Dynamic Evolution and Driving Mechanisms of Cultivated Land Non-Agriculturalization in Sichuan Province
Abstract
1. Introduction
2. Theoretical and Research Framework
3. Materials and Methods
3.1. Study Area
3.2. Data Sources and Processing
3.3. Methodology
4. Results
4.1. Time-Varying Characteristics of NACCL in Sichuan Province
4.2. Spatial Evolution Characteristics of NACCL in Sichuan Province
4.3. Analysis of NACCL Driving Mechanisms in Sichuan Province
4.3.1. Selection of Driving Factors
4.3.2. Factor Detection Analysis
4.3.3. Interaction Detection Analysis
5. Discussion and Conclusions
5.1. Discussion
5.2. Conclusions
- (1)
- Over time, the rate of NACCL in Sichuan Province tends to decline. Overall, it shows a phased fluctuation pattern of “expansion—contraction—re-expansion—strict control”. The demand for urban space in the counties of Sichuan Province is significant, and as regional differences gradually narrow, an equilibrium that harmonizes economic progress and farmland preservation has been attained.
- (2)
- At the spatial level, the NACCL in Sichuan Province shows a notable diffusion impact, with clear spatial variation features. C18, C6, C8, C14, and C1 are the core counties for NACCL, and it is gradually spreading to the surrounding L2, L6, B4 in the northeast, and J13 in the south.
- (3)
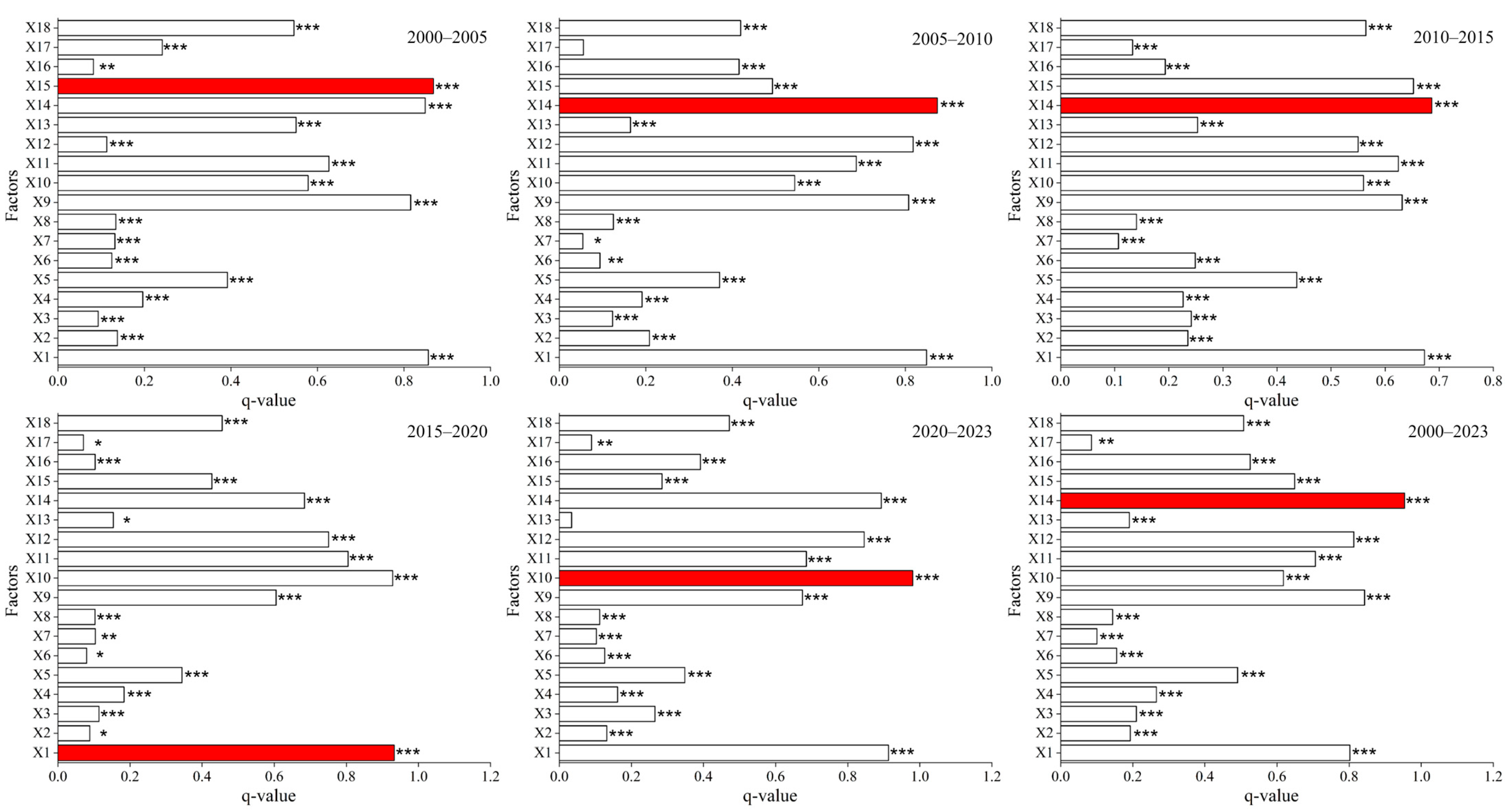
- The spatial distribution of NACCL in Sichuan Province arises from the interplay of multiple factors. The economic development level consistently exhibits strong explanatory power. Among these influencing elements, the five most significant ones, ranked by their ability to explain the phenomenon, are the share of urban built—up land, soil acidity—alkalinity level, road network density, the number of people per unit area, and gross domestic product per capita. The ability to explain the combined influence of factor pairs is more significant, indicating that the NACCL process in Sichuan Province exhibits clear characteristics of synergistic driving forces.
Author Contributions
Funding
Institutional Review Board Statement
Informed Consent Statement
Data Availability Statement
Conflicts of Interest
Appendix A
| City Name | City Code | County Name | County Code | City Name | City Code | County Name | County Code | City Name | City Code | County Name | County Code |
|---|---|---|---|---|---|---|---|---|---|---|---|
| Aba | A | aba | A1 | Ganzi | F | litang | F11 | Meishan | L | renshou | L6 |
| heishui | A2 | luhuo | F12 | Mianyang | M | anzhou | M1 | ||||
| hongyuan | A3 | luding | F13 | beichuan | M2 | ||||||
| jinchuan | A4 | seda | F14 | fucheng | M3 | ||||||
| jiuzaigou | A5 | shiqu | F15 | jiangyou | M4 | ||||||
| lixian | A6 | xiangcheng | F16 | pingwu | M5 | ||||||
| maerkang | A7 | xinlong | F17 | santai | M6 | ||||||
| maoxian | A8 | yajiang | F18 | yanting | M7 | ||||||
| rangtang | A9 | Guangan | G | guangan | G1 | youxian | M8 | ||||
| ruoergai | A10 | huayin | G2 | zitong | M9 | ||||||
| songpan | A11 | linshui | G3 | Nanchong | N | gaoping | N1 | ||||
