Sign in to use this feature.

Years

Between: -

Subjects

remove_circle_outline
remove_circle_outline
remove_circle_outline
remove_circle_outline
remove_circle_outline
remove_circle_outline
remove_circle_outline
remove_circle_outline
remove_circle_outline

Journals

remove_circle_outline
remove_circle_outline
remove_circle_outline
remove_circle_outline
remove_circle_outline
remove_circle_outline
remove_circle_outline
remove_circle_outline
remove_circle_outline
remove_circle_outline
remove_circle_outline
remove_circle_outline
remove_circle_outline
remove_circle_outline
remove_circle_outline
remove_circle_outline
remove_circle_outline
remove_circle_outline
remove_circle_outline

Article Types

Countries / Regions

remove_circle_outline
remove_circle_outline
remove_circle_outline
remove_circle_outline
remove_circle_outline
remove_circle_outline
remove_circle_outline
remove_circle_outline

Search Results (3,456)

Search Parameters:
Keywords = controlled atmosphere

Order results
Result details
Results per page
Select all
Export citation of selected articles as:
16 pages, 2284 KB  
Communication
Embedding Rhetorical Competence in Medical Education: A Communication-Focused Course Innovation for Medical Students
by József L. Szentpéteri, Roland Hetényi, Dávid Fellenbeck, Kinga Dávid, Kata Kumli and Péter Szabó
Educ. Sci. 2026, 16(1), 111; https://doi.org/10.3390/educsci16010111 (registering DOI) - 13 Jan 2026
Abstract
Effective communication is essential for professional practice, yet medical curricula rarely incorporate systematic, performance-based training. The Sell Yourself!—Presentation Techniques course was developed to address this gap through a two-day, practice-oriented program integrating rhetorical training, evolutionary psychology, and structured peer feedback. We examined anonymized [...] Read more.
Effective communication is essential for professional practice, yet medical curricula rarely incorporate systematic, performance-based training. The Sell Yourself!—Presentation Techniques course was developed to address this gap through a two-day, practice-oriented program integrating rhetorical training, evolutionary psychology, and structured peer feedback. We examined anonymized institutional evaluations from 450 medical students using descriptive statistics and combined inductive–deductive thematic and content coding to gauge the perceived educational utility of the course. The course received a mean satisfaction rating of 9.6/10, with approximately 74% of students assigning the maximum score. Inductive analysis identified interactivity (143 mentions), practical usefulness (76), feedback and improvement (75), positive atmosphere (51), instructor quality (47), and multimedia examples (37) as key strengths, while critiques primarily concerned breaks and scheduling (62), course length and intensity (59), and smaller concerns regarding feedback processes, content structure, and technical issues. Deductive coding indicated perceived improvements across five predefined dimensions: increased confidence, rhetorical fluency, feedback quality, peer recognition, and cultural inclusivity. Structured rhetorical training appears to be well received by learners and may provide a feasible model for embedding communication competence in medical education. These findings also offer a transferable template for integrating performance-based communication training into other programs. However, conclusions are limited by reliance on self-reported perceptions and the absence of a control group or direct assessment of applied communication outcomes. Full article
Show Figures

