Abstract
Modern, technologically advanced fertilizers that increase the efficiency of the plant’s use of macro and microelements while reducing the doses used are one of the most important elements of sustainable plant production. Current European Union policy, especially the from-farm-to-fork strategy, which is part of the European Green Deal and sustainable agriculture, requires producers to seek new solutions that will ensure higher yields while reducing the number and volume of fertilizers and pesticides introduced into the environment. The aim of conducted research was to determine the effect of the application of Techno Z (sulphur 67% + zinc 14%), an advanced microgranular sulphur/zinc fertilizer with patented ORT technology on greenhouse-grown tomato, one of the most popular vegetables grown worldwide. Consumption is constantly growing, and demand is much higher in many countries than domestic production. Therefore, measures aimed at increasing yields, such as more effective, sustainable fertilization, are extremely important.
1. Introduction
Modern technologically advanced fertilizers that increase the efficiency of the plant’s use of macro and microelements while reducing the doses used are one of the most important elements of sustainable plant production. Current European Union policy, especially the from-farm-to-fork strategy, which is part of the European Green Deal and sustainable agriculture, requires producers to seek new solutions that will ensure higher yields while reducing the number and volume of fertilizers and pesticides introduced into the environment.
Tomato is one of the most popular vegetables grown around the world. Currently, the demand for this product is constantly growing and, in many countries, it is much higher than domestic production. Therefore, activities and treatments aimed at increasing crop efficiency and improving yields are extremely important. The most popular include irrigation and fertilization. The appropriate irrigation dose as well as irrigation schedule is crucial to achieve expected plant parameters and high tomato yields [1]. Currently, there is observed an increase in importance of fertilizer usage, which not only improves yields but also tomato quality [2].
Currently, one of the biggest problems for tomato cultivation is the fact that it is exposed to many factors that can limit its yield. These factors include not only pests but also extreme climatic phenomena such as droughts or heavy rains, the intensity of which is increasing due to ongoing climate changes. In many regions of the world, a beneficial strategy is the use of greenhouse for tomato production. By doing this, one can easily regulate environmental factors and, thus, influence the quantity and quality of harvested crops. Greenhouse production allows for adjustment of the temperature, humidity and light; thus, it results in optimal conditions for plant growth throughout the whole growing season. It is extremely important in regions with unfavourable climatic conditions for growing plants. It also allows for efficient water management and the use of solar energy for heating [3].
The most important goal in breeding and cultivating tomato varieties is to improve fruit quality. Key traits considered include fruit size, shape, firmness, colour, nutrient content, and taste. Fertilization and selection of the appropriate variety also affect yield and quality of harvested fruit [4,5,6,7]. Growers of tomato varieties that require intensive cultivation use large amounts of NPK fertilizers to maximize yields [8]. This leads to serious disruptions in the balance of nutrients in the soil, which in turn results in increasingly common deficiencies in secondary and micronutrients, which have a negative impact on yields and their quality [9]. The high accumulation of phosphorus in the soil observed because of such activities has negative effects on the ability to take in zinc, which leads to its deficiency in plants [10]. This situation, referred to as hidden hunger, leads to serious yield losses and a decrease in tomato quality [8]. Zinc deficiency may be one of the key obstacles to obtaining good tomato yields with high fruit quality. Previous studies have shown that zinc is one of the key elements that allow maintaining these parameters at the required level [11,12,13,14,15,16,17]. Zinc plays a key role in many plants’ physiological processes, even at very low concentrations. It is one of 17 essential elements needed for proper plant growth and development. It is important for carbohydrate metabolism, regulation of growth processes, seed germination and protein synthesis [18,19,20]. This element is also crucial for protection against photodamage and heat stress, and defence against some pathogens [21]. Zinc is an essential trace element that supports enzymatic reactions, similarly to manganese and magnesium. It can also improve photosynthetic efficiency and strengthen the antioxidant system of tomato plants [22]. Additionally, in combination with boron, zinc helps in auxin synthesis, supports cell wall growth and cell proliferation in plants [23]. Zinc also plays a key role in the detoxification of free oxygen radicals and the production of the enzyme carbonic anhydrase, which aids in the transport of CO2 during photosynthesis [21]. For the above reasons, it is difficult to overestimate the importance of zinc as one of the micronutrients used in fertilizers for many plant species, including tomatoes.
In tomatoes, zinc deficiency results in changes in leaf appearance, downward curling of leaf petioles, and increased leaf fragility. A prolonged zinc deficiency causes the leaves to turn orange-brown with spots. Zinc deficiency has a very negative effect as it contributes to the inhibition of tomato growth [24].
The aim of conducted research was to investigate the effect of the application of Techno Z (sulphur 67% + zinc 14%), (SML Limited, Mumbai, India), an advanced microgranular sulphur/zinc fertilizer (WG formulation) with patented ORT technology (Optimal Release Technology) on selected parameters of tomatoes grown under greenhouse conditions in three countries: Italy, Poland and Spain. These three countries are among the main tomato producers in Europe, which is why they were chosen as the research area. Examining how the use of fertilizers will affect production in this area is important in light of the development of the European agricultural market. The research focused not only on yield but also investigated the impact of Techno Z on the overall health of plants, comparing it with zone reference products.
2. Materials and Methods
The research was conducted to confirm the hypothesis, assuming that the use of modern Techno Z fertilizer with patented ORT Technology might have a positive effect on selected tomato growth parameters and ensure yielding at a comparable or higher level compared to reference products. The experiment was conducted in three countries: Poland (one location), Spain (two locations), and Italy (two locations) in 2023 using treatments presented in Table 1. The dose range used was based on the manufacturer’s recommendations.
Table 1.
Experimental combinations.
