Next Article in Journal
The Impact of Integrating Open Data in Smart Last-Mile Logistics: The Example of Pamplona Open Data Catalog
Previous Article in Journal
Seasonal Dynamics of Planktonic Algae in the Danjiangkou Reservoir: Nutrient Fluctuations and Ecological Implications
 
 
Font Type:
Arial Georgia Verdana
Font Size:
Aa Aa Aa
Line Spacing:
Column Width:
Background:
Article

Deep Reinforcement Learning-Based Real-Time Energy Management for an Integrated Electric–Thermal Energy System

College of Electrical Engineering, Sichuan University, Chengdu 610065, China
*
Author to whom correspondence should be addressed.
Sustainability 2025, 17(2), 407; https://doi.org/10.3390/su17020407
Submission received: 12 December 2024 / Revised: 5 January 2025 / Accepted: 6 January 2025 / Published: 7 January 2025
(This article belongs to the Section Energy Sustainability)

Abstract

Renewable energy plays a crucial role in achieving sustainable development and has the potential to meet humanity’s long-term energy requirements. Integrated electric–thermal energy systems are an important way to consume a high proportion of renewable energy. The intermittency and volatility of integrated electric–thermal energy systems make solving energy management optimization problems difficult. Thus, this paper proposes an energy management optimization method for an integrated electric–thermal energy system based on the improved proximal policy optimization algorithm, which effectively mitigates the problems of the traditional heuristic algorithms or mathematical planning methods with low accuracy and low solving efficiency. Meanwhile, the proposed algorithm enhances both the convergence speed and overall performance compared to the proximal policy optimization algorithm. This paper first establishes a mathematical model for the energy management of an integrated electric–thermal energy system. Then, the model is formulated as a Markov decision process, and a reward mechanism is designed to guide the agent to learn the uncertainty characteristics of renewable energy output and load consumption in the system through historical data. Finally, in the case study section, the proposed algorithm reduces the average running cost by 2.32% compared to the other algorithms discussed in this paper, thereby demonstrating its effectiveness and cost-efficiency.

1. Introduction

With the depletion of traditional fossil energy sources and the ever-prominent climate and environmental problems caused by their usage, renewable energy as a clean energy has been widely noticed and used [1,2]. This is because it utilizes nature’s renewable resources to provide clean energy and greatly reduces greenhouse gas emissions and environmental pollution while mitigating climate change. In addition, renewable energy is inexhaustible and capable of meeting human energy needs in the long term, reducing dependence on fossil fuels and offering the possibility of achieving the goal of sustainable development [3,4]. Integrated energy systems (IESs), in turn, serve as an important approach to accommodating renewable energy [5,6]. Due to the uncertainty, volatility, and large-scale integration of renewable energy, the complexity of energy management in integrated energy systems increases. Therefore, energy management systems (EMSs) are needed to ensure the efficient utilization of renewable energy and the stable operation of the system [7]. Existing research methods can be classified into two main categories based on the type of models and solution approaches: model-based deterministic methods and model-free learning-based methods [8]. Model-based methods rely on detailed system modeling and require knowledge of the system’s state transition mechanisms. Key research contributions mainly include metaheuristic optimization methods, mathematical programming methods, and control theory-based methods. Metaheuristic optimization methods are widely used in nonlinear optimization problems. For example, Ref. [9] implements an energy management task for island microgrids based on an improved particle swarm optimization (PSO) algorithm, taking into account the scalability of the system. However, the method does not store the optimization knowledge and use it for new tasks, and thus tends to lead to the challenge of inefficient searching. In order to solve this challenge, robust optimization and stochastic optimization based on mathematical planning have been widely used in energy management optimization problems. Refs. [10,11] characterize the uncertainty of the system as an uncertain set, which integrates the economy and robustness of the system, but the system exists in the most extreme cases, and the optimization results of robust optimization algorithms are conservative. Ref. [12] utilizes a large number of generated uncertain scenarios based on probability distributions to find the basic scenarios with relatively stable system operating costs under uncertain renewable energy generation, and the computational burden becomes heavy with the increasing number of scenarios to be considered. Several control theory-based approaches have also been used for optimal energy management problems [13,14]. To determine these results, it is necessary to estimate system uncertainties to construct an accurate optimization model and use a solver to derive the optimal scheduling strategy. The scheduling outcomes vary based on the choice of models and parameters, and the reliability of the results depends on the accuracy of the model parameters. In addition, if the topology, size, or capacity of the system changes, we need to re-model the system and re-design the solver, which is tedious [15].
In recent years, model-free learning-based methods have gained significant attention and have been successfully applied in power systems [16]. As a data-driven approach, model-free learning-based methods eliminate the need for explicit system models, enabling the model or strategy to be learned directly from data [17,18]. Ref. [19] discretizes the output of controllable units in a microgrid into multiple discrete actions and uses Q-learning algorithm to optimize the output size of the controllable units for economic operation. Ref. [20] uses DQN (Deep Q-Net) approach to solve the energy management problem of microgrids considering the uncertainty of real-time electricity price of the system. The DQN method solves the problem that Q-learning algorithms are prone to dimensional disaster problem. The above method requires a high discretization of the action space in order to make more appropriate decisions, which diminishes the algorithm’s effectiveness. In order to solve the dimensional disaster problem caused by the highly discretized action space, Ref. [21] proposes a deep reinforcement learning (DRL) method that can be used to solve the economic dispatch problem of microgrids containing different energy storage systems using a continuous action space learning strategy. Ref. [22] proposes using the deep deterministic policy gradient (DDPG) algorithm to solve the autonomous voltage control for power grid operations. However, the DDPG algorithm uses a greedy strategy to train the model, which leads to issues such as reduced search efficiency and insufficient search accuracy. The DDPG algorithm is suitable for high-dimensional continuous action space problems, and its training depends on the selection of hyperparameters [23]. Ref. [24] proposes using the proximal policy optimization (PPO) algorithm to solve the energy management problem of microgrids with safety constraints. The PPO algorithm is less sensitive to hyperparameters, which reduces the time required to select the correct hyperparameters [25].
To enhance the learning ability of the agent during its interaction with the environment and improve the robustness of the agent, an energy management optimization method for an integrated electric–thermal energy system based on an improved PPO algorithm is proposed. This method reduces the variation in training data by exploring all possible states in the integrated electric–thermal energy system, thereby smoothing the training process and improving the convergence performance of the algorithm. The effectiveness and economy of the proposed algorithm are verified through comparisons with other algorithms.
The main contributions of this paper are summarized as follows:
  • Considering the uncertainty of renewable energy, electricity price, and load demand, we formulate the energy management problem of the integrated electric–thermal energy system as a Markov decision process (MDP) with unknown transition probabilities.
  • To enhance the learning ability of the agent during its interaction with the environment, an improved PPO algorithm is proposed to solve the real-time energy management problem of the integrated electric–thermal energy system.
  • Case studies and numerical analysis using real power system history data are conducted to verify the effectiveness of the proposed improved PPO algorithm.
We briefly summarize the structure of this paper: after the introduction, Section 2 introduces the modeling process of the IES, defining the constraints and the objective function during the operation of the system. Section 3 introduces the modeling process of MDP, defining the state space, action space and reward function of the system. Section 4 describes how the proposed algorithm interacts with the IES and its updated strategy. Section 5 is the case study section, which verifies the effectiveness and economy of the proposed algorithm. Section 6 focuses on a summary of the whole paper, as well as the direction of future research.