Figure 1

24 pages, 4343 KB  
Article
Preparation of CO2-Adsorbing Fire-Extinguishing Gel and Study on Inhibition of Coal Spontaneous Combustion
by Jianguo Wang, Zhenzhen Zhang and Conghui Li
Gels 2026, 12(1), 68; https://doi.org/10.3390/gels12010068 (registering DOI) - 12 Jan 2026
Abstract
Spontaneous coal combustion accounts for more than 90% of mine fires, and at the same time, the ‘dual carbon’ strategy requires fire prevention and extinguishing materials to have both low-carbon and environmentally friendly functions. To meet on-site application needs, a composite gel with [...] Read more.
Spontaneous coal combustion accounts for more than 90% of mine fires, and at the same time, the ‘dual carbon’ strategy requires fire prevention and extinguishing materials to have both low-carbon and environmentally friendly functions. To meet on-site application needs, a composite gel with fast injection, flame retardant, and CO2 adsorption functions was developed. PVA-PEI-PAC materials were selected as the gel raw materials, and an orthogonal test with three factors and three levels was used to optimize the gelation time parameters to identify the optimal formulation. The microstructure of the gel, CO2 adsorption performance, as well as its inhibition rate of CO, a marker gas of coal spontaneous combustion, and its effect on activation energy were systematically characterized through SEM, isothermal/temperature-programmed/cyclic adsorption experiments, and temperature-programmed gas chromatography. The results show that the optimal gel formulation is 14% PVA, 7% PEI, and 5.5% PAC. The gel microstructure is continuous, dense, and rich in pores, with a CO2 adsorption capacity at 30 °C and atmospheric pressure of 0.86 cm3/g, maintaining over 76% efficiency after five cycles. Compared with raw coal, a 10% gel addition reduces CO release at 170 °C by 25.97%, and the temperature-programmed experiment shows an average CO inhibition rate of 25% throughout, with apparent activation energy increased by 14.96%. The gel prepared exhibited controllable gelation time, can deeply encapsulate coal, and can efficiently adsorb CO2, significantly raising the coal–oxygen reaction energy barrier, providing an integrated technical solution for mine fire prevention and extinguishing with both safety and carbon reduction functions. Full article
(This article belongs to the Special Issue Gels for Adsorption and Separation)
17 pages, 1489 KB  
Article
The Natural Attenuation of Bioavailable Sulfur Loads in Soil Around a Coal-Fired Power Plant 20 Years After Ceasing Pollution: The Case of Plomin, Croatia
by Neža Malenšek Andolšek, Sonja Lojen and Nina Zupančič
Sustainability 2026, 18(2), 747; https://doi.org/10.3390/su18020747 - 12 Jan 2026
Abstract
The coal-fired Plomin Thermal Power Plant (Plomin TPP) in Croatia is located in the center of the east coast of the Istrian peninsula (northern Adriatic) and is considered the main source of historical air pollution in the region. Between 1970 and 2000, sulfur-rich [...] Read more.
The coal-fired Plomin Thermal Power Plant (Plomin TPP) in Croatia is located in the center of the east coast of the Istrian peninsula (northern Adriatic) and is considered the main source of historical air pollution in the region. Between 1970 and 2000, sulfur-rich coal from the local Raša coal mine was primarily used. In this study, a screening of content and fate of TPP-derived sulfur in soil around the power plant was made two decades after the S-rich coal was banned from use. Soil samples were collected at varying distances from the TPP in the prevailing wind direction (NE), along with a control sample taken more than 10 km away. The samples were analyzed for total sulfur, sulfate, organic sulfur (humic and fulvic), and the stable isotope composition of total sulfur (δ34S). Additionally, coal and coal ash were analyzed for total sulfur, sulfate and δ34S. Soil sampling along the prevailing wind direction from the Plomin TPP revealed markedly elevated sulfur content, with levels at 100 m downwind reaching up to 4 wt.%, which is over 100 times higher than the 0.04 wt.% measured at the control site located upwind. Sulfur content decreases sharply with increasing distance from the TPP, reflecting the deposition gradient along the prevailing wind path. Speciation analysis showed that over 95% of the sulfur in the soil is now present in organic form, mainly bound to humic acids. The δ34SVCDT values of the bulk coal used in the TPP ranged from −10.0 to −5.0‰. In most soil samples, the bulk δ34S values were positive (+7.0 to +20.0‰). The values of sulfate in soil range from +1.0 to +5.5‰, while those in organic sulfur range from −3.5 to +6.0‰. This indicates that atmospheric deposition of 34S-depleted fly ash and sulfate from coal are the most important sulfur sources, while some of the sulfur in the soil is also of marine origin. Finally, we showed that natural attenuation was a significant and efficient process within the sustainable management of the site historically contaminated by anthropogenic atmospheric sulfur deposition. Full article
Show Figures

