Next Article in Journal
Growth, Condition, and Seasonal Changes in the Population Structure of the Invasive Chinese Sleeper Perccottus glenii (Dybowski, 1877) in a River Subjected to Severe Anthropological Pressure
Next Article in Special Issue
Neglected and Underutilized Fish Species: The Potential Loss of Value in the Italian Context
Previous Article in Journal
Experimental Investigation of Thermal Influence on Shear Strength and Swelling Pressure of Soil Mixtures
Previous Article in Special Issue
Green Preservation Strategies: The Role of Essential Oils in Sustainable Food Preservatives
 
 
Font Type:
Arial Georgia Verdana
Font Size:
Aa Aa Aa
Line Spacing:
Column Width:
Background:
Article

The Impact of Controlled and Dynamically Controlled Atmospheres on the Storage Ability and Sustainable Supply Chain of Zucchini Fruit

by
Maria Grzegorzewska
* and
Justyna Szwejda-Grzybowska
Department of Fruit and Vegetables Storage and Processing, The National Institute of Horticultural Research, Konstytucji 3 Maja 1/3, 96-100 Skierniewice, Poland
*
Author to whom correspondence should be addressed.
Sustainability 2025, 17(19), 8781; https://doi.org/10.3390/su17198781
Submission received: 21 August 2025 / Revised: 25 September 2025 / Accepted: 29 September 2025 / Published: 30 September 2025
(This article belongs to the Special Issue Future Trends in Food Processing and Food Preservation Techniques)

Abstract

The zucchini market is growing worldwide due to its health and nutritional properties and culinary versatility. However, fruits harvested in the early stages of development are very perishable, which requires efforts to extend their shelf life. The aim of this study was to determine the effect of an innovative method involving a dynamically controlled atmosphere (DCA) and controlled atmosphere (CA) on the quality of zucchini stored at two temperatures (5 and 8 °C). After 20 d of cold storage, the fruit was further monitored under retail conditions (air, 15 °C). CA and DCA applied in a cold store at 8 °C improved the storage ability of the zucchini and allowed it to remain marketable for another 8 days at 15 °C. However, there were no significant effects of the storage method at 5 °C on the shelf life of zucchini at 15 °C. In addition, after storage at 8 °C under CA and DCA conditions, zucchini contained more total soluble solids (4.0%), glucose (8.0 g kg−1), fructose (11.0 g kg−1), and polyphenols (436 mg kg−1) than those stored under normal atmosphere (3.6%, 6.2 g kg−1, 9.9 g kg−1, 377.8 mg kg−1 respectively). The use of CA and DCA extends the shelf life and supports sustainable production and consumption of zucchini fruit.

1. Introduction

1.1. Storage Temperature and Sensitivity to Chilling Injury

Zucchini (Cucurbita pepo L.) is a popular vegetable but has a relatively low storage ability, which depends on the stage of maturity of the crop and storage method. It is a cold-sensitive species, and fruit harvested at an earlier maturity stage are more susceptible to cold damage. According to Gajewski et al. [1], harvesting zucchini at an appropriate maturity stage can ensure optimal quality during storage. In general, low temperatures slow down enzymatic activity and respiration rates, but cold exposure can cause chilling injury (CI), leading to adverse physical and chemical changes [2,3,4,5]. Cantwel and Suslow [6] found that the optimal storage temperature for zucchini was 5–10 °C. Storing zucchini below this threshold for more than 3–4 d leads to water-soaked pits that are visible on the surface of the fruit. Other studies have referred to slightly different temperature ranges. For example, Megias et al. [7] reported that most varieties lose their commercial value after less than 7 d at 4 °C, while Gajewski et al. [1] found that zucchini had a better storage ability at 6 °C than at 3 °C. There are not always signs of CI during cold storage, but they become apparent after the fruit is removed from cold storage and during their shelf life in warmer conditions [8]. A pitting on the skin of the fruit indicates a loss of tissue integrity at that location due to membrane and cell wall damage [9,10,11]. There is also an excessive increase in the lignin content of the cell wall, which causes structural damage [3]. According to Gualanduzzi et al. [12], the onset of cold damage could be a consequence of H2O2 and antioxidant enzyme activity changes. Zhao et al. [13] showed that soluble carbohydrates, as principal metabolites, play a vital role in respiration and stress resistance by regulating osmotic pressure, protecting cell membrane integrity, and conferring oxidation resistance. Varieties differ in their susceptibility to cold damage [8]. In addition to an adequate temperature, high humidity is essential for inhibiting zucchini quality decline during storage and reduces CI development [14,15].

1.2. Postharvest Treatments

Exogenous abscisic acid affects metabolite accumulation, mitigating CI and improving the nutritional properties of zucchini fruit during cold storage [16]. Post-harvest treatment with melatonin (200 µmol L−1) has been shown to reduce CI in ‘Green Long’ zucchini fruit [17]. Additionally, the immersion of zucchini fruit in heated water (45 °C for 15 min) induced arginine metabolism, increasing cold tolerance [5].

1.3. Application of Controlled Atmosphere

A controlled atmosphere (CA) with appropriate gas mixtures can preserve zucchini quality during storage [18,19]. Gajewski et al. [1] recommended CA with 5 kPa CO2 and 3 kPa O2 or 3 kPa CO2 and 3 kPa O2. In a reduced oxygen atmosphere, zucchini stored at a low temperature (2.5 °C) increased putrescine and spermidine synthesis in the peel, which reduced CI development [20]. Low O2 and increased CO2 combined with low temperature (4 °C) also had a positive effect on cucumber quality during storage. The fruit retained better firmness and color and showed less weight loss and cold damage [21]. Organic cucumbers stored under CA with a CO2 level of 3 kPa and O2 level of 1 or 15 kPa maintained higher fructose and glucose contents than those in a normal atmosphere [22].

1.4. Dynamic Controlled Atmosphere

The use of a dynamically controlled atmosphere (DCA) means that fresh fruit or vegetables are stored in extremely low oxygen concentrations, i.e., a little above the threshold of anaerobic respiration. Under such conditions, the metabolism of the product is reduced to a greater extent than in CA, which is conducive to maintaining a higher product quality [23,24]. The dynamic controlled atmosphere with chlorophyll fruorescence (DCA-CF), under the trade name HarvestWatchTM, detects stress, such as a low oxygen level (LOL) by continuously monitoring changes in the chlorophyll fluorescence of stored fruit and vegetables. The CF biosensor is used to detect LOL and then to indicate that O2 is at the right level (slightly above LOL) for safe storage of the commodity [25,26,27]. Watkins [28] and Thewes et al. [29] recommended increasing the oxygen partial pressure (pO2) by at least 0.2 kPa above the LOL to provide a safety margin for the respiration of stored products. In addition, the O2 pressure level should not be lower than 0.4 kPa.
Minimum oxygen conditions vary according to species as well as cultivar, growing conditions, harvest maturity, storage temperature, and carbon dioxide level [29]. DCA-FC has gained popularity among apple producers as an effective technology in controlling physiological disorders and maintaining high quality during long-term storage [30]. However, there are still no reports on the use of DCA-FC for storing vegetables, including zucchini. It is interesting to know whether this method is effective for zucchini and whether the effect of low partial oxygen pressure depends on temperature during zucchini cold storage.

