Next Article in Journal
Digital Economy, R&D Resource Allocation, and Convergence of Regional Green Economy Efficiency
Next Article in Special Issue
Oil Palm Bagasse as a Treatment for Soils Contaminated with Total Petroleum Hydrocarbons
Previous Article in Journal
Sustainability of Key Proteins in Plant-Based Meat Analogs Production: A Worldwide Perspective
Previous Article in Special Issue
Evolution Trends and Future Prospects in Artificial Marine Reef Research: A 28-Year Bibliometric Analysis
 
 
Font Type:
Arial Georgia Verdana
Font Size:
Aa Aa Aa
Line Spacing:
Column Width:
Background:
Article

Influence of Altitude and Climatic Factors on the Floristic Composition of the Moorlands of the Guamote Canton, Ecuador: Key Revelations for Conservation

by
Diego Francisco Cushquicullma-Colcha
1,*,
Guicela Margoth Ati-Cutiupala
2,
Edmundo Danilo Guilcapi-Pacheco
3,
Juan Federico Villacis-Uvidia
4,
Marcela Yolanda Brito-Mancero
3,
Pedro Vicente Vaca-Cárdenas
5,
Martha Marisol Vasco-Lucio
5,
Eduardo Antonio Muñoz-Jácome
5 and
Maritza Lucia Vaca-Cárdenas
6
1
Statistics Department, Universidad de Granada, Avda. del Hospicio, 18010 Granada, Spain
2
Doctoral School, Faculty of Sciences, Universidad de Salamanca, 37007 Salamanca, Spain
3
Faculty of Natural Resources, Escuela Superior Politécnica de Chimborazo, Panamericana Sur, km 1.5, Riobamba 060155, Ecuador
4
Faculty of Accounting and Auditing, Technical University of Ambato, Ambato 180207, Ecuador
5
Andean Paramos, Research Center, Riobamba 060155, Ecuador
6
Faculty of Livestock Sciences, Escuela Superior Politécnica de Chimborazo, Panamericana Sur, km 1.5, Riobamba 060155, Ecuador
*
Author to whom correspondence should be addressed.
Sustainability 2025, 17(2), 383; https://doi.org/10.3390/su17020383
Submission received: 14 November 2024 / Revised: 9 December 2024 / Accepted: 20 December 2024 / Published: 7 January 2025

Abstract

The Andean paramos are unique and biodiverse environments. Located between the upper limit of forest and perpetual snow, they provide ecosystem services, especially freshwater supply; however, anthropogenic activities and climate change have altered their distribution and composition. This paper analyses the influence of altitude and climatic factors on the floristic composition of the páramos. A quasi-experimental study was used in three altitudinal gradients, collecting geolocalised data on species and bioclimatic variables. Principal component analysis, using the HJ-Biplot visualisation technique and k-means clustering algorithms, was applied to explore the relationships between factors. It was determined that the lower zone is nuanced by the presence of Solanaceae, which are important for human food. In the middle zone, there is a high diversity, with the Ericaceae and Caprifoliaceae families standing out, while in the upper zone, the Ericaceae and Gentianaceae families are accentuated. The PCA reveals that strata 2 and 3 share family taxa, while stratum 1 shows differences. Altitude and precipitation directly influence the distribution of species in each stratum; the Asteraceae family is dominant in the canton for its contribution to the principal components.

1. Introduction

The Andean paramos are part of the neotropical high mountain ecosystems in the Andes. They play an important role in maintaining water balance and providing buffering for living beings, and above all provide a large part of the drinking water supply for high Andean cities and towns. They are characterised by maintaining a low temperature throughout the year, i.e., they have a cold climate with high seasonal variability, with annual rainfall ranging from 700 to 3000 mm. These characteristics give rise to lake habitats, such as lakes and lagoons around the paramos mountains, which contribute significantly to the region’s biodiversity.
Mountain ecosystems are globally recognised for conservation. They are included in SDG 15 of the Sustainable Development Goals of the United Nations’ 2030 Agenda. In addition, they are ecosystems that stand out for their great biodiversity, excellent richness, and high level of endemism. In particular, the soils belonging to the paramos have great carbon storage capacity due to their own vegetation layer, which is highly relevant for mitigation and adaptation to climate change. Therefore, they are ecosystems declared of critical importance for their conservation and environmental balance [1,2,3,4,5,6].
These ecosystems have an estimated area of 24,301 km2 distributed across South America [7]. In Ecuador, about 5% of the land area is paramo—located between the upper limit of the Andean forest and the lower limit of glaciers or perpetual snow—which are essential for the provision of ecosystem services, including carbon storage and the maintenance of biodiversity. Paramos host 15% of the world’s total plant richness, with about 500 genera and 5000 plant species, of which 60–80% are endemic [8,9,10]. The main families are Asteraceae, Orchidaceae, Melastomataceae, and Poaceae [11].
The Ecuadorian paramos have experienced an annual area reduction of 0.8% over a period of 28 years, which is an urgent environmental problem since grasslands are being replaced by pastures, fallow vegetation, and crops [12,13]. In addition, the high rates of turnover and their rapid speciation processes cause variations in their floristic structure and composition [14,15]. Niche contraction and expansion and community reorganisation in response to climate warming are affecting the distribution of the paramos flora, highlighting the dynamic nature of these ecosystems [16]. It is projected that between 10% and 47% of Andean endemic species could face extinction by 2100 due to these environmental changes [17].
In this context, we analyse the influence of altitude and climatic factors on the composition and floristic distribution of the Andean moorlands of the Guamote Canton in order to identify if there are specific patterns of diversity or dominance of families in each altitudinal gradient.