Figure 1

26 pages, 7320 KB  
Article
Atmospheric Drivers and Spatiotemporal Variability of Pan Evaporation Across China (2002–2018)
by Shuai Li and Xiang Li
Atmosphere 2026, 17(1), 73; https://doi.org/10.3390/atmos17010073 - 10 Jan 2026
Viewed by 28
Abstract
Pan evaporation (PE) is widely used as an indicator of atmospheric evaporative demand and is relevant to irrigation demand and climate-related hydrological changes. Using daily records from 759 meteorological stations across China during 2002–2018, this study investigated the temporal trends, spatial patterns, and [...] Read more.
Pan evaporation (PE) is widely used as an indicator of atmospheric evaporative demand and is relevant to irrigation demand and climate-related hydrological changes. Using daily records from 759 meteorological stations across China during 2002–2018, this study investigated the temporal trends, spatial patterns, and climatic controls of PE across seven major climate zones. Multiple decomposition techniques revealed a dominant annual cycle and a pronounced peak in 2018, while a decreasing interannual trend was observed nationwide. Spatial analyses showed a clear north–south contrast, with the strongest declines occurring in northern China. A random forest (RF) model was employed to quantify the contributions of climatic variables, achieving high predictive performance. RF results indicated that the dominant drivers of PE varied substantially across climate zones: sunshine duration (as a proxy for solar radiation) and air temperature mainly controlled PE in humid regions, while wind speed and relative humidity (RH) exerted stronger influences in arid and semi-arid regions. The widespread decline in northern China is consistent with concurrent changes in wind speed and sunshine duration, together with humidity conditions, which modulate evaporative demand at monthly scales. These findings highlight substantial spatial heterogeneity in PE responses to climate forcing and provide insights for drought assessment and water resource management in a warming climate. Full article
(This article belongs to the Section Climatology)
Show Figures

Figure 1

26 pages, 7617 KB  
Article
Combustion Behavior of Flexible Polyurethane Foam in Oxygen-Enriched Atmosphere and Its Implications in the Development of a Fire in an ICU for COVID Patients—Case Study
by Florin Manea, Emilian Ghicioi, Marius Cornel Suvar, Maria Prodan, Daniel Gheorghe Pupazan, Daniel Florea, Bogdan Adrian Simon-Marinica, Robert Laszlo, Gabriela Alexandra Ursut and Gheorghe Ilia
Fire 2026, 9(1), 33; https://doi.org/10.3390/fire9010033 - 9 Jan 2026
Viewed by 148
Abstract
On 2021, in the intensive care unit of a County Emergency Hospital where oxygen therapy treatment was applied to COVID patients, located in the municipality of Ploiesti, Prahova County, a fire occurred that resulted in the destruction by burning of the ICU room, [...] Read more.
On 2021, in the intensive care unit of a County Emergency Hospital where oxygen therapy treatment was applied to COVID patients, located in the municipality of Ploiesti, Prahova County, a fire occurred that resulted in the destruction by burning of the ICU room, the death of two people, and the injury of a medical professional. In order to elucidate the accelerating causes of the combustion phenomenon of materials in the ICU room, a combustion stand was designed whose atmosphere can be controlled in terms of achieving high oxygen concentrations of 40% vol., in accordance with the treatment schemes applied to the patients and with the configuration of the room and the frequency of use of the access door. In this experimental stand, a series of combustion tests of flexible polyurethane foam samples were performed, which highlighted the acceleration of combustion and the complete consumption of the mass. The purpose of this work is to explain the rapidity of the fire in a hospital ward, both with experimental methods and with the help of FDS. Full article
Show Figures

Figure 1

9 pages, 725 KB  
Proceeding Paper
Effect of UV-C Radiation and Modified Atmosphere Packaging on the Quality of Minimally Processed Grated Anco Squash (Curcubita moschata)
by Julio Federico Benites, Diego Ricardo Gutiérrez, Silvana Cecilia Ruiz and Silvia del Carmen Rodríguez
Biol. Life Sci. Forum 2026, 56(1), 2; https://doi.org/10.3390/blsf2026056002 - 8 Jan 2026
Abstract
This study evaluated the effects of different UV-C radiation doses combined with modified atmosphere packaging (MAP) on the conservation of minimally processed grated anco squash. The squash, obtained from producers in Santiago del Estero (Argentina), was washed, sanitized, cut, peeled, grated, and centrifuged. [...] Read more.
This study evaluated the effects of different UV-C radiation doses combined with modified atmosphere packaging (MAP) on the conservation of minimally processed grated anco squash. The squash, obtained from producers in Santiago del Estero (Argentina), was washed, sanitized, cut, peeled, grated, and centrifuged. It was then subjected to UV-C treatments of 5 kJ/m2 (T5), 15 kJ/m2 (T15), 30 kJ/m2 (T30), and 50 kJ/m2 (T50). An immersion treatment with NaClO (100 ppm, 3 min) (TH) and an untreated control (TC) were also included. All samples were packaged in PVC trays and sealed with 35 μm polypropylene film, forming a passive MAP. Treatments T5 and T15 preserved acceptable sensory quality for up to 8 days, and no significant differences in color parameters were observed among treatments during storage. Overall, PC decreased by 12–20% and C by 15–37%, while AC increased by 15–40% after 8 days. Treatments T15, T30, and T50 effectively reduced psychrophilic microorganisms for up to 4 days, achieving reductions of 1–2 log compared to TH and TC (6 log CFU/g). By day 8, all treatments reached the microbial limit. In conclusion, the T15 treatment was the most suitable for preserving grated anco squash for up to 4 days at 5 °C, offering a potential alternative to sodium hypochlorite–based sanitization. Full article
Show Figures