1.5. The Aim of Current Research

This study investigates the effect of controlled atmosphere (CA) and dynamically controlled atmosphere (DCA-FC) storage at two temperatures (5 °C and 8 °C) on the quality, shelf life, and chemical properties of ‘Lanka F1’ zucchini to identify the optimal storage conditions for commercial use

2. Materials and Methods

2.1. Material and Storage Methods

Plant material was obtained from the producer’s farm in Kujawsko-Pomorskie Province, Poland. The zucchini ‘Lanka F1’ was harvested on 23 July 2024 (first experiment) and 26 August 2024 (second experiment). The fruit was harvested at a relatively early growth stage (15–25 cm in length and 3–4.5 cm in diameter). Immediately after harvest, the zucchini was transported to the laboratory, which took approximately 4 h. In the laboratory, the fruit was stored at 10 °C overnight. The following day, the fruit was removed from the cold room and washed in water that was 5 °C warmer than the fruit flesh, i.e., 17 °C. After washing, the fruit was disinfected in a 0.01% sodium hypochlorite solution (2 min) and rinsed in tap water. The fruit was placed on flat screens for surface drying. Storage experiments were set up in a two-factor system: A and B. Factor A was the zucchini storage method: 1. CA with 5.0 kPa CO2 + 2.0 kPa O2; 2. DCA with 0.5 kPa CO2; 3. DCA with 2.0 kPa CO2; 4. normal atmosphere (NA) with 0.0 kPa CO2 + 21.0 kPa O2; and 5. control—storage outside the container in crates lined with polyethylene (PE) film. Factor B was the storage temperature: 8 and 5 °C.
Fruit of excellent quality, i.e., without any defects, was used for the storage study. The experiment was set up with 20 replicates of 1 fruit each, which were arranged in 2 plastic crates. Twenty batches of 10 fruits of uniform size were selected, and individual fruits from each batch were placed separately in boxes assigned to specific experimental objects. The weight of each fruit was determined before being placed into storage. In addition, samples were prepared for chemical analysis and measurement of the respiration intensity. The zucchini fruit (except control samples) was stored in gas-tight containers of 70 cm × 100 cm × 64 cm (W × D × H). Oxygen and carbon dioxide levels in containers with CA and DCA was monitored by using Fruit System A&B Instruments 2022 (Van Amerongen CA Technology, Tiel, The Netherlands). DCA containers used HarvestWatch™ technology to monitor chlorophyll fluorescence (DCA-CF) to detect low oxygen stress. Chlorophyll fluorescence sensors (Satlantic, NS, Canada; distributed by Isolcell S.p.A., Laives, Italy) were placed over a sample of 4 fruits in each batch. In containers with DCA, the signal from sensors based on chlorophyll fluorescence measurements indicated a threshold for anaerobic respiration at an oxygen level of 0.4 kPa (Fα = 0.4 kPa). The oxygen concentration for further storage was set at 0.3 kPa higher than Fα, which was 0.7 kPa. The cold storage period was 20 d. The control combination was introduced into the study in order to compare storage in CA and DCA with standard zucchini storage. Additionally, this allows access to the stored material during storage, because in the case of CA and DCA, the material is sealed throughout the entire period of cold storage. After cold storage, zucchini fruit from all experimental treatments were moved to 15 °C for further storage under retail conditions for 8 d.

2.2. Quality Assessment

Weight loss measurements and morphological observations were performed immediately after cold storage and after 4 and 8 d of shelf life at 15 °C. Weight loss was calculated as the percentage decrease in weight measured during storage compared to the weight measured on the day the storage experiment began, i.e., the day the zucchini were placed in cold storage. As part of the morphological observations, the development of cold damage and fruit and stalk rot were assessed. The marketable value of the zucchini was determined based on these observations. The individual traits were evaluated using 9-point scales, with 1 indicating no signs of change in a given trait and 9 indicating the maximum intensity of a given change, i.e., very strong development of cold damage or fruit or stalk rot. The commercial value was also assessed on a 9-point scale as follows: 1–no commercial value, 3–bad, 5–sufficient (market value threshold), 7–good, 9–excellent. On four dates, namely on the day the storage experiment was set up, immediately after cold storage, and after 1 and 4 d of storage at 15 °C, the respiration intensity was measured. These measurements were made in 3 replicates for each experimental combination. A single fruit was sealed in a 3.3 L glass jar for 2 h, after which the released CO2 content was measured using a Check Mate 3 O2(Zr) CO2-100% analyzer (MOCON Europe A/S, Ringsted, Denmark). On the day the experiment was set up and after 20 d of cold storage, CIE L*C*h* (color space defined by International Commission on Illumination) measurements were recorded on 10 fruits from each treatment using a Minolta CM—700 d spectrophotometer (Konica Minolta Optiks INC., Sakai, Japan).

2.3. Chemical Analysis

Chemical analyses were performed after 20 d of refrigerated storage. The contents of the following components were determined: total soluble solids (TSSs), glucose, fructose, and polyphenols. The TSS content was measured using a refractometer (Mettler Toledo, RE50, Greifensee, Switzerland) and expressed as a percentage of fresh weight (FW).
The analysis of glucose and fructose in zucchini ware determined by high-performance liquid chromatography Agilent 1200 HPLC system (Agilent Technologies, Morges, Switzerland), equipped with a differential refractometric detector. The separation of sugars was carried out using a column (Aminex HPX-87C, 300 mm × 7.5 mm) (Bio-Rad Laboratories, Hercules, CA, USA) with a precolumn. The isocratic flow was 0.6 mL min−1, column temperature was 80 °C, and the mobile phase was 0.1 mM edetate calcium disodium (Ca-EDTA). The redistilled water, was added to zucchini and next the samples were homogenized and purified on a Waters SepPak PLUS C18 filter (Waters, MA, USA). Quantitative determinations were made using a calibration curve for glucose and fructose, and the results were expressed in g kg−1 FW.
The total polyphenol content (TPC) was measured using a spectrophotometric method with Folin–Ciocalteu reagent [31]. The 5 g sample of zucchini fruit was homogenized with 80% ethanol, and the homogenate was centrifuged for 10 min at 15,680 relative centrifugal force (RCF). The prepared solution was filtered under reduced pressure through a Büchner funnel filter. Then, 0.75 mL of the extract was transferred to a 25 mL volumetric flask, and 10 mL of distilled water, 1.25 mL of Folin–Ciocalteu reagent, and 2.5 mL of 20% NaCO3 solution were added and mixed. The volume was topped up to 25 mL with distilled water. The samples were incubated in the dark for 1 h at room temperature. The absorbance was then measured using a UviLine 9400 spectrophotometer (SI Analytics, Hofheim am Taunus, Germany) at a wavelength of 750 nm and compared to the blank sample. The TPC was expressed as mg of catechin equivalents in mg kg−1 FW of the analyzed zucchini sample.

2.4. Statistical Analysis

Statistical analysis was carried out by two-factor and one-factor analysis of variance using StatSoft STATISTICA version 13. Two-factor analysis was used to calculate the zucchini storage results as a function of temperature and storage method. One-factor analysis was used to compare means between storage temperatures (5 and 8 °C). The significance of differences between the averages was determined using the Tukey test at a significance level of p < 0.05.

3. Results

3.1. Weight Loss

Zucchini weight loss, which was measured immediately after cold storage, varied significantly by storage method. Generally, lower losses were found for zucchini after storage in CA and DCA than for NA-stored fruit. During further shelf life at 15 °C, losses increased in all combinations but were still at the lowest level for zucchini treated with CA and DCA after both 4 and 8 d. The temperature of cold storage had a significant effect on the weight loss only for zucchini under NA. Both immediately after cold storage and after another 4 and 8 d at 15 °C, higher losses were recorded for NA samples refrigerated for 20 d at 8 °C than at 5 °C. After cold storage at both temperatures, there was a trend toward slightly higher losses of zucchini from the control than from CA and DCA (Table 1).

