Experimental Study on Stabilization of Heavy Metal-Contaminated Soil by Biochar–MICP–Electrokinetics Combined Technology
Abstract
1. Introduction
2. Materials and Methods
2.1. Materials and Apparatus
2.1.1. Contaminated Soil
2.1.2. Detection of Main Types and Total Concentration of Heavy Metals in Contaminated Soil
2.1.3. Electrokinetic Remediation (EK) Apparatus
2.1.4. Microbial Bacterial
2.1.5. Biochar
2.2. Test Scheme
2.3. Methods
2.3.1. OD600
2.3.2. pH and Electrical Conductivity
2.3.3. Contents of Heavy Metal
2.3.4. Chemical Speciation Distribution of Heavy Metals
2.3.5. Toxicity Characteristic Leaching Procedure
2.3.6. X-Ray Diffraction and Scanning Electron Microscopy Methods
2.4. Mechanism of Heavy Metal Stabilization by Combined Method
- (1)
- EK: Triggering “Activation and Migration”
- (2)
- Biochar: Enabling “Adsorption and Microbial Protection”
- (3)
- MICP: Achieving “Mineralization and Stabilization”
- (4)
- Synergistic Advantages
3. Results
3.1. Results of Effect of Nutrient Solution Concentration on Bacterial Activity
3.2. Results of the Effect of Biochar on the MICP Process
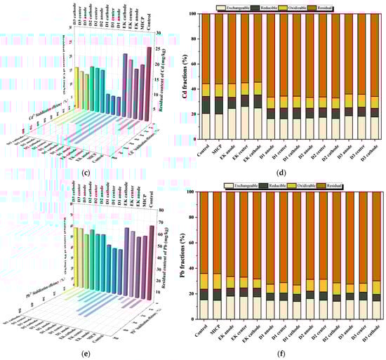
3.3. Detection of Residual Amount, Stabilization Efficiency of Bioavailable Heavy Metals and Chemical Form Distribution of Heavy Metals
3.4. Current and Energy Consumption Analysis
3.5. Toxicity Characteristic Leaching Procedure Test Results
3.6. X-Ray Diffraction and Scanning Electron Microscopy Results
3.7. Pearson Correlation Analysis Results
4. Discussion
4.1. Conclusion of Effect of Nutrient Solution Concentration on Bacterial Activity
4.2. Conclusion of the Effect of Biochar on the MICP Process
4.3. Stabilization Efficiency and Chemical Speciation of Heavy Metals
4.4. Current and Energy Consumption
4.5. Conclusion of Toxicity Characteristic Leaching Procedure
4.6. Microstructural and Mineralogical Changes
4.7. Pearson Correlation Analysis Conclusion
5. Future Perspectives
6. Conclusions
- An optimal nutrient concentration of 1 mol/L urea–CaCl2 was identified, which balanced high bacterial cell density (OD600 = 1.0), urease activity (12 U/g), and stable pH (7.8–8.2), providing a cost-effective benchmark for application, while higher concentrations inhibited microbial activity.
- Corn stover biochar significantly enhanced urease activity, whereas coconut shell biochar exhibited an inhibitory effect, and bamboo biochar showed a neutral impact.
- The combined Biochar–MICP–EK remediation was significantly more effective than any single method. The D1 treatment protocol (EK pretreatment followed by MICP) achieved the most effective immobilization of Cu, Cd, and Pb, markedly increasing the stable residual fraction.
- Microstructural and mineralogical analyses revealed that the combined method improved soil aggregation and promoted the formation of stable calcite. The synergistic mechanism involves electric field-driven ion migration, biochar adsorption, and MICP-induced carbonate precipitation. Among all tested groups, D1 demonstrated superior overall performance: it yielded the highest heavy metal immobilization efficiency, achieved the most significant transformation of heavy metals to stable residues, and had the lowest energy consumption.
