Abstract
Climate adaptation is becoming increasingly important for municipalities. Yet, key questions remain about why they engage with this agenda, particularly at different stages of the adaptation cycle and over time. This study examines how 17 different factors, grouped into four principal components (city size & scale; land use & compactness; socio-economics; and regional climate & exposure to extreme weather), influence municipal adaptation activities. It examines how these variables played out in 104 German cities, using the results of two assessment frameworks: one analysed municipal adaptation activities across five dimensions in 2018, while the other mapped them against three dimensions in both 2018 and 2022. Regression analysis indicates that larger, more compact and more exposed cities are generally more active in adaptation, whereas socio-economic factors have a minimal impact. City size & scale shows significant effects consistently across all assessment dimensions. All four components, including socio-economics, influence adaptation plan-related dimensions, whereas implementation of adaptation measures is primarily shaped by land use & compactness. The influence of city size & scale and regional climate & exposure declined between 2018 and 2022, suggesting a policy diffusion process. These findings reveal different nuances in factors influencing municipal adaptation, highlight the importance of including implementation in assessments of adaptation, and echo calls for further research into causal mechanisms and longitudinal studies.
1. Introduction
Cities are particularly vulnerable to the impacts of climate change due to their large populations and assets and also because of certain physical characteristics that make it difficult to cope with extreme weather events, such as extensive surface sealing. At the same time, many traditional municipal functions can contribute to local adaptation efforts, including urban development or disaster management [1]. Consequently, municipal adaptation to climate change has gained increasing importance in recent years [2,3,4,5]. The body of research on urban adaptation and its governance is also growing rapidly, focusing inter alia on the degree of municipal engagement and the factors influencing whether municipalities initiate and sustain their adaptation activities [6]. Studies that address these questions can provide valuable insights to help us assess the feasibility of adaptation goals, evaluate the effectiveness of adaptation support in reducing vulnerability and enhancing resilience, identify additional support needs, and justify the allocation of adaptation resources [5,7,8,9].
1.1. Assessing the State of Climate Adaptation in Cities
Large-N, comparative assessments of municipal climate adaptation face several challenges. These include conceptual questions around what constitutes adaptation, difficulties associated with identifying and measuring the impacts of adaptation efforts, and the lack of appropriate, comparable data [8,10,11,12,13,14,15,16,17,18]. Notably, studies tend to focus on different components of the adaptation policy cycle.
According to the OECD (p. 16, [19]), the adaptation policy cycle comprises four key steps: (1) “assessing climate risks”, (2) “adaptation planning and policy design”, (3) “implementing adaptation measures”, and (4) “iterative adaptation planning and adjustments”. The first step—analysis of climate risks, which is essential for reasonable adaptation—is rarely the primary focus of adaptation assessment studies, although some assessments of adaptation readiness [20] or adaptation plan quality [5] do take account of this stage. Instead, the majority of studies focusses on the second step by analysing the existence, content, and/or quality of climate adaptation plans [4,5,21,22,23,24,25,26,27,28,29,30,31,32,33,34,35,36,37]. These plans are a focal point because they are regarded as the foundation of strategic climate adaptation and are relatively well accessible and comparable across municipalities [4,5]. However, critiques highlight that such plans rarely capture the institutional and political processes underlying climate adaptation [38,39] and do not provide insights into the implementation of planned actions [12,24]. To address at least the second gap, some studies supplement adaptation plan analyses with data on municipal budget expenditures [40] or indicators such as winning awards [41,42].
Other research explicitly focuses on the third step of the adaptation cycle—implementation of adaptation measures—by examining municipal websites and local government archives [43,44], analysing municipal reports [45,46], or conducting surveys [47,48,49]. A broader approach that encompasses multiple stages of the adaptation policy cycle seeks to identify ‘adaptation readiness’: this incorporates indicators related to “political leadership, institutional organization, adaptation decision making and stakeholder engagement, availability of usable science, funding for adaptation, and public support” (p. 505, [50]). Otto et al. [20] extended this framework by incorporating measures of actual implementation. The fourth step—evaluating learning, outcomes, and the impacts of implemented policies—remains rare in quantitative climate adaptation assessment studies. As we can see, existing approaches vary considerably in complexity and the specific components of the adaptation policy cycle they address.
1.2. Influential Factors on Municipal Climate Adaptation
The question of what drives and hinders climate adaptation at the municipal level has been intensively studied. Research has aimed to understand why adaptation measures diffuse more slowly or unevenly than anticipated, to identify levers for adaptation [51,52,53], and to improve support from regional or national governments for local-level adaptation [7].
Following Reckien et al. [54], influencing factors can be categorised into institutional, socio-economic, environmental and vulnerability-related domains. Within the institutional domain, membership in certain city networks appears to facilitate the development of adaptation plans [4,54] and the implementation of policies [47]. High levels of commitment and awareness of climate impacts among local officials [49], as well as the belief that municipalities should act even without state-level initiatives [55,56], also contribute to local adaptation planning and action. Specific administrative structures, such as the presence of a city manager [55] or an environmental department or commission [47], also correlate positively with the adoption of adaptation policies. Additionally, political factors such as higher votes for the Democratic Party in the US or a greater share of green party seats in local parliaments in Europe have been associated with greater institutionalisation of adaptation [48] and the implementation of measures [55]. For the German context, “it is usually the wealthier, more educated cities, and with left-wing and/or green members of parliament, who show higher rates of climate adaptation funding” (p. 7, [57]).
In international comparisons, national legislation that mandates the development of local adaptation plans has been identified as a significant driver [4,29].
Among socio-economic factors, municipal size—typically measured by a city’s total population—is repeatedly found to be a critical determinant of adaptation planning and implementation [4,45,47,48,54,58]. Less frequently, the level of urbanity [57], population growth [55] and population density [54] have been identified as influencing factors. However, some studies find no significant relationships between population size and preparedness scores [35] or between population density and adaptation plan content [27].
Economic indicators yield mixed results: cities with a higher GDP per capita and a higher index of adaptive capacity are more likely to have an adaptation plan [54], municipalities with a high median household income and the presence of development entrepreneurs are more likely to implement measures [47], and cities with higher municipal expenditure per capita are more likely to have already started some adaptation planning [49]. In contrast, income per capita [27,49,59] and educational attainment [27,47] often show no significant effect. Furthermore, high smart city index scores [54] and a greater reliance on manufacturing [47] have been found to inhibit adaptation planning and implementation, although Schulze and Schoenefeld [48] report that high industrial employment correlates with greater adaptation institutionalisation. Unemployment rates show no effect on adaptation plan development [54] and, remarkably, may have a positive effect on adaptation implementation [47].
Environmental and vulnerability-related factors also influence adaptation outcomes. Some studies find that high risk perceptions among the local population [60] or prior experience of (specific) climate-related impacts and extreme weather events positively affect adaptation planning and implementation [32,47,49,55,60,61]. Nohrstedt et al. [62] reveal that municipal adaptation activities in countries with high adaptive capacity increase following recorded economic losses from extreme weather events. However, other studies report no significant impacts of extreme weather experiences on plan content (for US coastal municipalities, [36]), nor on institutional adaptation within specific sectors such as urban water management [38]. Within the European context, Reckien et al. [54] found that environmental and vulnerability-related variables either have no effect or, in the case of proximity to the coast or mean temperature of the warmest month, exhibit a negative correlation with the presence of local adaptation plans.
This overview reveals that, despite some consistent findings, previous studies have often generated contradictory and/or context-specific results. Such variability may stem from sample selection, temporal scope, and assessment methodologies, which often rely predominantly on adaptation plans or implementing policies. Schulze and Schoenefeld [48] contrast different phases of the adaptation cycle and demonstrate that the institutionalisation of adaptation (including plan development) and policy implementation are influenced by municipal size and distinct sets of variables. According to their assessment, institutionalisation is positively influenced by industrial employment, population growth, and a larger Green Party presence in the municipal parliament. Larger cities mainly drive the effects of the latter two factors. In contrast, policy implementation is positively related to municipal income, i.e., tax revenue [48]. Moreover, not only do these factors exercise different degrees of influence at the various stages of the adaptation policy cycle, their influence may evolve over time. For instance, Otto et al. [42] demonstrate that the predictive value of city size for adaptation activity diminished among 104 German cities between 2018 and 2022. Despite these studies, however, we still know very little about how these different factors affect various activities throughout the adaptation policy cycle, and how their effects may change over time as studies typically aim at explaining one defined state of adaptation at a given point in time.
1.3. Aim of the Study
This article seeks to address this gap and, more generally, to contribute to the literature on factors that influence municipal climate adaptation. To this end, the dependent variable, ‘state of climate adaptation’, is assessed using two distinct approaches, each with several sub-dimensions. Both approaches utilise secondary data but differ in scope and comprehensiveness regarding their dimensions and indicators (Table 1). This allows us to distinguish the influence of various factors on the assessment dimensions, which reflect different stages in the adaptation policy cycle. Secondly, ‘adaptation’ is examined at different points in time using one of the assessment approaches. This enables us to identify changes in the influence of the independent factors over time. However, we do not judge whether adaptation efforts are well tailored to the local adaptation needs.
Table 1.
Dimensions and indicators of the two approaches.
For this paper, we build on previous analyses of the state of climate adaptation in more than 100 German cities for both 2018 and 2022 [20,40,41] and use these as dependent (or target) variables, which we combined with a large set of independent variables to address three research questions, also depicted in Figure 1 (as dashed, dotted and solid arrows, respectively).
Figure 1.
Research design (ACP: Adaptation commitments and plans approach; AR: Adaptation readiness approach).
- To what extent do various factors contribute to the overall findings from two climate adaptation assessment approaches?
- How do different factors influence the individual dimensions of the two assessment approaches?
- How do these factors explain the temporal variations in results for assessing municipal climate adaptation in 2018 and 2022?
By exploring these questions, the study aims to provide a more nuanced understanding of the factors that shape municipal adaptation to climate change.
2. Materials and Methods
2.1. City Sample
The findings presented in this article are based on data from three studies [20,41,42], each of which investigated adaptation activities in the same sample of 104 German cities. This sample comprises all German municipalities with at least 100,000 residents, alongside all of those with more than 50,000 inhabitants that are independent of county administrations (‘kreisfrei’). Together, they represent approximately 34% of the German population (based on [63]). As depicted in Figure 2A, the cities are distributed across all German federal states with a cluster in North Rhine-Westphalia, the most densely populated state in Germany.
Figure 2.
German Federal states and the location of the 104 cities investigated (A), their mean temperature in August (B), and the number of heavy rainfall events in the city’s area that exceeded the threshold of a severe weather warning (C).
Germany is mainly located in the temperate oceanic climate zone (Cfb), which is characterized by mild winters and warm summers with no distinct dry season, but rainfall throughout the year. The local climate is modified by the middle hills and gradients, i.e., summer temperature is decreasing towards the north as illustrated by the mean temperature in August in Figure 2B, while regions are getting drier from west to east due to decreasing oceanic influence.