3.2. Pitting and Rotting

CI, in the form of pitting on the skin surface, was evident after 20 d of cold storage on fruit stored at 5 °C under all experimental treatments. They were also visible, but to a very slight degree, on fruit stored at 8 °C under the control, NA, and DCA (2.0 kPa CO2) treatments. During subsequent storage at 15 °C, rot developed in areas with damage and the pits became invisible (Table 2).
Immediately after cold storage at both 8 and 5 °C, rotting of zucchini from CA and DCA was negligible (small spots on individual fruit). The greatest rotting was observed on fruit from the control and NA treatment. During shelf life at 15 °C, the rot area increased, but with greater intensity on fruit from the control and NA treatment than on fruit stored under CA or DCA The effect of temperature on fruit rot was pronounced. Zucchini from CA and DCA rotted more slowly after cold storage at 8 °C than at 5 °C. In contrast, control fruit rotted more slowly when stored earlier at 5 °C than at 8 °C (Table 3).
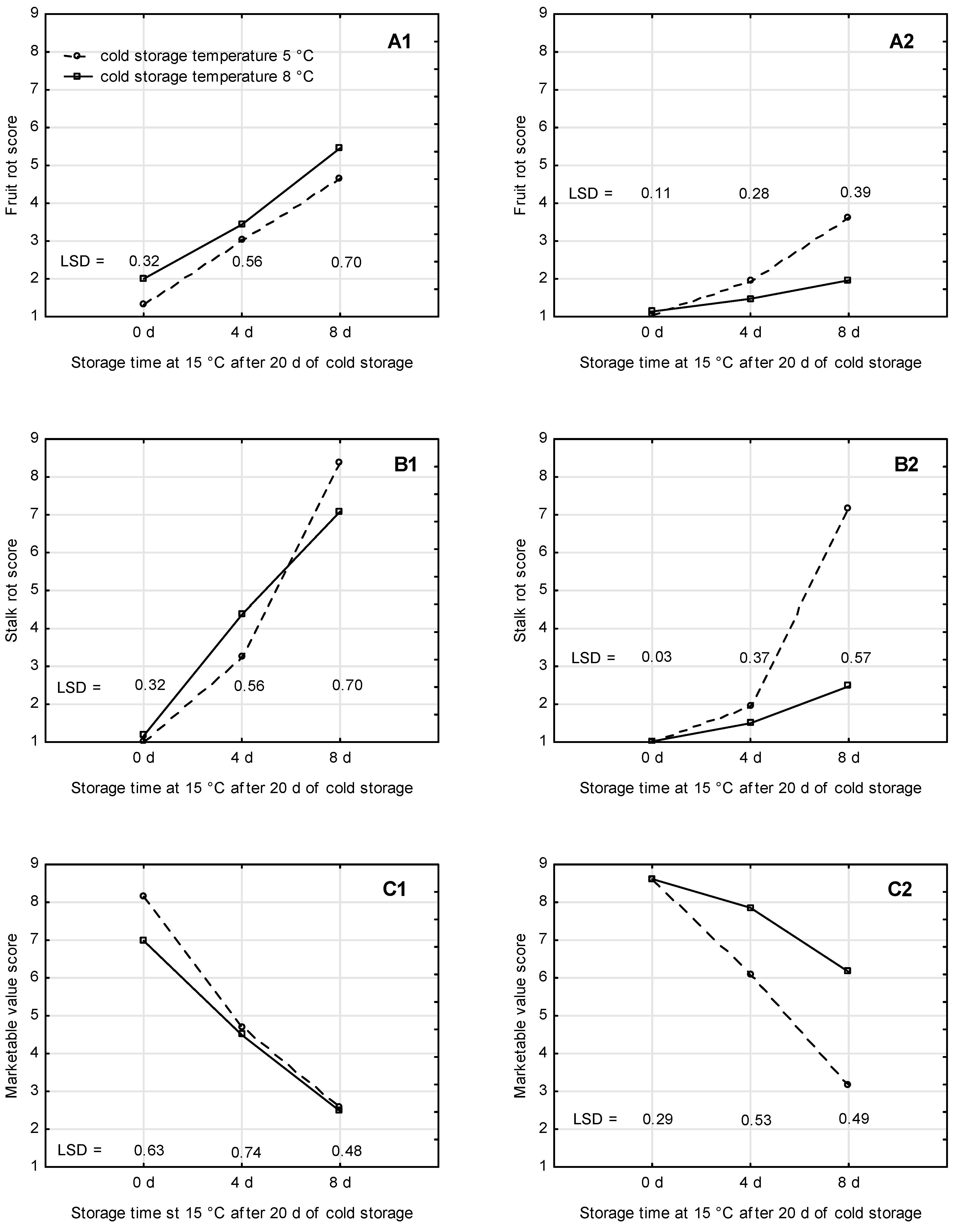
Figure 1 shows the averaged results for the separated 2 groups of zucchini treatments during cold storage: 1—with normal oxygen concentration (control + NA); 2—with reduced oxygen concentration (CA, DCA–0.5 kPa CO2 and DCA–2.0 kPa CO2). Zucchini fruit from the treatments with reduced oxygen concentrations rotted less after refrigerated storage at 8 °C than at 5 °C. Fruit from the treatment with normal oxygen concentration showed a slight tendency toward increased rotting after storage at 8 °C, although the differences after 4 and 8 d at 15 °C were insignificant (Figure 1(A1,A2)).
Stem rot also developed during storage at 15 °C. After 4 and 8 d, there was a marked inhibition of stem rot after refrigerated storage at 8 °C under CA and DCA conditions. After cold storage at 5 °C and 4 d of shelf life at 15 °C, pronounced inhibition of stalk rot occurred under the CA and DCA–2.0 kPa CO2 treatments. After another 4 d at 15 °C, significant inhibition of stalk rot was observed only for the DCA–2.0 kPa CO2 (Table 4).
Similar to fruit rot, zucchini stalk rot at 15 °C after cold storage at 8 °C under CA and DCA conditions was significantly lower than after cold storage at 5 °C. In another zucchini group (control + NA), less rot after 8 d at 15 °C was found on the stalks of zucchini refrigerated at 5 °C compared to that of cold storage at 8 °C (Figure 1(B1,B2)).

3.3. Marketable Value

The marketable value of zucchini immediately after cold storage was very good or good except for fruit from the control combination after storage at 8 °C. During shelf life at 15 °C, zucchini previously stored at 8 °C under CA and DCA conditions retained marketability for up to 8 d and after refrigerated storage at 5 °C for only 4 d (Table 5, Figure 2). The control zucchini was already unfit for trade after just 4 d at 15 °C, regardless of the cold storage temperature.
Immediately after cold storage at 5 °C, zucchini from the group with control and NA showed a higher marketable value than those stored at 8 °C. During shelf life at 15 °C, the value dropped rapidly after both cold storage at 5 and 8 °C. After 4 and 8 days at 15 °C, the market values for zucchini after both cold storage were similar (differences not significant). In the case of zucchini stored under oxygen-reduced conditions at 8 °C, during the subsequent shelf life period at 15 °C, the fruit retained significantly better overall quality and higher marketable value than those previously stored at 5 °C (Figure 1(C1,C2)).

3.4. Respiration Intensity

The respiration intensity of zucchini immediately after harvest was high at 55.50 mL kg−1 h−1. During cold storage, the intensity decreased significantly at both temperatures, but a greater intensity was recorded at 5 °C than at 8 °C. After 1 day of storage at 15 °C, the respiration intensity of zucchini stored at 8 °C increased slightly more than 2 times, while that stored at 5 °C increased about 3 times. Over the next 3 d, the respiration intensity of zucchini stored at 8 °C increased further, while a slight decrease was recorded for that stored at 5 °C. The greatest effect of storage method on the respiration intensity of zucchini was observed immediately after cold storage. At both temperatures, the greatest inhibition occurred under DCA conditions with a CO2 concentration of 0.5 kPa (Table 6).

3.5. Color Parameters

Immediately after harvest, the following values were recorded for the individual zucchini color parameters: L (brightness), 31.8; C (saturation), 11.0; and h° (hue), 122.4. During cold storage, the parameter L remained at a similar level at both temperatures, but the color saturation increased and the hue became more yellow. More yellowing occurred at 5 °C than at 8 °C. When comparing storage methods, the least yellowing occurred in zucchini stored at 8 °C under DCA conditions with a CO2 level of 0.5 kPa. The control zucchini stored at 8 °C yellowed the most (Table 7).

3.6. Chemical Value of Zucchini Fruit

The effect of storage method on the chemical content was significant but only at 8 °C. After storage at this temperature, the highest TSS content was obtained for zucchini from DCA treatment at 2 kPa CO2, while the lowest content was obtained for zucchini from the control (Figure 3A). Higher glucose and fructose contents were observed for fruit under CA and DCA than under the control or NA (Figure 3B,C). A significantly higher TPC was observed in zucchini after storage at 8 °C than at 5 °C. However, no effect of storage method was found for this component (Figure 3D).
In the zucchini under treatment with a normal O2, the effect of cold storage temperature was significant for TSS and fructose contents in favor of 5 °C. For the glucose content and TPC, there were no significant differences due to the cold storage temperature. For fruit under with reduced O2 and increased CO2 conditions, all analyzed chemical components (TSS, glucose, fructose, and TPC) were significantly higher after storage at 8 °C than at 5 °C (Table 8).