Author Contributions
Funding
Institutional Review Board Statement
Informed Consent Statement
Data Availability Statement
Acknowledgments
Conflicts of Interest
Abbreviations
| EK | Electrokinetic Remediation |
| EC | Electrical Conductivity |
| UA | Urease Activity |
| MICP | Microbial-Induced Calcium Carbonate Precipitation |
| TCLP | Toxicity Characteristic Leaching Procedure |
| PRB | Permeable Reactive Barrier |
| FAAS | Flame Atomic Absorption Spectrophotometry |
| BCR | European Community Bureau of Reference |
| XRD | X-ray Diffraction |
| SEM | Scanning Electron Microscopy |
| OD600 | Optical Density at 600 nm |
| D1 | Reaction sequence: EK →Biochar +MICP |
| D2 | Reaction sequence: EK + Biochar + MICP |
| D3 | Reaction sequence: Biochar +MICP→EK |
References
- Namadi, A.H.; Motlagh, A.H.; Hassanlourad, M.; Hosseinzadeh, M. Impact of Heavy Metal and Carbonate on Geotechnical Properties of Sand-Bentonite Mixtures. Indian Geotech. J. 2023, 53, 1494–1504. [Google Scholar] [CrossRef]
- Montaño-López, F.; Biswas, A. Are heavy metals in urban garden soils linked to vulnerable populations? A case study from Guelph, Canada. Sci. Rep. 2021, 11, 11286. [Google Scholar] [CrossRef]
- Oloruntoba, A.; Omoniyi, A.O.; Shittu, Z.A.; Ajala, R.O.; Kolawole, S.A. Heavy Metal Contamination in Soils, Water, and Food in Nigeria from 2000–2019: A Systematic Review on Methods, Pollution Level and Policy Implications. Water Air Soil Pollut. 2024, 235, 586. [Google Scholar] [CrossRef]
- Liu, N.; Zhao, J.; Du, J.; Hou, C.; Zhou, X.; Chen, J.; Zhang, Y. Non-phytoremediation and phytoremediation technologies of integrated remediation for water and soil heavy metal pollution: A comprehensive review. Sci. Total. Environ. 2024, 948, 174237. [Google Scholar] [CrossRef]
- Xie, S.; Wu, F.; Ning, Z.; Chen, M.; Liu, C.; Huang, Q.; Meng, F.; Liu, Y.; Zhou, J.; Xia, Y. Two-step calculation method to enable the ecological and human health risk assessment of remediated soil treated through thermal curing. Soil Ecol. Lett. 2021, 3, 266–278. [Google Scholar] [CrossRef]
- Zang, X.; Zhang, Y.; Yue, H. Study on the effect of using multi-round citric acid bottom vacuum leaching to remediate Cu, Zn-contaminated soil. Front. Environ. Sci. 2025, 13, 1646182. [Google Scholar] [CrossRef]
- Wang, L.; Rinklebe, J.; Tack, F.M.G.; Hou, D. A review of green remediation strategies for heavy metal contaminated soil. Soil Use Manag. 2021, 37, 936–963. [Google Scholar] [CrossRef]
- Virkutyte, J.; Sillanpää, M.; Latostenmaa, P. Electrokinetic soil remediation—Critical overview. Sci. Total. Environ. 2002, 289, 97–121. [Google Scholar] [CrossRef] [PubMed]
- Yeung, A.T.; Gu, Y.-Y. A review on techniques to enhance electrochemical remediation of contaminated soils. J. Hazard. Mater. 2011, 195, 11–29. [Google Scholar] [CrossRef]
- Reddy, K.R.; Cameselle, C. Electrochemical Remediation Technologies for Polluted Soils, Sediments and Groundwater; John Wiley & Sons, Inc.: Hoboken, NJ, USA, 2009. [Google Scholar]
- Song, Y.; Cang, L.; Fang, G.; Ata-Ul-Karim, S.T.; Xu, H.; Zhou, D. Electrokinetic delivery of anodic in situ generated active chlorine to remediate diesel-contaminated sand. Chem. Eng. J. 2018, 337, 499–505. [Google Scholar] [CrossRef]