Figure 1

18 pages, 5620 KB  
Article
Investigation of the Variation in Bolt Preload Force Under Deep-Sea High Ambient Pressure
by Zhi Shuang and Jia-Bin Wu
J. Mar. Sci. Eng. 2026, 14(2), 131; https://doi.org/10.3390/jmse14020131 - 8 Jan 2026
Viewed by 75
Abstract
Bolted connections are critical in deep-sea engineering, yet classical theories (such as VDI 2230) implicitly assume atmospheric pressure conditions, neglecting the volume contraction of components due to hydrostatic pressure. This fundamental flaw hinders accurate prediction of preload retention—especially when bolts and clamped components [...] Read more.
Bolted connections are critical in deep-sea engineering, yet classical theories (such as VDI 2230) implicitly assume atmospheric pressure conditions, neglecting the volume contraction of components due to hydrostatic pressure. This fundamental flaw hinders accurate prediction of preload retention—especially when bolts and clamped components exhibit differential compressibility (a common scenario in practical applications). To bridge this scientific gap, this paper establishes the first analytical model for bolt preload under pressure-induced volumetric contraction based on deformation coordination relations. The derived closed-form expressions explicitly quantify residual preload as a function of deep-sea ambient pressure, component bulk modulus, and geometric parameters. Model predictions closely match finite element calculations, showing that stainless steel bolts clamping aluminum alloys under 110 MPa pressure can experience up to a 40% preload reduction. This theoretical framework extends classical bolt connection mechanics to high-pressure environments, providing a scientific basis for optimizing deep-sea connection designs through material matching and dimensional control to effectively mitigate pressure-induced preload loss. Full article
(This article belongs to the Section Ocean Engineering)
Show Figures

Figure 1

15 pages, 2394 KB  
Article
Soil Property Alterations and Nitrogen Use Dynamics of Hemarthria altissima Under Distinct Nitrogen Forms
by Xiaowei Wei, Mingyue Sun, Shihan Feng, Ju Zhang, Yidi Gai, Yuheng Yang and Xuechen Yang
Agronomy 2026, 16(2), 155; https://doi.org/10.3390/agronomy16020155 - 8 Jan 2026
Viewed by 136
Abstract
Atmospheric nitrogen deposition is increasing worldwide, with profound implications for plant nitrogen acquisition and ecosystem nutrient cycling, particularly in nitrogen-limited systems. In this study, we investigated how inorganic nitrogen form regulates nitrogen uptake in H. altissima through pot experiments by applying ammonium nitrogen, [...] Read more.
Atmospheric nitrogen deposition is increasing worldwide, with profound implications for plant nitrogen acquisition and ecosystem nutrient cycling, particularly in nitrogen-limited systems. In this study, we investigated how inorganic nitrogen form regulates nitrogen uptake in H. altissima through pot experiments by applying ammonium nitrogen, nitrate nitrogen, mixed nitrogen, and a nitrogen-free control in Songnen grassland ecosystems at the eastern end of Eurasia. Soil abiotic properties, root morphological traits, and nitrogen uptake dynamics were jointly quantified using integrative modeling in combination with 15N stable isotope tracing. Relative to the no-nitrogen control, both ammonium and nitrate nitrogen significantly altered soil physicochemical conditions and stimulated root development, with ammonium consistently exhibiting stronger effects. Ammonium and nitrate applications reduced soil pH by 4.83% and 6.25%, increased electrical conductivity by 2.01% and 1.17%, and enhanced inorganic nitrogen pools by 115.84% and 45.69%, respectively. Root morphological traits were significantly enhanced under ammonium, nitrate, and mixed nitrogen treatments. 15N tracing further demonstrated that ammonium nitrogen significantly increased root 15N uptake compared with the no-nitrogen control (p < 0.05) and promoted a 20.10% greater allocation of absorbed nitrogen to aboveground biomass than nitrate nitrogen. Collectively, these findings highlight nitrogen form as a key regulator of soil–plant nitrogen coupling, with ammonium nitrogen more effectively enhancing nitrogen acquisition and internal translocation than nitrate. Full article
(This article belongs to the Special Issue Multifunctionality of Grassland Soils: Opportunities and Challenges)
Show Figures