| wenchuan | A12 | qianfeng | G4 | jialing | N2 | ||||||
| xiaojin | A13 | wusheng | G5 | langzhong | N3 | ||||||
| Bazhong | B | bazhou | B1 | yuechi | G6 | nanbu | N4 | ||||
| enyang | B2 | Guangyuan | H | cangxi | H1 | pengan | N5 | ||||
| nanjiang | B3 | chaotian | H2 | shunqing | N6 | ||||||
| pingchang | B4 | jiange | H3 | xichong | N7 | ||||||
| tongjiang | B5 | lizhou | H4 | yilong | N8 | ||||||
| Chengdu | C | chenghua | C1 | qingchuan | H5 | yinshan | N9 | ||||
| chongzhou | C2 | wangcang | H6 | Neijiang | O | dongxin | O1 | ||||
| dayi | C3 | zhaohua | H7 | longchan | O2 | ||||||
| dujiangyan | C4 | Leshan | I | ebian | I1 | weiyuan | O3 | ||||
| jianyang | C5 | emeishan | I2 | zizhong | O4 | ||||||
| jinniu | C6 | jiajiang | I3 | shizhongqu | O5 | ||||||
| jintang | C7 | qianwei | I4 | Panzhihua | P | dongqu | P1 | ||||
| jinjiang | C8 | jinkouhe | I5 | miyi | P2 | ||||||
| longquanyi | C9 | jinyan | I6 | renhe | P3 | ||||||
| pengzhou | C10 | mabian | I7 | xiqu | P4 | ||||||
| pidu | C11 | muchuan | I8 | yanbian | P5 | ||||||
| pujiang | C12 | shawan | I9 | Suining | Q | anju | Q1 | ||||
| qingbaijiang | C13 | wutongqiao | I10 | chuanshan | Q2 | ||||||
| qingyang | C14 | shizhongqu | I11 | daying | Q3 | ||||||
| qionglai | C15 | Liangshan | J | butuo | J1 | pengxi | Q4 | ||||
| shuangliu | C16 | dechang | J2 | shehong | Q5 | ||||||
| wenjiang | C17 | ganluo | J3 | Yaan | R | baoxing | R1 | ||||
| wuhou | C18 | huidong | J4 | hanyuan | R2 | ||||||
| xindu | C19 | huili | J5 | lushan | R3 | ||||||
| xinjin | C20 | jinyang | J6 | mingshan | R4 | ||||||
| Dazhou | D | dachuan | D1 | leibo | J7 | shimian | R5 | ||||
| dazhu | D2 | meigu | J8 | tianquan | R6 | ||||||
| kaijiang | D3 | mianning | J9 | yingjing | R7 | ||||||
| quxian | D4 | muli | J10 | Yucheng | R8 | ||||||
| tongchuan | D5 | ningnan | J11 | Yibin | S | cuiping | S1 | ||||
| wanyuan | D6 | puge | J12 | gaoxian | S2 | ||||||
| xuanhan | D7 | xichang | J13 | gongxian | S3 | ||||||
| Deyang | E | guanghan | E1 | xide | J14 | jiangan | S4 | ||||
| jinyang | E2 | yanyuan | J15 | nanxi | S5 | ||||||
| luojiang | E3 | yuexi | J16 | pingshan | S6 | ||||||
| Deyang | E | mianzhu | E4 | Liangshan | J | zhaojue | J17 | Yibin | S | xingwen | S7 |
| shifang | E5 | Luzhou | K | gulin | K1 | xuzhou | S8 | ||||
| zhongjiang | E6 | hejiang | K2 | junlian | S9 | ||||||
| Ganzi | F | batang | F1 | jiangyang | K3 | changning | S10 | ||||
| baiyu | F2 | longmatan | K4 | Ziyang | T | anyue | T1 | ||||
| danba | F3 | luxian | K5 | lezhi | T2 | ||||||
| daofu | F4 | naxi | K6 | yanjiang | T3 | ||||||
| daocheng | F5 | xuyong | K7 | Zigong | U | fushun | U1 | ||||
| derong | F6 | Meishan | L | danling | L1 | gongjin | U2 | ||||
| dege | F7 | dongpo | L2 | rongxian | U3 | ||||||
| ganzi | F8 | hongya | L3 | yantan | U4 | ||||||
| jiulong | F9 | pengshan | L4 | ziliujin | U5 | ||||||
| kangding | F10 | qingshen | L5 | daan | U6 |
References