- Gill, R.T.; Harbottle, M.J.; Smith, J.W.N.; Thornton, S.F. Electrokinetic-enhanced bioremediation of organic contaminants: A review of processes and environmental applications. Chemosphere 2014, 107, 31–42. [Google Scholar] [CrossRef] [PubMed]
- Wang, Y.; Han, Z.; Li, A.; Cui, C. Enhanced electrokinetic remediation of heavy metals contaminated soil by biodegradable complexing agents. Environ. Pollut. 2021, 283, 117111. [Google Scholar] [CrossRef]
- Fardin, A.B.; Jamshidi-Zanjani, A. A critical review on soil remediation using electrokinetic-enhanced permeable reactive barriers: Challenges and enhancements. Chem. Eng. J. Adv. 2025, 23, 100774. [Google Scholar] [CrossRef]
- Moghadam, M.J.; Moayedi, H.; Sadeghi, M.M.; Hajiannia, A. A review of combinations of electrokinetic applications. Environ. Geochem. Health 2016, 38, 1217–1227. [Google Scholar] [CrossRef]
- Warren, L.A.; Maurice, P.A.; Parmar, N.; Ferris, F.G. Microbially Mediated Calcium Carbonate Precipitation: Implications for Interpreting Calcite Precipitation and for Solid-Phase Capture of Inorganic Contaminants. Geomicrobiol. J. 2001, 18, 93–115. [Google Scholar] [CrossRef]
- Li, M.; Cheng, X.; Guo, H. Heavy metal removal by biomineralization of urease producing bacteria isolated from soil. Int. Biodeterior. Biodegrad. 2013, 76, 81–85. [Google Scholar] [CrossRef]
- Mugwar, A.J.; Harbottle, M.J. Toxicity effects on metal sequestration by microbially-induced carbonate precipitation. J. Hazard. Mater. 2016, 314, 237–248. [Google Scholar] [CrossRef]
- Juillot, F.; Ildefonse, P.; Morin, G.; Calas, G.; Kersabiec, A.; Benedetti, M. Remobilization of arsenic from buried wastes at an industrial site: Mineralogical and geochemical control. Appl. Geochem. 1999, 14, 1031–1048. [Google Scholar] [CrossRef]
- Kang, C.-H.; Han, S.-H.; Shin, Y.; Oh, S.J.; So, J.-S. Bioremediation of Cd by Microbially Induced Calcite Precipitation. Appl. Biochem. Biotechnol. 2014, 172, 2907–2915. [Google Scholar] [CrossRef]
- Cameselle, C.; Reddy, K.R. Development and enhancement of electro-osmotic flow for the removal of contaminants from soils. Electrochim. Acta 2012, 86, 10–22. [Google Scholar] [CrossRef]
- Peng, D.; Chen, X.; Zhang, S.; Zeng, G.; Yan, C.; Luo, H.; Liu, H.; Xu, H. Biochar enhances Cd mineralization through microbially induced carbonate precipitation as a soil remediation strategy for rice paddies. Chemosphere 2024, 366, 143441. [Google Scholar] [CrossRef] [PubMed]
- Xu, M.; Ma, J.; Zhang, X.-H.; Yang, G.; Long, L.-L.; Chen, C.; Song, C.; Wu, J.; Gao, P.; Guan, D.-X. Biochar-bacteria partnership based on microbially induced calcite precipitation improves Cd immobilization and soil function. Biochar 2023, 5, 20. [Google Scholar] [CrossRef]
- Zhang, X.; Wang, H.; He, L.; Lu, K.; Sarmah, A.; Li, J.; Bolan, N.S.; Pei, J.; Huang, H. Using biochar for remediation of soils contaminated with heavy metals and organic pollutants. Environ. Sci. Pollut. Res. 2013, 20, 8472–8483. [Google Scholar] [CrossRef]