Despite these differences, cities across Germany have been affected by extreme weather and climate change impacts. In recent years, surface water flooding after heavy rainfall has caused considerable damage in many places from big cities to small towns, e.g., in Osnabrück in 2010 and Münster in 2014 in the north-west of Germany, in Berlin and Potsdam in 2017 in the east, several places in the south in 2016 and 2024, and larger cities such as Wuppertal and Hagen in the west in 2021 [64,65,66,67,68,69]. Figure 2C illustrates the number of heavy rainfall events that exceeded the threshold for a severe weather warning between 2000 and 2020, revealing no clear spatial pattern. Trend analyses suggest changes in frequency and intensity of heavy rainfall with, inconclusive regional and seasonal patterns [70]. However, there is evidence that heavy rainfall has intensified in short durations and their frequency has increased over the last two decades [71,72].
While climate change effects on rainfall are diverse, the temperature signal is clearer: cities throughout Germany increasingly suffer from heat. Even in the cooler north of the country, hot days with a maximum temperature of at least 30 °C have been recorded and heatwaves, e.g., in 1994, 2003, 2018 and 2019 have become more intense [73]. In July 2019, a temperature of at least 40 °C was recorded at 25 official weather stations throughout the country [74]. Due to the urban heat island effect, urban population typically suffer more from heat than people in rural areas [75].
Despite regional differences, a climate impact and risk analysis [76] confirmed that all of Germany will be affected by climate change leading to a further increase in heat, drought and heavy rainfall events highlighting the need for climate adaptation. At the time of our analysis (up to the end of 2022), climate adaptation was not a mandatory task for German municipalities [3]. The Federal Climate Adaptation Act, which mandates climate adaptation plans at the local level, only came into force in 2024.
Unlike countries such as France or Denmark, where municipalities are required to develop municipal adaptation plans [77], German cities were not obliged to do so at the end of 2022. Nonetheless, municipalities are recognised as key actors in implementing local adaptation measures, mainstreaming climate adaptation into everyday decision making, and encouraging other stakeholders to engage with this issue [78].
2.2. Two Assessment Approaches
We used data from two different frameworks that adopted different indicators to measure municipal adaptation activity (Table 1). All indicators were selected based on their relevance for assessing the state of municipal adaptation and the availability of data for many cities. Both approaches collected data relating to the end of 2018, and one of them (ACP2022) was updated at the end of 2022.
The adaptation commitments and plans approach (ACP) takes into account the membership in one city network, i.e., Covenant of Mayors, and participation in relevant competitions and certification programmes, as well as various information relating to adaptation plans such as their existence, year of publication, frequency of updates and scope of actions included in the plans [41,42]. A total of 100 points can be scored, distributed almost equally across the three dimensions (Table 1). This approach was conducted using data from the end of 2018 [41] and the end of 2022 [42].
The broader adaptation readiness approach (AR) was based initially on six dimensions [50] and extended to include an additional dimension on implemented actions [20]. However, two of these dimensions (namely, financing for adaptation and public support) were not included in the empirical analysis due to a lack of nationwide data for the local level. Each of the remaining five dimensions is assigned a maximum of 20 points. In total, the approach AR includes 12 indicators (Table 1).
2.3. Influencing Factors of Municipal Climate Adaptation
Total scores for the 104 cities vary considerably in both assessment approaches, raising the question of why different cities engage with adaptation to such varying extents within both frameworks. Based on the framework of Reckien et al. [54], we examined several institutional, socio-economic, environmental and climate impact-related factors (see Section 1.2) that may have contributed to these differences. We selected an initial set of 26 independent variables related to these themes (Table 2), for which we searched and prepared data specifically for this article (see Table A1 in the Appendix A for details of the data sources used). The indicators had to meet the following criteria. First, they seemed relevant based on our knowledge from the literature or from exchange with municipal representatives. Table A1 in the Appendix A provides examples of studies that take the selected indicators into account. Second, data relating to the indicators were available for all or at least most of the 104 cities. Third, they were not already included as indicators in either the ACP or the AR assessment frameworks, such as being part of a city network on adaptation. Despite their absence from these previous studies, this factor is sometimes considered a driver of developing adaptation plans, e.g., [54].
Table 2.
Overview of considered independent variables or potentially influencing factors. (Further information on data sources and literature using similar variables is provided in Table A1 in the Appendix A).
As it sometimes takes several years before city councils agree or implement climate policies, we decided to use datasets from the same years (beginning in 2015) for our independent variables and investigate their influence on the extent of adaptation activities in both 2018 and 2022. This ensures the comparability of the analyses for the two different points in time. We acknowledge that our approach is not comprehensive (for example, we were unable to incorporate factors such as the competencies and beliefs of local politicians and administrative staff, or access to funding into our analysis). However, combined with other frameworks, we suggest that our approach can provide useful insights into climate adaptation in municipalities.
Table 3.
Rotated matrix of four principal components with factor loadings and the communalities of all variables.
Table 3.
Rotated matrix of four principal components with factor loadings and the communalities of all variables.
| City Size & Scale | Land Use & Compactness | Socio-Economics | Regional Climate & Exposure to Extreme Weather | ||
|---|---|---|---|---|---|
| Eigenvalue | 5.185 | 2.637 | 2.416 | 2.304 | |
| Variables (details in Table 2) | PC1 | PC2 | PC3 | PC4 | Communality h |
| City area | 0.932 | 0.065 | −0.032 | 0.157 | 0.898 |
| Inhabitants | 0.852 | 0.383 | 0.123 | 0.113 | 0.900 |
| Population density | 0.310 | 0.834 | 0.283 | 0.086 | 0.880 |
| GDP per capita | −0.057 | −0.072 | 0.778 | 0.100 | 0.624 |
| Trade tax per capita | 0.031 | 0.226 | 0.789 | 0.105 | 0.686 |
| Number of scientific institutions | 0.852 | 0.237 | 0.207 | 0.170 | 0.854 |
| Green voters [%] | 0.262 | 0.196 | 0.687 | −0.168 | 0.607 |
| Future development score | −0.110 | 0.050 | −0.885 | −0.015 | 0.798 |
| Built-up area [%] | 0.052 | 0.902 | −0.051 | 0.055 | 0.821 |
| Traffic area [%] | 0.097 | 0.868 | 0.195 | 0.243 | 0.860 |
| Green space [%] | 0.005 | −0.836 | 0.059 | 0.017 | 0.702 |
| Mean temperature in August | 0.007 | 0.046 | 0.231 | 0.854 | 0.785 |
| Drought index | 0.014 | 0.023 | 0.028 | −0.855 | 0.732 |
| Minimum mortality temperature (MMT) | 0.112 | 0.123 | −0.074 | 0.769 | 0.624 |
| Number of heavy rain events | 0.750 | −0.023 | 0.295 | −0.085 | 0.657 |
| Mean heavy precipitation total | −0.103 | −0.121 | −0.002 | −0.708 | 0.526 |
| Mean share of rainfall-affected area in the city | 0.751 | −0.070 | −0.129 | −0.016 | 0.586 |
| Explained variance | 73.774 | ||||
Loadings lower than −0.5 or higher than 0.5 are highlighted in bold.
2.4. Statistical Analyses (Principal Component and Regression Analyses)
According to Hair et al. [84], a ratio of sample size to independent variables of at least 50:1 should be retained in stepwise procedures of regression analyses. Thus, with a sample of 104 cities, one could consider two, maybe three explanatory variables in a regression. Hence, the number of factors identified in Table 2 that could potentially influence adaptation to climate change is far too large to be included directly in a regression analysis. Therefore, a principal component analysis (PCA with Varimax rotation) was performed to reduce the dimension of the initial data set. To avoid overrepresentation of pluvial flooding by the six indicators that were derived from the CatRaRe dataset, provided by the German Meteorological Service (DWD, Offenbach, Germany, Table 2), only three variables that did not show high correlations with each other (coefficients < 0.6) were considered: (a) the number of heavy rain events in the city, (b) the mean share of the city’s area that was exposed to heavy rainfall events, and (c) the mean heavy precipitation total for these events. The potential climate change impacts, i.e., heat/drought and heavy rainfall, are thus represented by three variables each. Further, variables with an anti-image correlation value on the diagonal lower than 0.5 were removed stepwise from the analysis (i.e., the population density in built-up areas, debts per capita, adaptation at the federal state level according to [79]). Furthermore, variables with a communality of less than 0.4 when extracting four components for the PCA were also removed (i.e., World Heritage status of the inner city, the share of water space in the city, and whether a municipality belongs to a county or not). The correlation matrix of the remaining 17 variables is provided in Table A2 in the Appendix A.
With the 17 remaining variables, the Kaiser-Meyer-Olkin (KMO) criterion and the Bartlett test of sphericity were (again) calculated. A PCA with Varimax rotation was performed. The number of principal components was determined by their eigenvalues (Kaiser-criterion), the screeplot, the total variance explained and the interpretability of the components based on high loadings between the principal components and the remaining variables (Table 2). Finally, the scores for all the components in every city were estimated using a linear regression.
The scores per component were saved as new variables and then used as (independent) input variables in a linear regression with the assessments of the cities’ adaptation ratings as the dependent variable. Several regressions were calculated using different dependent variables to answer the three research questions: (1) the assessment of climate adaptation policies in 2018 by ACP according to [41] as well as the assessment of adaptation readiness (AR) in 2018 [20]; (2) each of the three dimensions of ACP2018 and each of the five dimensions of AR2018 (Table 1); and (3) the assessment of climate adaptation policies in 2022 (ACP2022) according to [42] and its three individual dimensions. Bootstrapping (1000 samples with simple sampling) was used to calculate confidence intervals of the coefficients in all regressions. Multicollinearity should have been eliminated by the PCA but was also monitored by the variance-inflation-factor (VIF). PCA and regression analyses were performed using IBM SPSS Statistics, version 29.0.2.0, Armonk, NY, USA.
3. Results
3.1. Comparison of the Results of the Three Assessments (ACP2018, ACP2022, AR2018)
The ACP2018 framework allocated 80.5 points to the highest-ranking city (Berlin), and zero points to 25% of the 104 municipalities (mean: 27.7 points). Although a large share of cities (37.5%) received fewer than 10 points, the remaining municipalities are evenly distributed within the score range [41]. Whereas Berlin was still the best ranking city with 80.5 points in 2022, the share of municipalities with zero fell to 12% in ACP2022 and the mean increased by 10 points to 37.8 points [42].
The AR2018 allocated 67 points to highest-scoring city (Bremen), and only three municipalities received no points. The cities are evenly distributed in the score range between 0 and 67 [20].
It should be noted that the outcomes of all three assessments are highly correlated, with Pearson coefficients of r = 0.877 for ACP2018 and AR2018, r = 0.841 for ACP2018 and ACP2022, and r = 0.785 for ACP2022 and AR2018.
The top 15 cities in the ACP2018 and AR2018 approaches were very similar: most cities that scored highly against one framework also did well in the other assessment. Further down the scale, however, the difference between ACP2018 and AR2018 appears to be greater, and at the lower end of the ranking, many cities receive points in the AR2018 ranking but either none or very few in the ACP2018 ranking. The main reason for this is that the ACP2018 approach is highly dependent on the existence and contents of an adaptation plan. Thus, cities without such a strategy cannot score in two of the three dimensions of this approach, while the approach AR2018 includes a broader range of indicators (Table 1).