Figure 1

13 pages, 3075 KB  
Article
Inhibition of Streptococcus Biofilm Formation by 6′-Sialyllactose and N-Acetylneuraminic Acid
by Yohei Sato, Yuta Watanabe, Tatsuhiro Ayabe and Takeshi Kokubo
Dent. J. 2026, 14(1), 41; https://doi.org/10.3390/dj14010041 - 7 Jan 2026
Viewed by 177
Abstract
Background/Objectives: Oral hygiene is crucial for maintaining overall health, as poor oral care can lead to various systemic diseases. Although xylitol is widely used to inhibit plaque formation, more effective agents are needed to control oral biofilms. Herein, we evaluated the inhibitory [...] Read more.
Background/Objectives: Oral hygiene is crucial for maintaining overall health, as poor oral care can lead to various systemic diseases. Although xylitol is widely used to inhibit plaque formation, more effective agents are needed to control oral biofilms. Herein, we evaluated the inhibitory effects of sialyllactose (SL), a type of human milk oligosaccharide (HMO), and its partial structure N-acetylneuraminic acid (Neu5Ac) against Streptococcus biofilm. Methods: Under a CO2 atmosphere, Streptococcus mutans and mixed Streptococcus species were each cultivated in vitro, and the inhibitory effects of HMOs [2′-fucosyllactose, 3′-sialyllactose (3′-SL) and 6′-sialyllactose (6′-SL)] and Neu5Ac on biofilm formation were evaluated. Bacterial biofilm formation was quantified using the crystal violet assay. Biofilm architecture and viability were visualized using confocal laser-scanning microscopy (CLSM) with SYTO9/propidium iodide staining. Transcriptomic responses of S. mutans biofilms to the test compounds were analyzed by RNA-Seq. Statistical analysis was performed using one-way analysis of variance followed by Tukey’s test. Results: SLs and Neu5Ac at 100 mM significantly inhibited S. mutans biofilm formation, with stronger effects than those of xylitol. The inhibitory effects varied among HMOs, with 6′-SL being more effective than 3′-SL and Neu5Ac being most effective. These effects were consistent in assays targeting biofilms formed by other S. mutans strains and in a mixed biofilm comprising Streptococcus species. Gene expression analysis suggested that the inhibitory mechanism involves the physical inhibition of surface adhesion and stress-induced regulation of gene expression. Conclusions: This study provides insights into the physiological significance of HMOs in the oral cavities of humans. HMOs exhibited potential as functional foods to control oral biofilm formation and reduce the risk of oral and systemic diseases. Full article
Show Figures