- Li, Q.; Huang, Y.; Sun, J.; Chen, S.; Zou, J. Balancing Urban Expansion and Food Security: A Spatiotemporal Assessment of Cropland Loss and Productivity Compensation in the Yangtze River Delta, China. Land 2025, 14, 1476. [Google Scholar] [CrossRef]
- Song, H.; Li, X.; Zhang, F.; Gu, P.; Chen, Y.; Wu, H.; Xin, L.; Lu, Y.; Liu, Y.; Wang, X. Understanding the spatial distribution patterns and dominant determinants of farmland abandonment in China. Habitat Int. 2025, 156, 103298. [Google Scholar] [CrossRef]
- Gao, P.; Gao, Y.; Ou, Y.; Mcjeon, H.; Iyer, G.; Ye, S.; Yang, X.; Song, C. Author Correction: Heterogeneous pressure on croplands from land-based strategies to meet the 1.5 °C target. Nat. Clim. Change 2025, 15, 682. [Google Scholar] [CrossRef]
- Wang, Y.; Song, D.; Liu, C.; Li, S.; Yuan, M.; Gong, J.; Yang, J. Spatial Correlation of Non-Agriculturalization and Non-Grain Utilization Transformation of Cultivated Land in China and Its Implications. Land 2025, 14, 1031. [Google Scholar] [CrossRef]
- Xu, D.; Chen, M.; Li, R. How high-standard farmland construction can affect farmers’ grain cultivation behavior: Evidence from rural China. Habitat Int. 2025, 160, 103384. [Google Scholar] [CrossRef]
- Wang, X.; Song, X.; Wang, Y.; Xu, H.; Ma, Z. Understanding the distribution patterns and underlying mechanisms of non-grain use of cultivated land in rural China. J. Rural Stud. 2024, 106, 103223. [Google Scholar] [CrossRef]
- Wenjie, Y.; Dan, L.; Qianwen, G. Estimation Loss of Agroecosystem Service Value in Farmland Conversion and Its Provincial Difference in 2001-2016. Econ. Geogr. 2019, 39, 201–209. [Google Scholar]
- Zhang, Y.; Wang, J.; Fan, S. Healthy and Sustainable Diets in China and Their Global Implications. Agric. Econ. 2025, 56, 349–359. [Google Scholar] [CrossRef]
- Li, X.; Ma, L. Characteristics and influencing factors of farm land conversion to non-agricultural uses in Northeast Guangdong Province based on optimal parameter geographic detector. Bull. Soil Water Conserv. 2024, 44, 100–112. [Google Scholar]
- Li, D.; Qu, J.; Wang, S. Analysis of spatial pattern and gravity center curve of cultivated land conversion in Heilongiang province. Sci. Surv. Mapp. 2021, 46, 171–177. [Google Scholar]
- Xie, X. Spatio-temporal evolution and migration path of cropland de-farming in Guilin city. South-Cent. Agric. Sci. Technol. 2024, 45, 104–109. [Google Scholar]
- Xia, Z.; Lan, A.; Fan, Z.; Zhu, N. Spatial patterns and shift paths of non-agricultural cultivated land in Guizhou province. Chin. J. Agric. Resour. Reg. Plan. 2023, 44, 159–170. [Google Scholar]
- Liu, H.; Wang, H.; Jin, Z.; Pan, C. Spatial and temporal evolution characteristics and driving mechanism of cultivated land conversion in Lower Liaohe River Plain. Chin. J. Eco-Agric. 2024, 32, 1420–1431. [Google Scholar]
- Wu, H.; Tia, X.; Zhang, L. Spatio-temporal dynamics characteristic and diffusion trend of cultivated land conversion in Anhui province in recent 40 years. Chin. J. Agric. Resour. Reg. Plan. 2023, 44, 110–118. [Google Scholar]