3.2. Results of the Principal Component Analysis (PCA)
The applicability of a PCA is confirmed by a KMO -criterion of 0.689 and by the Bartlett test of sphericity, which is highly significant (p < 0.001), indicating that the correlations between the variables are different from zero. Therefore, a PCA can generally process the data, resulting in five principal components with eigenvalues > 1, explaining about 80% of the total variance. As the screeplot (Figure A1 in the Appendix A) strongly suggests only four principal components, that outcome is further analysed. It still explains about 74% of the total variance of the data. Table 3 presents the eigenvalues of the four components along with the loadings and communalities of all variables. All of the latter exceed 0.5, though the variables assessing the exposure to heavy rainfall perform comparatively poorly, with values below 0.6.
The first component contains high loadings for the cities’ total area and number of inhabitants, the total number of scientific institutions, as well as the number of rainfall events exceeding the severe weather warning threshold and the average proportion of the city’s area that was affected by such severe rainfall events (Table 3). The component thus combines variables that directly describe the size of the city, such as its area or number of inhabitants. This component also contains variables that emerge from the size of a city, like the number of scientific institutions. The rationale for including this variable was that scientific institutions tend to be related to innovations within a municipality and a younger population, possibly more interested in climate adaptation. However, the outcome of the PCA shows that the number of scientific institutions in our sample is related to the city size. This might be because our sample mainly consists of medium and large cities: only ten cities included in our study have neither a university nor a research institution. Similarly, the PCA reveals that the frequency of being affected by heavy rainfall events and the share of the city area affected by heavy rainfall are related to the city size. If we assume that heavy rainfall can happen anywhere, the probability of being affected is higher, the larger the considered area is. To highlight that the first component does not only cover variables that directly measure the size of a city, but also emerging variables, the component is called “city size & scale”.
The second component shows high loadings for population density, the proportion of built-up areas in the city, the proportion of areas used for transport, and the proportion of green spaces (Table 3). As the latter loadings are negative, this component is called “land use & compactness,” implying that high (positive) scores for this component indicate dense urban areas.
The third component shows high loadings for variables related to the cities’ socio-economic status and dynamics and is thus labelled “socio-economics” (Table 3). Next to variables that describe the wealth of a municipality, i.e., GDP per capita and trade tax per city, this component is negatively correlated with the Prognos’ future development score (Prognos Zukunftsatlas®, Prognos AG, Basel, Switzerland [80]). This negative loading is because the best-scoring city for future development receives the rank 1, meaning that the values increase with decreasing city performance. The future development scores are derived from 29 macroeconomic and socio-economic indicators relating to four fields: (1) demographics, (2) employment market, (3) competition and innovation, and (4) prosperity and social welfare. The ranking reflects the current situation within each individual city alongside indicators that point towards its probable development trajectory in future years [80]. Growing cities that have younger populations, innovative employment opportunities and promising economic prospects tend to perform well against these indicators. The share of green voters in the 2017 election matches such criteria.
Finally, the indicators for heat and drought and the mean amount of precipitation during extreme heavy rain events are grouped with high loadings in the fourth component, which is therefore called “regional climate & exposure to extreme weather” (Table 3). Had we decided to include a fifth component (eigenvalue = 1.005), we would have considered the drought index and the total mean heavy precipitation, since both these indicators receive high loadings for that component (Table A3 in the Appendix A). Based on the screeplot (Figure A1 in the Appendix A), however, we decided to limit ourselves to four components. This is further supported by the eigenvalue of component 5, which is close to 1, and the fact that the fourth component also includes some of these variables.
The component scores for each of the 104 cities and each component presented in Table 3 were stored as new variables in the data set and used as independent variables in all regressions.
3.3. Regression Analyses
3.3.1. AR2018 Versus ACP2018—Total Scores
To answer the first research question, we use the results of the AR2018 and ACP2018 assessments as dependent variables. For AR2018, Table 4 reveals that the principal component “land use & compactness” is highly significant, followed by “city size & scale”, which is slightly less significant but has a larger coefficient. “Regional climate & exposure to extreme weather” is slightly significant and has a smaller coefficient, while the component “socio-economics” is not significant. This basic picture remains when the outcome of the ACP2018 approach is taken as dependent variable (Table 4). Both regressions explain around 35% of the data variance. Although the results are broadly similar, it should be noted that ACP2018 is influenced by “city size & scale” to a greater extent (larger coefficient and greater distance to the other coefficients) than AR2018.
Table 4.
Regression coefficients (based on 1000 bootstrap samples) for the two adaptation assessment approaches performed for 2018. Significance is indicated as follows: *** p < 0.001, ** p < 0.01, * p < 0.05, ° p < 0.1. (ACP: Adaptation commitments and plans approach; AR: Adaptation readiness approach).
3.3.2. AR2018 Versus ACP2018—Single Dimensions
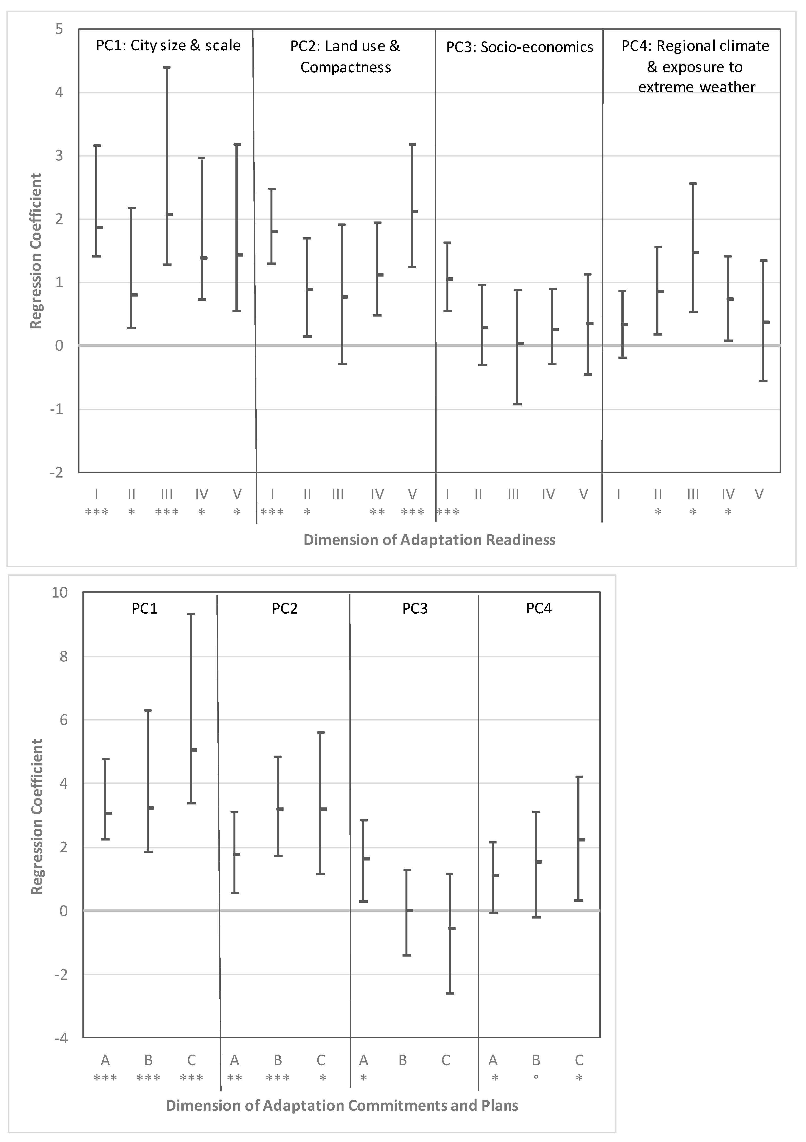
For the second research question, we used the individual dimensions of the assessment approaches in the regression analysis as dependent variable in a step-by-step process. Figure 3 summarises the results for the five dimensions of AR2018 and the three dimensions of ACP2018. Table A4 in the Appendix A shows that the explanatory power of the regression (R2) ranges from around 11% for dimension II (institutional organisation) to almost 50% for dimension I (local political leadership) for the AR2018 approach. Further, the influence of the four principal components differs. While the component “city size & scale” receives significant coefficients for all five dimensions, particularly for dimensions I and III (III: adaptation decision-making), the component “land use & compactness” is highly significant for dimensions I and V (V: implemented measures), but not significant for dimension III. The component “regional climate & exposure to extreme weather” shows significant coefficients for dimensions II, III, and IV (IV: availability of usable science), while the factor “socio-economics” is only significant for dimension I.
Figure 3.
Regression coefficients with confidence intervals derived from 1000 bootstrap samples for the five dimensions of the adaptation readiness approach (AR2018 at the (top); I Local political leadership; II Institutional organization; III Adaptation decision making; IV Availability of usable science; V Implemented measures) and the three dimensions of the adaptation commitments and plans approach (ACP2018 at the (bottom); A Commitment; B Plans; C Ambitions) as dependent variables and the factor scores of the four principal components as independent variables. See Table 1 for the meaning of the dimensions. Significance is indicated as follows: *** p < 0.001, ** p < 0.01, * p < 0.05, ° p < 0.1.
Concerning the three dimensions of ACP2018, the explained variance per dimension is around 26% to 28% (Table 5) and thus more similar than for the AR. The component “city size & scale” is highly significant for all three dimensions (Figure 3), particularly for dimension C (ambitions, considering the breadth of planned measures in the plans). At the same time, the factor “land use & compactness” is particularly important for dimension B (existence of plans), though it is still significant for all three dimensions. The component “regional climate & exposure to extreme weather” shows the most importance for dimension C and the lowest for dimension B. As with AR2018, the socio-economic component is only significant for dimension A (commitment). Here, indicators such as participation in a city network or competitions overlap in both approaches (Table 1).
Table 5.
Regression coefficients (based on 1000 bootstrap samples) for the three dimensions of the adaptation commitments and plans approach in 2018 (ACP2018) and 2022 (ACP2022); Dimension A Commitment; Dimension B Plans; Dimension C Ambitions; Significance is indicated as follows: *** p < 0.001, ** p < 0.01, * p < 0.05, ° p < 0.1.