- Bashir, S.; Rehman, M.; Yousaf, M.; Salam, A.; Gulshan, A.B.; Iqbal, J.; Aziz, I.; Azeem, M.; Rukh, S.; Asghar, R.M.A. Comparative efficiency of wheat straw and sugarcane bagasse biochar reduces the cadmium bioavailability to spinach and enhances the microbial activity in contaminated soil. Int. J. Phytoremediat. 2019, 21, 1098–1103. [Google Scholar] [CrossRef]
- Tan, X.; Liu, Y.; Gu, Y.; Zeng, G.; Hu, X.; Wang, X.; Hu, X.; Guo, Y.; Zeng, X.; Sun, Z. Biochar amendment to lead-contaminated soil: Effects on fluorescein diacetate hydrolytic activity and phytotoxicity to rice. Environ. Toxicol. Chem. 2015, 34, 1962–1968. [Google Scholar] [CrossRef]
- Li, L.; Jia, Z.; Ma, H.; Bao, W.; Li, X.; Tan, H.; Xu, F.; Xu, H.; Li, Y. The effect of two different biochars on remediation of Cd-contaminated soil and Cd uptake by Lolium perenne. Environ. Geochem. Health 2019, 41, 2067–2080. [Google Scholar] [CrossRef]
- Mulligan, C.N.; Yong, R.N.; Gibbs, B.F. Remediation technologies for metal-contaminated soils and groundwater: An evaluation. Eng. Geol. 2001, 60, 193–207. [Google Scholar] [CrossRef]
- Acar, Y.B.; Alshawabkeh, A.N. Principles of electrokinetic remediation. Environ. Sci. Technol. 1993, 27, 2638–2647. [Google Scholar] [CrossRef]
- Gadd, G.M. Metals, minerals and microbes: Geomicrobiology and bioremediation. Microbiology 2010, 156 Pt 3, 609–643. [Google Scholar] [CrossRef]
- Bolan, N.; Kunhikrishnan, A.; Thangarajan, R.; Kumpiene, J.; Park, J.; Makino, T.; Kirkham, M.B.; Scheckel, K. Remediation of heavy metal(loid)s contaminated soils—To mobilize or to immobilize? J. Hazard. Mater. 2014, 266, 141–166. [Google Scholar] [CrossRef]
- GB/T 50123-2019; Standard for Geotechnical Testing Methods. China Planning Publishing House: Beijing, China, 2019.
- D 2487-17; ASTM Standard Practice for Classification of Soils for Engineering Purposes (Unified Soil Classification System). ASTM: West Conshehoken, PA, USA, 2017.
- Jiaqing, Y.; Shukui, Z.; Yi, T.; Yingjiu, L.; Ye, Z.; Weiyan, Z.; Dongchun, L.; Chaofan, X. Research progress on electrokinetic-leaching combined remediation of heavy metal contaminated soil. Appl. Chem. Ind. 2022, 51, 3634–3640. [Google Scholar] [CrossRef]
- GB 15618-2018; Soil Environmental Quality Standard-Risk Control Standard for Soil Pollution of Agricultural Land. China Environmental Science Press: Beijing, China, 2018.
- Lauchnor, E.G.; Topp, D.M.; Parker, A.E.; Gerlach, R. Whole cell kinetics of ureolysis by Sporosarcina pasteurii. J. Appl. Microbiol. 2015, 118, 1321–1332. [Google Scholar] [CrossRef] [PubMed]
- Rauret, G.; López-Sánchez, J.F.; Sahuquillo, A.; Rubio, R.; Davidson, C.; Ure, A.; Quevauviller, P. Improvement of the BCR three step sequential extraction procedure prior to the certification of new sediment and soil reference materials. J. Environ. Monit. 1999, 1, 57–61. [Google Scholar] [CrossRef]
- Qian, W. Study on Microbial Curing Modification Mechanism and Anti-Liquefation Property of Silt in the Middle and Lower Reaches of Yellow River. Master’s Thesis, North China University of Water Resources and Electric Power, Zhengzhou, China, 2022. [Google Scholar]
- HJ802-2016; Soil-Determination of Conductivity-Electrode Method. China Environmental Science Press: Beijing, China, 2016.