Figure 1

26 pages, 3455 KB  
Article
Analysis of Smoke Confinement in Underground Buildings: Design of Air Curtains Against Tunnel Fire
by Yuxiang Wang and Angui Li
Buildings 2026, 16(2), 263; https://doi.org/10.3390/buildings16020263 - 7 Jan 2026
Viewed by 139
Abstract
Tunnels have significantly expanded human activity spaces and alleviated urban congestion and environmental pollution on the surface. However, fires and associated smoke propagation in tunnels pose common and critical challenges in underground space utilization. Previous studies have primarily focused on smoke control under [...] Read more.
Tunnels have significantly expanded human activity spaces and alleviated urban congestion and environmental pollution on the surface. However, fires and associated smoke propagation in tunnels pose common and critical challenges in underground space utilization. Previous studies have primarily focused on smoke control under standard atmospheric conditions, emphasizing isolated parameters such as jet velocity or heat release rate (HRR), while overlooking key factors like environmental pressure and fire source proximity that influence smoke buoyancy and containment efficacy. One of the key problems remains unsolved: the comprehensive mechanisms governing transverse air curtain performance in variable-pressure and proximity scenarios. This study utilized Fire Dynamics Simulator (FDS6.7.1) software to conduct numerical simulations, aiming to elucidate the underlying incentives and explore the phenomena of smoke–thermal interactions. The analysis systematically evaluates the influence of four critical parameters: HRR (1–15 MW), fire-to-curtain distance (5–95 m), air curtain jet velocity (6–16 m/s), and ambient pressure (40–140 kPa). Results show that (1) jet velocity emerges as the dominant factor, with exponential enhancement in thermal containment efficiency at velocities above 10 m/s due to intensified shear forces; (2) escalating HRR weakens isolation, leading to disproportionate downstream temperature rises and diminished efficacy; (3) fire proximity within 10 m disrupts curtain integrity via high-momentum smoke impingement, amplifying thermal gradients; and (4) elevated ambient pressure dampens smoke buoyancy while augmenting air curtain momentum, yielding improved containment efficiency and reduced temperatures. This paper is helpful for the design and operation of thermal applications in underground infrastructures, providing predictive models for optimized smoke control systems. The contour maps reveal the field-distribution trends and highlight the significant influence of the air curtain and key governing parameters on the thermal field and smoke control performance. This work delivers pivotal theoretical and practical insights into the advanced design and optimization of aerodynamic smoke control systems in tunnel safety engineering Full article
Show Figures

Figure 1

10 pages, 3868 KB  
Article
The Influence of Sintering Temperature on the Transport Properties of GdBa2Cu3O7 Superconductor Prepared from Nano-Powders via the Co-Precipitation Method
by Ahmed Al-Mobydeen, Mohammed M. Alawamleh, Sondos Shamha, Ehab AlShamaileh, Iessa Sabbe Moosa, Jamal Rahhal, Mike Haddad, Wala`a Al-Tarawneh, Yousef Al-Dalahmeh and Imad Hamadneh
Inorganics 2026, 14(1), 25; https://doi.org/10.3390/inorganics14010025 - 7 Jan 2026
Viewed by 112
Abstract
This study examines the influence of sintering temperature on the structural and transport properties of GdBa2Cu3O7 (Gd123) superconductors prepared from nano-sized precursors via the co-precipitation method. The metal-oxalate precursor (average particle size < 50 nm) was calcined at [...] Read more.
This study examines the influence of sintering temperature on the structural and transport properties of GdBa2Cu3O7 (Gd123) superconductors prepared from nano-sized precursors via the co-precipitation method. The metal-oxalate precursor (average particle size < 50 nm) was calcined at 900 °C for 12 h, and then the prepared pellets were sintered under an oxygen atmosphere in the range of 920–950 °C for 15 h. All samples showed metallic properties and a sharp superconducting transition. Critical temperatures TC(R=0) were 94–95 K, with higher sintering temperatures steadily boosting critical current density. X-ray diffraction confirmed orthorhombic Gd123 as the dominant phase, with its phase fraction increasing from 92% to 99.8% as the sintering temperature increased. SEM micrographs showed large, densely packed grains, with higher sintering temperatures promoting improved grain connectivity and reduced porosity. The sample sintered at 950 °C exhibited the most favorable transport performance, attributed to enhanced intergranular coupling and the presence of nanoscale secondary phases acting as effective flux-pinning centers. Overall, these results demonstrate that careful control of sintering temperature can significantly optimize the microstructure and superconducting properties of Gd123 materials, supporting their advancement for practical electrical and magnetic applications. Full article
(This article belongs to the Section Inorganic Solid-State Chemistry)
Show Figures