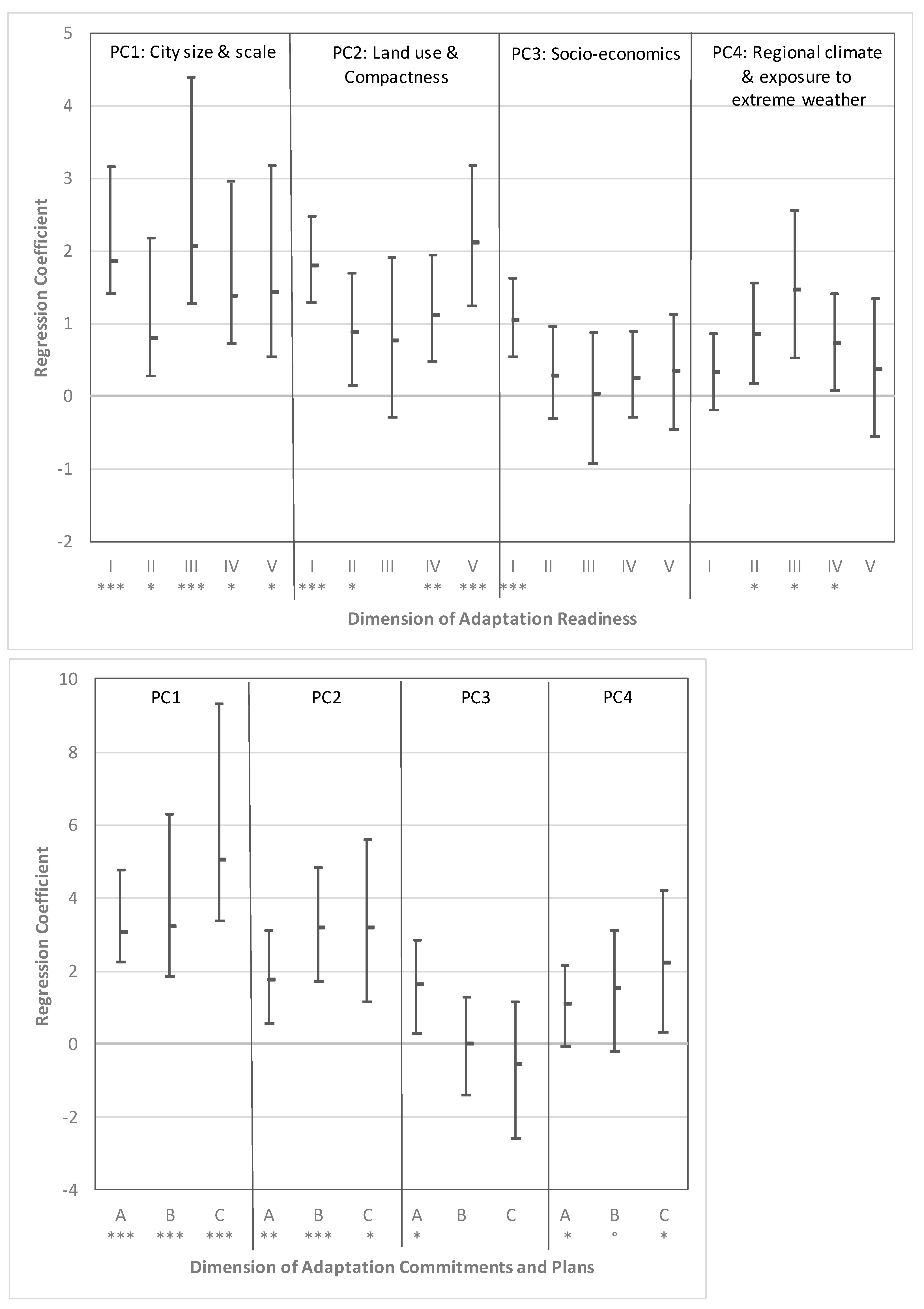
3.3.3. ACP2018 Versus ACP2022
For the third research question, we analysed the changing influence of the components in the ACP between 2018 and 2022 (Table 5). Overall, the explanatory power of the regression decreased by 2022 to 30% for the total outcome and 14% for dimension C (ambition). In particular, the component “regional climate & exposure to extreme weather” is no longer significant, and the significance and the coefficient of “city size & scale” decrease. Other outcomes stay more robust.
4. Discussion
In this article, we analyse the influence of various factors on municipal adaptation to climate change. These factors were grouped into four principal components—“city size & scale”, “land use & compactness”, “socio-economics”, and “regional climate & exposure to extreme weather”—and we drew on data from two adaptation assessment approaches and their respective dimensions, which were conducted over two points in time for 104 German cities. The regression analysis reveals that the components “city size & scale” and, to a lesser extent, “land use & compactness” are highly significant predictors in both assessment approaches, with their influence being particularly pronounced in the ACP. This finding aligns with previous research indicating that larger cities tend to be more active in climate adaptation [4,45,47,48,54,58]. Larger cities typically possess more specialised administrative structures and staff and more resources than smaller municipalities, which helps to facilitate adaptation activities [20,48,58,85]. Kammerer and Zeigermann [57] demonstrate that cities have higher odds of receiving funding from Germany’s leading adaptation funding scheme compared to rural areas, which consequently affects the availability of resources and staffing in ways that favour larger cities. In addition, cities and particular more compact and sealed areas might have felt the impacts of climate change already more intensely as the number of heavy rainfall events suggests and thus local politics, administrations and population might be more motivated to take action. The fourth component reflects the regional climate as well as exposure to extreme weather events, such as heat waves and pluvial flooding, and contributes positively to adaptation. However, the explanatory power of this component is less pronounced than that of “city size & scale” or “land use & compactness”. Several studies have shown the role of extreme weather events in spurring adaptation activities [32,47,49,55,60,61], though other studies have found no significant relationship [27]. A further reason could be that the climate differences in Germany are not that large as shown in Figure 2B,C. Moreover, a Germany-wide climate impact and risk analysis [76] indicated that all areas of Germany are likely to be affected by climate change impacts. To further account for regional differences such as the influence of the federal states our sample is too small and not evenly distributed (Figure 2A) in contrast to Kammerer and Zeigermann [57] who found regional differences.
Contrary to other studies’ findings [47,57,86], socio-economic factors were not significant predictors in either approach. However, it is important to note that various socio-economic variables show ambiguous results in the literature (see Section 1.2). It may be the case that funding from the German federal government for adaptation plans and measures [3] has mitigated economic constraints, although some municipalities find it easier to access this funding than others [57,85]. Further research is needed to determine whether this pattern is Germany-specific.
Examining the influence of these components on individual dimensions within ACP2018 (three dimensions) and AR2018 (five dimensions) reveals nuanced patterns which offer some insights that might reflect the different phases of the adaptation policy cycle. “City size & scale” consistently emerges as a significant predictor across all dimensions. Notably, it explains a substantial proportion of variance in the ambitions (A) dimension of ACP2018 and the decision making dimension (III) of AR2018, both of which relate to the breadth of planned measures in the adaptation plans. This may reflect the greater availability of specialised personnel and expertise in larger cities to plan and implement diverse adaptation policies [87]. Furthermore, larger cities typically encompass more sectors and infrastructure, increasing the range of potential climate impacts that they need to address, even when exposure levels are comparable. “City size & scale” also significantly influences the political will dimension (I) within the AR, including network membership, participation in competitions, and parliamentary discourse. Big cities may have greater capacities and motivation to engage in international exchanges and to introduce innovative measures that increase their visibility at national and international levels. At the same time, participation in international networks dominated by large frontrunner cities may offer limited insights for small and medium-sized cities, which might find greater value in connecting with more comparable peers through national or regional networks [88].
The component “land use & compactness” is highly related to dimension B, i.e., the publication and updating of adaptation plans in ACP2018, as well as the dimension V (implementation of measures) in the AR. This suggests that cities with densely built-up areas and limited green space may be trying to adapt more urgently than others. Future research could investigate whether such compact cities are disproportionately more likely to introduce measures such as nature-based solutions and examine how and why these might represent synergies with, e.g., well-being and climate mitigation. Socio-economic factors do not show significant coefficients with the individual dimensions, except for a marginal influence on dimension A (commitment) in ACP2018 and a significant coefficient for dimension I (local political leadership) in AR2018. These reflect their participation in international networks, nationwide competitions, and certification programmes, and the resource demands—financial and temporal—required for such engagement. Contrary to our expectations, socio-economic factors did not exert much influence on dimension V (implementing measures) in AR2018. One reason might be that national, state or EU funding in Germany often supports climate policy implementation [87]. Additionally, we did not distinguish between the costs of individual adaptation measures, treating inexpensive and costly actions equivalently. Future studies that categorise measures by cost or type could generate more insightful findings.
“Regional climate & exposure to extreme weather” significantly contributes to the breadth of measures included in adaptation plans (the ambitions dimension C in ACP2018 and decision making dimension III in AR2018) but does not explain plan establishment very well. Experience of extreme weather events may function as ‘windows of opportunity’, which heighten urgency and increase willingness to act [70]. Indeed, survey studies indicate that experiencing impacts from extreme weather events is very important in mobilising adaptation activity [87,89]. Extreme weather events may also highlight vulnerabilities to local decision-makers and encourage them to extend the coverage of adaptation plans. This suggests that where cities have experienced fewer and less severe climate impacts, they need to strengthen precautionary adaptation planning by referring to local projections and to comparable municipalities which already experienced more intense climate impacts. “Regional climate & exposure to extreme weather” also explains the institutionalisation dimension (II) in the AR to some extent, such as the presence of plans and climate committees and knowledge generation through exposure mapping and pilot projects. Nonetheless, it does not explain the implementation of measures in AR2018 (dimension V). We need more studies into the drivers of these patterns of adaptation activity, because we expect that more exposed cities will need to be much more active in preparing and protecting their populations and infrastructures.
Comparing the ACP for 2018 and 2022 reveals that the influence of “city size & scale” and “regional climate & exposure to extreme weather” on the dimension C (ambitions) diminishes over time. This potentially reflects the diffusion, learning and professionalisation of adaptation policies and processes, because newer plans in our sample often incorporate a wider range of measures. This trend may indicate a shift towards more precautionary and proactive rather than reactive planning. Reckien et al. [5] also show that the quality of adaptation plans has improved over time. In addition, the role of “socio-economics” on the dimension A (commitment) is much stronger in 2022 than in 2018, while the influence of “land use & compactness” decreases slightly across all three dimensions in 2022 compared to 2018.
This study provides valuable insights into the multifaceted and dynamic factors influencing municipal climate adaptation; however, several limitations should be acknowledged. Most importantly, the conceptual frameworks and data involved in the two adaptation assessment approaches, as well as the influencing factors that we selected, shaped our empirical findings. Both approaches have indicators that overlap to some extent and, thus, are not inherently distinct. Furthermore, they are mainly limited to examining adaptation planning and implementation, restricting our ability to assess critical aspects such as the quality, effectiveness and outcomes of implemented policies. While our analysis reveals correlations and explains data variance, it does not establish causal relationships. Additionally, the focus on large and medium-sized German cities limits the generalizability of the results to smaller municipalities or other national and international contexts, particularly as other countries might not have the same level of funding available for local adaptation planning and implementation. Addressing these issues requires further research with a larger and international sample. In addition to broadening the sample, there is a need for more studies assessing and explaining municipal adaptation that go beyond snapshots at a single point in time. Longitudinal studies—whether based on the analysis of adaptation plans or reports, surveys, interviews, or other methods—are required to trace changes and developments over time, thereby providing deeper insights into dynamic processes. Moreover, more differentiated and tailored forms of support may be necessary, since, first, different stages of adaptation such as planning, implementation, and evaluation are influenced by partly different factors, and second, smaller cities (or even rural areas) have so far been less active and face different preconditions and impacts than larger municipalities. Finally, the question of how long-term implementation and related learning and improving of climate adaptation can be ensured, particularly in the absence of local extreme weather events and impacts, remains a crucial issue for both research and practice.