2. Materials and Methods

2.1. Study Area

The study area is located in Ecuador in the province of Chimborazo in the Canton of Guamote, with an area of 1200.081 km2. It is located in the Ecuadorian Andes at altitudes between 2600 and 4503 m above sea level, at coordinates 1°56′00″ S 78°43′00″ O. The area receives total precipitation of 683.3 mm per square meter and an average temperature of 13.7 °C, presenting climates such as alpine tundra (ET), temperate with dry winter (Cwb), and subtropical highlands (Cfb) [18] (Figure 1).
This study was developed under a quasi-experimental relational approach, using three altitudinal gradients as natural laboratories to evaluate the impact of geomorphological factors on ecology, biodiversity, and ecosystem dynamics. This approach allows for the analysis of species distribution responses to climatic variations, providing a basis for assessing plant richness and conservation value in mountain landscapes [19,20,21]. The methodological process was structured in three phases as follows (Figure 2):

2.2. Delimitation of Altitudinal Gradients

Three altitudinal gradients were defined based on the minimum and maximum elevations of the canton, using intervals greater than 550 m. Each gradient reflects changes in the environmental conditions and floristic composition [22]. The delimitation was carried out using official cartographic information from the Military Geographic Institute (IGM), under the WGS84 reference system and UTM coordinates (zone 17 south), with an altitudinal resolution of 40 m. With QGIS software version 3.40.1, a digital terrain model was generated using specific tools such as create TIN, TIN to raster, reclassify, and raster to polygon, which facilitated data classification and transformation [23]. The gradients were defined as outlined below:
Stratum 1 (2600–3254 m.a.s.l.): areas with roads, buildings, and agricultural activities, covering 17,186.8 ha;
Stratum 2 (3255–3907 m.a.s.l.): rural areas dedicated to agriculture, livestock, forest plantations, and undisturbed moorland, covering 77,209.7 ha;
Stratum 3 (3908–4503 m.a.s.l.): grasslands and shrublands for conservation and grazing, covering 25,611.6 ha.

2.3. Database of Floristic Species and Bioclimatic Variables

A database of floristic species and environmental variables was compiled from multiple sources, such as the Espoch–Herbarium repository, GBIF, online herbarium (Tropics and Austral Americano) and scientific articles indexed in Scopus and Web of Science. This information was complemented with 18 floristic inventories carried out in the moorlands of the Cebadas and Palmira parishes across three years, in the framework of the project “Determination of the efficient use of biopurifying high Andean plant species” [24].
The georeferenced data were validated and standardised using the Flora Neotropica criteria, resolving taxonomic and spatial inconsistencies [25]. Bioclimatic variables were obtained from WorldClim v2.0, with a spatial resolution of 30 s and a base period of 1970–2000. Nineteen indicators derived from temperature and precipitation data were included and fitted to each gradient using the Extract by mask tool [26].

2.4. Multivariate Analysis

For the data analysis, two main tables were constructed: one relating altitudinal gradients to floristic families, and the other linking bioclimatic variables to strata. The HJ-Biplot method implemented in the MULTBIPLOT version 16.430.0.0 software was used, which allows for handling multiple variables and facilitates the visualisation of complex relationships [27].
Principal component analysis (PCA) was used to reduce the dimensionality of the data, identify significant patterns, and simplify interpretation [28,29,30].
For the principal component analysis, the data were standardised using the formula Z = X μ σ , where X is the original value, μ is the mean of the variable, and σ is the standard deviation. Then, the covariance matrix was calculated by the formula S = 1 n 1   i 1 n ( X i X ¯ ) ( X i X ¯ ) T . The eigenvalues and eigenvectors of the covariance matrix were then obtained as S ν = λ ν , where v is the eigenvector and λ is the corresponding eigenvalue. Then, the principal components were formed. Further, Y = X V , where V is the matrix of eigenvectors. Finally for the visualisation in the HJ-Biplot—which allows for simultaneously representing the observations and the variables in a two-dimensional space—the coordinates of the observations are equal to F = X A , where A are the first two eigenvectors scaled by the square root of their respective eigenvalues, and the coordinates of the variables are equal to G = V 1 / 2 , where V is the matrix of eigenvectors and Λ is the diagonal matrix of eigenvalues.
The results were visualised using HJ-Biplot, and complemented with k-means clustering to optimise the classification of floristic families [31,32].

3. Results

3.1. Floristic Characterisation by Altitudinal Gradients

A total of 4789 georeferenced records of high Andean species distributed in three altitudinal strata of Guamote County were validated, identifying 229 species belonging to 90 families. Stratum 2 had the highest diversity with 61.6%, followed by stratum 1 with 21.4%, and stratum 3 with 17%.
Stratum 1 recorded 49 species distributed in 21 families, with Asteraceae being the most diverse (18.4%), followed by Lamiaceae, Amaranthaceae, Solanaceae, Poaceae, and Verbenaceae (>6%). Solanaceae and Lamiaceae stand out and are relevant for their medicinal, food, and construction use, especially in rural communities [33,34,35,36].
Stratum 2 has 141 species distributed in 47 families; this stratum is characterised by the predominance of Asteraceae (15.6%), followed by Ericaceae, Caprifoliaceae, Cyperaceae, and Onagraceae (>4%). Ericaceae stands out for its adaptation to acid soils and for its taxonomic and morphological diversity [37,38,39]. Caprifoliaceae is also relevant for its distribution in mountainous areas and its ecological and pharmacological value [40,41].
In stratum 3, 39 species belonging to 22 families were recorded, with Asteraceae presenting the highest diversity (20.5%), followed by Ericaceae (17.9%), Gentianaceae, Hypericaceae, Poaceae, and Rosaceae (>5%). Gentianaceae stands out for its characteristics in the biosynthesis of pharmacologically important compounds. Poaceae, on the other hand, is a fundamental family in the moorlands, contributing significantly to the biosynthesis of pharmacologically important compounds [42,43,44] as well as to the structure and function of the ecosystem [45,46].