2. Modeling of the IES for Simulation

First, the energy management optimization model for the integrated electric–thermal energy system is developed as a mathematical model. The objective is to enhance the system’s economic efficiency while meeting load demands, and to optimally and rationally schedule the outputs of various devices across different time periods. Taking the integrated electric–thermal energy system shown in Figure 1 as an example, the system includes a combined heat and power (CHP) unit, renewable energy generators (REW), a battery energy storage system (BESS), an electric boiler (EB), and typical load-side components.
The mathematical model is then expressed as a MDP model, and the elements required for the Markov decision process are subsequently defined.

2.1. Objective Function

The objective of energy management in the integrated electric–thermal energy system is to minimize the system’s operating costs, which include the costs of operating various devices, the cost of purchasing energy, and the depreciation costs of the devices. The mathematical expression is defined as follows:
min t = 1 T C t = min ( C g r i d + C c h p + C e b + C b e s s )
where C g r i d represents the cost of purchasing and selling electricity in the power market by the integrated electric–thermal energy system; C c h p represents the operating cost of the CHP unit; C e b represents the operating cost of the electric boiler; C b e s s represents the operating cost of the battery energy storage system. The expressions for each cost are defined as follows:
C g r i d = t = 1 T λ e t P g r i d t λ d i s c Δ h
C c h p = t = 1 T λ g a s t P c h p t Δ h η c h p
C e b = t = 1 T κ e b t P e b t
C b e s s = t = 1 T κ b e s s t P b e s s t
where λ e ( t ) represents the electricity price at time t ; λ d i s c is the electricity sales discount factor; P g r i d ( t ) is the power exchanged between the system and the power market at time t . When P g r i d t > 0 , it indicates that the system is purchasing electricity from the power market, and λ d i s c is set to 1; otherwise, it represents electricity sales; P c h p ( t ) is the electrical power of the CHP unit at time t ; λ g a s ( t ) is the price of natural gas per unit of heat value at time t ; η c h p is the unit cost coefficient of the CHP unit; P e b ( t ) is the electric power consumed by the electric boiler at time t ; κ e b is the unit cost coefficient of the electric boiler; P b e s s ( t ) is the power exchanged between the system and the battery energy storage system at time t . When P b e s s t > 0 , it indicates that the battery energy storage system is discharging, and when P b e s s t < 0 , it indicates charging; κ b e s s is the depreciation unit operation coefficient of the battery energy storage system.

2.2. Constraints

2.2.1. Power Balance Constraint

P r e w t + P c h p t + P b e s s t + P g r i d t P e b t = P l o a d t
Q c h p t + Q e b t = Q l o a d t
where P r e w t represents the renewable power output of the system at time t , including the output from wind turbines and photovoltaic panels; P l o a d ( t ) and Q l o a d ( t ) are the electrical and thermal loads of the system at time t ; Q c h p t is the thermal output of the CHP unit at time t ; Q e b t is the thermal output of the electric boiler at time t , where Q e b t = η e b P e b t , and η e b is the efficiency parameter of the electric boiler.

2.2.2. CHP Operating Constraints

| P c h p t P c h p t 1 | P c l i m b , m a x
| Q c h p t Q c h p t 1 | Q c l i m b , m a x
where P c l i m b , m a x represents the maximum value of electrical output climb of the unit in unit time, Q c l i m b , m a x represents the maximum value of thermal output climb of the unit in unit time. As shown in Figure 2, at time t , the CHP unit needs to operate within the feasible region indicated by points A, B, C, D, and E [15].

2.2.3. Electric Boiler Operating Constraints

P e b , m i n P e b t P e b , m a x
where P e b , m i n and P e b , m a x represent the minimum and maximum power consumption values of the electric boiler during operation, respectively.