5. Conclusions
Based on two assessment approaches, we analysed factors that influence municipal adaptation to climate change impacts. We found that larger, more densely built, and more exposed cities are more active in climate adaptation. At the same time, socio-economic factors appear less influential, potentially because German municipalities can often access funding from higher levels of government. The four factors (i.e., “city size & scale”, “land use & compactness”, “socio-economics” and “regional climate & exposure to extreme weather”) that we derived by a principal component analysis, and which we operationalised through 17 influencing variables, affect the various dimensions of the adaptation assessment approaches to different degrees—although it is notable that the influence of “city size & scale” is consistently significant across all dimensions in adaptation assessment approaches. The ACP mainly addresses the planning phase in the adaptation policy cycle, while AR2018 also relates to assessing climate risks and the implementation phase. While the planning phase is influenced by all four factors, including “socio-economics”, implementation is mainly influenced by variables describing “land use & compactness” of cities. In addition, the predictive power of “city size & scale” and “regional climate & exposure to extreme weather” decreased between 2018 and 2022, and we can expect a further decline at least for mid-sized cities, as climate adaptation planning progressively diffuses across German cities due to a change in federal law and the availability of funding from higher tiers of government. Further research should examine the underlying mechanisms that drive these dynamics and assess the outcomes and impacts of implemented adaptation measures.
Supplementary Materials
The following supporting information can be downloaded at: https://www.mdpi.com/article/10.3390/su17219826/s1. The supplementary material provides an overview of the data and the sources of the influencing factors (independent variables). Further details on data used for the two assessment approaches can be retrieved from https://doi.org/10.1007/s10584-021-03142-9 (accessed on 28 October 2025), https://doi.org/10.1007/s10584-021-03142-9 (accessed on 28 October 2025), and https://doi.org/10.1007/s11027-025-10218-9 (accessed on 28 October 2025).
Author Contributions
Conceptualisation, A.O. and A.H.T.; methodology, A.O., L.D. and A.H.T.; formal analysis, A.O., L.D. and A.H.T.; data curation, A.O., L.D. and A.H.T.; project administration, A.O. and A.H.T.; writing—original draft preparation, A.O., A.H.T.; writing—review and editing, A.O., L.D. and A.H.T.; visualisation, A.O. and A.H.T.; funding acquisition, A.H.T. All authors have read and agreed to the published version of the manuscript.
Funding
This research was developed within the framework of the joint research project “Urban resilience against extreme weather events—typologies and transfer of adaptation strategies in small metropolises and medium-sized cities” (ExTrass) and the follow-up project ExTrass-V, both funded by Germany’s Federal Ministry of Education and Research (BMBF, FKZ 01LR1709A1; FKZ 01LR2014A) and the European Union NextGenerationEU.
Data Availability Statement
The original contributions presented in this study are included in the Supplementary Materials as well as in https://doi.org/10.1007/s10584-021-03142-9 (accessed on 28 October 2025), https://doi.org/10.1007/s10584-021-03142-9 (accessed on 28 October 2025), and https://doi.org/10.1007/s11027-025-10218-9 (accessed on 28 October 2025). Further inquiries can be directed to the corresponding author.
Acknowledgments
We gratefully acknowledge Kristine Kern (who sadly passed away before the completion of this work), Wolfgang Haupt, and Stefan Langer (Leibniz Institute for Research on Society and Space, IRS), as well as Linda Krummenauer (Potsdam Institute for Climate Impact Research, PIK) for their valuable support in researching and providing data relating to several independent variables. We also sincerely thank the German Weather Service (DWD) for conducting a tailored analysis of the CatRaRe database for all 104 cities and are particularly grateful to Ewelina Walawender and Katharina Lengfeld for their assistance. We also thank Peter Eckersley (Nottingham Trent University, UK) for his comments and suggestions to an earlier draft.
Conflicts of Interest
The authors declare no conflicts of interest. The funders had no role in the design of the study; in the collection, analysis, or interpretation of data; in the writing of the manuscript; or in the decision to publish the results.
Abbreviations
The following abbreviations are used in this manuscript:
| PCA | Principal component analysis |
| ACP | Adaptation commitment and plan approach |
| AR | Adaptation readiness approach |
| CatRaRE | Catalogues of heavy precipitation events |
| DWD | German Weather Service |
| GDP | Gross domestic product |
| MMT | Minimum Mortality Temperature |
Appendix A
Table A1.
Overview of data sources and examples of use in the literature of considered independent variables or potentially influencing factors.
Table A1.
Overview of data sources and examples of use in the literature of considered independent variables or potentially influencing factors.
| Name of the Independent Variable | Brief Description and Calculation | Data Source | Examples of Literature Using (Similar) Variables |
|---|---|---|---|
| Institutional domain | |||
| Adaptation at the federal state level | Adaptation performance in Germany’s 16 federal states according to [79] | [79] | [6,55] |
| County affiliation | Is the city affiliated with a county? | Federal and State Statistical Offices 1, data from 2017 | [6] |
| Green voters | Votes for the Green Party in the 2017 election of the German Bundestag | Federal and State Statistical Offices 1, data from 2017 | [48,59] |
| Socio-economic domain | |||
| City area | Administrative area of the city | German Federal Statistical Office 2, data from 2017 | |
| Inhabitants | Number of people living in the city as of 31 December 2017 | German Federal Statistical Office 2, data from 2017 | [4,27,45,49,54,89] |
| Population density | Number of people as of 31 Dec. 2017 per km2 of the total city area | Federal and state statistical offices 1, data from 2017 | [27,54] |
| Population density in built-up areas | Number of people as of 31 Dec. 2017 per km2 of the built-up area according to the Urban Atlas3 | Own calculation | |
| GDP per capita | Gross domestic product (GDP) per capita in the municipality as of 2016 | Federal and state statistical offices 1, data from 2016 | [54] |
| Debts per capita | Municipal debt per capita as of 2016 | Federal and state statistical offices 1, data from 2016 | [48] |
| Trade tax per capita | Municipal trade tax per capita as of 2015 | Federal and state statistical offices 1, data from 2015 | [48] |
| Scientific institutions | Number of (applied) universities and research institutes | Own search (data provided by Leibniz Institute for Research on Society and Space (IRS)) | Access to external expertise [90] |
| Future development score | Index for assessing the future development potential of cities and counties based on 29 socio-economic indicators and their dynamics; the best city receives the value 1 [80] | Ref. [80], data from 2019 | Similar indices such as the Smart City Index: [54] |
| World Heritage | Has the (inner) city been declared a World Heritage site? | Own search (data provided by Leibniz Institute for Research on Society and Space (IRS)) | [91] |
| Environmental domain | |||
| Built-up area | Share of municipality’s territory that was built-up in 2018 | Urban atlas 3 and own calculation in ArcGIS | |
| Traffic area | Share of the municipality’s territory that was taken up by roads and traffic infrastructure in 2018 | Urban atlas 3 and own calculation in ArcGIS | |
| Green space | Share of the municipality’s territory taken up by green space in 2018 | Urban atlas 3 and own calculation in ArcGIS | [54] |
| Water space | Share of the municipality’s territory take up by water in 2018 | Urban atlas 3 and own calculation in ArcGIS | |
| Tmean August | Areal mean of the monthly temperature in August from 2000 to 2020 | Ref. [92] and own calculation in ArcGIS | [54] |
| Drought index | Areal mean of the annual de Martonne drought index from 2000 to 2020 | Ref. [93] and own calculation in ArcGIS | Average change in drought over the last 10 years: [55] |
| MMT | Minimum Mortality Temperature, i.e., the temperature at which the mortality rate is the lowest as estimated in a non-linear regression by [81] | Ref. [81] for cities >100,000 inhabitants and data provision by personal communication for cities <100,000 inhabitants | Average change in temperature over the last 10 years: [55] |
| Number of heavy rain events | Number of heavy rain events between 2000 and 2020 that triggered a severe weather warning (warning level ≥ 3), based on [82,83] | Personal communication with DWD, analysis based on the CatRaRE-catalogue [82,83] | Experience with severe weather and hazard events: [27,49,54,61,62,94] |
| Mean heavy precipitation total | Average amount of precipitation for all heavy rain events, based on [82,83] | Analysis based on the Cat-RaRE-catalogue [82,83] | |
| Total affected area | Total sum of the areas affected across all heavy rain events relevant for the municipality, based on [82,83] | ||
| Mean maximum precipitation | Mean maximum precipitation of all heavy rain events, based on [82,83] | ||
| Average share of rainfall–affected area | Total area affected by all heavy rainfall events divided by the area of the city, based on [82,83] | ||
| Heavy rain indicator | Product of the mean maximum precipitation and the average proportion of urban area affected, based on [82,83] | ||
1: www.statistikportal.de, accessed on 23 July 2025; 2: www.destatis.de, accessed on 23 July 2025; 3: Urban Atlas Land Cover/Land Use 2018 (vector), Europe, 6-yearly, Jul. 2021 (europa.eu, accessed on 23 July 2025), data available via https://land.copernicus.eu/en/products/urban-atlas, accessed on 23 July 2025.
Figure A1.
Screeplot of the PCA with the 17 remaining variables suggesting that four components capture the main variability of the data.
Figure A1.
Screeplot of the PCA with the 17 remaining variables suggesting that four components capture the main variability of the data.

Table A2.
Correlation matrix of all 17 independent variables considered in the Principal Component Analysis (Spearman Rho) Significance is indicated as follows: ** p < 0.01, * p < 0.05.
Table A2.
Correlation matrix of all 17 independent variables considered in the Principal Component Analysis (Spearman Rho) Significance is indicated as follows: ** p < 0.01, * p < 0.05.
| Variable Name | 1 | 2 | 3 | 4 | 5 | 6 | 7 | 8 | 9 | 10 | 11 | 12 | 13 | 14 | 15 | 16 | |
|---|---|---|---|---|---|---|---|---|---|---|---|---|---|---|---|---|---|
| 1 | City area | -- | |||||||||||||||
| 2 | Inhabitants | 0.640 ** | -- | ||||||||||||||
| 3 | Population density | 0.002 | 0.689 ** | -- | |||||||||||||
| 4 | GDP per capita | 0.007 | 0.098 | 0.153 | -- | ||||||||||||
| 5 | Trade tax per capita | 0.019 | 0.222 * | 0.286 ** | 0.815 ** | -- | |||||||||||
| 6 | Number of scientific institutions | 0.566 ** | 0.670 ** | 0.356 ** | 0.324 ** | 0.361 ** | -- | ||||||||||
| 7 | Green voters [%] | 0.057 | 0.368 ** | 0.430 ** | 0.557 ** | 0.523 ** | 0.544 ** | -- | |||||||||
| 8 | Future development score | 0.001 | −0.181 | −0.245 * | −0.779 ** | −0.705 ** | −0.402 ** | −0.648 ** | -- | ||||||||
| 9 | Built-up area [%] | −0.038 | 0.548 ** | 0.820 ** | −0.034 | 0.068 | 0.196 * | 0.201 * | −0.016 | -- | |||||||
| 10 | Traffic area [%] | 0.046 | 0.649 ** | 0.874 ** | 0.115 | 0.223 * | 0.341 ** | 0.279 ** | −0.116 | 0.864 ** | -- | ||||||
| 11 | Green space [%] | 0.079 | −0.415 ** | −0.701 ** | −0.062 | −0.088 | −0.079 | −0.112 | −0.114 | −0.808 ** | −0.745 ** | -- | |||||
| 12 | Mean temperature in August | 0.063 | 0.122 | 0.208 * | 0.148 | 0.154 | 0.17 | 0.003 | −0.250 * | 0.023 | 0.260 ** | 0.01 | -- | ||||
| 13 | Drought index | −0.18 | −0.043 | 0.047 | −0.034 | 0.035 | −0.223 * | 0.095 | 0.058 | 0.115 | −0.045 | −0.1 | −0.629 ** | -- | |||
| 14 | Minimum mortality temperature | 0.229 * | 0.255 ** | 0.246 * | −0.141 | −0.046 | 0.049 | −0.101 | 0.027 | 0.18 | 0.323 ** | −0.123 | 0.692 ** | −0.433 ** | -- | ||
| 15 | Number of heavy rain events | 0.515 ** | 0.359 ** | 0.061 | 0.210 * | 0.219 * | 0.370 ** | 0.232 * | −0.303 ** | −0.165 | −0.067 | 0.224 * | 0.123 | 0.1 | 0.059 | -- | |
| 16 | Mean heavy precipitation total | −0.222 * | −0.294 ** | −0.164 | −0.045 | −0.113 | −0.250 * | 0.057 | −0.031 | −0.086 | −0.233 * | 0.19 | −0.386 ** | 0.454 ** | −0.280 ** | −0.066 | -- |
| 17 | Mean share of rainfall-affected area in the city | 0.773 ** | 0.533 ** | 0.023 | −0.091 | −0.102 | 0.391 ** | 0.07 | 0.055 | 0.036 | 0.057 | 0.032 | −0.089 | 0.023 | 0.178 | 0.341 ** | 0.091 |
Table A3.
