MEDA and HETD-RM-MEDA are DMOEAs based on transfer learning. The indicator based on shift-based density estimation (ISDE+) has been employed to solve static home appliance scheduling problems [31]. RI-ISDE+ is an enhanced version of ISDE+ that adapts to environmental changes by randomly reinitializing 10% of the population upon detecting a change. In this section, we utilize these four algorithms to address the dynamic multi-objective home appliance scheduling model.
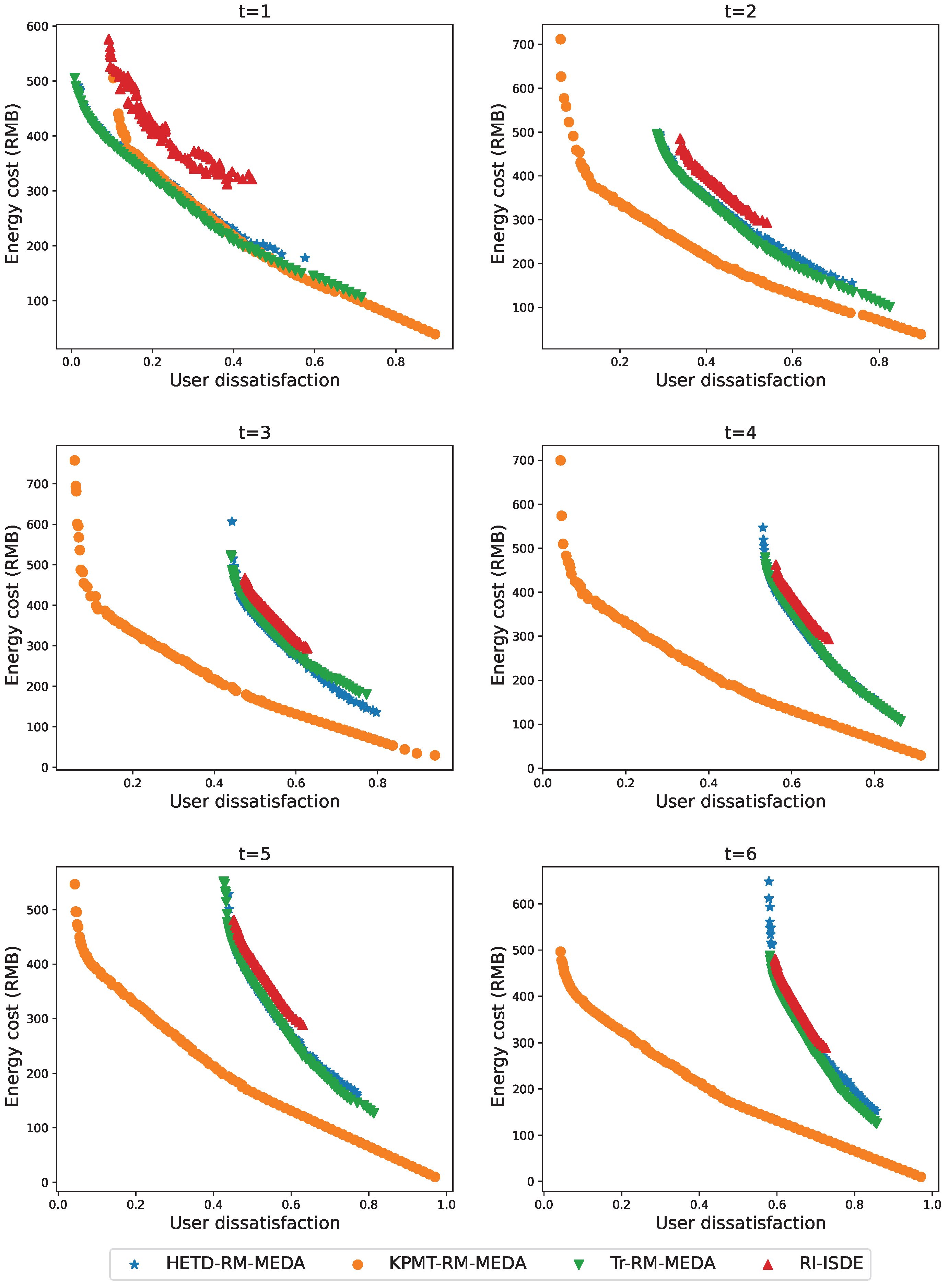
To elucidate the trade-off relationship between energy costs and user dissatisfaction across varying environments, Figure 7 illustrates the Pareto fronts generated by four competing DMOEAs when solving the dynamic appliance scheduling model in six distinct environments ( t = 1 to t = 6 ). From Figure 7, it is clearly observed that KPMT-RM-MEDA has a better tracking capability than other compared DMOEAs in different environments. And KPMT-RM-MEDA performs better in terms of convergence and diversity compared to other algorithms. Under the same environmental conditions, KPMT-DMOEA achieves lower energy costs in most cases at the same level of user dissatisfaction. A comprehensive quantitative comparison is presented in Table 5, which details the energy costs achieved by each algorithm under five predefined dissatisfaction levels across ten environmental conditions ( t = 1 to t = 10 ). Missing entries (marked as N/A) occur when an algorithm fails to reach the specified dissatisfaction threshold. This occurs because the algorithm schedules appliance operations within the allowed operating interval according to priority, electricity pricing, and rated power—factors that may inadvertently compromise user comfort and hinder the minimization of dissatisfaction. The optimal algorithm for each scenario is indicated in bold. From the table, we can observe that the energy costs decrease as user dissatisfaction increases. Increasing dissatisfaction from 20% to 40% at t = 1 results in a 35.62% reduction in operational costs for KPMT-RM-MEDA. Additionally, when dissatisfaction rises from 40% to 50% at t = 1 , operational costs decrease by 21.45%. This indicates that adopting a 40% dissatisfaction schedule instead of a 20% dissatisfaction schedule can lower costs by 35.62%, albeit at the expense of user satisfaction. Users can leverage the optimized schedules obtained to adjust their electricity usage patterns according to their specific needs and preferences.