3.2. Contribution of Bioclimatic Variables to Altitudinal Gradients

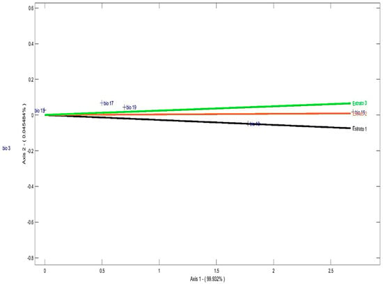
Principal component 1 explains 99.93% of the variance of the data, with variables Bio 12, 16, 17, 18, and 19 being the largest contributors and related to the amount of precipitation (Figure 3).
It should be noted that the bioclimatic variables related to temperature show low contributions in component 1; therefore, it is determined that their influence is low or almost null in the spatial distribution of floristic species.

3.3. Contribution of Families to Altitudinal Gradients

The first principal component explains 72.9% of the variance of the data, the second component 20.6%, and the third principal component 6.4%. It should also be considered that stratum 2 has a high contribution to the component analysis or axis 1, stratum 3 has a moderate contribution, and stratum 1 has a low degree of contribution (Figure 4).
The family with the greatest influence on the total variability represented by principal component 1 is Asteraceae, which characterises and infers a dominant presence in the Andean paramo.
In addition, the families Araliaceae, Blechnaceae, Boraginaceae, Davalliaceae, Dryopteridaceae, Gesneriaceae, Loasaceae, Loranthaceae, Nyctaginaceae, Phytolaccaceae, Polygonaceae, and Tropaeolaceae stand out with values above 900 units, indicating that they share common characteristics or attributes that contribute significantly to the variability observed in the data (Table 1).
The main contribution to the principal component 2 is characterised by the Apiaceae family.

3.4. Grouping

Clustering analysis using the k-means algorithm suggests that strata 2 and 3 share family taxa, while stratum 1 has a large Euclidean distance for each data point (families) and the centroid of its assigned group.
Group or cluster 1 gathers 16 families (28%) that are located close to the vectors of the three strata, indicating that they are common families and species at all three altitudinal levels (Figure 5).
Group 2 brings together 72% of families that share a similar spatial distribution and similar environmental and ecological conditions but are not very common in the three strata, which are as follows: Amaryllidaceae, Apiaceae, Apocynaceae, Araliaceae, Berberidaceae, Brassicaceae, Bromeliaceae, Blechnaceae, Boraginaceae, Caryophyllaceae, Crassulaceae, Campanulaceae, Coriariaceae, Cunoniaceae, Davalliaceae, Dryopteridaceae, Equisetaceae, Escalloniaceae, Geraniaceae, Gesneriaceae, Grossulariaceae, Iridaceae, Lycopodiaceae, Malvaceae, Oleaceae, Loasaceae, Loranthaceae, Melastomataceae, Nyctaginaceae, Piperaceae, Orchidaceae, Pentaphyllacaceae, Orobanchaceae, Oxalidaceae, Phytolaccaceae, Plantaginaceae, Polygonaceae, Potamogetonaceae, Tropaeolaceae, Ranunculaceae, and Rubiaceae (Table 2).

4. Discussion

The bioclimatic variables related to precipitation were determinant in the floristic composition, which is consistent with research that emphasises the influence of precipitation on the diversity and distribution of plant species [47,48,49,50]. This emphasises the importance of incorporating climate change scenarios in future conservation studies, given their possible alteration of precipitation patterns and their impact on paramos ecosystems.
The results and prior research papers collectively support the claim that the mid-Andean páramos zone harbours a high diversity of plant species and families, and report a rich floristic diversity [51,52,53]. Other research underlines the importance of this diversity by documenting traditional knowledge of plant use in the tropical fringe of the Paramillo National Natural Park [36]. All these studies support the claim that the mid-Andean páramos zone is a hotspot of plant diversity [53].
In the páramos of the Guamote Canton, the Asteraceae family significantly dominates the floristic composition, which has been supported by several studies. For example, it has been found that this family is one of the richest in species in the paramos, accompanied by Poaceae, Ericaceae, and Orchidaceae [54,55]. Furthermore, this dominance has been confirmed by other authors, who identified a high species richness of Asteraceae in the Bajío region. The relevance of this family is also highlighted by its use in traditional Andean medicine [56,57], which underlines its cultural and functional importance. In the context of the Andean paramo, the diversity of the Asteraceae family is remarkable, especially in the high Andean forests and paramos, where it is manifested in the presence of 28 genera and 44 species of wild Asteraceae with medicinal uses in two communities in southern Peru, according to [57,58].
Component 2 has a high contribution of Apiaceae, which is a diverse and widely distributed group [59]. In the paramos of northwestern Colombia, the family is one of the most diverse, along with Orchidaceae and Melastomataceae [60]. The family is also present in the Venezuelan Andes, where it is one of the most species-rich families [54].