- HJ/T-299-2007; Solid Waste-Extraction Procedure for Leaching Toxicity Sulphuric Acid & Nitric Acid Method. China Environmental Science Press: Beijing, China, 2007.
- Schommer, V.A.; Vanin, A.P.; Nazari, M.T.; Ferrari, V.; Dettmer, A.; Colla, L.M.; Piccin, J.S. Biochar-immobilized Bacillus spp. for heavy metals bioremediation: A review on immobilization techniques, bioremediation mechanisms and effects on soil. Sci. Total. Environ. 2023, 881, 163385. [Google Scholar] [CrossRef] [PubMed]
- Liu, B.; Tang, C.-S.; Pan, X.-H.; Cheng, Q.; Shen, Z.-T.; Xu, J.-J.; Zhang, X.-Y. Influence of layer thickness on bioremediation of drought-induced soil desiccation cracks using microbially induced calcite precipitation. Acta Geotech. 2023, 19, 4399–4414. [Google Scholar] [CrossRef]
- Li, Y.; Zhang, M.; Wang, X.; Ai, S.; Meng, X.; Liu, Z.; Yang, F.; Cheng, K. Synergistic enhancement of cadmium immobilization and soil fertility through biochar and artificial humic acid-assisted microbial-induced calcium carbonate precipitation. J. Hazard. Mater. 2024, 476, 135140. [Google Scholar] [CrossRef]
- Murugan, R.; Suraishkumar, G.K.; Mukherjee, A.; Dhami, N.K. Insights into the influence of cell concentration in design and development of microbially induced calcium carbonate precipitation (MICP) process. PLoS ONE 2021, 16, e0254536. [Google Scholar] [CrossRef]
- Maleki-Kakelar, M.; Azarhoosh, M.J.; Senji, S.G.; Aghaeinejad-Meybodi, A. Urease production using corn steep liquor as a low-cost nutrient source by Sporosarcina pasteurii: Biocementation and process optimization via artificial intelligence approaches. Environ. Sci. Pollut. Res. 2021, 29, 13767–13781. [Google Scholar] [CrossRef]
- Kim, Y.; Roh, Y. Microbially Induced Carbonate Precipitation Using Microorganisms Enriched from Calcareous Materials in Marine Environments and Their Metabolites. Minerals 2019, 9, 722. [Google Scholar] [CrossRef]
- Tu, C.; Wei, J.; Guan, F.; Liu, Y.; Sun, Y.; Luo, Y. Biochar and bacteria inoculated biochar enhanced Cd and Cu immobilization and enzymatic activity in a polluted soil. Environ. Int. 2020, 137, 105576. [Google Scholar] [CrossRef] [PubMed]
- GB5085.3-2007; Identification Standards for Hazardous Wastes-Identification for Extraction Toxicity. China Standards Press: Beijing, China, 2007.