5. Conclusions

This paper presents an optimization model for dynamic appliance scheduling under time-of-use (TOU) pricing to minimize household electricity costs and user dissatisfaction. The model incorporates temporal variations in appliance priority weights, which are explicitly embedded within a weighted dissatisfaction function. A knee point-based manifold transfer algorithm (KPMT-DMOEA) is proposed to deal with the dynamic HEMS model, including eight home appliances, given the allowed operating interval and user preference. The experimental results demonstrate that effective appliance scheduling can simultaneously reduce energy expenditures and enhance user satisfaction. Compared with three state-of-the-art DMOEAs, the proposed KPMT-RM-MEDA has been demonstrated to be capable of efficiently tracking moving POFs and outperform others in most test instances. Some extensions for this paper can be further studied from the following aspects. The dynamic HEMS model is complex, involving multiple constraints such as the scheduling sequence of different appliances. Therefore, enhancing the model by introducing more constraints presents a promising direction for further work. Additionally, we intend to utilize reinforcement learning and other advanced techniques to develop more accurate load forecasting and user behavior modeling. Furthermore, we plan to explore modeling and control strategies for flexible loads to fully leverage their potential in peak shaving and frequency regulation.

Funding

This work was supported in part by the Science Foundation of Zhejiang Sci-Tech University under Grant 23222217-Y and the National Natural Science Foundation of China under Grant 62402445.

Institutional Review Board Statement

Not applicable.

Informed Consent Statement

Not applicable.

Data Availability Statement

The original contributions presented in this study are included in the article. Further inquiries can be directed to the corresponding authors.

Conflicts of Interest

The authors declare no conflicts of interest.

Abbreviations

HEMShome energy management system
DRdemand response
MOEAmulti-objective evolutionary algorithm
DMOEAdynamic multi-objective evolutionary algorithm
DMOPdynamic multi-objective optimization problem
TOUtime-of-use
LoTlength of operation
GFKgeodesic flow kernel
ISDE+indicator based on shift-based density estimation
KPMT-DMOEAknee point-based manifold transfer algorithm
RM-MEDAregularity model-based multi-objective estimation of distribution algorithm
Tr-DMOEAtransfer learning-based dynamic multi-objective evolutionary algorithm
HETD-DMOEAhybrid of elitism-based transfer learning- and diversity maintenance-based DMOEA
C k time-of-use electricity tariff for residential users for each time slot k = [ 1 , 2 , , K ]
p j total anticipated energy consumption of appliance j over a single time slot
s j , k optimal on–off statues of appliance j at time slot k
[ A S j , A E j ] allowed operating interval
[ P S j , P E j ] preferred operating interval
U j , k user satisfaction value of the jth appliance at time k