4. Discussion

Zucchini is a non-climacteric vegetable harvested for the European market, most often at the immature stage when the fruit reaches about 20 cm in length. Such fruit is highly susceptible to wilting, rotting, and senescence during storage. New developments in improving the storage ability of zucchini are essential for unloading the supply at harvest time and for enabling transport over longer distances. CA and DCA are methods that positively influence the durability of zucchini ‘Lanka F1‘ but in appropriate temperature regimes. In the current study, CA and DCA improved the storage life of zucchini at 8 °C, but no significant improvement was found at 5 °C. This is in contrast to the results of Mencerelli [19], who found that a carbon dioxide concentration of 5 kPa was useful for zucchini storage at 5 °C. This reaction may have been caused by specific characteristics of the Romanesco cv., which also responded to reduced CO2 concentrations by lowering its respiration rate. Wang and Ji [20] found that a low oxygen atmosphere (1.0 kPa) increases the level of polyamines in the skin of ‘Ambassador’ zucchini, which reduces the extent of surface pitting during exposure to low temperatures (2.5 °C). In the present study, minimal CI occurred even after zucchini was stored for 20 d at 8 °C, but the severity was much lower than at 5 °C. Also, Palma et al. [2] and Zuo et al. [14] found that refrigeration damage occurred when the fruit was stored at temperatures lower than 7–10 °C. Whereas Gualanduzzi et al. [12] reported that the pits on the fruit skin were visible after 20 d at 10 °C. According to Carvajal et al. [11] and Palma et al. [2], each variety can vary in its cold sensitivity depending on its biochemical and morphological characteristics. However, Balandran-Quintena et al. [32] showed that 12 °C does not cause cold damage in zucchini. When the zucchini was moved to 15 °C after 20 d of refrigerated storage, the chilling-damaged tissue quickly rotted, reducing symptoms, such as pitting on the skin. It follows that rotting is also an indicator of the susceptibility of zucchini to CI. Carvajal et al. [11] found that even at 4 °C, the index of chilling damage, when based on pitting intensity, decreased with increasing storage period in some varieties. The results of rotting were not given, but it can be assumed that they developed, and therefore, the pits became less visible.
There were no statistically significant differences when storing zucchini under CA and DCA, but there was a slight tendency for zucchini to retain better quality after storage under DCA at 0.5 kPa CO2. Zucchini under this treatment showed the lowest respiration intensity immediately after cold storage. This confirms previous reports by Prange et al. [23] and Zanella et al. [24] that DCA reduces vital processes, including respiratory intensity, during storage to a greater degree than CA. In general, the use of CA and DCA has made it possible to significantly extend the storage period of zucchini (20 d at 8 °C + 8 d at 15 °C), since according to Jacobi et al. [33], it can be stored for only 1–2 weeks at 7–10 °C. Zucchini, as a non-climacteric vegetable, showed stable oxygen demand during 20 d of refrigerated storage. After the first LOL indication and setting the oxygen level above the threshold by 0.3 kPa, FC sensors did not indicate any more stress in zucchini metabolism until the end of the storage period. In non-climacteric vegetables and fruit, HarvestWatch technology is most needed to determine the threshold for anaerobic respiration, which according to Thewes et al. [29], can vary even within the same species. However, operating at very low O2 levels, chlorophyll chromatography status control should be maintained throughout the storage period.
Weight loss was very low in the current study compared with data from the literature. After 20 d at 5 or 8 °C, weight loss was much lower than that after 7 d at 4 or 20 °C in the study by Palma et al. [2] and after 14 d at 4 or 12 °C in the study by Carvajal et al. [11]. Similar weight losses were obtained by Megias et al. [34] but after short-term storage of fruit wrapped in shrink film. Control fruit was protected with PE film, which maintained a higher air humidity, contributing to lower weight losses than under NA storage.
This study showed a trend toward higher reducing soluble carbohydrate (fructose and glucose) contents in CA- and DCA-treated samples than in NA-treated samples. Zucchini under CA and DCA showed greater resistance to cold damage than those under NA, which is consistent with the results of Palma et al. [2], who found that reducing sugars may be involved in the adaptation of zucchini fruit to cold storage. Acting as osmoprotectants, they help stabilize proteins and cell membranes, protecting them from damage caused by stressful conditions. Lower glucose and fructose levels and greater CI in NA zucchini than in CA and DCA may also be related to higher respiration rates and the use of these carbohydrates for respiration, rather than for increasing cold tolerance. The glucose and fructose contents after 20 d at 8 °C under CA and DCA were only slightly lower than those in organic fruit immediately after harvest in the study by Kopczynska et al. [35].
At 8 °C, zucchini retained a higher TPC than at 5 °C. This may have been influenced by the higher respiration rate of zucchini stored at 5 °C. Higher sugar consumption during more intense respiration reduces oxidative stability, leading to degradation and loss of polyphenols, while low respiration helps to maintain polyphenol content at a higher level., The TPC level in current study was high, exceeding the content of 264–324 mg kg−1 FM reported by Ninfali et al. [36] and 380 mg kg−1 reported by Cieslik et al. [37]. In contrast, it was similar to the results obtained by Kopczynska et al. [35] for organic zucchini immediately after harvest. Plant material collected for the study was at an early maturity stage. According to Seleim et al. [38], the younger the fruit, the more phenols they contain, but this content decreases with ripening. In general, an earlier harvest date results in higher nutritional and taste values for zucchini fruit.
Cold storage of zucchini at 8 °C under CA and DCA conditions allowed it to retain a higher market value for a longer period of time under commercial conditions. The risk of product losses due to CI and rotting was reduced. For producers and traders, this should translate into a better market position and greater profitability. However, it should be remembered that the implementation of CA and DCA systems involves technological investments in specialized equipment and new technologies.
The current studies examined the reactions of zucchini to storage in CA and DCA conditions only on one cultivar, Lanka F1. Therefore it would be advisable to test other cultivars in future studies. The impact of CA and DCA on the sensory properties of zucchini, especially its taste and smell, also needs to be determined. Other new solutions, including CA and DCA with other combinations of O2 and CO2, should also be tested in future studies.

5. Conclusions

CA and DCA have a beneficial effect on the storage life of zucchini, but temperature regimes must be maintained during cold storage. Of the two temperatures tested, 5 and 8 °C, the better response of zucchini to reduced O2 levels and increased CO2 levels was found at 8 °C. The application of CA and DCA at 8 °C reduced cold damage, which became evident during the subsequent storage period at 15 °C, as rotting was reduced, thus maintaining a higher marketable value. CA and DCA also contributed to maintaining higher levels of the tested chemical compounds (glucose, fructose, polyphenols) than NA and the control conditions. It is worth noting that treatment with DCA at 0.5 kPa CO2 for 20 d of cold storage resulted in a good to excellent marketable value after another 4 d at 15 °C. Zucchini under these conditions showed the lowest respiration intensity immediately after cold storage.
Both CA and DCA are chemical-free technologies that will allow an extended time for the commodity to be managed when the harvest is abundant and there are many deliveries to the market. Storing zucchini at 8 °C is more beneficial to the environment than storing it at 5 °C, because zucchini is harvested from open fields in the summer. During this time, cooling the chamber and maintaining a temperature of 8 °C uses less energy than maintaining a temperature of 5 °C.
The use of Ca or DCA at a temperature of 8 °C for storing zucchini should help to reduce losses and improve economic results for both producers of this vegetable and traders. This is in line with the United Nations’ “Responsible Consumption and Production” goal, which aims to reduce resource use, improve prosperity and support a sustainable global economy.

Author Contributions

Conceptualization, M.G.; investigation, M.G. and J.S.-G.; methodology, M.G. and J.S.-G.; writing—original draft M.G.; resources M.G.; writing—review and editing M.G. All authors have read and agreed to the published version of the manuscript.