- Mi, L. Acid-Base Properties, Alkali and Alkaline Earth Metallic Species leaching and Cu (II) Sorption by Aquatic Plant-Derive Biochar. Master’s Thesis, Shanghai University, Nanjing, China, 2014. [Google Scholar]
- Wei, T.; Li, X.; Li, H.; Gao, H.; Guo, J.; Li, Y.; Ren, X.; Hua, L.; Jia, H. The potential effectiveness of mixed bacteria-loaded biochar/activated carbon to remediate Cd, Pb co-contaminated soil and improve the performance of pakchoi plants. J. Hazard. Mater. 2022, 435, 129006. [Google Scholar] [CrossRef] [PubMed]















| Index | Value |
|---|---|
| Water content (%) | 73.86 |
| Density (g/cm3) | 1.45 |
| Liquid limit (%) | 45.3 |
| Plastic limit (%) | 25.9 |
| Plasticity index | 19.4 |
| Specific gravity | 2.73 |
| Sand % (>0.075 mm) | 77.16 |
| Silt % (0.075~0.005 mm) | 18.53 |
| Clay % (<0.005 mm) | 4.31 |
| Soil type | CL |
| pH | 6.8 |
| Optimum water content (%) | 30.36 |
| Sample Types | Undisturbed Soil | Guangzhou | Chinese Metal Background Level Value | Agricultural Pollution Standard of China |
|---|---|---|---|---|
| Cr (mg/kg) | 54.40 | 64.65 | 61.00 | 150.00 |
| Cu (mg/kg) | 27.30 | 24.0 | 22.6 | 50.00 |
| Zn (mg/kg) | 89.00 | 162.6 | 74.2 | 200.00 |
| Cd (mg/kg) | 0.50 | 0.28 | 0.097 | 0.30 |
| Pb (mg/kg) | 63.53 | 58.00 | 26.00 | 70.00 |
| Medium | Composition (g/L) | ||||||
|---|---|---|---|---|---|---|---|
| Peptone | Beef Extract | Urea | NiCl2 | (NH4)2SO4 | Yeast | Agar | |
| A | 5 | 3 | 20 | 0.02 | |||
| B | 0.02 | 20 | 20 | ||||
| Solid | 5 | 3 | 10 | 0.02 | 15 | ||
| Test Type | Nutrient Solution Concentration/(mol/L) | Biochar Species | Biochar Content (%) | Voltage Gradients (V) | Duration (Days) | Reaction Sequence |
|---|---|---|---|---|---|---|
| MICP | 1 | / | / | / | 7 | / |
| EK | / | / | / | 20 | 7 | / |
| D1 | 1 | CS2 | 8 | 20 | 7 + 7 | EK → Biochar + MICP |
| D2 | 1 | CS2 | 8 | 20 | 7 | EK + Biochar + MICP |
| D3 | 1 | CS2 | 8 | 20 | 7 + 7 | Biochar + MICP → EK |
| Test Type | Sampling Detection Location | Residual Content of Cu (mg/kg) | Cu2+ Stabilization Efficiency (%) | Residual Content of Cd (mg/kg) | Cd2+ Stabilization Efficiency (%) | Residual Content of Pb (mg/kg) | Pb2+ Stabilization Efficiency (%) |
|---|---|---|---|---|---|---|---|
| Control | / | 27.3 | 25 | 65.53 | |||
| MICP | / | 19.68 | 27.91 | 19.02 | 23.92 | 56.26 | 14.15 |
| EK | Anode | 25.1 | 8.06 | 17.34 | 30.64 | 54.82 | 16.34 |
| Center | 26.23 | 3.92 | 20.21 | 19.16 | 59.13 | 9.77 | |