Rotated matrix for five principal components with factor loadings and the communalities of all variables.
Table A3.
Rotated matrix for five principal components with factor loadings and the communalities of all variables.
| Eigenvalue | 5.185 | 2.637 | 2.416 | 2.304 | 1.005 | |
|---|---|---|---|---|---|---|
| Variables (details in Table 2) | PC1 | PC2 | PC3 | PC4 | PC5 | Communality h |
| City area | 0.935 | 0.064 | −0.029 | 0.021 | −0.204 | 0.922 |
| Inhabitants | 0.856 | 0.383 | 0.122 | 0.012 | −0.141 | 0.913 |
| Population density | 0.312 | 0.838 | 0.268 | 0.126 | 0.038 | 0.890 |
| GDP per capita | −0.046 | −0.070 | 0.797 | −0.056 | −0.223 | 0.695 |
| Trade tax per capita | 0.041 | 0.229 | 0.799 | −0.002 | −0.159 | 0.718 |
| Number of scientific institutions | 0.857 | 0.239 | 0.204 | 0.089 | −0.138 | 0.860 |
| Green voters [%] | 0.263 | 0.202 | 0.667 | 0.016 | 0.297 | 0.644 |
| Future development score | −0.115 | 0.042 | −0.871 | −0.142 | −0.157 | 0.819 |
| Built-up area [%] | 0.051 | 0.903 | −0.064 | 0.097 | 0.048 | 0.835 |
| Traffic area [%] | 0.099 | 0.874 | 0.177 | 0.291 | −0.010 | 0.890 |
| Green space [%] | 0.001 | −0.830 | 0.039 | 0.240 | 0.252 | 0.812 |
| Mean temperature in August | 0.015 | 0.061 | 0.211 | 0.860 | −0.296 | 0.875 |
| Drought index | 0.001 | 0.018 | 0.009 | −0.529 | 0.704 | 0.776 |
| Minimum mortality temperature (MMT) | 0.114 | 0.138 | −0.106 | 0.880 | −0.135 | 0.836 |
| Number of heavy rain events | 0.750 | −0.021 | 0.283 | −0.017 | 0.129 | 0.661 |
| Mean heavy precipitation total | −0.119 | −0.121 | −0.040 | −0.221 | 0.843 | 0.789 |
| Mean share of rainfall-affected area in the city | 0.748 | −0.068 | −0.146 | 0.089 | 0.145 | 0.614 |
| Explained variance | 79.686 | |||||
Loadings lower than −0.5 or higher than 0.5 are highlighted in bold.
Table A4.
Regression coefficients (based on 1000 bootstrap samples) for the five dimensions of the adaptation readiness approach performed for 2018 (AR2018; (I Local political leadership; II Institutional organization; III Adaptation decision making; IV Availability of usable science; V Implemented measures)). Significance is indicated as follows: *** p < 0.001, ** p < 0.01, * p < 0.05, ° p < 0.1.
Table A4.
Regression coefficients (based on 1000 bootstrap samples) for the five dimensions of the adaptation readiness approach performed for 2018 (AR2018; (I Local political leadership; II Institutional organization; III Adaptation decision making; IV Availability of usable science; V Implemented measures)). Significance is indicated as follows: *** p < 0.001, ** p < 0.01, * p < 0.05, ° p < 0.1.
| Dependent Variable | ||||||
|---|---|---|---|---|---|---|
| Independent Variables | AR2018 | Dimension I | Dimension II | Dimension III | Dimension IV | Dimension V |
| City size & scale | 7.523 ** | 1.869 *** | 0.793 * | 2.057 *** | 1.372 * | 1.432 * |
| Land use & compactness | 6.640 *** | 1.791 *** | 0.878 * | 0.754 | 1.112 ** | 2.105 *** |
| Socio-economics | 1.975 | 1.053 *** | 0.284 | 0.033 | 0.253 | 0.353 |
| Regional climate & exposure to extreme weather | 3.725 * | 0.329 | 0.840 * | 1.469 * | 0.732 * | 0.355 |
| Constant | 30.695 *** | 5.115 *** | 5.212 *** | 7.868 *** | 5.865 *** | 6.635 *** |
| Corrected R2 | 0.359 | 0.491 | 0.112 | 0.193 | 0.215 | 0.251 |
References
- Dodman, D.; Hayward, B.; Pelling, M.; Castan Broto, V.; Chow, W.; Chu, E.; Dawson, R.; Khirfan, L.; McPhearson, T.; Prakash, A.; et al. Cities, Settlements and Key Infrastructure. In Climate Change 2022: Impacts, Adaptation and Vulnerability. Contribution of Working Group II to the Sixth Assessment Report of the Intergovernmental Panel on Climate Change; Pörtner, H.-O., Roberts, D.C., Tignor, M., Poloczanska, E.S., Mintenbeck, K., Alegría, A., Craig, M., Langsdorf, S., Löschke, S., Möller, V., et al., Eds.; Cambridge University Press: Cambridge, UK; New York, NY, USA, 2022; pp. 907–1040. [Google Scholar]
- Davoudi, S.; Crawford, J.; Mehmood, A. Planning for Climate Change: Strategies for Mitigation and Adaptation for Spatial Planners; Earthscan: London, UK; Sterling, VA, USA, 2009. [Google Scholar]
- Kern, K.; Eckersley, P.; Haupt, W. Diffusion and Upscaling of Municipal Climate Mitigation and Adaptation Strategies in Germany. Reg. Environ. Change 2023, 23, 28. [Google Scholar] [CrossRef]
- Reckien, D.; Salvia, M.; Heidrich, O.; Marco, J.; Pietrapertosa, F.; De Gregorio-hurtado, S.; Alonzo, V.D.; Orru, H.; Orru, K.; Foley, A.; et al. How Are Cities Planning to Respond to Climate Change? Assessment of Local Climate Plans from 885 Cities in the EU-28. J. Clean. Prod. 2018, 191, 207–219. [Google Scholar] [CrossRef]
- Reckien, D.; Buzasi, A.; Olazabal, M.; Spyridaki, N.; Eckersley, P.; Simoes, G. Quality of Urban Climate Adaptation Plans over Time. Urban Sustain. 2023, 3, 13. [Google Scholar] [CrossRef]
- van der Heijden, J. Studying Urban Climate Governance: Where to Begin, What to Look for, and How to Make a Meaningful Contribution to Scholarship and Practice. Earth Syst. Gov. 2019, 1, 100005. [Google Scholar] [CrossRef]
- Eisenack, K.; Moser, S.C.; Hoffmann, E.; Klein, R.J.T.; Oberlack, C.; Pechan, A.; Rotter, M.; Termeer, C.J.A.M. Explaining and Overcoming Barriers to Climate Change Adaptation. Nat. Clim. Change 2014, 4, 867–872. [Google Scholar] [CrossRef]
- Ford, J.D.; Berrang-Ford, L.; Lesnikowski, A.C. How to Track Adaptation to Climate Change: A Typology of Approaches for National-Level Application. Ecol. Soc. 2013, 18, 40. [Google Scholar] [CrossRef]
- Olazabal, M.; Galarraga, I.; Ford, J.; Sainz De Murieta, E.; Lesnikowski, A. Are Local Climate Adaptation Policies Credible? A Conceptual and Operational Assessment Framework. Int. J. Urban Sustain. Dev. 2019, 11, 277–296. [Google Scholar] [CrossRef]
- Berrang-Ford, L.; Biesbroek, R.; Ford, J.D.; Lesnikowski, A.; Tanabe, A.; Wang, F.M.; Chen, C.; Hsu, A.; Hellmann, J.J.; Pringle, P.; et al. Tracking Global Climate Change Adaptation among Governments. Nat. Clim. Change 2019, 9, 440–449. [Google Scholar] [CrossRef]
- Berrang-Ford, L.; Siders, A.R.; Lesnikowski, A.; Fischer, A.P.; Callaghan, M.W.; Haddaway, N.R.; Mach, K.J.; Araos, M.; Shah, M.A.R.; Wannewitz, M.; et al. A Systematic Global Stocktake of Evidence on Human Adaptation to Climate Change. Nat. Clim. Change 2021, 11, 989–1000. [Google Scholar] [CrossRef]
- Biesbroek, G.R.; Berrang-Ford, L.; Ford, J.D.; Tanabe, A.; Austin, S.E.; Lesnikowski, A. Data, Concepts and Methods for Large-n Comparative Climate Change Adaptation Policy Research: A Systematic Literature Review. Wires Clim. Change 2018, 9, e548. [Google Scholar] [CrossRef]
- Dupuis, J.; Biesbroek, R. Comparing Apples and Oranges: The Dependent Variable Problem in Comparing and Evaluating Climate Change Adaptation Policies. Glob. Environ. Change 2013, 23, 1476–1487. [Google Scholar] [CrossRef]
- Ford, J.D.; Berrang-Ford, L.; Biesbroek, R.; Araos, M.; Austin, S.E.; Lesnikowski, A. Adaptation Tracking for a Post-2015 Climate Agreement. Nat. Clim. Change 2015, 5, 967–969. [Google Scholar] [CrossRef]
- Goonesekera, S.M.; Olazabal, M. Climate Adaptation Indicators and Metrics: State of Local Policy Practice. Ecol. Indic. 2022, 145, 109657. [Google Scholar] [CrossRef]
- Jacob, J.; Valois, P.; Tessier, M. Development and Validation of an Index to Measure Progress in Adaptation to Climate Change at the Municipal Level. Ecol. Indic. 2022, 135, 108537. [Google Scholar] [CrossRef]
- IPCC—Intergovernmental Panel on Climate Change Impacts, Adaptation, and Vulnerability. Contribution of Working Group II to the Sixth Assessment Report of the Intergovernmental Panel on Climate Change; Pörtner, H.-O., Roberts, D.C., Tignor, M., Poloczanska, E.S., Mintenbeck, K., Alegría, A., Craig, M., Langsdorf, S., Löschke, S., Möller, V., et al., Eds.; Cambridge University Press: Cambridge, UK; New York, NY, USA, 2022. [Google Scholar]
- Tompkins, E.L.; Vincent, K.; Nicholls, R.J.; Suckall, N. Documenting the State of Adaptation for the Global Stocktake of the Paris Agreement. WIREs Clim. Change 2018, 9, e545. [Google Scholar] [CrossRef]
- OECD. Measuring Progress in Adapting to a Changing Climate: Insights from OECD Countries; OECD Publishing: Paris, France, 2024. [Google Scholar]
- Otto, A.; Göpfert, C.; Thieken, A.H. Are Cities Prepared for Climate Change? An Analysis of Adaptation Readiness in 104 German Cities. Mitig. Adapt. Strateg. Glob. Change 2021, 26, 35. [Google Scholar] [CrossRef]
- Buzási, A.; Simoes, S.G.; Salvia, M.; Eckersley, P.; Geneletti, D.; Pietrapertosa, F.; Olazabal, M.; Wejs, A.; De Gregorio Hurtado, S.; Spyridaki, N.-A.; et al. European Patterns of Local Adaptation Planning—A Regional Analysis. Reg. Environ. Change 2024, 24, 59. [Google Scholar] [CrossRef]