References

  1. Ma, K.; Yu, Y.; Yang, B.; Yang, J. Demand-Side Energy Management Considering Price Oscillations for Residential Building Heating and Ventilation Systems. IEEE Trans. Ind. Inform. 2019, 15, 4742–4752. [Google Scholar] [CrossRef]
  2. Meng, Q.; Hussain, S.; Luo, F.; Wang, Z.; Jin, X. An Online Reinforcement Learning-Based Energy Management Strategy for Microgrids With Centralized Control. IEEE Trans. Ind. Appl. 2025, 61, 1501–1510. [Google Scholar] [CrossRef]
  3. Wang, X.; Mao, X.; Khodaei, H. A multi-objective home energy management system based on internet of things and optimization algorithms. J. Build. Eng. 2021, 33, 101603. [Google Scholar] [CrossRef]
  4. Tostado-Véliz, M.; Hasanien, H.M.; Turky, R.A.; Assolami, Y.O.; Vera, D.; Jurado, F. Optimal home energy management including batteries and heterogenous uncertainties. J. Energy Storage 2023, 60, 106646. [Google Scholar] [CrossRef]
  5. Hussain, A.; Islam, M.M.; Shah, S.S.; Zahir, M.H.; Ahammad, A.J.S.; Aziz, M.A. Recent progress in polyetherimide membrane for high-performance lithium batteries. J. Energy Storage 2025, 131, 117584. [Google Scholar] [CrossRef]
  6. Jalees, S.; Hussain, A.; Iqbal, R.; Raza, W.; Ahmad, A.; Saleem, A.; Majeed, M.K.; Faheem, M.; Ahmad, N.; Rehman, L.N.U.; et al. Functional PBI membrane based on polyimide covalent organic framework for durable lithium metal battery. J. Energy Storage 2024, 101, 113985. [Google Scholar] [CrossRef]
  7. El-Afifi, M.I.; Sedhom, B.E.; Eladl, A.A.; Elgamal, M.; Siano, P. Demand side management strategy for smart building using multi-objective hybrid optimization technique. Results Eng. 2024, 22, 102265. [Google Scholar] [CrossRef]
  8. Xiong, B.; Wei, F.; Wang, Y.; Xia, K.; Su, F.; Fang, Y.; Gao, Z.; Wei, Z. Hybrid robust-stochastic optimal scheduling for multi-objective home energy management with the consideration of uncertainties. Energy 2024, 290, 130047. [Google Scholar] [CrossRef]
  9. Lu, Q.; Zeng, W.; Guo, Q.; Lü, S. Optimal operation scheduling of household energy hub: A multi-objective optimization model considering integrated demand response. Energy Rep. 2022, 8, 15173–15188. [Google Scholar] [CrossRef]
  10. Goyal, G.R.; Vadhera, S. Multi-interval programming based scheduling of appliances with user preferences and dynamic pricing in residential area. Sustain. Energy Grids Netw. 2021, 27, 100511. [Google Scholar] [CrossRef]
  11. Chiu, W.Y.; Hsieh, J.T.; Chen, C.M. Pareto Optimal Demand Response Based on Energy Costs and Load Factor in Smart Grid. IEEE Trans. Ind. Inform. 2020, 16, 1811–1822. [Google Scholar] [CrossRef]
  12. Abdalla, M.A.A.; Min, W.; Bing, W.; Ishag, A.M.; Saleh, B. Double-layer home energy management strategy for increasing PV self-consumption and cost reduction through appliances scheduling, EV, and storage. Energy Rep. 2023, 10, 3494–3518. [Google Scholar] [CrossRef]
  13. Muhsen, D.H.; Haider, H.T.; Al-Nidawi, Y.M.; Khatib, T. Domestic load management based on integration of MODE and AHP-TOPSIS decision making methods. Sustain. Cities Soc. 2019, 50, 101651. [Google Scholar] [CrossRef]
  14. Kanakadhurga, D.; Prabaharan, N. Smart home energy management using demand response with uncertainty analysis of electric vehicle in the presence of renewable energy sources. Appl. Energy 2024, 364, 123062. [Google Scholar] [CrossRef]