The plots with zone reference products were also set in each location in order to compare the effect of Techno Z tested combinations of the reference products available in the market. In Spain, these were the products: Afesol and Folvian Zn, in Italy: Sulfur Top and zinc sulphate, and in Poland: Wigor S and zinc sulphate. All plots were randomized and a complete block design with four replicates. Fertilizers were applied in each combination using a motorized backpack sprayer. Plant parameters such as SPAD (chlorophyll content, 0–100%), NDVI (Normalized Differential Vegetation Index, 0–1) and yield of marketable fruits were measured. For SPAD (SPAD MC-100, Apogee), 30 measurements were taken per plot in 70 BBCH, and for NDVI (HCS 250 GreenSeeker, Trimble), five measurements per plot in 60 BBCH. The measurements were taken in the morning hours from the side without direct exposure to the sun, unified across the plots.
The data obtained were subjected to statistical analysis. The ARM 2023.6 software from Gylling Data Management was used. Data was analyzed using analysis of variance (ANOVA) on untransformed values and on transformed ones if the Levene’s test indicated so. Student–Newman–Keuls’s test was used to separate means based on the ANOVA test at 85% confidence level.
3. Research Sites
3.1. Spain
There were two experimental locations: the first on was Zafarraya (SP-1), southern Spain, near Malaga and in Los Palacios y Villafranca (SP-2), south-western Spain, near Seville. In location SP-1, the Obelix tomato variety was grown in the greenhouse. The soil was clayey loam, with a good nutrient content. During the experiment tested fertilizers were applied to individual plots thrice (A, B, and C). Application A was performed on 23rd June at crop growth stage BBCH 13 (after replanting), application B on 7th July at crop growth stage BBCH 65 (flowering stage), and application C on 11th August at crop growth stage BBCH 73 (fruit development stage). Weather data were collected from the weather station located in Zafarraya, 2.3 km from the greenhouse. The weather during the test period was warmer and with less rainfall as compared to the seasonal average of recent years. Meteorological data are presented in Table 2.
Table 2.
Locations’ no. of applications, study periods and meteorological data of experiments.
The second Spanish location was Los Palacios y Villafranca (SP-2). The experiment was conducted with Suzana, a tomato variety utilized for industrial processing. The soil in greenhouse was sandy clay loam, with good nutrient content. Preparations were applied to individual plots twice (A and B). Application A was performed on 30th June at crop growth stage BBCH 13 (after replanting) and application B on 3rd August at crop growth stage BBCH 51 (flower bud development). Weather data were collected from the weather station located in Ifapa Los Palacios, 1.2 km from the tomato field. The weather during the experiment was warmer and with less rainfall as compared to the seasonal average of recent years. Meteorological data are presented in Table 1.
3.2. Italy
In Italy, the experiment was conducted in two locations: Palagiano (IT-1) in the center of the southern region of Italy, Puglia. The studies were conducted on greenhouse tomato, Volare variety. The soil was sandy, with a fair amount of nutrients. The plants were treated thrice with fertilizers being tested. The first application was performed on 6th July, five days after replanting, the second one on 8th August, during flowering stage, and the last on 7th October, during fruit development stage. Weather data were collected from the weather station located in Massafra, 6.2 km from the greenhouse. The weather during the test period was warmer and the rainfall was comparable to the seasonal average of recent years. Meteorological data are presented in Table 1.
The second location was Ravenna (IT-2), inside the upper-central region of Italy, Emilia-Romagna. The experiment was conducted on industrial tomato variety Heinz 2009 F1. The soil was sandy silty loam, with a fair content of nutrients. Fertilizers were applied twice. The first application was performed on 3rd June, seven days after replanting and the second one on 27th July, during fruit development stage. Weather data were collected from the weather station located in Fosso Ghiaia (RA), 11 km from the tomato field. The weather during the test period was warmer and the rainfall was comparable to the seasonal average of recent years. Meteorological data are presented in Table 1.
3.3. Poland
In Poland, the experiment was conducted in Nożyczyn, located in the northern part of the country. Tomato variety Paronset was used and hand-replanted in greenhouse on June 5th. Fertilizers were applied three times: June 7th, July 7th and August 11th. The first application was performed two days after replanting and the second during the flowering stage of the crop. The last application was performed during the fruit development stage, when the fruits began to change colour. The soil in greenhouse was classified as sandy clay loam. Weather data were collected from the weather station located in Strzelno, 14 km from the greenhouse. Meteorological data are presented in Table 1.
4. Results
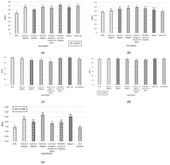
4.1. NDVI
The experiment in Los Palacios y Villafranca (Spain, SP-2), where two doses of fertilizer were applied, showed that Techno Z evidently improved the NDVI of the crop canopy as compared to untreated plots. Techno Z at 40 kg∙ha−1 dose rate showed 0.57 NDVI value, whereas the NDVI value was 0.55 after Techno Z application at 30 kg∙ha−1. These two treatments were statistically similar; the NDVI recorded in untreated plots was only 0.48. The highest NDVI value (0.59) was recorded in the plots where Techno Z was applied at 20 kg∙ha−1 in combination with Trackon at 10 kg∙ha−1 dose rate (Figure 1b).
Figure 1.
NDVI values for specific treatments (a) after triple application in Spain (SP-1); (b) after double application in Spain (SP-2); (c) after triple application in Italy (IT-1); (d) after double application in Italy (IT-2); (e) after triple application in Poland. Different lowercase letters indicate a statistically significant difference.
In location SP-1, where Techno Z was applied three times, it was observed that this preparation evidently improved the NDVI of the crop canopy as compared to the untreated plots. Techno Z application at 40 kg∙ha−1 dose rate resulted in 0.67 NDVI value. The same value was also noted for Techno Z applied at 20 kg∙ha−1 dose rate. These two treatments were statistically similar along with Techno Z at 20 kg∙ha−1 + Trackon at 10 kg∙ha−1 and Afesol at 150 kg∙ha−1; the NDVI recorded in untreated plots was only 0.51. The highest NDVI value (0.72) was noted for the plots treated with Techno Z at 30 kg∙ha−1 with 25% reduced NPK dose rate (Figure 1a).