2.2.4. Battery Energy Storage System Operating Constraints

S O C ( t ) = S O C t 1 η c h P b e s s t Δ h / E c a p         P b e s s < 0 S O C ( t ) = S O C ( t 1 ) P b e s s ( t ) Δ h / η d i s E c a p        P b e s s > 0
P b e s s t P b e s s , m a x
S O C m i n S O C ( t ) S O C m a x
where η c h and η d i s represent the charging and discharging efficiencies, respectively; S O C ( t ) is the state of charge of the battery energy storage system at time; E c a p is the rated capacity; P b e s s , m a x is the maximum charging and discharging power; SOCmin and S O C m a x are the minimum and maximum states of charge, respectively.

2.2.5. Grid Exchange Constraints

P g r i d t P g r i d , m a x
where P g r i d , m a x represents the maximum power exchanged between the integrated electric–thermal energy system and the power grid.

3. Formulation of IES Real-Time Energy Management

The energy management system of the integrated electric–thermal energy system is treated as an agent. The process of making optimal decisions, considering the uncertainties in renewable energy output, load, and electricity prices, can be modeled as an MDP. Deep reinforcement learning is a process in which an agent continuously interacts with the environment to seek optimal decisions. This process can be modeled as an MDP for decision-making. The training foundation of deep reinforcement learning is based on a tuple S , A , R , P , where S is the state space, A is the action space, R is the reward function, and P is the state transition function. At each time step, the agent observes a state s t S from the environment, then selects an action a t A based on the policy function π a t s t , receives an immediate reward r t , and finally, the environment transitions to the next state s t + 1 according to the state transition function. The goal of deep reinforcement learning is to find an optimal policy π * a t s t that maximizes the total reward.
The immediate reward r t reflects only the impact of the current action. The cumulative long-term effect of the policy π a t s t at state s t is defined as the cumulative reward R t .
R t = r t + γ r t + 1 + γ 2 r t + 2 + = k = 0 γ k r t + k
where γ [ 0,1 ] is the discount factor used to balance immediate and long-term rewards.
Under the framework of deep reinforcement learning, a Markov decision mechanism for the energy management optimization model of the integrated electric–thermal energy system is established. For the agent, the observed state from the environment includes the output of the renewable energy units not controlled by the system, electrical load, thermal load, electricity prices, as well as the output of the system-controlled CHP units at time t 1 and the state of charge of the battery energy storage system at time t . Therefore, the system’s state is defined as follows:
s t = { P r e w t , P l o a d t , Q l o a d t , λ e t , λ g a s t , S O C ( t ) , P c h p t 1 , Q c h p t 1 }
In the integrated electric–thermal energy system, the decision variables are the output of each device. Considering the temporal coupling of the unit outputs, this paper uses the output increments of the units as decision variables. Since if P c h p and P b e s s are determined, P e b and P g r i d can be derived from the power balance constraints. Therefore, the system’s action is defined as follows:
a t = Δ P c h p , Δ Q c h p , P b e s s
At time t , the system transitions to the next state s t + 1 based on the current state s t and the current action a t . The system’s state transition model is defined as follows:
P s s a = Pr s = s t + 1 s = s t , a = a t  
where P s s a represents the system state transition probability set. Under model-based deterministic algorithms, the system’s state transition model can be obtained through short-term forecasting [26] or Monte Carlo simulation [27]. In model-free reinforcement learning methods, there is no need for short-term forecasting or sampling simulations; instead, the system learns directly from real power system data to simulate interactions with the actual power system. By learning directly from historical state data of the real power system, there is no need to build a prediction model, thus avoiding prediction errors caused by models and parameters.
The design of the reward function needs to guide the agent to find the optimal strategy within the feasible domain to achieve the system’s operational objectives. Therefore, the system’s operating cost function should be included in the reward function. Additionally, in the actual operation process, any violation of constraints is not allowed, so a penalty function is added to the reward function. The reward function is defined as follows:
r t = a 1 C t + a 2 C e x t
p e n x = v x v m i n + v x v m a x v m a x v m i n
where C ( t ) represents the operational cost of the system at time t , and C e x ( t ) represents the penalty term. Since the outputs of P g r i d and P e b come from the power balance constraint, their respective output constraints are defined as p e n ( g r i d ) and p e n e b . Therefore, the penalty term is defined as follows:
C e x t = p e n g r i d + p e n e b
where a 1 is the cost scaling factor and a 2 is the penalty term scaling factor.