  15. Chatterjee, A.; Paul, S.; Ganguly, B. Multi-Objective Energy Management of a Smart Home in Real Time Environment. IEEE Trans. Ind. Appl. 2023, 59, 138–147. [Google Scholar] [CrossRef]
  16. Yahia, Z.; Pradhan, A. Optimal load scheduling of household appliances considering consumer preferences: An experimental analysis. Energy 2018, 163, 15–26. [Google Scholar] [CrossRef]
  17. Waseem, M.; Lin, Z.; Liu, S.; Sajjad, I.A.; Aziz, T. Optimal GWCSO-based home appliances scheduling for demand response considering end-users comfort. Electr. Power Syst. Res. 2020, 187, 106477. [Google Scholar] [CrossRef]
  18. Bahmanyar, D.; Razmjooy, N.; Mirjalili, S. Multi-objective scheduling of IoT-enabled smart homes for energy management based on Arithmetic Optimization Algorithm: A Node-RED and NodeMCU module-based technique. Knowl.-Based Syst. 2022, 247, 108762. [Google Scholar] [CrossRef]
  19. Liu, Q.; Lanfermann, F.; Rodemann, T.; Olhofer, M.; Jin, Y. Surrogate-Assisted Many-Objective Optimization of Building Energy Management. IEEE Comput. Intell. Mag. 2023, 18, 14–28. [Google Scholar] [CrossRef]
  20. Misha, T.; Sun, L.; Chai, Z.y. Multi-objective multi-workflow task offloading based on evolutionary optimization. J. King Saud Univ. Comput. Inf. Sci. 2025, 37, 1–14. [Google Scholar] [CrossRef]
  21. Tsang, C.; Jankovic, L.; Fitton, R.; Henshaw, G. A Multi-Objective Design Optimization of a New-Build Future Homes Standard House in Controlled Conditions. Sustainability 2025, 17, 724. [Google Scholar] [CrossRef]
  22. Khan, Z.A.; Khalid, A.; Javaid, N.; Haseeb, A.; Saba, T.; Shafiq, M. Exploiting Nature-Inspired-Based Artificial Intelligence Techniques for Coordinated Day-Ahead Scheduling to Efficiently Manage Energy in Smart Grid. IEEE Access 2019, 7, 140102–140125. [Google Scholar] [CrossRef]
  23. Jafari, A.; Khalili, T.; Ganjehlou, H.G.; Bidram, A. Optimal integration of renewable energy sources, diesel generators, and demand response program from pollution, financial, and reliability viewpoints: A multi-objective approach. J. Clean. Prod. 2020, 247, 119100. [Google Scholar] [CrossRef]
  24. Zhang, X.; Yu, G.; Jin, Y.; Qian, F. An adaptive Gaussian process based manifold transfer learning to expensive dynamic multi-objective optimization. Neurocomputing 2023, 538, 126212. [Google Scholar] [CrossRef]
  25. Maurya, V.K.; Nanda, S.J. Time-varying multi-objective smart home appliances scheduling using fuzzy adaptive dynamic SPEA2 algorithm. Eng. Appl. Artif. Intell. 2023, 121, 105944. [Google Scholar] [CrossRef]
  26. Jiang, M.; Wang, Z.; Hong, H.; Yen, G.G. Knee Point-Based Imbalanced Transfer Learning for Dynamic Multiobjective Optimization. IEEE Trans. Evol. Comput. 2021, 25, 117–129. [Google Scholar] [CrossRef]
  27. Gong, B.; Shi, Y.; Sha, F.; Grauman, K. Geodesic flow kernel for unsupervised domain adaptation. In Proceedings of the 2012 IEEE Conference on Computer Vision and Pattern Recognition, Providence, RI, USA, 16–21 June 2012; pp. 2066–2073. [Google Scholar]
  28. Zhang, Q.; Zhou, A.; Jin, Y. RM-MEDA: A Regularity Model-Based Multiobjective Estimation of Distribution Algorithm. IEEE Trans. Evol. Comput. 2008, 12, 41–63. [Google Scholar] [CrossRef]
  29. Jiang, M.; Huang, Z.; Qiu, L.; Huang, W.; Yen, G.G. Transfer Learning based Dynamic Multiobjective Optimization Algorithms. IEEE Trans. Evol. Comput. 2017, 22, 501–514. [Google Scholar] [CrossRef]