- Zhang, J.; Liu, Y.; Ermei, Z.; Tan, Q. Dynamics and driving mechanisms of cultivated land at county level in China. Acta Geogr. Sin. 2023, 78, 2105–2127. [Google Scholar]
- Liu, L.; Song, M.; Qu, B. Regional Difference and Regional Convergence of Cultivated Land Conversion in China. Resour. Sci. 2009, 31, 116–122. [Google Scholar]
- Chen, L.; Zhao, H.; Song, G.; Liu, Y. Optimization of cultivated land pattern for achieving cultivated land system security: A case study in Heilongjiang Province, China. Land Use Policy 2021, 108, 105589. [Google Scholar] [CrossRef]
- Sun, X.; Wang, J.; Zhu, X.; Dong, Y.; Lin, X. Transformation of cultivated land utilization and its driving factors based on human-earth system perspective: Taking Qiqihar city, Heilongjiang province, as an example. J. Nat. Resour. 2025, 40, 350–366. [Google Scholar] [CrossRef]
- Wu, D.; Wu, Z.; Li, S.; Lang, Y.; Ma, P.; Li, Z.; Lin, T. Spatiotemporal Evolution and Influencing Factors of Non-grain Cultivated Land in Northern Mountainous Areas of Guangdong Province. Econ. Geogr. 2023, 43, 144–153. [Google Scholar]
- Fan, S.; Liu, Z.; Zhu, M.; Zhang, M. Time series change and influencing factors of land use in Guangzhou city based on geodetector. Southwest China J. Agric. Sci. 2022, 35, 2276–2289. [Google Scholar]
- Peng, H.; Guo, L.; Zhang, J.; Zhong, S.; Yu, H.; Han, Y. Research progress and implication of the relationship between regional economic growth and resource-environmental pressure. Resour. Sci. 2020, 42, 593–606. [Google Scholar] [CrossRef]
- Wang, Q.; Song, G.; Sui, H. Spatial-temporal Pattern Evolution of Cultivated Land Conversion and Its Driving Factors: A Twofold Perspectives of Impact Analysis and Configuration Analysis. China Land Sci. 2023, 37, 113–124. [Google Scholar]
- Liu, C.; Deng, C.; Li, Z.; Sun, H.; Chen, S.; Zhao, H. Study on the evolution and influencing factors of the spatial pattern of rural land non-agriculturalization in typical suburban county—Taking Xiang Tan county, Hu Nan province as an example. Chin. J. Agric. Resour. Reg. Plan. 2021, 42, 253–264. [Google Scholar]
- Zhang, G.; Li, X.; Zhang, L.; Wei, X. Dynamics and causes of cropland Non-Agriculturalization in typical regions of China: An explanation Based on interpretable Machine learning. Ecol. Indic. 2024, 166, 112348. [Google Scholar] [CrossRef]
- Feng, D.; Long, H. Transition of farmland use system towards urban-rural integration: From localization to de-localization. Resour. Sci. 2025, 47, 42–53. [Google Scholar]
- Long, H.; Chen, K.; Zheng, Y.; Zhang, Y. The theoretical cognition and research paradigm of land system science. Resour. Sci. 2025, 47, 3–13. [Google Scholar]
- Wang, S.; Wang, Y.; Fang, Z.; Lu, H.; Liu, L. Grain eco-efficiency in China: Horizontal measurement, spatio-temporal pattern evolution and influencing factors. J. Agric. Resour. Environ. 2024, 41, 706–716. [Google Scholar]
- Zhao, Q.; Zhu, X. Measurement of the level of high-quality development of provincial trade, regional differences and spatial and temporal evolution. Stat. Decis. 2024, 40, 140–144. [Google Scholar]