- Reckien, D.; Buzasi, A.; Olazabal, M.; Fokaides, P.; Pietrapertosa, F.; Eckersley, P.; Salvia, M. Explaining the Adaptation Gap through Consistency in Adaptation Planning. Nat. Clim. Change 2025, 15, 614–618. [Google Scholar] [CrossRef]
- Aboagye, P.D.; Sharifi, A. Post-Fifth Assessment Report Urban Climate Planning: Lessons from 278 Urban Climate Action Plans Released from 2015 to 2022. Urban Clim. 2023, 49, 101550. [Google Scholar] [CrossRef]
- Aguiar, F.C.; Bentz, J.; Silva, J.M.N.; Fonseca, A.L.; Swart, R.; Santos, F.D.; Penha-Lopes, G. Adaptation to Climate Change at Local Level in Europe: An Overview. Environ. Sci. Policy 2018, 86, 38–63. [Google Scholar] [CrossRef]
- Baker, I.; Peterson, A.; Brown, G.; McAlpine, C. Local Government Response to the Impacts of Climate Change: An Evaluation of Local Climate Adaptation Plans. Landsc. Urban Plan. 2012, 107, 127–136. [Google Scholar] [CrossRef]
- Geneletti, D.; Zardo, L. Ecosystem-Based Adaptation in Cities: An Analysis of European Urban Climate Adaptation Plans. Land Use Policy 2016, 50, 38–47. [Google Scholar] [CrossRef]
- Heidrich, O.; Dawson, R.J.; Reckien, D.; Walsh, C.L. Assessment of the Climate Preparedness of 30 Urban Areas in the UK. Clim. Change 2013, 120, 771–784. [Google Scholar] [CrossRef]
- Hughes, S. A Meta-Analysis of Urban Climate Change Adaptation Planning in the U.S. Urban Clim. 2015, 14, 17–29. [Google Scholar] [CrossRef]
- Lee, T.; Hughes, S. Perceptions of Urban Climate Hazards and Their Effects on Adaptation Agendas. Mitig. Adapt. Strateg. Glob. Change 2017, 22, 761–776. [Google Scholar] [CrossRef]
- Lioubimtseva, E.; da Cunha, C. Local Climate Change Adaptation Plans in the US and France: Comparison and Lessons Learned in 2007–2017. Urban Clim. 2020, 31, 100577. [Google Scholar] [CrossRef]
- Mahlkow, N.; Donner, J. From Planning to Implementation? The Role of Climate Change Adaptation Plans to Tackle Heat Stress: A Case Study of Berlin, Germany. J. Plan. Educ. Res. 2017, 37, 385–396. [Google Scholar] [CrossRef]
- Measham, T.G.; Preston, B.L.; Smith, T.F.; Brooke, C.; Gorddard, R.; Withycombe, G.; Morrison, C. Adapting to Climate Change through Local Municipal Planning: Barriers and Challenges. Mitig. Adapt. Strateg. Glob. Change 2011, 16, 889–909. [Google Scholar] [CrossRef]
- Olazabal, M.; Ruiz De Gopegui, M.; Tompkins, E.L.; Venner, K.; Smith, R. A Cross-Scale Worldwide Analysis of Coastal Adaptation Planning. Environ. Res. Lett. 2019, 14, 124056. [Google Scholar] [CrossRef]
- Pietrapertosa, F.; Salvia, M.; De Gregorio Hurtado, S.; Geneletti, D.; D’Alonzo, V.; Reckien, D. Multi-Level Climate Change Planning: An Analysis of the Italian Case. J. Environ. Manag. 2021, 289, 112469. [Google Scholar] [CrossRef]
- Segge, S.; Mauerhofer, V. Progress in Local Climate Change Adaptation against Sea Level Rise: A Comparison of Management Planning between 2013 and 2022 of Swedish Municipalities. Urban Clim. 2023, 49, 101555. [Google Scholar] [CrossRef]
- Tang, Z.; Dai, Z.; Fu, X.; Li, X. Content Analysis for the U.S. Coastal States’ Climate Action Plans in Managing the Risks of Extreme Climate Events and Disasters. Ocean Coast. Manag. 2013, 80, 46–54. [Google Scholar] [CrossRef]
- Woodruff, S.C.; Stults, M. Numerous Strategies but Limited Implementation Guidance in US Local Adaptation Plans. Nat. Clim. Change 2016, 6, 796–802. [Google Scholar] [CrossRef]
- Patterson, J.J. More than Planning: Diversity and Drivers of Institutional Adaptation under Climate Change in 96 Major Cities. Glob. Environ. Change 2021, 68, 102279. [Google Scholar] [CrossRef]
- Purwins, S.; Keck, M. The Bureaucratic Life of Urban Climate Resilience. Urban Stud. 2025, 62, 2903–2913. [Google Scholar] [CrossRef]
- Lee, J.S.; Kim, J.W. Assessing Strategies for Urban Climate Change Adaptation: The Case of Six Metropolitan Cities in South Korea. Sustainability 2018, 10, 2065. [Google Scholar] [CrossRef]
- Otto, A.; Kern, K.; Haupt, W.; Eckersley, P.; Thieken, A.H. Ranking Local Climate Policy: Assessing the Mitigation and Adaptation Activities of 104 German Cities. Clim. Change 2021, 167, 5. [Google Scholar] [CrossRef]
- Otto, A.; Haupt, W.; Eckersley, P.; Kern, K.; Thieken, A.H. Dynamism and Stasis in the Climate Policies of German Cities between 2018 and 2022. Mitig. Adapt. Strateg. Glob. Change 2025, 30, 30. [Google Scholar] [CrossRef]
- Lesnikowski, A.; Belfer, E.; Rodman, E.; Smith, J.; Biesbroek, R.; Wilkerson, J.D.; Ford, J.D.; Berrang-Ford, L. Frontiers in Data Analytics for Adaptation Research: Topic Modeling. Wiley Interdiscip. Rev. Clim. Change 2019, 10, e576. [Google Scholar] [CrossRef]
- Woodruff, S.C.; Bowman, A.O.M.; Hannibal, B.; Sansom, G.; Portney, K. Urban Resilience: Analyzing the Policies of U.S. Cities. Cities 2021, 115, 103239. [Google Scholar] [CrossRef]
- Araos, M.; Berrang-Ford, L.; Ford, J.D.; Austin, S.E.; Biesbroek, R.; Lesnikowski, A. Climate Change Adaptation Planning in Large Cities: A Systematic Global Assessment. Environ. Sci. Policy 2016, 66, 375–382. [Google Scholar] [CrossRef]
- EEA—European Environmental Agency. Urban Adaptation in Europe: How Cities and Towns Respond to Climate Change; European Environmental Agency: Copenhagen, Denmark, 2020. [Google Scholar]
- Kalafatis, S.E. Comparing Climate Change Policy Adoption and Its Extension across Areas of City Policymaking. Policy Stud. J. 2018, 46, 700–719. [Google Scholar] [CrossRef]
- Schulze, K.; Schoenefeld, J.J. Measuring Climate Change Adaptation Policy Output: Toward a Two-Dimensional Approach. Rev. Policy Res. 2023, 40, 1058–1092. [Google Scholar] [CrossRef]
- Shi, L.; Chu, E.; Debats, J. Explaining Progress in Climate Adaptation Planning Across 156 U.S. Municipalities. J. Am. Plan. Assoc. 2015, 81, 191–202. [Google Scholar] [CrossRef]
- Ford, J.D.; King, D. A Framework for Examining Adaptation Readiness. Mitig. Adapt. Strateg. Glob. Change 2015, 20, 505–526. [Google Scholar] [CrossRef]
- Simonet, G.; Leseur, A. Barriers and Drivers to Adaptation to Climate Change—A Field Study of Ten French Local Authorities. Clim. Change 2019, 155, 621–637. [Google Scholar] [CrossRef]
- Singh, C.; Ford, J.D.; Ley, D.; Bazaz, A.; Revi, A. Assessing the Feasibility of Adaptation Options: Methodological Advancements and Directions for Climate Adaptation Research and Practice. Clim. Change 2020, 162, 255–277. [Google Scholar] [CrossRef]
- Otto, A.; Miechielsen, M.; Schmidt, K.; Thieken, A.H. Drivers and Barriers to Municipal Climate Change Adaptation: A Comparative Analysis of Selected Measures and Different Implementation Stages. J. Environ. Stud. Sci. 2025. [Google Scholar] [CrossRef]
- Reckien, D.; Flacke, J.; Olazabal, M.; Heidrich, O. The Influence of Drivers and Barriers on Urban Adaptation and Mitigation Plans—An Empirical Analysis of European Cities. PLoS ONE 2015, 10, e0135597. [Google Scholar] [CrossRef]
- Hultquist, A.; Wood, R.S.; Romsdahl, R.J. The Relationship Between Climate Change Policy and Socioeconomic Changes in the U.S. Great Plains. Urban Aff. Rev. 2017, 53, 138–174. [Google Scholar] [CrossRef]
- Wood, R.S.; Hultquist, A.; Romsdahl, R.J. An Examination of Local Climate Change Policies in the Great Plains. Rev. Policy Res. 2014, 31, 529–554. [Google Scholar] [CrossRef]
- Kammerer, M.; Zeigermann, U. Managing Climate Impacts—An Analysis of Adaptation Funding in German Cities and Districts. npj Clim. Action 2025, 4, 76. [Google Scholar] [CrossRef]
- Eckersley, P.; Otto, A.; Haupt, W.; Kern, K. Climate Capacity in Medium-Sized German Cities: (How) Do Smaller Municipalities Implement Mitigation and Adaptation Policies? Npj Clim. Action 2025, 4, 62. [Google Scholar] [CrossRef]
- Wang, R. Adopting Local Climate Policies: What Have California Cities Done and Why? Urban Aff. Rev. 2013, 49, 593–613. [Google Scholar] [CrossRef]
- Braunschweiger, D.; Ingold, K. What Drives Local Climate Change Adaptation? A Qualitative Comparative Analysis. Environ. Sci. Policy 2023, 145, 40–49. [Google Scholar] [CrossRef]
- Amundsen, H.; Berglund, F.; Westskogh, H. Overcoming Barriers to Climate Change Adaptation—A Question of Multilevel Governance? Environ. Plan. C Gov. Policy 2010, 28, 276–289. [Google Scholar] [CrossRef]
- Nohrstedt, D.; Parker, C.F.; Hileman, J.; Mazzoleni, M. Exploring Disaster Impacts on Adaptation Actions in 549 Cities Worldwide. Nat. Commun. 2022, 13, 3360. [Google Scholar] [CrossRef]
- Bundesinstitut für Bau- Stadt und Raumforschung (BBSR). Laufende Stadtbeobachtung—Raumabgrenzungen. Available online: https://www.bbsr.bund.de/BBSR/DE/forschung/raumbeobachtung/_node.html (accessed on 23 July 2025).