5. Conclusions

It is evident that the distribution of floristic species in the Andean moorlands of Guamote is strongly influenced by altitude as each altitudinal gradient is characterised by taxa of specific families: for stratum 1 these are Solanaceae and Lamiaceae, which are families used for their nutritional and medicinal properties by the community members of the rural areas of the Guamote Canton, who cultivate in the moorland areas; in stratum 2 or the middle zone, the Ericaceae and Caprifoliaceae families are widely distributed with chemical constituents such as iridoids and flavonoids, used in natural medicine due to their possible health benefits; stratum 3 is characterised by the presence of Ericaceae, Gentianaceae, Hypericaceae, Poaceae, and Rosaceae, which are plants from temperate-cold climates and mountainous areas and are used as natural pastures.
The bioclimatic variables derived from precipitation Bio 12, 16, 17, 18, and 19 condition the distribution of the families in each stratum, creating ideal conditions for plant development; the variables related to temperature show low contributions in the principal components.
Among the three altitudinal gradients, 25% of the family diversity is shared; however, most have specific stratified spatial distributions that differ within each stratum. This finding is consistent with previous research, highlighting the importance of these factors in determining plant species composition and diversity.
The middle stratum has the greatest diversity of species and families, while the lower and upper strata show less diversity. Several families were identified that characterise the moorlands of the Guamote Canton, mainly Asteraceae, as well as Ericaceae, Caprifoliaceae, among others. These families play a crucial role in the structure and functioning of the paramos ecosystems, and their presence is related to particular adaptations to the environmental conditions of high-altitude zones. Asteraceae is the dominant family, widely distributed at all three altitudinal levels, with the greatest influence on the total variability and with the highest species diversity compared to the other families.

Author Contributions

Conceptualisation: D.F.C.-C. and G.M.A.-C.; methodology, M.L.V.-C., J.F.V.-U. and E.D.G.-P.; software, G.M.A.-C.; validation, D.F.C.-C. and M.Y.B.-M.; formal analysis, D.F.C.-C., E.A.M.-J. and G.M.A.-C.; investigation, J.F.V.-U., M.M.V.-L. and M.L.V.-C.; writing—original draft preparation, D.F.C.-C. and G.M.A.-C.; writing—review and editing, E.D.G.-P.; visualisation, P.V.V.-C. and E.A.M.-J.; supervision, D.F.C.-C. and G.M.A.-C. All authors have read and agreed to the published version of the manuscript.

Funding

This work was supported by the project “IDIPI-324-Determining the Efficient Use of Biopurifying Altoandin Vegetable Species for The Conservation of the Water Resource in the Microbasin of the Cebadas River, Chimborazo Province”, financed by the Escuela Superior Politécnica de Chimborazo through the Dean’s Office of Research (DDI-ESPOCH).

Institutional Review Board Statement

Not applicable.

Informed Consent Statement

Not applicable.

Data Availability Statement

The data presented in this study are available upon request from the corresponding author.

Conflicts of Interest

The authors declare no conflicts of interest.