In Poland, application of two doses of Techno Z in the greenhouse experiment resulted in significant differences in NDVI values. Techno Z applied at 40 kg∙ha−1 showed the highest NDVI value (0.65), which was statistically similar only to treatment with Wigor S at 33 kg∙ha−1 and significantly better than any other treatments in the trial (Figure 1e). In contrast, different results for the NDVI index were obtained in Italy. For both triple (Figure 1c) and double (Figure 1d) fertilizer application, no significant differences in NDVI values were observed.
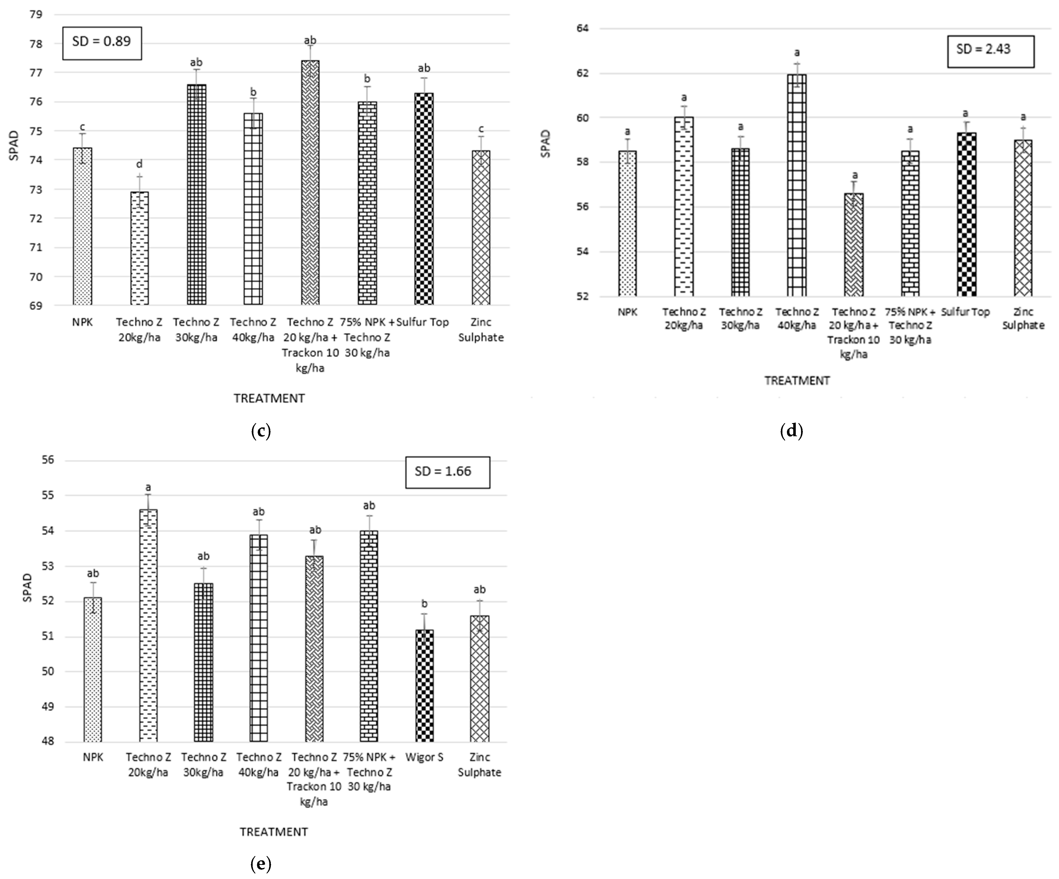
4.2. Chlorophyll Content-SPAD
In Italy, where Techno Z was applied twice (IT-2), no statistically significant difference for SPAD value was observed among the treatment. However, Techno Z applied at 40 kg∙ha−1 showed slightly numerical improvement compared to untreated plots (Figure 2d). With its application, a result of 61.9 was achieved, and for the untreated crop, it was 58.5. The same value as for untreated plants was also achieved for 75% NPK + Techno Z 30 kg∙ha−1. Interestingly, the lowest SPAD value was obtained when using the Techno Z 20 kg∙ha−1 + Trackon 10 kg∙ha−1. It was equal to 56.5.

Figure 2.
Chlorophyll content-SPAD values for specific treatments (a) after triple application in Spain (SP-1); (b) after double application in Spain (SP-2); (c) after triple application in Italy (IT-1); (d) after double application in Italy (IT-2); (e) after triple application in Poland. Different lowercase letters indicate a statistically significant difference.
In the case of Italy, where Techno Z was applied three times (IT-1), statistically significant differences were obtained between the control plot and the different doses of Techno Z. However, these results were inconclusive with regard to the effect of this fertilizer. For the untreated plot, a value of 74.4 was obtained, while for Techno Z applied at 20 kg∙ha−1 dose rate, the value was significantly lower at 72.9. Interestingly for Techno Z applied at 30 kg∙ha−1 and 40 kg∙ha−1 dose rate, a significant improvement in this parameter was observed and the results obtained were 76.6 and 75.6, respectively. However, the best result was achieved for Techno Z 20 kg∙ha−1 + Trackon 10 kg∙ha−1 equal to 77.4 (Figure 2c). In the case of 75% NPK + Techno Z 30 kg∙ha−1 as well as Sulfur Top, a significant improvement in the parameter was also observed and the results were 76 and 76.3, respectively. However, no significant effect was observed with the application of zinc sulphate compared to the untreated plot.
In Spain, for double fertilization (SP-2), no significant differences were observed in the SPAD-obtained values (Figure 2b). However, a similar trend to the IT-1 location was noticeable. For Techno Z applied at 20 kg∙ha−1 dose rate, a lower value was obtained (54.9) than for the untreated plot (55.7), while for the other treatments, the values were higher and ranged from 56 to 57.4. The highest result of 57.4 was obtained for Afesol. For the Folvian Zn application, the value was similar to the control at 55.9.