- Spekkers, M.; Rözer, V.; Thieken, A.; ten Veldhuis, M.-C.; Kreibich, H. A Comparative Survey of the Impacts of Extreme Rainfall in Two International Case Studies. Nat. Hazards Earth Syst. Sci. 2017, 17, 1337–1355. [Google Scholar] [CrossRef]
- Kalenik, B.; Sawicka, R.; Góra-Sochacka, A.; Sirko, A. Influenza Prevention and Treatment by Passive Immunization. Acta Biochim. Pol. 2014, 61, 573–587. [Google Scholar] [CrossRef] [PubMed]
- Caldas-Alvarez, A.; Augenstein, M.; Ayzel, G.; Barfus, K.; Cherian, R.; Dillenardt, L.; Fauer, F.; Feldmann, H.; Heistermann, M.; Karwat, A.; et al. Meteorological, Impact and Climate Perspectives of the 29 June 2017 Heavy Precipitation Event in the Berlin Metropolitan Area. Nat. Hazards Earth Syst. Sci. 2022, 22, 3701–3724. [Google Scholar] [CrossRef]
- Neitzke, L.; Samprogna Mohor, G.; Sieg, T. Vergleichende Hochwasserschadensschätzungen Anhand von Vor-Ort-Erhebungen Und Frei Zugänglichen Daten Nach Dem Hochwasser 2021 an Der Wupper. Hydrol. Und Wasserbewirtsch. 2025, 69, 6–20. [Google Scholar] [CrossRef]
- Dietze, M.; Bell, R.; Ozturk, U.; Cook, K.L.; Andermann, C.; Beer, A.R.; Damm, B.; Lucia, A.; Fauer, F.S.; Nissen, K.M.; et al. More than Heavy Rain Turning into Fast-Flowing Water—A Landscape Perspective on the 2021 Eifel Floods. Nat. Hazards Earth Syst. Sci. 2022, 22, 1845–1856. [Google Scholar] [CrossRef]
- Dillenardt, L.; Hudson, P.; Thieken, A.H. Urban Pluvial Flood Adaptation: Results of a Household Survey across Four German Municipalities. J. Flood Risk Manag. 2022, 15, e12748. [Google Scholar] [CrossRef]
- Kunz, M.; Karremann, M.K.; Mohr, S. Auswirkungen des Klimawandels auf Starkniederschläge, Gewitter und Schneefall. In Klimawandel in Deutschland; Springer: Berlin/Heidelberg, Germany, 2023; pp. 73–84. [Google Scholar]
- Mueller, E.N.; Pfister, A. Increasing Occurrence of High-Intensity Rainstorm Events Relevant for the Generation of Soil Erosion in a Temperate Lowland Region in Central Europe. J. Hydrol. 2011, 411, 266–278. [Google Scholar] [CrossRef]
- Bürger, G.; Pfister, A.; Bronstert, A. Temperature-Driven Rise in Extreme Sub-Hourly Rainfall. J. Clim. 2019, 32, 7597–7609. [Google Scholar] [CrossRef]
- Friedrich, K.; Deutschländer, T.; Kreienkamp, F.; Leps, N.; Mächel, H.; Walter, A. Klimawandel und Extremereignisse: Temperatur inklusive Hitzewellen. In Klimawandel in Deutschland; Springer: Berlin/Heidelberg, Germany, 2023; pp. 61–72. [Google Scholar]
- Bissolli, P.; Deutschländer, T.; Imbery, F.; Haeseler, S.; Lefebvre, C.; Blahak, J.; Fleckenstein, R.; Breyer, J.; Rocek, M.; Kreienkamp, F.; et al. Hitzewelle Juli 2019 in Westeuropa—Neuer Nationaler Rekord in Deutschland; Deutscher Wetterdienst: Offenbach am Main, Germany, 2019. [Google Scholar]
- Gabriel, K.M.A.; Endlicher, W.R. Urban and Rural Mortality Rates during Heat Waves in Berlin and Brandenburg, Germany. Environ. Pollut. 2011, 159, 2044–2050. [Google Scholar] [CrossRef]
- Kahlenborn, W.; Porst, L.; Voß, M.; Fritsch, U.; Renner, K.; Zebisch, M.; Wolf, M.; Schönthaler, K.; Schauser, I. Klimawirkungs- und Risikoanalyse 2021 für Deutschland. Kurzfassung; Umweltbundesamt: Dessau-Roßlau, Germany, 2021. [Google Scholar]
- Heidrich, O.; Reckien, D.; Olazabal, M.; Foley, A.; Salvia, M.; de Gregorio Hurtado, S.; Orru, H.; Flacke, J.; Geneletti, D.; Pietrapertosa, F.; et al. National Climate Policies across Europe and Their Impacts on Cities Strategies. J. Environ. Manag. 2016, 168, 36–45. [Google Scholar] [CrossRef]
- German Federal Government (Die Bundesregierung). Zweiter Fortschrittsbericht zur Deutschen Anpassungsstrategie an den Klimawandel; German Federal Government: Berlin, Germany, 2020. [Google Scholar]
- King, J.P. Sixteen Ways to Adapt: A Comparison of State-Level Climate Change Adaptation Strategies in the Federal States of Germany. Reg. Environ. Change 2022, 22, 40. [Google Scholar] [CrossRef]
- Prognos AG. Prognos Zukunftatlas; Prognos AG: Basel, Switzerland, 2019. [Google Scholar]
- Krummenauer, L.; Prahl, B.F.; Costa, L.; Holsten, A.; Walther, C.; Kropp, J.P. Global Drivers of Minimum Mortality Temperatures in Cities. Sci. Total Environ. 2019, 695, 133560. [Google Scholar] [CrossRef]
- Lengfeld, K.; Walawender, E.; Winterrath, T.; Becker, A. CatRaRE: A Catalogue of Radar-Based Heavy Rainfall Events in Germany Derived from 20 Years of Data. Meteorol. Z. 2021, 30, 469–487. [Google Scholar] [CrossRef]
- Lengfeld, K.; Walawender, E.; Winterrath, T.; Weigl, E.; Becker, A. Heavy Precipitation Events Version 2021.01 Exceeding DWD Warning Level 3 for Severe Weather Based on RADKLIM-RW Version 2017.002; Deutscher Wetterdienst (DWD): Offenbach am Main, Germany, 2021. [Google Scholar]
- Hair, J.F.; Black, W.C.; Babin, B.J.; Anderson, R.E. Multivariate Data Analysis; Cengage Learning: Andover, UK, 2019. [Google Scholar]
- Zeigermann, U.; Kammerer, M.; Böcher, M. What Drives Local Communities to Engage in Climate Change Mitigation Activities? Examining the Rural–Urban Divide. Rev. Policy Res. 2023, 40, 894–919. [Google Scholar] [CrossRef]
- Singh, C.; Iyer, S.; New, M.G.; Few, R.; Kuchimanchi, B.; Segnon, A.C.; Morchain, D. Interrogating ‘Effectiveness’ in Climate Change Adaptation: 11 Guiding Principles for Adaptation Research and Practice. Clim. Dev. 2022, 14, 650–664. [Google Scholar] [CrossRef]
- Friedrich, T.; Stieß, I.; Sunderer, G.; Böhmer, C.; Murawski, W.; Knirsch, F.; Otto, A.; Wutzler, B.; Thieken, A. Kommunalbefragung Klimaanpassung 2023; Climate Change, 34; Umwelt: Dessau-Roßlau, Germany, 2024. [Google Scholar]
- Häußler, S.; Haupt, W. Climate Change Adaptation Networks for Small and Medium-Sized Cities. SN Soc. Sci. 2021, 1, 262. [Google Scholar] [CrossRef]
- Schoenefeld, J.J.; Hildén, M.; Schulze, K.; Sorvali, J. What Motivates and Hinders Municipal Adaptation Policy? Exploring Vertical and Horizontal Diffusion in Hessen and Finland. Reg. Environ. Change 2023, 23, 53. [Google Scholar] [CrossRef]
- Rogers, N.J.L.; Adams, V.M.; Byrne, J.A. Factors Affecting the Mainstreaming of Climate Change Adaptation in Municipal Policy and Practice: A Systematic Review. Clim. Policy 2023, 23, 1327–1344. [Google Scholar] [CrossRef]
- Kern, K.; Irmisch, J.; Odermatt, C.; Haupt, W.; Kissling-Näf, I. Cultural Heritage, Sustainable Development, and Climate Policy: Comparing the UNESCO World Heritage Cities of Potsdam and Bern. Sustainability 2021, 13, 9131. [Google Scholar] [CrossRef]
- DWD Climate Data Center (CDC). Grids of Monthly Averaged Daily Air Temperature (2m) over Germany, Version v1.0; Deutscher Wetterdienst (DWD): Offenbach am Main, Germany, 2000. [Google Scholar]
- DWD Climate Data Center (CDC). Annual Grids of Drought Index (de Martonne) over Germany Version v1.0; Deutscher Wetterdienst (DWD): Offenbach am Main, Germany, 2018. [Google Scholar]
- Dilling, L.; Pizzi, E.; Ravikumar, A.; Andersson, K.P. Drivers of Adaptation: Responses to Weather- and Climate-Related Hazards in 60 Local Governments in the Intermountain Western U.S. Environ. Plan. A 2017, 49, 2628–2648. [Google Scholar] [CrossRef]
Disclaimer/Publisher’s Note: The statements, opinions and data contained in all publications are solely those of the individual author(s) and contributor(s) and not of MDPI and/or the editor(s). MDPI and/or the editor(s) disclaim responsibility for any injury to people or property resulting from any ideas, methods, instructions or products referred to in the content. |
© 2025 by the authors. Licensee MDPI, Basel, Switzerland. This article is an open access article distributed under the terms and conditions of the Creative Commons Attribution (CC BY) license (https://creativecommons.org/licenses/by/4.0/).