References

  1. Ross, C.; Fildes, S.; Millington, A. Land-Use and Land-Cover Change in the Páramo of South-Central Ecuador, 1979–2014. Land 2017, 6, 46. [Google Scholar] [CrossRef]
  2. Zomer, M.; Ramsay, P. Post-fire changes in plant growth form composition in Andean páramo grassland. bioRxiv 2020. [Google Scholar] [CrossRef]
  3. García, V.J.; Márquez, C.O.; Rodríguez, M.V.; Orozco, J.J.; Aguilar, C.D.; Ríos, A.C. Páramo Ecosystems in Ecuador’s Southern Region: Conservation State and Restoration. Agronomy 2020, 10, 1922. [Google Scholar] [CrossRef]
  4. Hernández-Guzmán, A.; Payán, E.; Monroy-Vilchis, O. Hábitos alimentarios del Puma concolor (Carnivora: Felidae) en el Parque Nacional Natural Puracé, Colombia. Rev. De Biol. Trop. 2010, 59, 1285–1294. [Google Scholar] [CrossRef]
  5. Mosquera, G.M.; Lazo, P.X.; Célleri, R.; Wilcox, B.P.; Crespo, P. Runoff from tropical alpine grasslands increases with areal extent of wetlands. CATENA 2015, 125, 120–128. [Google Scholar] [CrossRef]
  6. Lasso, E.; Matheus-Arbeláez, P.; Rachel, G.E.; Garzón-López, C.; Cruz, M.; Leon-Garcia, I.V.; Aragón, L.; Ayarza-Páez, A.; Yuste, J.C. Homeostatic Response to Three Years of Experimental Warming Suggests High Intrinsic Natural Resistance in the Páramos to Warming in the Short Term. Front. Ecol. Evol. 2021, 9, 615006. [Google Scholar] [CrossRef]
  7. Peyre, G.; Osorio, D.; François, R.; Anthelme, F. Mapping the páramo land-cover in the Northern Andes. Int. J. Remote Sens. 2021, 42, 7777–7797. [Google Scholar] [CrossRef]
  8. Londoño, C.; Cleef, A.; Madriñán, S. Angiosperm flora and biogeography of the páramo region of Colombia, Northern Andes. Flora 2014, 209, 81–87. [Google Scholar] [CrossRef]
  9. Rangel-Churio, J.O. La biodiversidad de Colombia: Significado y distribución regional. Rev. Acad. Colomb. Cienc. Exactas Fis. Nat. 2015, 39, 176–200. [Google Scholar] [CrossRef]
  10. Peyre, G.; Lenoir, J.; Karger, D.N.; Gomez, M.; Gonzalez, A.; Broennimann, O.; Guisan, A. The fate of páramo plant assemblages in the sky islands of the northern Andes. J. Veg. Sci. 2020, 31, 967–980. [Google Scholar] [CrossRef]
  11. Farley, K.A.; Bremer, L.L.; Harden, C.P.; Hartsig, J. Changes in carbon storage under alternative land uses in biodiverse Andean grasslands: Implications for payment for ecosystem services. Conserv. Lett. 2012, 6, 21–27. [Google Scholar] [CrossRef]
  12. Chacón-Moreno, E.; Rodríguez-Morales, M.; Paredes, D.; del Moral, P.S.; Albarrán, A. Impacts of Global Change on the Spatial Dynamics of Treeline in Venezuelan Andes. Front. Ecol. Evol. 2021, 9, 615223. [Google Scholar] [CrossRef]
  13. Patiño, S.; Hernández, Y.; Plata, C.; Domínguez, I.; Daza, M.; Oviedo-Ocaña, R.; Buytaert, W.; Ochoa-Tocachi, B. Influence of land use on hydro-physical soil properties of Andean páramos and its effect on streamflow buffering. CATENA 2021, 202, 105227. [Google Scholar] [CrossRef]
  14. Sklenář, P.; Hedberg, I.; Cleef, A.M. Island biogeography of tropical alpine floras. J. Biogeogr. 2013, 41, 287–297. [Google Scholar] [CrossRef]
  15. Cuesta, F.; Muriel, P.; Llambí, L.D.; Halloy, S.; Aguirre, N.; Beck, S.; Carilla, J.; Meneses, R.I.; Cuello, S.; Grau, A.; et al. Latitudinal and altitudinal patterns of plant community diversity on mountain summits across the tropical Andes. Ecography 2017, 40, 1381–1394. [Google Scholar] [CrossRef]
  16. Le Roux, P.; McGeoch, M. Rapid range expansion and community reorganization in response to warming. Glob. Chang. Biol. 2008, 14, 2950–2962. [Google Scholar] [CrossRef]
  17. Diazgranados, M.; Tovar, C.; Etherington, T.R.; Rodríguez-Zorro, P.A.; Castellanos-Castro, C.; Rueda, M.G.; Flantua, S.G. Ecosystem services show variable responses to future climate conditions in the Colombian páramos. PeerJ 2021, 9, e11370. [Google Scholar] [CrossRef]
  18. Aguayo, V.S.E.; Suárez-Duque, D. Factores socioambientales que favorecen la conservación in situ de tubérculos alto andinos nativos en los cantones de Colta y Guamote en Chimborazo, Ecuador. Soc. Ambient. 2020, 22, 72–96. [Google Scholar] [CrossRef]
  19. Li, Q.; Qiu, J.; Liang, Y.; Lan, G. Soil bacterial community changes along elevation gradients in karst graben basin of Yunnan-Kweichow Plateau. Front. Microbiol. 2022, 13, 1054667. [Google Scholar] [CrossRef]
  20. Rapp, J.; Silman, M.R. Diurnal, seasonal, and altitudinal trends in microclimate across a tropical montane cloud forest. Clim. Res. 2012, 55, 17–32. [Google Scholar] [CrossRef]
  21. Herrera, A.H.; Lencinas, M.V.; Pastur, G.M. Environmental drivers of plant community assembly in Isla de los Estados at Southern Atlantic Ocean. Community Ecol. 2018, 19, 35–44. [Google Scholar] [CrossRef]
  22. Abbott, R.J.; Brennan, A.C. Altitudinal gradients, plant hybrid zones and evolutionary novelty. Philos. Trans. R. Soc. B Biol. Sci. 2014, 369, 20130346. [Google Scholar] [CrossRef] [PubMed]
  23. Núñez Rodríguez, J.d.J.; Carvajal Rodríguez, J.C.; Mendoza Ferreira, O. Tamaño y peso de granos de café en relación con rangos altitudinales en zonas cafetaleras de Toledo, Norte de Santander (Colombia). Cienc. Tecnol. Agropecu. 2021, 22, 1820. [Google Scholar] [CrossRef]
  24. Caranqui, J.; Base de datos del Herbario CHEP. Versión 1.0. Escuela Superior Politécnica del Chimborazo. . 2018. Available online: www.espoch.edu.ec (accessed on 13 November 2024).
  25. Estrada Sánchez, J.C. Análisis Multivariante de la Variación Altitudinal de la Composición Florística en la Cordillera de Mérida. Ph.D. Thesis, Venezuela. Universidad de los Andes, Venezuela. Universidad de los Andes, 2003. [Google Scholar]
  26. Fick, S.E.; Hijmans, R.J. WorldClim 2: New 1-km spatial resolution climate surfaces for global land areas. Int. J. Climatol. 2017, 37, 4302–4315. [Google Scholar] [CrossRef]
  27. Murillo-Avalos, C.L.; Cubilla-Montilla, M.; Sánchez, M.Á.C.; Vicente-Galindo, P. What environmental social responsibility practices do large companies manage for sustainable development? Corp. Soc. Responsib. Environ. Manag. 2020, 28, 153–168. [Google Scholar] [CrossRef]