| Cathode | 26.9 | 1.47 | 22.03 | 11.88 | 61.67 | 5.89 | |
| D1 | Anode | 13.13 | 51.90 | 6.65 | 73.40 | 41.77 | 36.26 |
| Center | 15.78 | 42.20 | 6.72 | 73.12 | 42.10 | 35.75 | |
| Cathode | 18.55 | 32.05 | 7.11 | 71.56 | 44.66 | 31.85 | |
| D2 | Anode | 21.54 | 21.10 | 15.45 | 38.20 | 53.49 | 18.37 |
| Center | 21.88 | 19.85 | 15.90 | 36.40 | 53.26 | 18.72 | |
| Cathode | 22.16 | 18.83 | 16.22 | 35.12 | 56.74 | 13.41 | |
| D3 | Anode | 18.37 | 32.71 | 13.15 | 47.40 | 51.74 | 21.04 |
| Center | 18.96 | 30.55 | 13.96 | 44.16 | 56.80 | 13.32 | |
| Cathode | 19.77 | 27.58 | 15.22 | 39.12 | 56.98 | 13.05 |
| Test Type | Sampling Detection Location | Heavy Metal | |||||||||||
|---|---|---|---|---|---|---|---|---|---|---|---|---|---|
| Cu | Cd | Pb | |||||||||||
| Exchangeable | Reducible | Oxidizable | Residual | Exchangeable | Reducible | Oxidizable | Residual | Exchangeable | Reducible | Oxidizable | Residual | ||
| Control | / | 5.21 ± 0.6 | 13.2 ± 1.1 | 30.25 ± 2.0 | 51.34 ± 2.5 | 20.5 ± 1.2 | 13.6 ± 0.8 | 10.1 ± 0.5 | 55.8 ± 2.0 | 15.2 ± 1.1 | 8.4 ± 0.9 | 12.3 ± 1.0 | 64.1 ± 2.1 |
| MICP | / | 4.91 ± 0.7 | 14.2 ± 1.0 | 28.9 ± 1.8 | 51.99 ± 2.0 | 20.11 ± 1.1 | 13.66 ± 0.9 | 10.3 ± 0.6 | 55.93 ± 1.8 | 14.81 ± 1.2 | 8.81 ± 1.1 | 12.11 ± 0.8 | 64.27 ± 1.5 |
| EK | Anode | 6.13 ± 0.9 | 15.9 ± 1.5 | 21.6 ± 1.2 | 56.37 ± 1.8 | 24.5 ± 1.5 | 8.9 ± 0.8 | 10.8 ± 0.5 | 55.8 ± 2.1 | 18.1 ± 0.9 | 6.3 ± 1.0 | 9.1 ± 0.6 | 66.5 ± 1.1 |
| Center | 5.8 ± 0.6 | 15.6 ± 1.3 | 22.1 ± 1.4 | 56.5 ± 2.1 | 26.1 ± 1.0 | 9.1 ± 0.5 | 9.8 ± 0.7 | 55 ± 1.7 | 17.8 ± 1.0 | 6.8 ± 0.8 | 8.4 ± 0.5 | 67 ± 0.9 | |
| Cathode | 5.9 ± 0.6 | 16.1 ± 1.2 | 24.1 ± 1.1 | 53.9 ± 2.0 | 24.9 ± 0.8 | 10.4 ± 0.9 | 10.2 ± 0.5 | 54.5 ± 1.3 | 17.5 ± 0.8 | 6.9 ± 0.7 | 7.2 ± 0.4 | 68.4 ± 1.4 | |
| D1 | Anode | 3.99 ± 0.4 | 1.88 ± 0.2 | 9.93 ± 0.8 | 84.2 ± 2.1 | 16.35 ± 0.9 | 8.02 ± 1.0 | 9.18 ± 0.6 | 66.45 ± 2.1 | 14.78 ± 0.4 | 5.69 ± 0.8 | 6.99 ± 0.5 | 72.54 ± 2.1 |
| Center | 3.91 ± 0.5 | 2.02 ± 0.4 | 9.28 ± 0.7 | 84.79 ± 1.9 | 16.21 ± 1.2 | 8.68 ± 0.8 | 9.45 ± 0.7 | 65.66 ± 2.0 | 14.68 ± 1.2 | 5.88 ± 0.9 | 8.16 ± 0.6 | 71.28 ± 2.0 | |
| Cathode | 3.88 ± 0.7 | 1.98 ± 0.3 | 10.34 ± 0.9 | 83.8 ± 1.8 | 16.31 ± 1.1 | 8.65 ± 0.7 | 9.29 ± 1.0 | 65.75 ± 1.4 | 13.88 ± 0.7 | 5.72 ± 0.4 | 7.25 ± 0.6 | 73.15 ± 1.8 | |
| D2 | Anode | 4.01 ± 0.3 | 2.12 ± 0.2 | 10.09 ± 0.6 | 83.78 ± 1.5 | 16.86 ± 0.8 | 7.89 ± 0.8 | 8.56 ± 1.1 | 66.69 ± 1.9 | 16.12 ± 0.6 | 5.96 ± 0.7 | 9.21 ± 1.0 | 68.71 ± 1.6 |