In contrast, different results were obtained for Spain at triple fertilization (SP-1). Here, SPAD values improved significantly for the Techno Z-applied treatment at 20 kg∙ha−1 dose rate, 30 kg∙ha−1 dose rate and Techno Z 20 kg∙ha−1 + Trackon 10 kg∙ha−1, and were 72.8, 72.3 and 72.2, respectively. For the untreated plot, a value of 68.3 was reached and was not statistically different from the values obtained for the other treatments (Figure 2a).
For the experiment in Poland, no significant differences in SPAD values were observed between the control plot and the individual treatments (Figure 2e). The lowest values were obtained for Wigor S (51.2) and zinc sulphate (51.6) and were lower than the untreated plot (52.1). The highest result of 54.6 was recorded for Techno Z applied at 20 kg∙ha−1 dose rate.
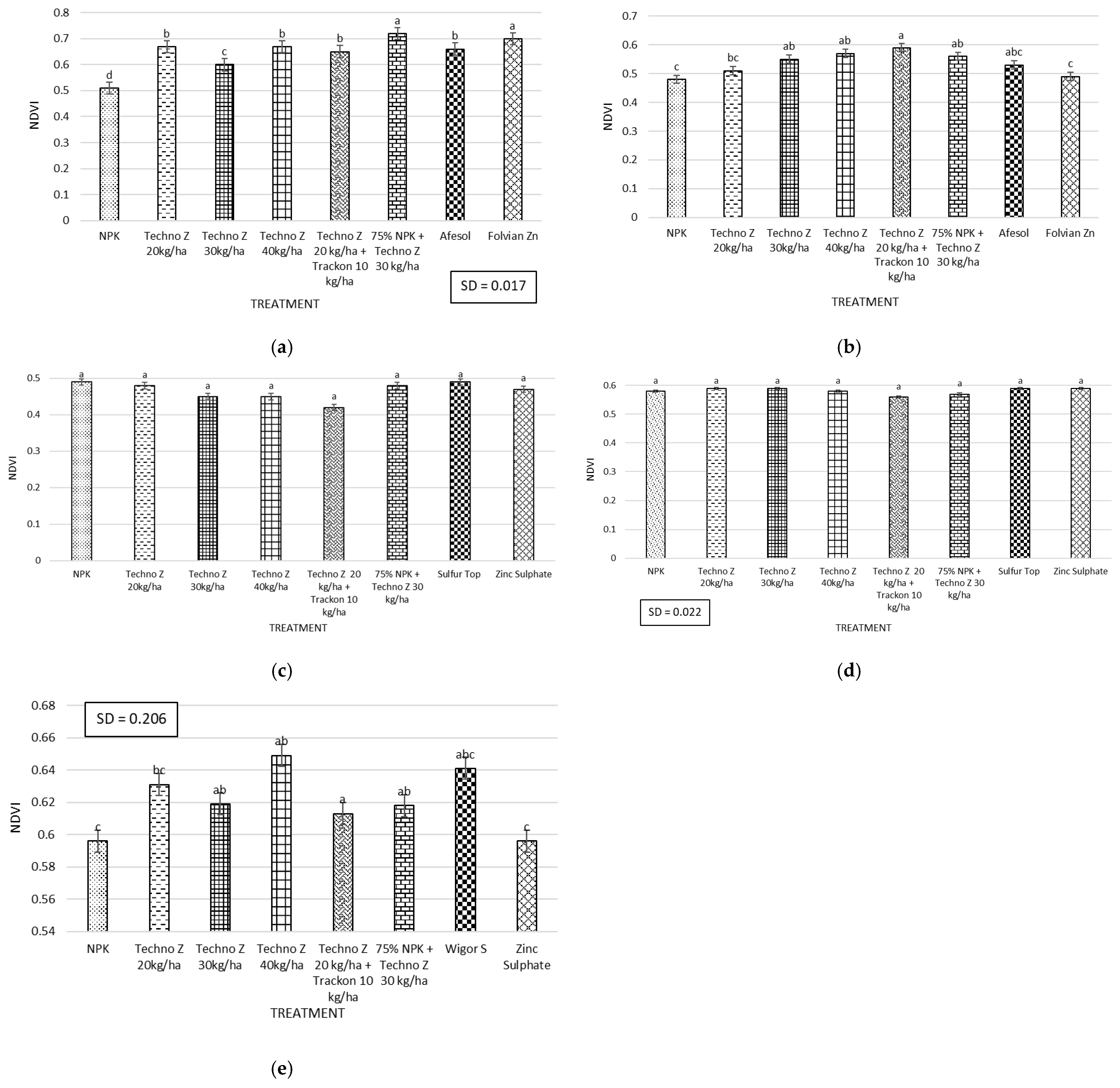
4.3. Marketable Yield
Looking at the results obtained for Italy, where fertilizer was applied twice (IT-2), the obtained values varied between 60.5 and 66.5 t∙ha−1 (Figure 3d). The lowest result was achieved with the application of Sulfur Top and the highest with Techno Z at 40 kg∙ha−1 dose. Furthermore, there was no statistically significant difference in yield among the treatments, but Techno Z at 40 kg∙ha−1 dose rate increased by 4.7 t∙ha−1 the marketable yield of industrial tomatoes, compared to the untreated plots. This result showed a tendency to improve marketable yield by Techno Z application.
Figure 3.
Marketable yield for specific treatments (a) after triple application in Spain (SP-1); (b) after double application in Spain (SP-2); (c) after triple application in Italy (IT-1); (d) after double application in Italy (IT-2); (e) after triple application in Poland. Different lowercase letters indicate a statistically significant difference.
In the case of the triple dose application (IT-1), it was observed that there was no statistically significant difference in yield among the treatments, but Techno Z at 40 kg∙ha−1 dose rate increased by 0.7 t∙ha−1 the marketable yield of greenhouse tomatoes, compared to the untreated plots (Figure 3c). All the treatments showed a yield between 10.8 t∙ha−1 and 11.7 t∙ha−1. The smallest value was obtained for Techno Z 20 kg∙ha−1 + Trackon 10 kg∙ha−1 and was 10.8 t∙ha−1, less than the untreated plot. A lower value than the control plot was also obtained for zinc sulphate at 10.9 t∙ha−1. In other cases, the value was slightly higher than the untreated plot.