4. DRL-Based Solution

The PPO algorithm is an offline learning algorithm that combines dynamic step-size and importance sampling mechanisms. It stabilizes the algorithm’s update by clipping the advantage function. However, during the training process, the agent needs to interact with the environment to collect sufficient training data, which involves a significant amount of uncertainty. When the agent observes states with large changes during interaction with the environment, using traditional batch normalization may result in the risk of policy and value function collapse. In this paper, the dynamic normalization updated method is used, which aims to find the mean and variance of all possible states in the environment, in order to reduce the occurrence of large changes in the training data, which in turn avoids large changes in the mean and variance used for normalization and eases the training process. The dynamic normalization is updated as follows:
s ¯ n e w = s ¯ o l d + s t s ¯ o l d n
σ n e w 2 = σ o l d 2 + s t s ¯ o l d × s t s ¯ n e w n
where s ¯ n e w and σ n e w 2 represent the mean and variance of the updated state s t , respectively, and n is the total number of occurrences of the current state.
The system training framework, shown in Figure 3, contains two parts: the policy network and the value network. The policy network is used to evaluate the policy function, which is a neural network structure with parameters ϑ a . The policy function follows a normal distribution with mean μ and variance σ 2 . The value network is used to evaluate the value function V s and generate the energy management optimization policy, which is a neural network structure with parameters ϑ c . The inputs to the policy and value networks are the variables observed by the agent in the environment. The outputs of the policy network consist of the mean μ and variance σ 2 of the policy function. The agent then samples from the distribution defined by the policy function to obtain the output increments of the CHP unit and the battery energy storage system, a t = { Δ P c h p , Δ Q c h p , P b e s s } . The output of the value network is the value function V π ( s ) , which is used to assess the value of the action. The neural network parameters ϑ include the weight matrix W and the bias vector b .
The training process of the improved PPO algorithm is as follows: the agent continuously interacts with the environment and obtains a batch of training data sequences { s t , a t , r t , s t + 1 } that include the uncertainties of the integrated electric–thermal energy system. Based on this training data, the policy network is trained using policy gradient. The method to update the value network is based on temporal difference theory, defined as follows:
L ϑ c = E r t + γ V π s t + 1 V π s t 2
V π s = E π R t s t = s
ϑ c = ϑ c + α c L ϑ c
where L ϑ c is the loss function of the value network; E · denotes the expectation function; α c is the learning rate of the value network; and V s t is the value function at the current state s t . From the definition, it can be seen that the value function represents the expected average long-term return of executing policy π a t s t at state s t .
In order to evaluate the quality of samples in the training data sequence, the advantage function A π s , a is defined in the training of the policy network to represent the advantage of the selected action a t over other possible actions at the current state s t . If the selected action a t performs better than the average, the advantage function A π s t , a t will be positive; otherwise, it will be negative. The advantage function is defined as follows:
A π s , a = Q π s , a V π s
Q π s , a = E π R t s t = s , a t = a
where Q π s , a is the action value function. From the definition, it can be seen that the action value function represents the expected average long-term return of executing a specific action a t under policy π a t s t at state s t .
After each update, the policy network needs to resample, which reduces the efficiency of sample usage and increases the network training time. Therefore, a policy network for updating training samples is defined, referred to as the old policy network, whose parameters ϑ a 2 remain unchanged within an episode. The policy network can be trained multiple times. The updated method for the policy network is defined as follows:
L ϑ a = E min ρ ϑ ,   c l i p ρ ϑ , 1 ε , 1 + ε A ^ s t , a t
c l i p ρ ϑ , 1 ε , 1 + ε = 1 ε    ρ ϑ < 1 ε 1 + ε    ρ ϑ > 1 + ε ρ ϑ          otherwise
ρ ϑ = π a t s t , ϑ a π a t s t , ϑ a 2
ϑ a = ϑ a + α a L ϑ a
where L ϑ a is the loss function of the policy network; ε ( 0,1 ) is a parameter that limits the change between the new and old policy functions; α a is the learning rate of the policy network; and ρ ϑ is the probability ratio between the new and old policy networks, used to assess the difference between the new and old policies; A ^ s t , a t is the generalized advantage estimate (GAE) introduced to estimate the advantage function A π s t , a t [28], and its calculation method is defined as follows:
A ^ s t , a t = δ t + γ λ δ t + 1 + γ λ 2 δ t + 2 +
δ t = r t + γ V π s t + 1 V π s t
where λ is the parameter that balances bias and variance.
The policy network uses the advantage function as the loss function, which effectively guides the policy network to select advantageous actions and thereby improves its performance. After multiple updates to the policy network, the difference between the new and old policy networks gradually increases. The old policy network is periodically updated to adapt to the new policy network, and the updated method is ϑ a 2 ϑ a .
When the policy network and value network reach the maximum training steps, the parameters of the network are saved and applied to the energy management optimization problem of the integrated electric–thermal energy system. The input to the algorithm is the system’s real-time state, and the output is the optimal energy management strategy for each time period.

5. Case Studies

5.1. Test Data

To evaluate the rationality of the decisions made by the proposed algorithm in the energy management optimization of the integrated electric–thermal energy system, a simulation analysis is conducted using the integrated electric–thermal energy system shown in Figure 1 as a case study. The concurrent renewable energy output, electrical load, and thermal load are all derived from historical data [29], as detailed in Appendix A, which is divided into a training set and a test set. The system’s scheduling period is 24 h, with a time interval of 1 h. The time-of-use electricity pricing method is adopted, where the off-peak period is from 23:00 to 6:00 with an electricity price of USD 0.067/kWh, the normal period is from 7:00 and 11:00 to 17:00 with a price of USD 0.129/kWh, and the peak period is from 8:00 to 10:00 and 18:00 to 22:00 with a price of USD 0.193/kWh. The electricity sales discount factor is 0.5. The natural gas price is fixed at USD 0.057/kWh [18]. The rated capacity of the battery energy storage system is 2000 kWh, and its initial capacity is 1000 kWh. Other operating parameters of the system are shown in Table 1.
A three-layer fully connected neural network is used as the policy network and value network, with 64 neurons in each layer. The input and hidden layers use the ReLU activation function, while the output layers use the Tanh and Softplus activation functions to represent the mean and standard deviation, respectively. The learning rate for both the policy network and the value network is 0.0003, the discount factor is 0.99, and the clipping parameter is 0.2. The Adam optimizer is used to update the network parameters [25]. This experiment is conducted based on the Python language and the PyTorch framework, running on a computer with an AMD R5600 CPU.