| Center | 4.04 ± 0.5 | 2.21 ± 0.3 | 10.52 ± 0.5 | 83.23 ± 1.8 | 17.44 ± 0.9 | 7.56 ± 0.3 | 8.66 ± 0.9 | 66.34 ± 1.8 | 14.89 ± 0.5 | 6.58 ± 0.6 | 9.86 ± 0.8 | 68.67 ± 1.4 | |
| Cathode | 3.89 ± 0.4 | 2.01 ± 0.1 | 9.61 ± 1.0 | 84.49 ± 1.9 | 16.46 ± 1.0 | 7.89 ± 0.5 | 8.52 ± 0.8 | 67.13 ± 1.7 | 14.03 ± 0.5 | 5.05 ± 0.3 | 9.45 ± 1.0 | 71.47 ± 1.3 | |
| D3 | Anode | 4.16 ± 0.7 | 2.66 ± 0.1 | 10.1 ± 0.4 | 83.08 ± 2.0 | 18.66 ± 2.1 | 6.46 ± 0.4 | 10.88 ± 0.9 | 64 ± 1.3 | 15.26 ± 0.5 | 5.21 ± 0.5 | 7.05 ± 0.7 | 72.48 ± 1.0 |
| Center | 4.02 ± 0.4 | 2.61 ± 0.2 | 9.55 ± 0.6 | 83.82 ± 1.4 | 18.28 ± 1.8 | 7.26 ± 0.6 | 10.22 ± 1.1 | 64.24 ± 2.0 | 14.98 ± 0.7 | 6.22 ± 0.8 | 6.98 ± 0.8 | 71.82 ± 1.6 | |
| Cathode | 4.09 ± 0.8 | 2.59 ± 0.4 | 9.26 ± 0.5 | 84.06 ± 1.5 | 17.75 ± 0.9 | 6.86 ± 0.5 | 9.46 ± 0.6 | 65.93 ± 2.1 | 14.23 ± 1.1 | 5.24 ± 0.6 | 10.66 ± 0.9 | 69.87 ± 1.8 | |
Disclaimer/Publisher’s Note: The statements, opinions and data contained in all publications are solely those of the individual author(s) and contributor(s) and not of MDPI and/or the editor(s). MDPI and/or the editor(s) disclaim responsibility for any injury to people or property resulting from any ideas, methods, instructions or products referred to in the content. |
© 2025 by the authors. Licensee MDPI, Basel, Switzerland. This article is an open access article distributed under the terms and conditions of the Creative Commons Attribution (CC BY) license (https://creativecommons.org/licenses/by/4.0/).
Share and Cite
Wang, R.; Wan, W.; Liu, P. Experimental Study on Stabilization of Heavy Metal-Contaminated Soil by Biochar–MICP–Electrokinetics Combined Technology. Sustainability 2025, 17, 9811. https://doi.org/10.3390/su17219811
Wang R, Wan W, Liu P. Experimental Study on Stabilization of Heavy Metal-Contaminated Soil by Biochar–MICP–Electrokinetics Combined Technology. Sustainability. 2025; 17(21):9811. https://doi.org/10.3390/su17219811
Chicago/Turabian StyleWang, Ruiyu, Wenli Wan, and Pinghui Liu. 2025. "Experimental Study on Stabilization of Heavy Metal-Contaminated Soil by Biochar–MICP–Electrokinetics Combined Technology" Sustainability 17, no. 21: 9811. https://doi.org/10.3390/su17219811
APA StyleWang, R., Wan, W., & Liu, P. (2025). Experimental Study on Stabilization of Heavy Metal-Contaminated Soil by Biochar–MICP–Electrokinetics Combined Technology. Sustainability, 17(21), 9811. https://doi.org/10.3390/su17219811