In Spain, after a double dose application (SP-2), it was found that the untreated check showed the lowest marketable fruits’ yield with 50.5 t∙ha−1 (Figure 3b). This result was statistically comparable with treatments in which products Afesol and Folivan Zn were used. All the other treatments with experimental product Techno Z recorded a greater yield, both numerically and statistically. Techno Z at 40 kg∙ha−1 dose rate recorded the highest yield, 54.3 t∙ha−1, which was 3.8 t∙ha−1 yield improvement compared to the untreated plots. Techno Z increased the marketable yield by 7.6 percent compared to the untreated plots in treatment Techno Z at 40 kg∙ha−1, whereas the growth was 6.7 percent with treatment by Techno Z at 30 kg∙ha−1. Furthermore, the Techno Z product clearly outperformed the market standard Afesol and Folivan Zn in marketable yield.
In Poland, Techno Z applied at 40 kg∙ha−1 dose rate resulted in 18.7% total yield improvement compared to untreated plots, which itself is a testament to the product efficacy (Figure 3e). This resulted in 137.46 t∙ha−1 and the control plot, 117.67 t∙ha−1 (increase of 19.79 t∙ha−1). However, the difference was not statistically significant. For all treatments, Techno Z outperformed the control plot, and the results were 123.58 t∙ha−1 for Techno Z applied at 20 kg∙ha−1, 128.54 t∙ha−1 for the 30 kg dose, 124. 42 t∙ha−1 for Techno Z 20 kg∙ha−1 + Trackon 10 kg∙ha−1 and 120.92 t∙ha−1 for 75% NPK + Techno Z 30 kg∙ha−1. Wigor S and zinc sulphate achieved lower results than the untreated trial and were 115.75 t∙ha−1 and 117.54 t∙ha−1, respectively.
5. Discussion
The results showed variable NDVI response to application of Techno Z across different locations. In Spain (SP-2), there was notably higher NDVI as compared to control plots with values ranging from 0.48 in untreated combinations to 0.55–0.57 with various application rates and reaching 0.59 when combined with Trackon. Similarly positive results were observed in Spain (SP-1), where the highest NDVI value (0.72) was achieved with Techno Z at 30 kg∙ha−1 with reduced NPK, compared to just 0.51 in untreated plots. The Polish greenhouse experiment also demonstrated significant improvements in NDVI with Techno Z application at 40 kg∙ha−1.
The positive NDVI response to Techno Z application complies with findings from the study of [25] examining spectral vegetation indices in fertilizer assessment. Research on industrial tomato production have confirmed that temporal variability between vegetation indices and foliar nitrogen content exhibits significant positive correlation with productivity, particularly during the flowering stage [26]. This provides scientific validation for using NDVI as a predictive tool for yield assessment, as demonstrated in our Techno Z experiments.
This approach allows for more precise application of fertilizer based more on plant nutritional needs rather than predetermined schemes. NDVI improvements obtained with Techno Z, particularly at the 40 kg∙ha−1 rate, suggest that this fertilizer effectively enhances overall vigour of tomato plants. Indices including NDVI can be used for implementation of nitrogen fertilization methodologies, resulting in potential reduction in nitrogen application by 25.2% to 43.8% without significant deterioration of plant productivity or fruit quality [25].
The experiments in Italy showed no significant differences in NDVI values between treatments, which contrasts with the positive results observed in Spain and Poland. This regional variation reflects the complex interaction between fertilizer efficacy and local environmental conditions. Regional variations in NDVI response were also observed in other studies, such as the research on rice productivity under combinations of fertilizer doses and irrigation management [27]. This underscores the importance of considering local soil conditions, climate and cultivation practices when interpreting NDVI data and making fertilizer recommendations.
Chlorophyll content, measured as SPAD values, exhibited inconsistent responses to Techno Z applications. While significant improvements were recorded in some locations (SP-1, IT-1, Poland), no statistically significant differences were noted in other ones (IT-2, SP-2). This variable response is in contrast with the findings from other research, where zinc applications consistently enhanced vegetative growth parameters and chlorophyll content.
These variable SPAD responses correspond with findings in the literature. Research on organo-mineral fertilizers has demonstrated that foliar applications can increase leaf greenness index (SPAD) compared to control treatments, with a positive correlation (R2 = 0.726) between SPAD and marketable yield [28]. Such a correlation suggests that SPAD may be one of the indicators of potential productivity. The complex relationship between fertilizer application and chlorophyll content was also evident in research on ammonium–nitrate ratios in fertilizers. Wang et al. found that optimizing the ammonium-to-nitrate nitrogen mass ratio positively affected tomato nutritional value and quality parameters [29]. It may suggest that the effectiveness of Techno Z in increasing chlorophyll content may be affected by the specific nutrient forms and ratios contained in the fertilizer.
The relationship between fertilization and chlorophyll does not only refer to traditional fertilizers. Studies on microbial biofertilizers and algae-based biostimulants in organic tomato production reported positive effects on SPAD values [30]. This suggests potential of biological components in enhancement of chlorophyll development through mechanisms different from conventional nutrient supply. Research on selenium fertilizer application on tomato plants demonstrated effect of micronutrients on chlorophyll content and overall plant physiological status [31]. Foliar application of zinc and boron on tomatoes at appropriate concentrations can increase the leaf chlorophyll content, which translates into better plant growth. However, the effectiveness of this application depends on the concentration, form of micronutrients and environmental conditions [32,33]. Macro- and micronutrient availability dependent on specific local conditions may explain variability observed in chlorophyll content responses to Techno Z application at different experimental locations.
One of the most important parameters for evaluating fertilization effectiveness is its impact on the marketable yield. Techno Z increased this parameter of tomatoes compared to the control combination, but these differences were not statistically significant.