Funding

The research was carried out in the frame of subsidy of the Ministry of Agriculture and Rural Development special-purpose—Task 5.1: Develop strategies to control agrophages in the country and support efforts to attract new markets for domestic crop products.

Institutional Review Board Statement

Not applicable.

Informed Consent Statement

Not applicable.

Data Availability Statement

The data presented in this study are available on request from corresponding author.

Conflicts of Interest

The authors declare no conflicts of interest.

Abbreviations

The following abbreviations are used in this manuscript:
CAcontrolled atmosphere
DCAdynamic controlled atmosphere
NAnormal atmosphere
CFchlorophyll fruorescence
CIchilling injury
dday
hhour
LOLlow oxygen limit
SDstandard deviation
TSStotal soluble solids
FWfresh weight
TPCtotal polyphenols content

References

  1. Gajewski, M. Sensory and physical changes during storage of zucchini squash (Cucurbita Pep var. Giromontina ALEF.). Acta Hortic. 2003, 604, 613–617. [Google Scholar] [CrossRef]
  2. Palma, F.; Carvajal, F.; Lluch, C.; Jamilena, M.; Garrido, D. Changes in carbohydrate content in zucchini fruit (Cucurbita pepo L.) under low temperature stress. Plant Sci. 2014, 217–218, 78–86. [Google Scholar] [CrossRef]
  3. Carvajal, F.; Palma, F.; Jamilena, M.; Garrido, D. Cell wall metabolism and chilling injury during postharvest cold storage in zucchini fruit. Postharvest Biol. Technol. 2015, 108, 68–77. [Google Scholar] [CrossRef]
  4. Watkins, C.B. Postharvest physiological disorders of fresh crops. In Encyclopedia of Applied Plant Sciences; Academic Press: Cambridge, MA, USA, 2016; pp. 315–322. [Google Scholar] [CrossRef]
  5. Bokhary, S.U.F.; Wang, L.; Zheng, Y.; Jin, P. Pre-storage hot water treatment enhances chilling tolerance of zucchini (Cucurbita pepo L.) squash by reducing arginine metabolism. Postharvest Biol. Technol. 2020, 166, 111229. [Google Scholar] [CrossRef]
  6. Cantwell, M.; Suslow, T. Squash (soft rind). In Recommendations for Maintaining Postharvest Quality; UC: Davis, CA, USA, 1984. [Google Scholar]
  7. Megias, Z.; Martinez, C.; Manzano, S.; Garcia, A.; del Mar Rebolloso-Feuntes, M.; Garrido, D.; Valenzuela, J.L.; Jamilena, M. Individual shrink wrapping of zucchini fruit improves postharvest chilling tolerance associated with a reduction in ethylene production and oxidative stress metabolites. PLoS ONE 2015, 10, e133058. [Google Scholar] [CrossRef]
  8. Megias, Z.; Gonzalez-Rodriguez, L.J.; Aguado, E.; Garcia, A.; Manzano, S.; Rebolloso, M.M.; Valenzuela, J.L.; Jamilena, M. Effect of cold storage on chilling injury in two zucchini cultivars. Acta Hortic. 2018, 1194, 479–486. [Google Scholar] [CrossRef]
  9. Balandran-Quintana, R.R.; Mendoza-Wilson, A.M.; Alvarez-Manilla, G.; Bergmann, C.W.; Vargas-Arispuro, I.; Martonez-Tellez, M.A. Effect of pectin oligomers on physiological responses of chilling injury in discs excised from zucchini (Cucurbita pepo L.) Biochem. Biophys. Res. Commun. 2002, 290, 577–584. [Google Scholar] [CrossRef]
  10. Martinez-Tellez, M.A.; Ramos-Clamont, M.G.; Gardea, A.A.; Vargas-Arispuro, I. Effect of infiltrated polyamines on polygalacturonase activity and chilling injury responses in zucchini squash (Cucurbita pepo L.). Biochem. Biophys. Res. Commun. 2002, 295, 98–101. [Google Scholar] [CrossRef] [PubMed]
  11. Carvajal, F.; Martinez, C.; Jamilena, M.; Garrido, D. Differential response of zucchini to low storage temperature. Sci. Hortic. 2011, 130, 90–95. [Google Scholar] [CrossRef]
  12. Gualanduzzi, S.; Baraldi, E.; Braschi, I.; Carnevali, F.; Gessa, C.E.; De Santis, A. Respiration, hydrogen peroxide levels and antioxidant enzyme activities during cold storage of zucchini squash fruit. Postharvest Biol. Technol. 2009, 52, 16–23. [Google Scholar] [CrossRef]
  13. Zhao, H.; Jiao, W.; Cui, K.; Fan, X.; Shu, C.; Zhang, W.; Cao, J.; Jiang, W. Near-freezing temperature storage enhances chilling tolerance in nectarine fruit through its regulation of soluble sugars and energy metabolism. Food Chem. 2019, 289, 426–435. [Google Scholar] [CrossRef]
  14. Zuo, X.; Cao, S.; Zhang, M.; Cheng, Z.; Cao, T.; Jin, P.; Zheng, Y. High relative humidity (HRH) storage alleviates chilling injury of zucchini fruit by promoting the accumulation of proline and ABA. Postharvest Biol. Technol. 2021, 17, 111344. [Google Scholar] [CrossRef]
  15. Zuo, X.; Cao, S.; Ji, N.; Li, Y.; Zhang, J.L.; Jin, P.; Zheng, Y. High relative humidity enhances chilling injury tolerance of zucchini fruit by regulating sugar and ethanol metabolisms during cold storage. Postharvest Biol. Technol. 2022, 189, 111932. [Google Scholar] [CrossRef]
  16. Castro-Cegri, A.; Garcia-Perez, P.; Jamilena, M.; Garrido, D.; Palma, F.; Lucini, L. Exogenous abscisic acid mitigates chilling injury in zucchini during cold storage by eliciting a time-dependent shaping of specialized metabolites. Postharvest Biol. Technol. 2024, 212, 112864. [Google Scholar] [CrossRef]
  17. Ali, S.; Nawaz, A.; Naz, S.; Ali, M.; Ejaz, S.; Azam, M.; Razzaq, K. Exogenous melatonin mitigates chilling injury in zucchini fruit by enhancing antioxidant system activity, promoting endogenous proline and GABA accumulation, and preserving cell wall stability. Postharvest Biol. Technol. 2023, 204, 112445. [Google Scholar] [CrossRef]
  18. Mencarelli, F.; Lipton, W.J.; Peterson, S.J. Responses of ‘Zucchini’ squash to storage in low-O2 atmospheres at chilling and nonchilling temperatures. J. Am. Hort. Sci. 1983, 108, 884–890. [Google Scholar] [CrossRef]
  19. Mencarelli, F. Effect of high CO2 atmospheres on stored Zucchini squash. J. Am. Hort. Sci. 1987, 112, 985–988. [Google Scholar] [CrossRef]
  20. Wang, C.Y.; Ji, Z.L. Effect of low-oxygen storage on chilling injury and polyamines in Zucchini squash. Sci. Hortic. 1989, 39, 1–7. [Google Scholar] [CrossRef]
  21. Manjunantha, M.; Anurag, R.K. Effect of modified atmosphere packaging and storage conditions on quality characteristics of cucumber. J. Food Sci. Technol. 2012, 51, 3470–3475. [Google Scholar] [CrossRef]
  22. Wang, C.Y.; Qi, L. Controlled atmosphere storage affects quality and chilling susceptibility of cucumbers. J. Food Qual. 1997, 20, 559–566. [Google Scholar] [CrossRef]
  23. Prange, R.K.; DeLong, J.M.; Harrison, P.A. Quality management through respiration control: Is there a relationship between lowest acceptable respiration chlorophyll fluorescence and cytoplasmic acidosis? Acta Hortic. 2005, 682, 823–830. [Google Scholar] [CrossRef]
  24. Zanella, A.; Cazzanelli, P.; Rossi, O. Dynamic controlled atmosphere (DCA) storage by the means of chlorophyll fluorescence response for firmness retention in apple. Acta Hortic. 2008, 796, 77–82. [Google Scholar] [CrossRef]
  25. Prange, R.K.; DeLong, J.M.; Leyte, J.C.; Harrison, P.A. Oxygen concentration affects chlorophyll fluorescence in chlorophyll-containing fruit. Postharvest Biol. Technol. 2003, 24, 201–205. [Google Scholar] [CrossRef]
  26. Prange, R.K.; DeLong, J.M.; Harrison, P.A.; Leyte, J.C.; McLean, S.D. Oxygen concentration affects chlorophyll fluorescence in chlorophyll-containing fruit and vegetables. J. Am. Soc. Hort. Sci. 2003, 128, 603–607. [Google Scholar] [CrossRef]
  27. Neuwald, D.A.; Thewes, F.R.; Wirth, R.; Buchele, F.; Klein, N.; Brackmann, A. Dynamic controlled atmosphere (DCA) a chance for sustainable fruit storage. Acta Hortic. 2024, 1386, 95–100. [Google Scholar] [CrossRef]