  30. Zhang, X.; Yu, G.; Jin, Y.; Qian, F. Elitism-based transfer learning and diversity maintenance for dynamic multi-objective optimization. Inf. Sci. 2023, 636, 118927. [Google Scholar] [CrossRef]
  31. Pamulapati, T.; Mallipeddi, R.; Lee, M. Multi-objective home appliance scheduling with implicit and interactive user satisfaction modelling. Appl. Energy 2020, 267, 114690. [Google Scholar] [CrossRef]
Figure 1. HEMS framework.
Figure 1. HEMS framework.
Sustainability 17 10844 g001
Figure 2. Flowchart of KPMT-DMOEA for HEMS.
Figure 2. Flowchart of KPMT-DMOEA for HEMS.
Sustainability 17 10844 g002
Figure 3. On–off states of appliances with 0%, 20%, 40%, 50%, and 60% user dissatisfaction at t = 1 .
Figure 3. On–off states of appliances with 0%, 20%, 40%, 50%, and 60% user dissatisfaction at t = 1 .
Sustainability 17 10844 g003
Figure 4. On–off states of appliances with 0%, 20%, 40%, 50%, and 60% user dissatisfaction at t = 2 .
Figure 4. On–off states of appliances with 0%, 20%, 40%, 50%, and 60% user dissatisfaction at t = 2 .
Sustainability 17 10844 g004
Figure 5. On–off states of appliances with 0%, 20%, 40%, 50%, and 60% user dissatisfaction at t = 3 .
Figure 5. On–off states of appliances with 0%, 20%, 40%, 50%, and 60% user dissatisfaction at t = 3 .
Sustainability 17 10844 g005
Figure 6. On–off states of appliances with 0%, 20%, 40%, 50%, and 60% user dissatisfaction at t = 4 .
Figure 6. On–off states of appliances with 0%, 20%, 40%, 50%, and 60% user dissatisfaction at t = 4 .
Sustainability 17 10844 g006
Figure 7. Obtained Pareto fronts of four DMOEAs in different environments.
Figure 7. Obtained Pareto fronts of four DMOEAs in different environments.
Sustainability 17 10844 g007
Table 1. Appliance parameters and user preference settings.
Table 1. Appliance parameters and user preference settings.
No.AppliancesAllowed Operating IntervalUser Preference IntervalLoT (h) PW (kW)
1Air Conditioner00:00–08:000:00–08:00-1.5
12:00–24:0012:00–24:00
2Water Heater17:00–22:0020:00–22:00-4.0
3Electric Vehicle00:00–08:000:00–06:00-5.0
18:00–24:0022:00–24:00
4Sweeping Robot08:00–18:0012:00–18:00-0.5
5Electric Cooker06:00–07:0006:00–07:000.51.2
11:00–12:0011:00–12:00
17:00–18:0017:00–18:00
6Washing Machine00:00–07:0006:00–07:000.60.6
18:00–24:0020:00–24:00
7Clothes Dryer00:00–07:0000:00–01:001.01.5
18:00–24:0021:00–24:00
8Dishwasher00:00–08:0007:00–08:001.02.0
18:00–24:0020:00–24:00
Table 2. Time-of-use electricity price (RMB/kWh).
Table 2. Time-of-use electricity price (RMB/kWh).
Time PeriodLevel 1 (0–180 kWh)Level 2 (180–350 kWh)Level 3 (>350 kWh)
Off-peak period 0:00–8:000.29830.34830.3109
Peak period 8:00–20:000.54830.59830.8483
Off-peak period 20:00–24:000.29830.34830.3109
Table 3. User priority weights w.
Table 3. User priority weights w.
No.Appliances t = 1 t = 2 t = 3 t = 4 t = 5 t = 6 t = 7 t = 8 t = 9 t = 10
1Air Conditioner11110.50.1110.51
2Water Heater110.750.10.50.1110.750.75
3Electric Vehicle1110.10.1110.40.50.75
4Sweeping Robot10.250.1110.510.810.1
5Electric Cooker10.750.10.510.10.40.30.10.5
6Washing Machine10.7510.10.40.50.80.20.10.5
7Clothes Dryer10.750.50.50.810.10.810.1
8Dishwasher10.250.10.50.30.10.50.10.50.5
Table 4. Parameter settings in compared DMOEAs.
Table 4. Parameter settings in compared DMOEAs.
ParameterValue
Population size N100