5.2. Convergence Characteristics of the Training Process

The training process of the method proposed in this paper and the PPO algorithm, along with their reward function curves, are shown in Figure 4. It can be observed that in the initial phase, due to the agent’s lack of understanding of the environment and its exploratory stage, there is a significant load imbalance penalty, resulting in a low reward function value. As time progresses, the agent gradually accumulates experience, and the reward function value increases and stabilizes. The improved PPO algorithm converges around 600 steps and becomes stable, while the PPO algorithm converges around 700 steps and exhibits some fluctuation after convergence. The improved algorithm learns the optimal strategy more quickly and stably than the PPO algorithm. In the later stages of training, both the improved PPO algorithm and the PPO algorithm converge to relatively good positions.

5.3. System Energy Management Optimization Results

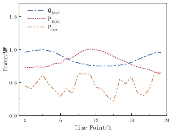
After training the proposed improved PPO algorithm and the PPO algorithm using historical data, the saved algorithm models are applied to the energy optimization management of the integrated electric–thermal energy system. As shown in Figure 5, historical data from the test set in this region is randomly selected as test data. The energy management optimization results obtained using the method proposed in this paper are shown in Figure 6 and Figure 7.
The energy optimization management results of the integrated electric–thermal energy system, as shown in Figure 6 and Figure 7, indicate that the demand for electrical load is mainly met by the CHP unit. Under the time-of-use electricity pricing mechanism, the system purchases electricity from the power grid during low-price periods, such as from 0:00 to 6:00; then, during high-price periods, the system sells excess electricity generated by the CHP unit to meet the thermal load demand, such as from 8:00 to 10:00 and 18:00–22:00. The battery energy storage system also stores electricity during low-price periods and discharges electricity during high-price periods to achieve peak shaving and valley filling. The thermal load demand is also primarily met by the CHP unit, and under the time-of-use pricing mechanism, the system increases the output of the electric boiler during low-price periods to achieve greater economic benefits. It is worth noting that the system does not make a decision to purchase electricity from the power grid at 23:00 during low-price periods because the CHP unit is still in a large output range due to climbing constraints. These optimization results demonstrate that the energy management optimization method proposed in this paper can make flexible decisions regarding the output of various devices in the system based on external environmental factors. The optimized results not only align with human reasoning principles but also fully consider the system’s economic efficiency.

5.4. Comparison and Analysis of System Operating Status of Different Algorithms

5.4.1. System Operating Cost Analysis

As a comparison experiment, the system energy management optimization results obtained by the method proposed in this paper are compared with those obtained by using PSO algorithm, PPO algorithm, stochastic programming (SP) algorithm, and mixed integer linear programming (MILP) method, respectively. The number of particle swarms in the particle swarm algorithm is set to 300, the maximum number of iterations is 1000, and the individual and population learning factors are 1.6 and 2, respectively. The SP algorithm adopts Monte Carlo simulation to simulate the uncertainty of renewable energy as a stochastic scenario and uses a fast scenario reduction method for scenario reduction, as detailed in Appendix A. The standard deviation of the renewable energy outputs as a percentage of the predicted value coefficients are set to 15% [30]. The results obtained by the MILP method are identified as theoretically optimal [31], solved by the Gurobi solver, and based on the system operating cost error e defined as follows:
e = c i c M I L P c M I L P × 100 %
where c i is the system operating cost obtained by other optimization algorithms, and c M I L P is the theoretical optimal system operating cost obtained by the MILP method. Seven test days are randomly selected from the test set for testing and the test optimization results are shown in Figure 8. Where the bar chart shows the system operating cost of each method on different test days and the line chart shows the system operating cost error.
As can be seen from Figure 8, the five algorithms are closer in terms of running cost. The theoretically optimal MILP algorithm has an average running cost of USD 2085.43 and the average running cost of the method proposed in this paper is USD 2112.33, which is an increase of 1.29% compared to the MILP algorithm. The PPO algorithm has an average running cost of USD 2189.21, which is an increase of 4.97% compared to the MILP algorithm. The average running cost of the SP algorithm is USD 2162.52, which is 3.69% more than the MILP algorithm. The average running cost of the PSO algorithm is USD 2198.90, which is 5.44% more than the MILP algorithm. From the average running cost of the system, the method proposed in this paper has some advantages over the PSO algorithm, SP algorithm, and PPO algorithm, and from the system running cost from the error curve, the proposed method has the smallest error with less variation.

5.4.2. System Real-Time Execution Time Analysis

Table 2 lists the average decision time spent by different methods during testing (one day). It is worth noting that the PPO algorithm and the improved PPO algorithm proposed in this paper must be trained offline, and the training time is 7.5 h and 7.7 h, respectively. The training time increases if the system is set up with smaller scheduling intervals. As shown in Table 2, the learning-based algorithms have a clear advantage over the traditional methods exhibiting a much lower execution time. This is because once the offline training process is complete, we can apply it to the online energy management optimization problem for the integrated electric–thermal energy system to directly generate real-time scheduling decisions. The online execution time is only about 0.34 s on average.

5.5. Robustness Analysis

In order to explore the effect of the parameters in the reward function set in this paper on the accumulation of environmental experience by the agents, the results of the experiments carried out with different values are shown in Figure 9. The average reward values of the agent for different cost discount factors and penalty factors are shown in subfigure (a) and (b). For the cost discount factor a 2 , different choices will affect the convergence performance of the reward function in the training process of the system. The smaller a 1 is, the smaller the convergence value of the reward function is. So, this paper chooses 0.01 as the value of the cost discount factor. For the penalty factor a 2 , when a 2 = 150 , the relatively large penalty factor increases the volatility of the system return function and reduces the stability of the system. When a 2 = 50 , a relatively small penalty factor reduces the convergence performance of the system return function. Therefore, 100 is chosen as the value of the penalty factor. It can be found that the agent can converge to better results, in general, for different parameter choices.