These findings align with other research showing that zinc fertilization can substantially increase tomato yield [9]. Nas and Duman [34] confirmed that zinc application resulted in higher yield compared to zinc-free and control treatments of several tomato cultivars under various production seasons. Ahmed et al. [17] noted that after foliar spraying with 100 ppm ZnO-NPs, tomato yields in greenhouses increased by 200% compared to the control group. They also found that spraying is more effective than the use of traditional zinc fertilizers. Positive results were also obtained by Khatri [35], in whose experiment foliar application of chelated zinc at a dose of 30 ppm contributed to an increase in tomato yield. After this application, they obtained a yield of 56.56 t∙ha−1, while the control yield was 34.26 t∙ha−1. Moreover, foliar application of zinc and boron was reported effective in significant increase in tomato yields. In particular, the combination of zinc and boron, each at a concentration of 100 ppm (T8), resulted in earlier flowering, a higher number of flowers and fruit yield [32].
Considering the effectiveness of zinc fertilization, it is important to consider its form. Studies on application of ZnO nanoparticles showed that their application can lead to better results compared to classical zinc fertilizers, e.g., foliar application of 100 ppm ZnO nanoparticles produced the best results in terms of growth parameters, physiological traits, yield and tomato fruit quality [36]. Both nanoparticle size and concentration significantly affect plant response [37]. The way of nanoparticle formation also affects their efficiency in plant fertilization. The comparison of biosynthesized ZnO-NPs with their chemically synthesized equivalents found that the use of biosynthesized nanoparticles at 250 ppm combined with algal extract resulted in better plant quality parameters [38]. Zinc used as nanoparticles may be more effective than conventional sources of this element and show the potential for reduced application rates while maintaining quality traits of plants [39].
6. Summary
The tomato is one of the most popular vegetables grown around the world. Consumption is constantly growing, and demand is much higher in many countries than domestic production. Therefore, measures to increase crop yields, such as appropriate fertilization, are extremely important. This study aimed to determine the effect of the application of the sulphur/zinc fertilizer Techno Z (sulphur 67% + zinc 14%) on greenhouse-grown tomato. The improvement in the NDVI index was observed in treated combinations compared to controls in Spain and Poland. Regarding yield, there were no statistically significant differences among treatments. However, consideration of the absolute values the 40 kg∙ha−1 dose of Techno Z showed the highest performance increasing marketable yield by up to 19.79 t∙ha−1, compared to the control plot.
As a result of the experiment, we confirmed the hypothesis that in general, the tested fertilizer positively affected the selected plant growth parameters and yield. However, the difference was not statistically significant for some parameters and locations. In all analyzed cases, the effects of the tested fertilizer were comparable to reference products or higher at a statistically significant level.
Obtained results confirmed that the modern fertilizer, which is Techno Z containing high concentration of sulphur and zinc, can enhance the delivery of nutrients, especially sulphur and zinc, to crops by utilizing microgranular formulation and slow-release mechanisms; this has potential and can be recommended to the tomato producers. Therefore, it can be considered a solution that supports better use of nutrients and limits their soil losses and, thus, reducing the burden to the soil environment.
Author Contributions
Conceptualization, K.S.B., N.P. and D.P.; methodology, K.S.B., N.P. and D.P.; software, J.K., M.J. and N.P.; validation, D.P., J.K. and A.Ł.; formal analysis, M.J., F.P.-F. and D.P.; investigation, D.P. and J.D.D.M.; resources, D.P. and J.D.D.M.; data curation, D.P., J.D.D.M. and N.P. writing—original draft preparation, J.K., A.Ł. and D.P.; writing—review and editing, D.P., J.K., A.Ł. and F.P.-F.; visualization, J.K., A.Ł. and M.J.; supervision, D.P. and N.P.; project administration, D.P. and N.P.; funding acquisition, K.S.B., N.P. and F.P.-F. All authors have read and agreed to the published version of the manuscript.
Funding
This research received no external funding.
Institutional Review Board Statement
Not applicable.
Informed Consent Statement
Not applicable.
Data Availability Statement
The datasets presented in this article are not readily available because they are part of an ongoing study. Further inquiries can be directed to the corresponding author(s).
Acknowledgments
Products tested in this research were provided by SML Limited 404/405, 604/605, 349, Business Point, Western Express Highway, Mumbai—400069, India. The research was partially conducted based on resources of AGRICOLA 2000 SCpA, via Trieste 9, Tribiano, Milano, Italy. The authors gratefully acknowledge their support.
Conflicts of Interest
Jean De Dieu Muhire is the employee of The Plant Breeding Company Grunwald Ltd., Group IHAR, Niladri Pati is the employee of Agricola 2000 SCpA. and Komal Shah Bhukhanwala is the employee of SML Limited. The authors declare that the companies had no role in the design of the study; in the collection, analyses, or interpretation of data; in the writing of the manuscript; or in the decision to publish the results. The authors declare no conflicts of interest.