  28. Jolliffe, I.T.; Cadima, J. Principal Component Analysis: A Review and Recent Developments. Philos. Trans. R. Soc. A Math. Phys. Eng. Sci. 2016, 374, 20150202. [Google Scholar] [CrossRef]
  29. Lvarez, F.J.; Villardon, P.G. A proposal for spatio-temporal analysis of traffic matrices using HJ-biplot. In Proceedings of the 2015 IEEE International Workshop on Measurements & Networking (M&N), Coimbra, Portugal, 12–13 October 2015; p. 1. [Google Scholar]
  30. Gabriel, K.R. The biplot graphic display of matrices with application to principal component analysis. Biometrika 1971, 58, 453–467. [Google Scholar] [CrossRef]
  31. Aravindha, N.; Suma, G.; Reddy, K. Clustering In Multimedia for Pattern Recognition. Res. Inven. Int. J. Eng. Sci. 2015, 4, 60–68. [Google Scholar]
  32. Deokar, S.T. Text Documents Clustering Using K Means Algorithm. Int. J. Technol. Eng. Sci. 2013, 1, 282–286. [Google Scholar]
  33. Ghatak, A.; Chaturvedi, P.; Weckwerth, W. Metabolomics in Plant Stress Physiology. In Molecular Stress Physiology of Plants; Roychoudhury, D.K., Tripathi, D.K., Eds.; Springer: New Delhi, India, 2017; pp. 233–254. [Google Scholar] [CrossRef]
  34. Ghatak, A.; Chaturvedi, P.; Paul, P.; Agrawal, G.K.; Rakwal, R.; Kim, S.T.; Weckwerth, W.; Gupta, R. Proteomics survey of Solanaceae family: Current status and challenges ahead. J. Proteom. 2017, 169, 41–57. [Google Scholar] [CrossRef]
  35. Navarro-González, I.; Periago, M.J. El tomate, ¿alimento saludable y/o funcional? Rev. Española De Nutr. Humana Y Dietética 2016, 20, 323–335. [Google Scholar] [CrossRef][Green Version]
  36. Estupiñán-Jiménez, M. Uso tradicional de plantas en comunidades rurales del páramo andino. Rev. Andin. Cienc. Soc. 2010, 8, 145–161. [Google Scholar]
  37. Pedraza-Peñalosa, P.; Salinas, N.R.; Virnig, A.L.S.; Wheeler, W.C. Preliminary phylogenetic analysis of the Andean clade and the placement of new Colombian blueberries (Ericaceae, Vaccinieae). PhytoKeys 2015, 49, 13–31. [Google Scholar] [CrossRef] [PubMed]
  38. Cox, J.E. Notes on the genus Erica. Bull. Torrey Bot. Club 1948, 75, 482–487. [Google Scholar]
  39. Judd, W.S.; Campbell, C.S.; Kellogg, E.A.; Stevens, P.F.; Donoghue, M.J. Plant Systematics: A Phylogenetic Approach; Sinauer Associates: Sunderland, MA, USA, 1993. [Google Scholar]
  40. Villarreal, M. Las Plantas del Páramo Andino: Diversidad y Usos Tradicionales; Editorial Andina: Manizales, Colombia, 2000. [Google Scholar]
  41. Zeng, X.; Guo, L.; Chen, S. Chemical Constituents and Pharmacological Actions of Caprifoliaceae Plants. Chin. J. Nat. Med. 2000, 2, 50–60. [Google Scholar]
  42. Pringle, J.S. Gentianaceae. In Flora of North America North of Mexico; Flora of North America Editorial, Committee, Ed.; Oxford University Press: Oxford, UK, 2014; Volume 17, pp. 32–45. [Google Scholar]
  43. Rybczyński, J.J.; Davey, M.R.; Mikula, A. The Gentianaceae—Volume 1: Characterization and Ecology; Springer: Berlin/Heidelberg, Germany, 2014. [Google Scholar] [CrossRef]
  44. Wolfender, J.L.; Hiller, K.; Hostettmann, K. Biologically active compounds from the Gentianaceae. Planta Medica 2015, 61, 34–48. [Google Scholar] [CrossRef]
  45. Sylvester, S.P.; Soreng, R.J.; Gilliespie, L.J. Resolving páramo Poa (Poaceae): morphometric and phylogenetic analysis of the ‘Cucullata complex’ of north-west South America. Bot. J. Linn. Soc. 2021, 197, 104–146. [Google Scholar] [CrossRef]
  46. Briceño, B.; Morillo, M.G. Poaceae: Monocotyledons of the Venezuelan Páramos; Editorial Fundación Polar: Caracas, Venezuela, 2006. [Google Scholar]
  47. Ezcurra, C. Flora and Vegetation of the High Andes. In Alpine Plants of the Andes; Martine, P., Ed.; Springer: Berlin/Heidelberg, Germany, 2019; pp. 82–101. [Google Scholar]
  48. Báez, S.; Jaramillo, L.; Cuesta, F.; Donoso, D.A. Effects of climate change on Andean biodiversity: A synthesis of studies published until 2015. Neotrop. Biodivers. 2016, 2, 181–194. [Google Scholar] [CrossRef]
  49. Cresso, M.; Clerici, N.; Sanchez, A.; Jaramillo, F. Future Climate Change Renders Unsuitable Conditions for Paramo Ecosystems in Colombia. Sustainability 2020, 12, 8373. [Google Scholar] [CrossRef]
  50. Giacomotti, J. Altitudinal Gradients and Floral Diversity in the Andes. Bot. J. Linn. Soc. 2021, 195, 298–314. [Google Scholar] [CrossRef]
  51. Rojas-Martínez, C.; Flores-Olvera, H. Florística de la Sierra El Pelado, Acatlán, Puebla, México. Rev. Mex. De Biodivers. 2019, 90, e902694. [Google Scholar] [CrossRef]
  52. Alzate-Guarín, F.; Murillo-Serna, J.S. Angiosperm flora on the páramos of northwestern Colombia: diversity and affinities. PhytoKeys 2016, 70, 41–52. [Google Scholar] [CrossRef] [PubMed][Green Version]
  53. Durán-Suárez, L.R.; Terneus-Jácome, H.E.; Gavilán-Díaz, R.A.; Posada-García, J.A. Composición y estructura de un ensamble de plantas acuáticas vasculares de una represa alto andina (Santander), Colombia. Actual. Biológicas 2017, 33, 33–50. [Google Scholar] [CrossRef]
  54. Cuello, N.L.; Cleef, A.M.; Aymard, G. Asteraceae and their role in the paramo ecosystem. Flora Neo-Trop. 2010, 108, 32–56. [Google Scholar]
  55. Suárez-Mota, M.E.; Villaseñor, J.L.; López-Mata, L. La región del Bajío, México y la conservación de su diversidad florística. Rev. Mex. Biodivers. 2015, 86, 799–808. [Google Scholar] [CrossRef]
  56. Villaseñor, J.L.; Ortíz, E. High species richness of Asteraceae in the Bajío region. Rev. Mex. Biodivers. 2012, 83, 12–20. [Google Scholar]
  57. Hurtado-Huarcaya, J.; Castañeda, R.; Albán, J. Asteráceas medicinales en dos comunidades andinas del sur del Perú: Quinua (Ayacucho) y Lircay (Huancavelica). Boletín Latinoam. Y Del Caribe De Plantas Med. Y Aromáticas 2021, 20, 351–366. [Google Scholar] [CrossRef]
  58. Olaya-Angarita, J.A.; Díaz-Pérez, C.N.; Morales-Puentes, M.E. Composición y estructura de la transición bosque-páramo en el corredor Guantiva-La Rusia (Colombia). Rev. De Biol. Trop. 2019, 67, 755–768. [Google Scholar] [CrossRef]
  59. Pontes, T.; Lima, L.; Moraes, M. Apiaceae diversity in the high Andes of northwest Colombia. Ann. Bot. 2004, 94, 237–245. [Google Scholar] [CrossRef]