6. Conclusions

In this paper, a method for optimizing the energy management of the integrated electric–thermal energy system based on an improved PPO algorithm is proposed, which does not rely on accurate prediction data of system uncertainties compared to traditional optimization algorithms and can make effective decisions based on real-time observation data of the system. Compared to the PPO algorithm, the proposed algorithm performs dynamic normalization of the state which can learn the optimal policy more quickly and stably. The proposed algorithm and other algorithms are tested on the test set on seven randomly selected test days, and the test results show that the proposed method reduces the average system operating cost by 3.94%, 2.32%, and 3.51% compared with the PSO algorithm, SP algorithm, and PPO algorithm, respectively, and the system operating cost error can be kept at a lower level. Meanwhile, after offline training based on historical environmental data, the learning-based algorithms can be directly applied to the online real-time decision, which reduces the computational time significantly. This not only verifies the feasibility of the proposed method in the problem of energy management optimization for the integrated electric–thermal energy system, but also shows that the proposed algorithm can make a better energy management optimization strategy for this problem.
Future research can focus on further improving the performance of learning-based algorithms, such as the use of multi-agent algorithms to address the cooperative operation of multi-energy systems in Ref. [32]. Additionally, future studies should explore other advanced optimization algorithms suitable for decision-making problems, such as the adaptive polyploid memetic algorithm proposed in Ref. [33] or one novel hyper-heuristic algorithm proposed in Ref. [34]. These research directions are expected to enhance the efficiency and accuracy of decision-making.

Author Contributions

Conceptualization, Q.S. and Y.Y.; methodology, Q.S. and Y.Y.; software, Q.S.; validation, C.C.; formal analysis, Q.S.; resources, Y.Y. and C.C.; writing—original draft, Q.S. and C.C.; writing—review and editing, Q.S. and S.H.; supervision, Y.Y. and S.H.; project administration, Y.Y. and S.H.; funding acquisition, Y.Y. All authors have read and agreed to the published version of the manuscript.

Funding

This research was funded by the State Grid Jiangsu Electric Power Co., Ltd. Technology Project under Grant J2024005 (Research on Planning and Operation Technology of Electric–Hydrogen Coupling System Driven by the Electric–Carbon–Green Certificate Market).

Institutional Review Board Statement

Not applicable.

Informed Consent Statement

Informed consent was obtained from all subjects involved in the study.

Data Availability Statement

The data are contained within the Section 5 of this article, which is from Ref. [29].

Conflicts of Interest

The authors declare no conflicts of interest.

Appendix A

Figure A1 presents the historical data for the same period in the system. Subfigure (a) shows the historical data for renewable energy; subfigure (b) shows the historical data for electrical load; and subfigure (c) shows the historical data for thermal load.
Figure A1. The historical data. (a) The historical data for renewable energy; (b) the historical data for electrical load; (c) the historical data for thermal load.
Figure A1. The historical data. (a) The historical data for renewable energy; (b) the historical data for electrical load; (c) the historical data for thermal load.
Sustainability 17 00407 g0a1
Figure A2 presents the five scenarios after scenario reduction for renewable energy, using a fast scenario reduction method.
Figure A2. Renewable energy generation scenarios.
Figure A2. Renewable energy generation scenarios.
Sustainability 17 00407 g0a2