  28. Watkins, C.B. Dynamic controlled atmosphere storage—A new technology for the New York Storage Industry? N. Y. Fruit Q. 2008, 16, 23–25. [Google Scholar]
  29. Thewes, F.R.; Wood, R.M.; Both, V.; Keshri, N.; Geyere, M.; Pansera-Espindola, B.; Hagemann, M.H.; Brackmann, A.; Wunche, J.N.; Neuwald, D.A. Dynamic controlled atmosphere; A review of methods for monitoring fruit responses for low oxygen. Comun. Sci. 2021, 12, e3782. [Google Scholar] [CrossRef]
  30. Mditshwa, A.; Fawole, O.A.; Opara, U.L. Recent developments on dynamic controlled atmosphere storage of apples-A review. Food Packag. Shelf Life. 2018, 16, 59–68. [Google Scholar] [CrossRef]
  31. Van der Sluis, A.A.; Dekker, M.; Skrede, G.; Jongen, W. Activity and concentration of polyphenolic antioxidants in apple juice. 1. Effect of existing production methods. J. Agric. Food Chem. 2002, 50, 7211–7219. [Google Scholar] [CrossRef]
  32. Balandrán-Quintana, R.R.; Mendoza-Wilson, A.M.; Gardea-Bejar, A.A.; Vargas-Arispuro, I.; Martínez-Téllez, M.A. Irreversibility of chilling injury in zucchini squash (Cucurbita pepo L.) could be a programmed event long before the visible symptoms are evident. Biochem. Biophys. Res. Commun. 2003, 307, 553–557. [Google Scholar] [CrossRef]
  33. Jacobi, K.K.; Wong, L.S.; Giles, J.E. Postharvest quality of zucchini (Cucurbita pepo L.) following high humidity hot air disinfestation treatments and cool storage. Postharvest Biol. Technol. 1996, 7, 309–316. [Google Scholar] [CrossRef]
  34. Megias, Z.; Barrera, A.; Manzano, S.; Martinez, C.; Garrido, D.; Valenzuela, J.L.; Jamilena, M. Physical and chemical treatments enhancing postharvest fruit quality in zucchini. Acta Hortic. 2015, 1091, 141–146. [Google Scholar] [CrossRef]
  35. Kopczyńska, K.; Średnicka-Tober, D.; Hallmann, E.; Wilczak, J.; Wasiak-Zys, G.; Wyszynski, Z.; Kucinska, K.; Perzanowska, A.; Szacki, P.; Baranski, M.; et al. Bioactive compounds, sugar, and sensory attributes of organic and conventionally produced courgetti (Cucurbita pepo). Foods 2021, 10, 2475. [Google Scholar] [CrossRef] [PubMed]
  36. Ninfali, P.; Mea, G.; Giorgini, S.; Rocchi, M.; Bacchiocca, M. Antioxidant capacity of vegetables, spices and dressings relevant to nutrition. Br. J. Nutr. 2005, 93, 257–266. [Google Scholar] [CrossRef]
  37. Cieślik, E.; Greda, A.; Adamus, W. Contents of polyphenols in fruit and vegetables. Food Chem. 2006, 94, 135–142. [Google Scholar] [CrossRef]
  38. Seleim, M.A.A.; Hassa, M.A.M.; Saleh, A.S.M. Changes in nutritional quality of zucchini (Cucurbita pepo L.) vegetables during the maturity. J. Food Dairy Sci. 2015, 6, 613–624. [Google Scholar] [CrossRef]
Figure 1. Effect of temperature and storage method on zucchini quality during subsequent storage at 15 °C. Tag 1 next to bold capital letters indicates averages for treatments with normal O2 concentration (Control + NA), tag 2 indicates averages for treatments with reduced O2 concentration ((CA + DCA (0.5 kPa CO2) + DCA (2.0 kPa CO2)). Quality parameters: A–fruit rot, B–stem rot, C–marketable value. Each value represents the average of 2 experiments. LSD indicates significant differences according to p ˂ 0.05 (Tukey test).
Figure 1. Effect of temperature and storage method on zucchini quality during subsequent storage at 15 °C. Tag 1 next to bold capital letters indicates averages for treatments with normal O2 concentration (Control + NA), tag 2 indicates averages for treatments with reduced O2 concentration ((CA + DCA (0.5 kPa CO2) + DCA (2.0 kPa CO2)). Quality parameters: A–fruit rot, B–stem rot, C–marketable value. Each value represents the average of 2 experiments. LSD indicates significant differences according to p ˂ 0.05 (Tukey test).
Sustainability 17 08781 g001
Figure 2. Effect of storage method applied during 20 d of cold storage at 8 °C on zucchini fruit quality after 8–d shelf life at 15 °C. (A) NA (0 kPa CO2 + 21 kPa O2; (B) DCA (0.5 kPa CO2).
Figure 2. Effect of storage method applied during 20 d of cold storage at 8 °C on zucchini fruit quality after 8–d shelf life at 15 °C. (A) NA (0 kPa CO2 + 21 kPa O2; (B) DCA (0.5 kPa CO2).
Sustainability 17 08781 g002
Figure 3. Content of selected chemical substances in zucchini fruit after 20 days of cold storage: (A)–TSS; (B)–glucose, (C)–fructose; (D)–polyphenols. Bars represent the averages of two experiments, and vertical lines represent the standard error (SE). Different lowercase letters above the bars indicate significant differences between the experimental objects, and different uppercase under the horizontal lines indicate significant differences between the averages for temperatures (5 °C, 8 °C). The results were compared using the Tukey test at p < 0.05.
Figure 3. Content of selected chemical substances in zucchini fruit after 20 days of cold storage: (A)–TSS; (B)–glucose, (C)–fructose; (D)–polyphenols. Bars represent the averages of two experiments, and vertical lines represent the standard error (SE). Different lowercase letters above the bars indicate significant differences between the experimental objects, and different uppercase under the horizontal lines indicate significant differences between the averages for temperatures (5 °C, 8 °C). The results were compared using the Tukey test at p < 0.05.
Sustainability 17 08781 g003
Table 1. Weight loss of zucchini (in %), during stored at 15 °C after 20 d of cold storage.
Table 1. Weight loss of zucchini (in %), during stored at 15 °C after 20 d of cold storage.
Cold Storage TemperatureStorage MethodStorage Time at 15 °C (d)
048 *
8 °CControl 1.7 ± 0.9 ab2.4 ± 1.1 c3.3 ± 2.1 ab
CA 5.0 kPa CO2 + 2.0 kPa O2 1.2 ± 0.4 a1.7 ± 0.7 a2.3 ± 0.8 a
DCA 0.5 kPa CO2 1.2 ± 0.4 a1.6 ± 0.5 a2.4 ± 1.5 a
DCA 2.0 kPa CO21.4 ± 0.6 ab1.8 ± 0.6 ab2.6 ± 0.9 ab
NA 0.0 kPa CO2 + 21.0 kPa O24.2 ± 1.3 d5.1 ± 1.5 e6.0 ± 1.8 d
Mean2.0 ± 1.3 B2.5 ± 1.6 A3.3 ± 1.7 A
5 °CControl 1.8 ± 1.1 b2.4 ± 1.3 bc3.5 ± 2.3 bc
CA 5.0 kPa CO2 + 2.0 kPa O2 1.3 ± 0.3 a1.8 ±0.4 abc2.7 ± 0.6 ab
DCA 0.5 kPa CO21.4 ± 0.4 ab1.9 ± 0.6 abc2.9 ± 0.8 ab
DCA 2.0 kPa CO21.3 ± 0.4 a1.8 ±0.5 abc2.6 ± 0.7 ab
NA 0.0 kPa CO2 + 21.0 kPa O22.7 ± 1.1 c3.3 ± 1.4 d4.5 ± 1.5 c
Mean1.7 ± 0.9 A2.3 ± 1.1 A3.2 ± 1.4 A
Averages expressed in % relative to initial weight. The results after 0 and 4 days of storage at 15 °C are the averages of two experiments and values are means from 40 samples ± standard deviation (SD), while after 8 days (*) they are the averages of the second experiment and values are means from 20 samples ± SD. Values in individual columns indicated by the same lowercase or by the same uppercase are not significantly different from each other at p < 0.05 (Tukey test).
Table 2. Chilling injury on zucchini fruit, visible as pitting in the skin, after 20 d of cold storage.
Table 2. Chilling injury on zucchini fruit, visible as pitting in the skin, after 20 d of cold storage.
Cold Storage TemperatureStorage MethodChilling Injury
8 °CControl 1.1 ± 0.6 ab
CA 5.0 kPa CO2 + 2.0 kPa O2 1.0 ± 0.0 a
DCA 0.5 kPa CO2 1.0 ± 0.0 a
DCA 2.0 kPa CO2 1.1± 0.3 ab
NA 0.0 kPa CO2 + 21.0 kPa O21.1 ± 0.7 ab
Mean1.0 ± 0.5 A
5 °CControl 1.1 ± 0.4 ab
CA 5.0 kPa CO2 + 2.0 kPa O2 1.3 ± 0.8 ab
DCA 0.5 kPa CO2 1.4 ± 0.9 ab
DCA 2.0 kPa CO2 1.2 ± 0.5 ab
NA 0.0 kPa CO2 + 21.0 kPa O21.5 ± 1.0 b
Mean 1.3 ± 0.8 B
Results—averages of two experiments, and values are means from 40 samples ± standard deviation (SD), expressed on a scale of 1—9: 1–no damage; 9–maximum damage. Values marked with the same lowercase or the same uppercase are not significantly different from each other at p < 0.05 (Tukey test).