- Chen, Z.; Wang, X.; Guo, J. Analysis of spatial and temporal variations and driving factors of ecological environment quality in Huangshi city. Bull. Surv. Mapp. 2025, 4, 145–151. [Google Scholar]
- Wang, J.; Xu, C. Geodetector: Principle and prospective. Acta Geogr. Sin. 2017, 72, 116–134. [Google Scholar]
- Xiao, C.; Hao, L. Spatiotemporal response of China’s photovoltaic power generation to the change of feed-in tariff policies. Progress in Geography. Prog. Geogr. 2025, 44, 1146–1163. [Google Scholar]
- Zhang, R.; Chen, Y.; Zhang, X.; Fang, X.; Ma, Q.; Ren, L. Spatial-Temporal Pattern and Driving Factors of Flash Flood Disasters in Jiangxi Province Analyzed by Optimal Parameters-Based Geographical Detector. Geogr. Geo-Inf. Sci. 2021, 37, 72–80. [Google Scholar]
- Song, Y.; Wang, J.; Ge, Y.; Xu, C. An optimal parameters-based geographical detector model enhances geographic characteristics of explanatory variables for spatial heterogeneity analysis: Cases with different types of spatial data. GIScience Remote Sens. 2020, 57, 593–610. [Google Scholar] [CrossRef]
- Yang, X.; Xue, H.; Dong, G.; Liu, D.; Li, Z. Vegetation changes and driving factors in the Qilian Mountains during 1982–2022. Chin. J. Ecol. 2024, 43, 1576–1586. [Google Scholar]
- Li, X.; Ma, X.; Hu, M. The mutual feedback mechanism of human-land-industry factors of the rural regional system. Geogr. Res. 2022, 41, 1981–1994. [Google Scholar]
- Liu, Y.; Xiao, C.; Ma, X.; Li, X. Impact pathways of rural population reduction on arable land transition. Prog. Geogr. 2024, 43, 1088–1101. [Google Scholar]
- Zhou, G.; Ma, Z.; Zhang, P. The Relationship Between Population Shrinkage, Ageing, and New-Type Urbanization in Counties: The Case of Jilin Province, China. Land 2025, 14, 1474. [Google Scholar] [CrossRef]
- Stetter, C.; Cronauer, C. Climate and soil conditions shape farmers’ climate change adaptation preferences. Agric. Econ. 2025, 56, 165–187. [Google Scholar] [CrossRef]
- Huang, Y.; Zhong, C.; Wang, Y.; Hua, W. The Spatiotemporal Evolution, Driving Mechanisms, and Future Climate Scenario-Based Projection of Soil Erosion in the Southwest China. Land 2025, 14, 1341. [Google Scholar] [CrossRef]
- Qian, W.; Li, D.; Shi, X. Competitive or crowding-out? Estimating spillover effects from large-scale farms on smallholders in China. Agric. Econ. 2025, 56, 27–44. [Google Scholar] [CrossRef]
- Wang, S.; Jin, X.; Han, B.; Liu, J.; Song, J.; Zhou, Y. Understanding the process and mechanism of agricultural land transition in China: Based on the interactive conversion of cropland and natural ecological land. J. Environ. Manag. 2025, 376, 124585. [Google Scholar] [CrossRef] [PubMed]
- Chen, K.; Long, H. Land consolidation and rural development transformation: Mutual feedback mechanism and regional regulation. China Land Sci. 2020, 34, 1–9. [Google Scholar]
- Cheng, M.; Liu, Y.; Jiang, N. Study on the spatial pattern and mechanism of rural population-land-industry coordinating development in Huang-Huai-Hai Area. Acta Geogr. Sin 2019, 74, 1576–1589. [Google Scholar]