References
- Zhang, J.; Xiang, L.; Liu, Y.; Jing, D.; Zhang, L.; Liu, Y.; Li, W.; Wang, X.; Li, T.; Li, J. Optimizing Irrigation Schedules of Greenhouse Tomato Based on a Comprehensive Evaluation Model. Agric. Water Manag. 2024, 295, 108741. [Google Scholar] [CrossRef]
- Gao, F.; Li, H.; Mu, X.; Gao, H.; Zhang, Y.; Li, R.; Cao, K.; Ye, L. Effects of Organic Fertilizer Application on Tomato Yield and Quality: A Meta-Analysis. Appl. Sci. 2023, 13, 2184. [Google Scholar] [CrossRef]
- Argento, S.; Garcia, G.; Treccarichi, S. Sustainable and Low-Input Techniques in Mediterranean Greenhouse Vegetable Production. Horticulturae 2024, 10, 997. [Google Scholar] [CrossRef]
- Fridman, E.; Pleban, T.; Zamir, D. A Recombination Hotspot Delimits a Wild-Species Quantitative Trait Locus for Tomato Sugar Content to 484 Bp within an Invertase Gene. Proc. Natl. Acad. Sci. USA 2000, 97, 4718–4723. [Google Scholar] [CrossRef]
- Dumas, Y.; Dadomo, M.; Di Lucca, G.; Grolier, P. Effects of Environmental Factors and Agricultural Techniques on Antioxidant content of Tomatoes. J. Sci. Food Agric. 2003, 83, 369–382. [Google Scholar] [CrossRef]
- Bettiol, W.; Ghini, R.; Galvão, J.A.H.; Siloto, R.C. Organic and Conventional Tomato Cropping Systems. Sci. Agric. 2004, 61, 253–259. [Google Scholar] [CrossRef]
- Ronga, D.; Francia, E.; Rizza, F.; Badeck, F.-W.; Caradonia, F.; Montevecchi, G.; Pecchioni, N. Changes in Yield Components, Morphological, Physiological and Fruit Quality Traits in Processing Tomato Cultivated in Italy since the 1930’s. Sci. Hortic. 2019, 257, 108726. [Google Scholar] [CrossRef]
- Alloway, B.J. Soil Factors Associated with Zinc Deficiency in Crops and Humans. Environ. Geochem. Health 2009, 31, 537–548. [Google Scholar] [CrossRef]
- Prasad, P.N.S.; Subbarayappa, C.T.; Sathish, A.; Ramamurthy, V. Impact of Zinc Fertilization on Tomato (Solanum lycopersicum L.) Yield, Zinc Use Efficiency, Growth and Quality Parameters in Eastern Dry Zone (EDZ) Soils of Karnataka, India. Int. J. Plant Soil Sci. 2021, 33, 20–38. [Google Scholar] [CrossRef]
- Mousavi, S.R. Zinc in Crop Production and Interaction with Phosphorus. Aust. J. Basic Appl. Sci. 2011, 5, 1503–1509. [Google Scholar]
- Nawaz, H.; Zubair, M.; Derawadan, H. Interactive Effects of Nitrogen, Phosphorus and Zinc on Growth and Yield of Tomato (Solanum lycopersicum). Afr. J. Agric. Res. 2012, 7, 3792–3799. [Google Scholar] [CrossRef]
- Saravaiya, S.N.; Jadhav, P.B.; Wakchaure, S.S.; Harad, N.B.; Patil, N.B.; Dekhane, S.S.; Patel, D.J. Influence of Foliar Application of Micronutrients on Tomato (Lycopersicon esculentum Mill.) Cv. “Gujarat Tomato 2.” . Int. J. Trop. Agric. 2014, 32, 451–458. [Google Scholar]
- Harris, K.D.; Vellupillai, M. Effects of Foliar Application of Boron and Zinc and Their Combinations on the Quality of Tomato (Lycopersicon esculentum Mill.). Eur. Acad. Res. 2015, III, 1097–1112. [Google Scholar]
- Ullah, R.; Ayub, G.; Ilyas, M.; Ahmad, M.; Umar, M.; Mukhtar, S.; Farooq, S. Growth and Yield of Tomato (Lycopersicon esculentum L.) As Influenced By Different Levels of Zinc and Boron as Foliar Application. Am.-Eurasian J. Agric. Environ. Sci. 2015, 15, 2495–2498. [Google Scholar]
- Singh, B.; Kasera, S.; Mishra, S.K.; Roy, S.; Rana, S.; Singh, D. Growth Yield and Quality of Cherry Tomato as Influenced by Foliar Application of Zinc and Boron. J. Pharmacogn. Phytochem. 2017, SP1, 911–914. [Google Scholar]
- Haleema, B.; Rab, A.; Hussain, S.A. Effect of Calcium, Boron and Zinc Foliar Application on Growth and Fruit Production of Tomato. Sarhad J. Agric. 2018, 34, 19–30. [Google Scholar] [CrossRef]
- Ahmed, R.; Yusoff Abd Samad, M.; Uddin, M.K.; Quddus, M.A.; Hossain, M.A.M. Recent Trends in the Foliar Spraying of Zinc Nutrient and Zinc Oxide Nanoparticles in Tomato Production. Agronomy 2021, 11, 2074. [Google Scholar] [CrossRef]
- Broadley, M.R.; White, P.J.; Hammond, J.P.; Zelko, I.; Lux, A. Zinc in Plants. New Phytol. 2007, 173, 677–702. [Google Scholar] [CrossRef]
- Sbartai, H.; Djebar, M.R.; Rouabhi, R.; Sbartai, I.; Berrebbah, H. Antioxidative Response in Tomato Plants Lycopersicon esculentum L. Roots and Leaves to Zinc. Am.-Eurasian J. Toxicol. Sci. 2011, 3, 41–46. [Google Scholar]
- Marschner, P. Marschner’s Mineral Nutrition of Higher Plants, 3rd ed.; Elsevier: Amsterdam, The Netherlands, 2012; ISBN 978-0-12-384905-2. [Google Scholar]
- Alloway, B.J. Zinc in Soils and Crop Nutrition, 2nd ed.; International Zinc Association: Bruxelles, Belgium, 2008; ISBN 978-90-813331-0-8. [Google Scholar]
- Faizan, M.; Hayat, S. Effect of Foliar Spray of ZnO-NPs on the Physiological Parameters and Antioxidant Systems of Lycopersicon esculentum. Pol. J. Nat. Sci. 2019, 34, 87–105. [Google Scholar]
- Patil, B.C.; Hosamani, R.M.; Ajjappalavara, P.S.; Naik, B.H.; Smitha, R.P.; Ukkund, K.C. Effect of Foliar Application of Micronutrients on Growth and Yield Components of Tomato (Lycopersicon esculentum Mill.). Karnataka J. Agric. Sci. 2008, 21, 428–430. [Google Scholar]