Table 3. Rotting of zucchini fruit during shelf life at 15 °C after 20 days of cold storage.
Table 3. Rotting of zucchini fruit during shelf life at 15 °C after 20 days of cold storage.
Cold Storage TemperatureStorage MethodStorage Time at 15 °C (d)
048
8 °CControl 2.3 ± 1.3 c3.9 ± 2.0 d6.5 ± 2.3 d
CA 5.0 kPa CO2 + 2.0 kPa O2 1.1 ± 0.4 a1.5 ± 1.0 a2.1 ± 1.3 a
DCA 0.5 kPa CO2 1.1 ± 0.4 a1.3 ± 1.1 a1.8 ± 1.5 a
DCA 2.0 kPa CO2 1.2 ± 0.8 ab1.7 ± 1.3 a2.0 ± 1.5 a
NA 0.0 kPa CO2 + 21.0 kPa O21.8 ±1.2 bc3.0 ± 1.8 cd4.5 ± 2.4 c
Mean1.5 ± 1.0 B2.3 ± 1.8 A3.4 ± 2.6 A
5 °CControl 1.3 ± 0.8 ab2.9 ± 1.7 bcd4.9 ± 2.1 c
CA 5.0 kPa CO2 + 2.0 kPa O2 1.1 ± 0.3 a2.2 ± 1.1 abc3.9 ± 1.6 bc
DCA 0.5 kPa CO2 1.1 ± 0.4 a1.9 ± 1.1 ab3.9 ± 1.5 bc
DCA 2.0 kPa CO2 1.0 ± 0.0 a1.7 ± 1.0 a3.1 ± 1.6 ab
NA 0.0 kPa CO2 + 21.0 kPa O21.3 ± 0.7 ab3.2 ± 1.6 bc4.5 ± 1.9 c
Mean1.2 ± 0.5 A2.3 ± 1.5 A4.0 ±1.8 B
Results—averages of two experiments, and values are means from 40 samples ± standard deviation (SD), expressed on a scale of 1–9: 1–no rot; 9–maximum rot. Values in individual columns marked with the same lowercase or the same uppercase are not significantly different from each other at p < 0.05 (Tukey test).
Table 4. Stalk rot of zucchini fruit during storage at 15 °C after 20 d of cold storage.
Table 4. Stalk rot of zucchini fruit during storage at 15 °C after 20 d of cold storage.
Cold Storage TemperatureStorage MethodStorage Time at 15 °C (d)
048
8 °CControl 1.2 ± 0.5 a4.7 ± 3.3 e7.2 ± 3.1 bc
CA 5.0 kPa CO2 + 2.0 kPa O2 1.1 ± 0.3 a1.6 ± 1.2 ab 3.1 ± 2.4 a
DC 0.5 kPa CO2 1.0± 0.0 a1.4 ± 1.2 a2.2 ± 2.4 a
DCA 2.0 kPa CO2 1.0 ± 0.0 a1.5 ± 1.4 a2.1 ± 2.2 a
NA 0.0 kPa CO2 + 21.0 kPa O21.2 ± 0.8 a4.1 ± 3.0 de 7.0 ± 3.0 bc
Mean1.1 ± 0.4 B2.6 ± 2.6 A4.3 ± 2.6 A
5 °CControl 1.0 ± 0.0 a3.6 ± 1.9 cde8.5 ± 0.8 c
CA 5.0 kPa CO2 + 2.0 kPa O2 1.0 ± 0.0 a1.9 ± 1.6 ab7.9 ± 1.7 c
DCA 0.5 kPa CO2 1.0 ± 0.0 a2.6 ± 1.9 abc7.6 ± 2.0 bc
DCA 2.0 kPa CO2 1.0 ± 0.0 a1.4 ± 0.9 a6.1 ± 2.3 b
NA 0.0 kPa CO2 + 21.0 kPa O21.0 ± 0.0 a2.9 ± 1.4 bcd8.2 ± 1.2 c
Mean1.0 ± 0.0 A2.5 ± 1.8 A7.7 ± 1.9 B
Results—averages of two experiments, and values are means from 40 samples ± standard deviation (SD, expressed on a scale of 1–9: 1–no rot; 9–maximum rot. Values in individual columns indicated by the same lowercase or the same uppercase are not significantly different from each other at p < 0.05 (Tukey test).
Table 5. Marketable value of zucchini fruit during storage at 15 °C after 20 d of cold storage.
Table 5. Marketable value of zucchini fruit during storage at 15 °C after 20 d of cold storage.
Cold Storage TemperatureCold Storage MethodStorage Time at 15 °C (d)
048
8 °CControl 6.5 ± 2.4 a3.8 ± 2.7 a2.0 ± 1.7 a
CA 5.0 kPa CO2 + 2.0 kPa O2 8.8 ± 0.9 c7.7 ± 2.1 c5.7 ± 2.4 c
DCA 0.5 kPa CO2 8.7 ± 1.2 c8.3 ± 1.8 c6.5 ± 2.2 c
DCA 2.0 kPa CO2 8.4 ± 1.6 bc7.6 ± 2.4 bc6.2 ± 2.4 c
NA 0.0 kPa CO2 + 21.0 kPa O27.5 ± 2.4 ab5.2 ± 2.4 a–d2.9 ± 1.6 ab
Mean8.0 ± 2.0 A6.5 ± 2.9 B4.7 ± 2.8 B
5 °CControl 8.4 ± 1.5 bc4.6 ± 1.9 ab2.4 ± 1.4 a
CA 5.0 kPa CO2 + 2.0 kPa O2 8.5 ± 1.3 bc5.6 ± 1.9 bcd2.8 ± 1.2 ab
DCA 0.5 kPa CO2 8.6 ± 0.9 c5.9 ± 1.8 cd2.8 ± 1.1 ab
DCA 2.0 kPa CO2 8.8 ± 0.8 bc6.7 ± 2.2 de3.9 ± 1.7 b
NA 0.0 kPa CO2 + 21.0 kPa O27.9 ± 1.7 bc4.7 ± 2.2 abc2.7 ± 1.4 ab
Mean8.4 ± 1.3 B5.5 ± 2.2 A2.9 ± 1.5 A
Results—averages of two experiments, and values are means from 40 samples ± standard deviation (SD), expressed on a scale of 9–1: 9–excellent (as immediately after harvest), 7–good, 5–sufficient (lower limit of marketability), 3–poor (lower limit of marketability), 1–bad. Values in individual columns indicated by the same lowercase or the same uppercase are not significantly different from each other at p < 0.05 (Tukey test).
Table 6. Respiration intensity of zucchini during storage at 15 °C after 20 days of cold storage.
Table 6. Respiration intensity of zucchini during storage at 15 °C after 20 days of cold storage.
Cold Storage Temperature
[°C]
Cold Storage MethodStorage Time at 15 °C (d)
014
8 °CControl 16.9 ± 2.5 bc44.6± 17.6 abc46.9 ± 15.6 ab
CA 5.0 kPa CO2 + 2.0 kPa O2 16.3 ± 6.7 bc23.2 ± 14.7 ab32.9 ± 4.0 a
DCA 0.5 kPa CO2 5.8 ± 4.7 a22.5 ± 8.1 ab32.1 ± 8.2 a
DCA 2.0 kPa CO2 11.3 ± 3.0 ab19.6 ± 6.4 a31.4 ± 4.9 a
NA 0.0 kPa CO2 + 21.0 kPa O214.5 ± 5.2 ab49.5 ± 23.1 bc36.2± 10.5 ab
Mean13.0 ± 6.0 A31.9 ± 19.1 A35.9 ± 10.6 A
5 °CControl20.0 ± 3.1 bc57.2 ± 7.8 c59.7 ±24.6 b
CA 5.0 kPa CO2 + 2.0 kPa O2 25.0 ± 8.1 c62.1 ± 20.9 c49.0 ± 7.2 ab
DCA 0.5 kPa CO2 11.6 ± 2.4 ab47.0 ± 7.1 abc44.2 ± 13 ab
DCA 2.0 kPa CO2 20.4 ± 4.3 bc51.6 ± 20.4 bc55.9 ± 15.1 ab
NA 0.0 kPa CO2 + 21.0 kPa O217.6 ± 4.2 bc55.6 ± 13.9 c48.4 ± 13.1 ab
Mean18.9 ± 6.3 B54.7 ± 15 B51.4 ± 15.6 B
Results—averages of two experiments, and values are means from 6 samples ± standard deviation (SD), expressed in mL kg−1 h−1 (amount of CO2 released by 1 kg of fruit in 1 h). Values in individual columns indicated by the same lowercase or the same uppercase are not significantly different from each other at p < 0.05 (Tukey test).
Table 7. Color parameters of zucchini after 20 days of cold storage.
Table 7. Color parameters of zucchini after 20 days of cold storage.
Cold Storage TemperatureCold Storage MethodLCh
8 °CControl 33.3 ± 1.8 c18.6 ± 2.6 c115.9 ± 2.2 a
CA 5.0 kPa CO2 + 2.0 kPa O2 30.4 ± 3.0 ab13.5 ± 3.9 a118.9 ± 2.5 bc
DCA 0.5 kPa CO2 32.4 ± 2.8 abc14.5 ± 3.9 ab120.0 ± 2.8 c
DCA 2.0 kPa CO2 31.1 ± 2.5 abc14.4 ± 3.7 ab119.9 ± 2.3 bc
NA 0.0 kPa CO2 + 21.0 kPa O232.4 ± 3.1 abc13.3 ± 3.8 abc116.9 ± 2.1 ab
Mean31.9 ± 2.8 A16.1 ± 4.0 A118.1 ± 2.8 B
5 °CControl 33.1 ± 3.4 bc17.5 ± 4.8 bc116.5 ± 4.1 ab
CA 5.0 kPa CO2 + 2.0 kPa O2 29.9 ± 2.6 a14.0 ± 3.1 ab118.8 ± 2.0 bc
DCA 0.5 kPa CO2 32.3 ± 3.1 abc16.8 ± 4.0 abc116.1 ± 1.9 a
DCA 2.0 kPa CO2 31.8 ± 2.9 abc15.9 ± 3.9 abc117.3 ± 2.4 ab
NA 0.0 kPa CO2 + 21.0 kPa O232.2 ± 2.0 abc16.31 ± 2.3 abc117.3 ± 1.8 ab
Mean31.9 ± 3.0. A15.5 ± 3.8 A117.2 ± 2.7 A
Results—averages of two experiments, and values are means from 20 samples ± standard deviation (SD). Values in individual columns marked with the same lowercase or the same uppercase are not significantly different from each other at p < 0.05 (Tukey test).
Table 8. Effect of cold storage temperature on the selected chemicals content in 2 groups of zucchini fruit.
Table 8. Effect of cold storage temperature on the selected chemicals content in 2 groups of zucchini fruit.
Group of ObjectsChemicalsCold Storage Temperature
5 °C8 °C
Control + NATSS (%)3.6 ± 0.1 b3.4 ± 0.2 a
glucose (g kg−1)5.1 ± 0.6 a4.5 ± 0.8 a
fructose (g kg−1)10.3 ± 0.8 b8.3 ± 0.8 a
polyphenols (mg kg−1)410.1 ± 23.5 a421.4 ± 18.5 a
CA + DCA (0.5 kPa CO2) + DCA (2.0 kPa CO2)TSS (%)3.6 ± 0.2 a4.0 ± 0.2 b
glucose (g kg−1)6.2 ± 0.7 a8.0 ± 0.5 b
fructose (g kg−1)9.9 ± 0.8 a11.0 ± 0.8 b
polyphenols (mg kg−1)377.8 ± 39.4 a436.0 ± 45.2 b
Each value represents the average of 2 experiments. Values in individual lines marked with the same letters are not significantly different from each other at p < 0.05 (Tukey test).
Disclaimer/Publisher’s Note: The statements, opinions and data contained in all publications are solely those of the individual author(s) and contributor(s) and not of MDPI and/or the editor(s). MDPI and/or the editor(s) disclaim responsibility for any injury to people or property resulting from any ideas, methods, instructions or products referred to in the content.