  60. Parra Sánchez, E.; Armenteras, D.; Retana, J. Edge Influence on Diversity of Orchids in Andean Cloud Forests. Forests 2016, 7, 63. [Google Scholar] [CrossRef]
Figure 1. Study area and altitudinal strata. (A) Map of the Canton of Guamote: this represents the internal territorial distribution of the Canton of Guamote, highlighting its main geographical characteristics, altitudinal strata, and boundaries. (B) Location in relation to the province of Chimborazo: this illustrates the geographical location of the Guamote Canton within the province of Chimborazo, providing a regional context within the framework of its political–administrative division. (C) Location in relation to the country of Ecuador: this shows the position of the Guamote Canton within the Ecuadorian national territory, framing it in its geographical and political context at the national level.
Figure 1. Study area and altitudinal strata. (A) Map of the Canton of Guamote: this represents the internal territorial distribution of the Canton of Guamote, highlighting its main geographical characteristics, altitudinal strata, and boundaries. (B) Location in relation to the province of Chimborazo: this illustrates the geographical location of the Guamote Canton within the province of Chimborazo, providing a regional context within the framework of its political–administrative division. (C) Location in relation to the country of Ecuador: this shows the position of the Guamote Canton within the Ecuadorian national territory, framing it in its geographical and political context at the national level.
Sustainability 17 00383 g001
Figure 2. Methodological research process.
Figure 2. Methodological research process.
Sustainability 17 00383 g002
Figure 3. Contribution of bioclimatic variables to altitudinal gradients.
Figure 3. Contribution of bioclimatic variables to altitudinal gradients.
Sustainability 17 00383 g003
Figure 4. Contribution of families to gradients and their clustering.
Figure 4. Contribution of families to gradients and their clustering.
Sustainability 17 00383 g004
Figure 5. Bicluster families in each stratum.
Figure 5. Bicluster families in each stratum.
Sustainability 17 00383 g005
Table 1. Household contributions per row.
Table 1. Household contributions per row.
Contributions per RowAxis 1Axis 2Axis 3Contributions per RowAxis 1Axis 2Axis 3
Amaryllidaceae92175733Grossulariaceae966277
Apiaceae19936Iridaceae966277
Amaranthaceae1493452Lamiaceae34563321
Apocynaceae10980982Lycopodiaceae298403299
Araliaceae966277Malvaceae10980982
Asteraceae99550Oleaceae62530074
Berberidaceae2629946Loasaceae966277
Brassicaceae10980982Loranthaceae966277
Bromeliaceae398437165Melastomataceae367149484
Blechnaceae966277Nyctaginaceae966277
Boraginaceae966277Onagraceae79439167
Calceolariaceae81965116Piperaceae6073931
Caprifoliaceae33298570Orchidaceae12179385
Caryophyllaceae62530074Pentaphyllacaceae390172438
Crassulaceae62530074Orobanchaceae367149484
Campanulaceae367149484Oxalidaceae75684160
Coriariaceae298403299Phytolaccaceae966277
Cunoniaceae298403299Plantaginaceae75684160
Cyperaceae239367393Poaceae325246429
Davalliaceae966277Polygalaceae1451854
Dryopteridaceae966277Polanaceae354518128
Equisetaceae298403299Polygonaceae966277
Ericaceae60236336Otamogetonaceae390172438
Escalloniaceae298403299Tropaeolaceae62530074
Fabaceae8219584Verbenaceae193465
Gentianaceae25172128Ranunculaceae75684160
Hypericaceae25172128Rosaceae3436560
Geraniaceae75684160Rubiaceae5169826
Gesneriaceae966277Tropaeolaceae966277
Table 2. Families and characteristic species in the three altitudinal strata.
Table 2. Families and characteristic species in the three altitudinal strata.
FamilySpecies
AsteraceaeAmbrosia arborescens, Achilea millefolium, Baccharis latifolia, Baccharis prunifolia, Baccharis emarginata, Baccharis teindalensis, Baccharis macrantha, Monticalia arbutifolia, Monticalia stuebelii, Gynoxys hallii, Gynoxys buxifolia, Taraxacum officinale, Plagiocheilus sp., Grosvenoria campii, Gazania rigens, Chaptalia sp., Conyza bonariensis, Ageratina pichinchensis, Gamochaeta americana, Ageratina sp., Hieracium frigidum, Lucilia sp., Antennaria sp., Tridax stuebelii, Viguiera quitensis, Tagetes multiflora, Diplostephium glandulosum, and Lasiocephalus involucrata
AmaranthaceaeAlternanthera sp.
CalceolariaceaeCalceolaria ferruginea
CaprifoliaceaeValeriana cernua, Valeriana microphylla, Valeriana plantaginea, Valeriana decusata, and Sambucus nigra
CyperaceaeUncinia phleoides, Rhynchospora vulcani, Rhynchospora macrochaeta, Schoenoplectus californicus, and Carex pichinchensis
EricaceaeCeratostema alatum, Disterigma empetrifolium, Gaultheria sp., Pernettya prostrata, Macleania sp., and Vaccinium floribundum
FabaceaeMedicago polymorpha, Lupinus, Trifolium, and Mimosa quitensis
GentianaceaeHalenia gracilis, Gentianella rapunculoides, and Gentianella diffusa
HypericaceaeHypericum strictum, Hypericum lancifolium, Hypericum lancioides, and Hypericum quitense
LamiaceaeSalvia corrugata, Salvia macrostachya, Salvia leucophylla, Salvia sagittata, Marrubium vulgare, Stachys elliptica, and Clinopodium nubigenum
OnagraceaeFuchsia loxensis, Fuchsia hybrida, Fuchsia vulcanica, and Oenothera epilobiifolia
PoaceaeAgrostis perennans, Neurolepis aristata, Bromus pitensis, Stipa ichu, and Cortaderia jubata
PolygalaceaeMonnina crassifolia
SolanaceaeSolanum radicans, Solanum siphonobasis, Solanum colombianum, Solanum aloysiifolium, Solanum interandinum, Solanum barbulatum, Capsicum annuum var. Anuu, and Nicotiana sp.
VerbenaceaeStachytarpheta sp.
RosaceaeRubus adenotrichos, Lachemilla orbiculata, Acaena elongata, Hesperomeles obtusifolia, and Lachemilla nivalis
Disclaimer/Publisher’s Note: The statements, opinions and data contained in all publications are solely those of the individual author(s) and contributor(s) and not of MDPI and/or the editor(s). MDPI and/or the editor(s) disclaim responsibility for any injury to people or property resulting from any ideas, methods, instructions or products referred to in the content.