- Shreevastav, C.K.; Subedi, S.; Gajure, S.; Basnet, P. A Review on Nutrient Deficency Symptoms and Effects on Tomato Plant. Food Agri Econ. Rev. 2022, 2, 34–36. [Google Scholar] [CrossRef]
- Oliveira, T.F.; Pinto, F.A.C.; Silva, D.J.H. Spectral Vegetation Indexes Applied to Nitrogen Sufficiency Indes: A Strategy with Potential to Increase Nitrogen Use Efficiency on Tomato Crop. Eng. Agríc. 2019, 39, 118–126. [Google Scholar] [CrossRef]
- de O. Martins, M.P.; dos Reis, E.F.; de L. Lopes, L. Spatial and Temporal Variability of Vegetation Indices with Industrial Tomato Yield. J. Sustain. Dev. 2023, 16, 42. [Google Scholar] [CrossRef]
- Kimaro, O.D.; Gebre, S.L.; Hieronimo, P.; Kihupi, N.; Feger, K.-H.; Kimaro, D.N. Handheld NDVI Sensor-Based Rice Productivity Assessment under Combinations of Fertilizer Soil Amendment and Irrigation Water Management in Lower Moshi Irrigation Scheme, North Tanzania. Environ. Earth Sci. 2023, 82, 78. [Google Scholar] [CrossRef]
- Disciglio, G.; Tarantino, A.; Frabboni, L. Yield and Fruit Characteristics of Tomato Crops Grown with Mineral Macronutrients: Impact of Organo-Mineral Fertilizers through Foliar or Soil Applications. Plants 2024, 13, 1458. [Google Scholar] [CrossRef]
- Wang, C.; Wu, G.; Wang, H.; Wang, J.; Yuan, M.; Guo, X.; Liu, C.; Xing, S.; Sun, Y.; Talpur, M.M.A. Optimizing Tomato Cultivation: Impact of Ammonium–Nitrate Ratios on Growth, Nutrient Uptake, and Fertilizer Utilization. Sustainability 2024, 16, 5373. [Google Scholar] [CrossRef]
- Quintarelli, V.; Borgatti, D.; Baretta, M.; Stazi, S.R.; Allevato, E.; Pancaldi, S.; Baldisserotto, C.; Mancinelli, R.; Tedeschi, P.; Radicetti, E.; et al. Microbial Biofertilizers and Algae-based Biostimulant Affect Fruit Yield Characteristics of Organic Processing Tomato. J. Sci. Food Agric. 2025, 105, 530–539. [Google Scholar] [CrossRef] [PubMed]
- Kang, Y.; Ming, J.; Fu, W.; Long, L.; Wen, X.; Zhang, Q.; Xiang, J.; Zhu, Y.; Yin, H. Selenium Fertilizer Improves Microbial Community Structure and Diversity of Rhizospheric Soil and Selenium Accumulation in Tomato Plants. Commun. Soil Sci. Plant Anal. 2024, 55, 1430–1444. [Google Scholar] [CrossRef]
- Meena, D.C.; Maji, S.; Meena, J.K.; Kumawat, G.R.; Meena, K.R.; Kumar, S.; Sodh, K. Improvement of Growth, Yield and Quality of Tomato (Solanum lycopersicum L.) Cv. Azad T-6 with Foliar Application of Zinc and Boron. Int. J. Bio-Resour. Stress Manag. 2015, 6, 598. [Google Scholar] [CrossRef]
- Banjade, D.; Khanal, D.; Shrestha, A. Effect of Zinc and Boron Foliar Application on Tomato Growth and Yield under Protected Structure. Int. J. Agric. Appl. Sci. 2023, 4, 39–45. [Google Scholar] [CrossRef]
- Nas, Y.; Duman, İ. The Effect of Zinc Fertilization on Yield and Quality of Commercial Processing Tomato (Solanum lycopersicum L.) Cultivars. Ege Üniversitesi Ziraat Fakültesi Derg. 2024, 61, 285–296. [Google Scholar] [CrossRef]
- Khatri, D.; Bhattarai, K.; Thapa, P.; Wagle, N.; Yadav, P.K. Effect of Foliar Spray of Zinc and Boron on Performance of Tomato (Solanum lycopersicum) CV. Manisha under Net House Condition. Russ. J. Agric. Socio-Econ. Sci. 2022, 5, 252–261. [Google Scholar] [CrossRef]
- Ahmed, R.; Uddin, M.K.; Quddus, M.A.; Samad, M.Y.A.; Hossain, M.A.M.; Haque, A.N.A. Impact of Foliar Application of Zinc and Zinc Oxide Nanoparticles on Growth, Yield, Nutrient Uptake and Quality of Tomato. Horticulturae 2023, 9, 162. [Google Scholar] [CrossRef]
- Włodarczyk, K.; Smolińska, B. The Effect of Nano-ZnO on Seeds Germination Parameters of Different Tomatoes (Solanum lycopersicum L.) Cultivars. Molecules 2022, 27, 4963. [Google Scholar] [CrossRef]
- Abuo El-Kasem, S.A.A.; Tony, E.S.E.; Darwesh, O.M.; Matter, I.A. Effect of Scenedesmus Obliquus Extract and Its Biosynthesized Zinc Oxide Nanoparticles as Foliar Application on Growth and Yield of Tomato Grown in Late Summer Seasons. SVU-Int. J. Agric. Sci. 2024, 6, 45–65. [Google Scholar] [CrossRef]
- El-Raie, A.; Hassan, H.E.; Abd El-Rahman, A.A.; Arafat, A.A. Response of Tomato Plants to Different Rates of Zinc Nanoparticles Spraying as Foliar Fertilization. Misr J. Agric. Eng. 2015, 32, 1277–1294. [Google Scholar] [CrossRef]
Disclaimer/Publisher’s Note: The statements, opinions and data contained in all publications are solely those of the individual author(s) and contributor(s) and not of MDPI and/or the editor(s). MDPI and/or the editor(s) disclaim responsibility for any injury to people or property resulting from any ideas, methods, instructions or products referred to in the content. |
© 2025 by the authors. Licensee MDPI, Basel, Switzerland. This article is an open access article distributed under the terms and conditions of the Creative Commons Attribution (CC BY) license (https://creativecommons.org/licenses/by/4.0/).