Figure 1

14 pages, 1112 KB  
Article
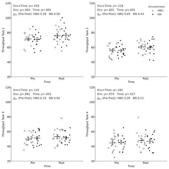
Cognitive Processing Efficiency (Throughput) Improves with Aerobic Exercise and Is Independent of the Environmental Oxygenation Level: A Randomized Crossover Trial
by Takehira Nakao, Toru Hirata, Takahiro Adachi, Jun Fukuda, Tadanori Fukada, Kaori Iino-Ohori, Miki Igarashi, Keisuke Yoshikawa, Kensuke Iwasa and Atsushi Saito
Sports 2026, 14(1), 30; https://doi.org/10.3390/sports14010030 - 7 Jan 2026
Viewed by 145
Abstract
Aerobic exercise with eicosapentaenoic acid (EPA) may enhance cognition via cerebrovascular pathways. We tested whether mild hyperbaric oxygen (HBO; 1.41 atmospheres absolute [ATA], approximately 30% O2) adds to gains in cognitive processing capacity (throughput) versus normobaric normoxia (1.0 ATA, approximately 21% [...] Read more.
Aerobic exercise with eicosapentaenoic acid (EPA) may enhance cognition via cerebrovascular pathways. We tested whether mild hyperbaric oxygen (HBO; 1.41 atmospheres absolute [ATA], approximately 30% O2) adds to gains in cognitive processing capacity (throughput) versus normobaric normoxia (1.0 ATA, approximately 21% [20.9%] O2). Healthy young adults (n = 16) performed cycling exercise at 60–70% VO2peak for 60 min, twice weekly, for 4 weeks per environment with a 1-week washout; EPA (2170 mg·day−1) was taken during each 4-week training phase (total 8 weeks) and was paused during the washout. An EPA-only control (n = 8) was included for supplementary analysis. The primary outcome was throughput (correct·min−1; T1–T4); secondary outcomes were interference indices (I1: stroop interference, I2: reverse-stroop interference). Effects were estimated using linear mixed models [environment, time, environment × time; AR(1), REML] and Hedges’ gav; accuracy used generalized estimating equations. Throughput improved mainly with time (T1–T2 p < 0.001; T4 p = 0.017; T3 p = 0.055), with no environment or interaction effects. I1/I2 showed no significant change, and one task exhibited an accuracy ceiling. Under safe, feasible conditions (≤1.41 ATA), aerobic exercise improved processing capacity (throughput) independently of environmental oxygenation level. The absence of detectable additive effects should be interpreted cautiously under conservative settings. Full article
(This article belongs to the Special Issue Benefits of Physical Activity and Exercise to Human Health)
Show Figures

Figure 1

29 pages, 849 KB  
Review
A Review of Spacecraft Aeroassisted Orbit Transfer Approaches
by Lu Yang, Yawen Jiang, Wenhua Cheng, Jinyan Xue, Yasheng Zhang and Shuailong Zhao
Appl. Sci. 2026, 16(2), 573; https://doi.org/10.3390/app16020573 - 6 Jan 2026
Viewed by 300
Abstract
Aerodynamic manoeuvring technology for spacecraft actively utilizes aerodynamic forces to alter orbital trajectories. This approach not only substantially reduces propellant consumption but also expands the range of accessible orbits, representing a key technological pathway to address the demands of increasingly complex yet cost-effective [...] Read more.
Aerodynamic manoeuvring technology for spacecraft actively utilizes aerodynamic forces to alter orbital trajectories. This approach not only substantially reduces propellant consumption but also expands the range of accessible orbits, representing a key technological pathway to address the demands of increasingly complex yet cost-effective space missions. The theoretical prototype of this technology was proposed by Howard London. Over the course of more than half a century of development, it has evolved into four distinct modes: aeroglide, aerocruise, aerobang, and aerogravity assist. These modes have been engineered and applied in scenarios such as in-orbit manoeuvring of reusable vehicles, rapid response to space missions, and interplanetary exploration. Our research centers on two core domains: trajectory optimization and control guidance. Trajectory optimization employs numerical methods such as pseudo-spectral techniques and sequential convex optimization to achieve multi-objective optimization of fuel and time under constraints, including heat flux and overload. Control guidance focuses on standard orbital guidance and predictive correction guidance, progressively evolving into adaptive and robust control to address atmospheric uncertainties and the challenges of strong nonlinear coupling. Although breakthroughs have been achieved in deep-space exploration missions, critical challenges remain, including constructing high-fidelity models, enhancing real-time computational efficiency, ensuring the explainability of artificial intelligence methods, and designing integrated framework architectures. As these technical hurdles are progressively overcome, this technology will find broader engineering applications in diverse space missions such as lunar return and in-orbit servicing, driving continuous innovation in the field of space dynamics and control. Full article
(This article belongs to the Section Aerospace Science and Engineering)
Show Figures