Share and Cite

MDPI and ACS Style

Cushquicullma-Colcha, D.F.; Ati-Cutiupala, G.M.; Guilcapi-Pacheco, E.D.; Villacis-Uvidia, J.F.; Brito-Mancero, M.Y.; Vaca-Cárdenas, P.V.; Vasco-Lucio, M.M.; Muñoz-Jácome, E.A.; Vaca-Cárdenas, M.L. Influence of Altitude and Climatic Factors on the Floristic Composition of the Moorlands of the Guamote Canton, Ecuador: Key Revelations for Conservation. Sustainability 2025, 17, 383. https://doi.org/10.3390/su17020383

AMA Style

Cushquicullma-Colcha DF, Ati-Cutiupala GM, Guilcapi-Pacheco ED, Villacis-Uvidia JF, Brito-Mancero MY, Vaca-Cárdenas PV, Vasco-Lucio MM, Muñoz-Jácome EA, Vaca-Cárdenas ML. Influence of Altitude and Climatic Factors on the Floristic Composition of the Moorlands of the Guamote Canton, Ecuador: Key Revelations for Conservation. Sustainability. 2025; 17(2):383. https://doi.org/10.3390/su17020383

Chicago/Turabian Style

Cushquicullma-Colcha, Diego Francisco, Guicela Margoth Ati-Cutiupala, Edmundo Danilo Guilcapi-Pacheco, Juan Federico Villacis-Uvidia, Marcela Yolanda Brito-Mancero, Pedro Vicente Vaca-Cárdenas, Martha Marisol Vasco-Lucio, Eduardo Antonio Muñoz-Jácome, and Maritza Lucia Vaca-Cárdenas. 2025. "Influence of Altitude and Climatic Factors on the Floristic Composition of the Moorlands of the Guamote Canton, Ecuador: Key Revelations for Conservation" Sustainability 17, no. 2: 383. https://doi.org/10.3390/su17020383

APA Style

Cushquicullma-Colcha, D. F., Ati-Cutiupala, G. M., Guilcapi-Pacheco, E. D., Villacis-Uvidia, J. F., Brito-Mancero, M. Y., Vaca-Cárdenas, P. V., Vasco-Lucio, M. M., Muñoz-Jácome, E. A., & Vaca-Cárdenas, M. L. (2025). Influence of Altitude and Climatic Factors on the Floristic Composition of the Moorlands of the Guamote Canton, Ecuador: Key Revelations for Conservation. Sustainability, 17(2), 383. https://doi.org/10.3390/su17020383

Note that from the first issue of 2016, this journal uses article numbers instead of page numbers. See further details here.

Article Metrics

Back to TopTop