Share and Cite

MDPI and ACS Style

Grzegorzewska, M.; Szwejda-Grzybowska, J. The Impact of Controlled and Dynamically Controlled Atmospheres on the Storage Ability and Sustainable Supply Chain of Zucchini Fruit. Sustainability 2025, 17, 8781. https://doi.org/10.3390/su17198781

AMA Style

Grzegorzewska M, Szwejda-Grzybowska J. The Impact of Controlled and Dynamically Controlled Atmospheres on the Storage Ability and Sustainable Supply Chain of Zucchini Fruit. Sustainability. 2025; 17(19):8781. https://doi.org/10.3390/su17198781

Chicago/Turabian Style

Grzegorzewska, Maria, and Justyna Szwejda-Grzybowska. 2025. "The Impact of Controlled and Dynamically Controlled Atmospheres on the Storage Ability and Sustainable Supply Chain of Zucchini Fruit" Sustainability 17, no. 19: 8781. https://doi.org/10.3390/su17198781

APA Style

Grzegorzewska, M., & Szwejda-Grzybowska, J. (2025). The Impact of Controlled and Dynamically Controlled Atmospheres on the Storage Ability and Sustainable Supply Chain of Zucchini Fruit. Sustainability, 17(19), 8781. https://doi.org/10.3390/su17198781

Note that from the first issue of 2016, this journal uses article numbers instead of page numbers. See further details here.

Article Metrics

Back to TopTop