Figure 1

26 pages, 3250 KB  
Article
Optical Mirage–Based Metaheuristic Optimization for Robust PEM Fuel Cell Parameter Estimation
by Hashim Alnami, Badr M. Al Faiya, Sultan Hassan Hakmi and Ghareeb Moustafa
Mathematics 2026, 14(2), 211; https://doi.org/10.3390/math14020211 - 6 Jan 2026
Viewed by 78
Abstract
The parameter extraction of proton exchange membrane fuel cells (PEMFCs) has been an active area of study over the past few years, relying on metaheuristic optimizers and experimental datasets to achieve accurate current/voltage (I/V) curves. This work develops a mirage search optimizer (MSO) [...] Read more.
The parameter extraction of proton exchange membrane fuel cells (PEMFCs) has been an active area of study over the past few years, relying on metaheuristic optimizers and experimental datasets to achieve accurate current/voltage (I/V) curves. This work develops a mirage search optimizer (MSO) to precisely estimate the PEMFC model parameters. The MSO employs two search techniques based on the physical phenomena of light bending caused by atmospheric refractive index gradients: a superior mirage for global exploration and an inferior mirage for local exploitation. The MSO employs optical physics to direct search behavior, in contrast to conventional optimization approaches, allowing for a dynamic balance between exploration and exploitation. Convergence efficiency is increased by its iteration-dependent control and fitness-based influence. Using two common PEMFC modules, a comparison study with previously published methodologies and new, recently developed optimizers—the Educational Competition Optimizer (ECO), basketball team optimization (BTO), the fungal growth optimizer (FGO), and the naked mole rat optimizer (NMRO)—was conducted to evaluate the proposed MSO for parameter identification. Furthermore, the two models were tested under various temperatures and pressures. For the three examples studied, the MSO achieved the best sum of squared errors (SSE) values with an intriguing overall standard deviation (STD). It is undeniable that the STD and cropped SSE values, among other difficult techniques, are quite competitive and display the fastest convergence. According to the MSO, the BCS 500W, Ballard Mark V, and Modular SR-12 each have MSO values of 0.011697781, 0.852056, and 1.42098181379214 × 10−4, respectively. Additionally, the comparison results demonstrate that the proposed MSO can be successfully used to quickly and accurately define the PEMFC model. Full article
Show Figures

Figure 1

28 pages, 3549 KB  
Article
Identification of Key Contributing Factors and Risk Propagation Paths in Safety Accidents at Chinese Chemical Enterprises
by Zhiheng Ni, Zhen Li, Mingyu Zhang and Otsile Morake
Safety 2026, 12(1), 5; https://doi.org/10.3390/safety12010005 - 5 Jan 2026
Viewed by 118
Abstract
To address the complex and uncertain causes of safety accidents in chemical enterprises, this study applied text mining techniques to systematically extract 29 causative factors from 422 accident reports. These factors were classified into five categories: personnel issues, resource management deficiencies, adverse organizational [...] Read more.
To address the complex and uncertain causes of safety accidents in chemical enterprises, this study applied text mining techniques to systematically extract 29 causative factors from 422 accident reports. These factors were classified into five categories: personnel issues, resource management deficiencies, adverse organizational atmosphere, organizational process flaws, and inadequate supervision. Based on the extracted factors, a complex network model of accident causation was constructed. Using degree centrality, betweenness centrality, and eigenvector centrality, seven core causative factors were identified, along with multiple peripheral factors closely linked to them. Bayesian network-based sensitivity analysis further revealed the factors that exert the greatest influence on accident occurrence, and subsequent path analysis uncovered several critical accident propagation paths. The findings reveal core causative factors and critical propagation paths, which may inform the prioritization of risk control measures under conditions of limited resources. Full article
Show Figures

Figure 1

Back to TopTop