- Chang, Y.; Liu, J.; Zhang, Q.; Yu, H.; Bian, Z.; Chen, F. Spatial pattern differentiation of cultivated land non-grain conversion in major grain-producing areas. J. Agric. Resour. Environ. 2022, 39, 817–826. [Google Scholar]
- Jiang, M.; Wu, Z.; Fu, J. Spatiotemporal differentiation and driving forces of cultivated land dominant transition in Fenhe Rive rBasin from 1980 to 2020. Res. Soil Water Conserv. 2025, 32, 257–265. [Google Scholar]
- Zhang, L.; Zhou, Y.; Dong, J.; Li, X.; Liu, S.; Xu, L. Spatiotemporal differentiation of non-agricultural and non-grain farmland in China and its management strategies. Arid Zone Res. 2025, 42, 372–383. [Google Scholar]
- Ma, C.; Yang, J.; Wang, X.; Yuan, X.; Ren, Z. The Use of Time Series Remote Sensing Data to Analyze the Characteristics of Non-agriculture Farmland and Their Driving Factors in Shangnan. Remote Sens. Technol. Ang Appl. 2025, 40, 47–59. [Google Scholar]
- Liu, F.; Wu, X.; Guo, Z. Spatio-temporal evolution characteristics and dynamic trends of cultivated land conversion in county: A case study of Anhui Province. J. Northeast Agric. Univ. 2024, 55, 50–61. [Google Scholar]
- Liu, H.; Hu, Y.; Guo, Z. Intensity of change and stability of cultivated land around large cities. Bull. Soil Water Conserv. 2024, 44, 200–209. [Google Scholar]
- Liu, M.; Xia, X.; Chen, Q.; Pan, Y. Investigation on the current status of ”non-agricultural” and ”non-grain” utilization of cultivated land resources in Hehuang Valley. Res. Agric. Mod. 2025, 46, 215–225. [Google Scholar]
- Yang, Y.; Peng, S.; LÜ, M.; Chen, X.; Guo, X. Spatial and temporal changes and driving mechanism of cultivated land conversion in central Yunnan urban agglomeration from 1990 to 2020. J. Soil Water Conserv. 2024, 38, 239–251. [Google Scholar]
- Zhang, C.; Chen, D.; Jin, Y.; Yang, G.; Zhang, H. Identification of Driving Forces of Land Use Change Based on Transition of Economic-Social Development Stage: Evidence from Middle Reaches of Yangtze River. Resour. Environ. Yangtze Basin 2023, 32, 2528–2541. [Google Scholar]
- Zhao, W.; Chen, Y.; Li, Y.; Wang, Q.; Shao, J. Long-term dynamic evolution and transformation of rural sloping farmland in the Three Gorges Reservoir area. Acta Ecol. Sin. 2024, 44, 6907–6922. [Google Scholar]








| Tier 1 Type (Land Code) | Tier 2 Type (Land Code) | |
|---|---|---|
| Agricultural land use categories | Cultivated land (1) | Paddy field (11), Dry land (12) |
| Forest land (2) | Closed forest land (21), Shrub land (22), Open forest land (23), Other forest land (24) | |
| Grasslands (3) | High-cover grasslands (31), Medium-cover grasslands (32) | |
| Water area (4) | Rivers and canals (41), Reservoir ponds (43) | |
| Non-agricultural land use categories | Grasslands (3) | Low-cover grasslands (33) |
| Water area (4) | Lakes (42), Permanent glaciers and snowfields (44), Mudflats (45), Sandbars (46) | |
| Urban, Industrial, and Mining (5) | Urban land (51), Rural settlements (52), Other construction land (53) | |