Change frequency τ t 100
Total iteration 10 × τ t
Number of schedulable appliances J8
Number of time periods K24
Scheduling step1 h
Number of subspaces K num 10
Running times20
Table 5. Comparison of energy cost (RMB) with 0%, 20%, 40%, 50%, and 60% user dissatisfaction.
Table 5. Comparison of energy cost (RMB) with 0%, 20%, 40%, 50%, and 60% user dissatisfaction.
tDMOEA0% Dissatisfaction20% Dissatisfaction40% Dissatisfaction50% Dissatisfaction60% Dissatisfaction
1KPMT-RM-MEDAN/A *334.98215.65169.39126.42
Tr-RM-MEDA505.45325.26203.43169.39140.22
HETD-RM-MEDA491.65332.49226.95192.92N/A
RI-ISDE+N/A418.57325.26N/AN/A
2KPMT-RM-MEDAN/A334.20215.65169.39126.42
Tr-RM-MEDAN/AN/A344.71259.41192.92
HETD-RM-MEDAN/AN/A350.36272.43220.52
RI-ISDE+N/AN/A398.34313.04N/A
3KPMT-RM-MEDAN/A330.12215.65165.32126.42
Tr-RM-MEDAN/AN/AN/A376.39271.64
HETD-RM-MEDAN/AN/AN/A372.31270.85
RI-ISDE+N/AN/AN/A421.07312.25
4KPMT-RM-MEDAN/A326.05212.37169.39126.42
Tr-RM-MEDAN/AN/AN/AN/A349.57
HETD-RM-MEDAN/AN/AN/AN/A349.57
RI-ISDE+N/AN/AN/AN/A390.19
5KPMT-RM-MEDAN/A325.26212.37165.32126.42
Tr-RM-MEDAN/AN/AN/A362.59258.63
HETD-RM-MEDAN/AN/AN/A363.37267.56
RI-ISDE+N/AN/AN/A411.35303.31
6KPMT-RM-MEDAN/A321.19211.58160.46126.42
Tr-RM-MEDAN/AN/AN/AN/A413.71
HETD-RM-MEDAN/AN/AN/AN/A431.58
RI-ISDE+N/AN/AN/AN/A462.47
7KPMT-RM-MEDAN/A321.98211.58160.46126.42
Tr-RM-MEDAN/AN/A343.93266.78210.79
HETD-RM-MEDAN/AN/A344.71271.64198.57
RI-ISDE+N/AN/A384.54303.31682.62
8KPMT-RM-MEDAN/A321.19207.50160.46126.42
Tr-RM-MEDAN/AN/AN/A362.59258.63
HETD-RM-MEDAN/AN/AN/A371.52275.71
RI-ISDE+N/AN/AN/A411.35308.18
9KPMT-RM-MEDAN/A321.98207.50160.46126.42
Tr-RM-MEDAN/AN/AN/A385.32275.71
HETD-RM-MEDAN/AN/AN/A386.11276.50
RI-ISDE+N/AN/AN/A425.94317.90
10KPMT-RM-MEDAN/A321.98207.50160.46126.42
Tr-RM-MEDAN/AN/AN/A431.58308.96
HETD-RM-MEDAN/AN/AN/A431.58311.46
RI-ISDE+N/AN/AN/A476.27331.70
* N/A occurs when an algorithm fails to reach the specified dissatisfaction threshold.
Disclaimer/Publisher’s Note: The statements, opinions and data contained in all publications are solely those of the individual author(s) and contributor(s) and not of MDPI and/or the editor(s). MDPI and/or the editor(s) disclaim responsibility for any injury to people or property resulting from any ideas, methods, instructions or products referred to in the content.

Share and Cite

MDPI and ACS Style

Zhang, X. Dynamic Knowledge Guided Transfer Optimal Scheduling for Home Energy Management System Considering User Preference. Sustainability 2025, 17, 10844. https://doi.org/10.3390/su172310844

AMA Style

Zhang X. Dynamic Knowledge Guided Transfer Optimal Scheduling for Home Energy Management System Considering User Preference. Sustainability. 2025; 17(23):10844. https://doi.org/10.3390/su172310844

Chicago/Turabian Style

Zhang, Xi. 2025. "Dynamic Knowledge Guided Transfer Optimal Scheduling for Home Energy Management System Considering User Preference" Sustainability 17, no. 23: 10844. https://doi.org/10.3390/su172310844

APA Style

Zhang, X. (2025). Dynamic Knowledge Guided Transfer Optimal Scheduling for Home Energy Management System Considering User Preference. Sustainability, 17(23), 10844. https://doi.org/10.3390/su172310844

Note that from the first issue of 2016, this journal uses article numbers instead of page numbers. See further details here.

Article Metrics

Back to TopTop