References

  1. Yang, L.X.; Sun, Q.Y.; Zhang, N.; Li, Y.S. Indirect multi-energy transactions of energy internet with deep reinforcement learning approach. IEEE Trans. Power Syst. 2022, 37, 4067–4077. [Google Scholar] [CrossRef]
  2. Hao, J.H.; Huang, T.; Xu, Q.M.; Sun, Y. Robust optimal scheduling of microgrid with electric vehicles based on stackelberg game. Sustainability 2023, 15, 16682. [Google Scholar] [CrossRef]
  3. Hamdi, A. A brief review of microgrid surveys, by focusing on energy management system. Sustainability 2022, 15, 284. [Google Scholar] [CrossRef]
  4. Bey, B.; Misra, S.; Marquez, F.P.G. Microgrid system energy management with demand response program for clean and eco-nomical operation. Appl. Energy 2023, 334, 120717. [Google Scholar]
  5. Chen, M.Z.; Lu, H.; Chang, X.Q.; Liao, H.Y. An optimization on an integrated energy system of combined heat and power, carbon capture system and power to gas by considering flexible load. Energy 2023, 273, 127203. [Google Scholar] [CrossRef]
  6. Wei, H.Q.; Zhang, Y.T.; Wang, Y.Z.; Hua, W.Q.; Jing, R.; Zhou, Y. Planning integrated energy systems coupling V2G as a flexible storage. Energy 2022, 239, 122215. [Google Scholar] [CrossRef]
  7. Huang, Y.J.; Wang, Y.D.; Liu, N. A two-stage energy management for heat-electricity integrated energy system considering dynamic pricing of Stackelberg game and operation strategy optimization. Energy 2022, 244, 122576. [Google Scholar] [CrossRef]
  8. Liu, D.; Zang, C.Z.; Zeng, P.; Li, W.T.; Wang, X.; Liu, Y.Q.; Xu, S.Q. Deep reinforcement learning for real-time economic energy management of microgrid system considering uncertainties. Front. Energy Res. 2023, 11, 1163053. [Google Scholar] [CrossRef]
  9. Alsam, A.; Hussain, S.; Falah, A. Energy management in a standalone microgrid: A split-horizon dual-stage dispatch strategy. Energies 2023, 16, 3400. [Google Scholar] [CrossRef]
  10. Aldavood, M.S.; Mehbodniya, A.; Webber, J.L.; Ensaf, M.; Azimian, M. Robust optimization-based optimal operation of islanded microgrid considering demand response. Sustainability 2022, 14, 14194. [Google Scholar] [CrossRef]
  11. Yang, J.; Su, C. Robust optimization of microgrid based on renewable distributed power generation and load demand uncertainty. Energy 2021, 223, 120043. [Google Scholar] [CrossRef]
  12. Mosayeb, B.; Rahmat-Allah, H.; Amin, K.; Moein, P. Optimal stochastic coordinated scheduling of proton exchange membrane fuel cell-combined heat and power, wind and photovoltaic units in micro grids considering hydrogen storage. Appl. Energy 2017, 202, 308–322. [Google Scholar]
  13. Zhang, Y.; Fu, L.J.; Zhu, W.L.; Bao, X.Q.; Liu, C. Robust model predictive control for optimal energy management of island microgrids with uncertainties. Energy 2018, 164, 1229–1241. [Google Scholar] [CrossRef]
  14. Zhao, Z.; Guo, J.; Luo, X.; Lai, C.S.; Yang, P.; Lai, L.L.; Li, P.; Guerrero, J.M.; Shahidehpour, M. Distributed robust model predictive control-based energy management strategy for islanded multi-microgrids considering uncertainty. IEEE Trans. Smart Grid 2022, 13, 2107–2120. [Google Scholar] [CrossRef]
  15. Zhou, S.Y.; Hu, Z.J.; Gu, W.; Jiang, M.; Chen, M.; Hong, Q.T.; Booth, C. Combined heat and power system intelligent economic dispatch: A deep reinforcement learning approach. Int. J. Electr. Power Energy Syst. 2020, 120, 106016. [Google Scholar] [CrossRef]
  16. Zhang, Y.B.; Lin, Y.H.; Huang, G.H.; Yang, X.D.; Weng, G.Q.; Zhou, Z.Y. Review on applications of deep reinforcement learning in regulation of microgrid systems. Power Syst. Technol. 2023, 47, 2774–2788. [Google Scholar]
  17. Simone, B.; Iakovos, M.; Christos, R.; Elias, B.K. Model-based and model-free “plug-and-play” building energy efficient control. Appl. Energy 2015, 154, 829–841. [Google Scholar]
  18. Pinciroli, L.; Baraldi, P.; Compare, M.; Zio, E. Optimal operation and maintenance of energy storage systems in grid-connected microgrids by deep reinforcement learning. Appl. Energy 2023, 352, 121947. [Google Scholar] [CrossRef]
  19. Feng, C.S.; Zhang, Y.; Wen, F.H.; Ye, C.J.; Zhang, Y.B. Energy management strategy for microgrid based on deep expected Q network algorithm. Autom. Electr. Power Syst. 2022, 46, 14–22. [Google Scholar]
  20. Ji, Y.; Wang, J.H.; Xu, J.C.; Fang, X.K.; Zhang, H.G. Real-time energy management of a microgrid using deep reinforcement learning. Energies 2019, 12, 2291. [Google Scholar] [CrossRef]
  21. Hua, H.C.; Qin, Y.C.; Hao, C.T.; Cao, J.W. Optimal energy management strategies for energy Internet via deep reinforcement learning approach. Appl. Energy 2019, 239, 598–609. [Google Scholar] [CrossRef]
  22. Duan, J.J.; Shi, D.; Diao, R.S.; Li, H.F.; Wang, Z.W.; Zhang, B.; Dian, D.S.; Yi, Z.H. Deep-reinforcement-learning-based autonomous voltage control for power grid operations. IEEE Trans. Power Syst. 2019, 35, 814–817. [Google Scholar] [CrossRef]
  23. Lillicrap, T.P.; Hunt, J.J.; Pritzel, A.; Heess, N.; Erez, T.; Tassa, Y.; Silver, D.; Wierstra, D. Continuous control with deep reinforcement learning. arXiv 2017, arXiv:1509.02971. [Google Scholar]
  24. Yang, Z.X.; Ren, Z.Y.; Sun, Z.Y.; Liu, M.S.; Jiang, J.; Yin, Y. Security-constrained economic dispatch of renewable energy integrated power systems based on proximal policy optimization algorithm. Power Syst. Technol. 2023, 47, 988–998. [Google Scholar]
  25. Schulman, J.; Wolski, F.; Dhariwal, P.; Radford, A.; Klimov, O. Proximal policy optimization algorithms. arXiv 2017, arXiv:1707.06347. [Google Scholar]
  26. Tong, X.; Wang, J.Y.; Zhang, C.L.; Wu, T.; Wang, H.T.; Wang, Y. LS-LSTM-AE: Power load forecasting via long-short series features and LSTM-autoencoder. Energy Rep. 2022, 8, 596–603. [Google Scholar] [CrossRef]
  27. Jiang, C.M.; Mao, Y.F.; Chai, Y.; Yu, M.B. Day-ahead renewable scenario forecasts based on generative adversarial networks. Int. J. Energy Res. 2021, 45, 7572–7587. [Google Scholar] [CrossRef]
  28. Schulman, J.; Moritz, P.; Levine, S.; Jordan, M.; Abbeel, P. High-dimensional continuous control using generalized advantage estimation. arXiv 2015, arXiv:1506.02438. [Google Scholar]
  29. Belgium’s Electricity Transmission System Operator. Available online: https://www.elia.be/en/grid-data (accessed on 20 June 2024).
  30. Yin, Y.; Liu, T.Q.; He, C. Day-ahead stochastic coordinated scheduling for thermal-hydro-wind-photovoltaic systems. Energy 2019, 187, 115944. [Google Scholar] [CrossRef]
  31. Aldo, B.; Leonardo, T.; Emanuele, M.; Edoardo, A.; Giampaolo, M.; Paolo, S.; Stefano, C.; Ennio, M. A detailed MILP optimization model for combined cooling, heat and power system operation planning. Energy 2014, 76, 168–174. [Google Scholar]
  32. Ding, B.; Li, Z.N.; Li, Z.M.; Xue, Y.X.; Chang, X.Y.; Su, J.; Jin, X.L.; Sun, H.B. A CCP-based distributed cooperative operation strategy for multi-agent energy systems integrated with wind, solar, and buildings. Appl. Energy 2024, 365, 123275. [Google Scholar] [CrossRef]
  33. Dulebenets, M.A. An adaptive polyploid memetic algorithm for scheduling trucks at a cross-docking terminal. Inf. Sci. 2021, 565, 390–421. [Google Scholar] [CrossRef]
  34. Emilio, S.; Nelishia, P. A study of ant-based pheromone spaces for generation constructive hyper-heuristics. Swarm Evol. Comput. 2022, 72, 101095. [Google Scholar]
Figure 1. The schematic diagram of the integrated electric–thermal energy system.
Figure 1. The schematic diagram of the integrated electric–thermal energy system.
Sustainability 17 00407 g001
Figure 2. A schematic of the feasible areas for CHP unit (The point ABCDE simply indicates the polygonal constraint case of the CHP unit. The polygonal constraint case varies from one CHP unit to another. Figure 2 shows a schematic diagram).
Figure 2. A schematic of the feasible areas for CHP unit (The point ABCDE simply indicates the polygonal constraint case of the CHP unit. The polygonal constraint case varies from one CHP unit to another. Figure 2 shows a schematic diagram).
Sustainability 17 00407 g002
Figure 3. Training framework diagram for the integrated electric–thermal energy system.
Figure 3. Training framework diagram for the integrated electric–thermal energy system.
Sustainability 17 00407 g003
Figure 4. The average reward with different algorithms.
Figure 4. The average reward with different algorithms.
Sustainability 17 00407 g004
Figure 5. Typical daily test data.
Figure 5. Typical daily test data.
Sustainability 17 00407 g005
Figure 6. The optimization results of test day electrical load.
Figure 6. The optimization results of test day electrical load.
Sustainability 17 00407 g006
Figure 7. The optimization results of test day heat load.
Figure 7. The optimization results of test day heat load.
Sustainability 17 00407 g007
Figure 8. The system operation cost comparison with different algorithms.
Figure 8. The system operation cost comparison with different algorithms.
Sustainability 17 00407 g008
Figure 9. The average reward with different parameters. (a) Average reward values for agent with different cost discount factors; (b) average reward values of agent with different penalty factors.
Figure 9. The average reward with different parameters. (a) Average reward values for agent with different cost discount factors; (b) average reward values of agent with different penalty factors.
Sustainability 17 00407 g009
Table 1. System operating parameters.
Table 1. System operating parameters.
ParameterValueParameterValue
P g r i d , m a x 1000 kW η e b 0.95
P e b , m i n / P e b , m a x 0/1200 kW κ e b 0.05
P b e s s , m a x 200 kW κ b e s s 0.05
S O C m i n / S O C m a x 0.2/0.9 η c h / η d i s 0.95/0.95
η c h p 0.35 λ d i s c 0.5
P c l i m b , c h p 300 kW Q c l i m b , c h p 360 kW
A(0, 0)B(960, 800)
C(960, 400)D(200, 0)
E(0, 0)
Table 2. Online execution time.
Table 2. Online execution time.
MethodMILPPSOSPPPOImproved PPO
Time(s)14.6513.2527.450.330.34
Disclaimer/Publisher’s Note: The statements, opinions and data contained in all publications are solely those of the individual author(s) and contributor(s) and not of MDPI and/or the editor(s). MDPI and/or the editor(s) disclaim responsibility for any injury to people or property resulting from any ideas, methods, instructions or products referred to in the content.