| Unused land (6) | Sand (61), Gobi (62), Saline-alkaline soil (63), Swamp (64), Bare land (65), Bare rock texture (66), Others (67) |
| Research Period | Top 10 Counties for County-Level Annual NACCL Rate |
|---|---|
| 2000–2005 | C18 (11.81%), C6 (8.48%), C8 (7.96%), C14 (4.94%), C1 (3.22%), C11 (2.23%), C17 (1.94%), C19 (1.72%), C9 (1.34%), C16 (1.16%) |
| 2005–2010 | C18 (15.38%), C1 (8.83%), C14 (7.38%), C6 (7.13%), C8 (6.62%), F11 (3.01%), C11 (2.78%), C17 (2.24%), C16 (1.92%), C9 (1.92%) |
| 2010–2015 | C8 (5.58%), C1 (2.65%), C14 (2.59%), C19 (2.14%), C6 (2.07%), C13 (1.74%), C9 (1.56%), E1 (1.44%), C20 (1.43%), C18 (1.36%) |
| 2015–2020 | C18 (14.28%), C1 (4.62%), C14 (4.41%), C6 (3.49%), C8 (3.33%), C16 (2.71%), C17 (2.29%), C9 (2.01%), C11 (1.86%), C13 (1.85%) |
| 2020–2023 | C18 (23.39%), C1 (14.05%), C8 (7.30%), C6 (6.67%), C14 (3.52%), C9 (2.32%), C19 (2.26%), C16 (2.24%), C11 (2.15%), C17 (1.68%) |
| 2000–2023 | C18 (4.26%), C1 (3.25%), C6 (3.19%), C8 (3.09%), C14 (2.74%), C11 (1.48%), C17 (1.37%), C9 (1.27%), C19 (1.24%), C16 (1.23%) |
| Target Layer | Dimension | Factors | Description | Unit |
|---|---|---|---|---|
| “Human” | Demographic | Population density(X1) | Reflect the impact of regional population on cultivated land cultivation. | tens of thousands/km2 |
| Agricultural population(X2) | This value represents the total number of residents and agricultural workers in the region. | person | ||
| Per capita disposable income of rural residents(X3) | The economic capacity of rural residents significantly affects their decisions to plant crops on cultivated land. | yuan | ||
| “Land” | Topography | Elevation(X4) | This demonstrates the possible limiting or guiding influences that regional topographic characteristics exert on the spatial arrangement and utilization modes of cultivated land. | m |
| Slope(X5) | Reflect the restrictive effect of regional surface inclination on the suitability and development and utilization costs of cultivated land. | ° | ||
| Climate | Annual average precipitation(X6) | Comprehensive impact of regional precipitation conditions on agricultural production stability. | mm | |
| Annual average temperature (X7) | Represent the role of regional temperature conditions on the stability of cultivated land agricultural output. | ° | ||
| Soil | Soil organic carbon content(X8) | This metric indicates how regional soil fertility affects both the nutrient availability in cultivated land and the long-term sustainability of agricultural production. | g/kg | |
| Soil pH(X9) | Impact of regional soil acidity and alkalinity conditions on the suitability of crop growth in cultivated land. | - | ||
| “Economy” | Level of economic development | Urbanization level(X10) | As a manifestation of regional urbanization, it serves as a key driver behind the loss of cultivated land and the transformation of its quality. | - |
| Per capita GDP(X11) | It serves as a proxy for regional economic development, thereby shaping the potential for capital allocation in agriculture. | yuan/person | ||
| Road density(X12) | Characterizing the level of regional transportation convenience has a direct impact on the efficiency of mechanized farming operations on arable land. | km/km2 | ||
| road mileage(X13) | This reveals the magnitude of regional transportation infrastructure, which exerts a considerable influence on aspects such as the extent of arable land being occupied. | km | ||
| proportion of urban construction land(X14) | Characterizing the demand for urbanization land in a region is directly related to the degree of encroachment on arable land resources. | % | ||
| real estate development investment(X15) | Representing the intensity of demand for land resources in the regional real estate market. | billion yuan | ||
| Taxes(X16) | Reflecting the regional fiscal revenue situation, it has an indirect regulatory effect on investment in farmland protection funds, etc. | ten thousand yuan | ||
| savings deposits of urban and rural residents(X17) | Representing the wealth accumulation level of residents in the region, it has a potential impact on agricultural investment capacity, etc. | ten thousand yuan | ||
| all loans of financial institutions at the end of the year(X18) | Reflecting the strength of regional financial support and having a significant impact on the availability of agricultural loans. | ten thousand yuan |
Disclaimer/Publisher’s Note: The statements, opinions and data contained in all publications are solely those of the individual author(s) and contributor(s) and not of MDPI and/or the editor(s). MDPI and/or the editor(s) disclaim responsibility for any injury to people or property resulting from any ideas, methods, instructions or products referred to in the content. |
© 2025 by the authors. Licensee MDPI, Basel, Switzerland. This article is an open access article distributed under the terms and conditions of the Creative Commons Attribution (CC BY) license (https://creativecommons.org/licenses/by/4.0/).
Share and Cite
Xu, Y.; Li, Q.; Wang, Y.; Zhang, N.; Li, J.; Zeng, K.; Wang, L. Dynamic Evolution and Driving Mechanisms of Cultivated Land Non-Agriculturalization in Sichuan Province. Sustainability 2025, 17, 8643. https://doi.org/10.3390/su17198643
Xu Y, Li Q, Wang Y, Zhang N, Li J, Zeng K, Wang L. Dynamic Evolution and Driving Mechanisms of Cultivated Land Non-Agriculturalization in Sichuan Province. Sustainability. 2025; 17(19):8643. https://doi.org/10.3390/su17198643
Chicago/Turabian StyleXu, Yaowen, Qian Li, Youhan Wang, Na Zhang, Julin Li, Kun Zeng, and Liangsong Wang. 2025. "Dynamic Evolution and Driving Mechanisms of Cultivated Land Non-Agriculturalization in Sichuan Province" Sustainability 17, no. 19: 8643. https://doi.org/10.3390/su17198643
APA StyleXu, Y., Li, Q., Wang, Y., Zhang, N., Li, J., Zeng, K., & Wang, L. (2025). Dynamic Evolution and Driving Mechanisms of Cultivated Land Non-Agriculturalization in Sichuan Province. Sustainability, 17(19), 8643. https://doi.org/10.3390/su17198643