Share and Cite

MDPI and ACS Style

Shuai, Q.; Yin, Y.; Huang, S.; Chen, C. Deep Reinforcement Learning-Based Real-Time Energy Management for an Integrated Electric–Thermal Energy System. Sustainability 2025, 17, 407. https://doi.org/10.3390/su17020407

AMA Style

Shuai Q, Yin Y, Huang S, Chen C. Deep Reinforcement Learning-Based Real-Time Energy Management for an Integrated Electric–Thermal Energy System. Sustainability. 2025; 17(2):407. https://doi.org/10.3390/su17020407

Chicago/Turabian Style

Shuai, Qiang, Yue Yin, Shan Huang, and Chao Chen. 2025. "Deep Reinforcement Learning-Based Real-Time Energy Management for an Integrated Electric–Thermal Energy System" Sustainability 17, no. 2: 407. https://doi.org/10.3390/su17020407

APA Style

Shuai, Q., Yin, Y., Huang, S., & Chen, C. (2025). Deep Reinforcement Learning-Based Real-Time Energy Management for an Integrated Electric–Thermal Energy System. Sustainability, 17(2), 407. https://doi.org/10.3390/su17020407

Note that from the first issue of 2016, this journal uses article numbers instead of page numbers. See further details here.

Article Metrics

Back to TopTop