Abstract
The global freshwater scarcity crisis demands sustainable solutions aligned with circular economy principles. Solar-driven steam generation (SSG) has emerged as a promising approach to obtain freshwater from seawater or wastewater using solar energy. However, its widespread application relies on the development of energy-efficient, eco-friendly, and high-performance photothermal conversion materials. Herein, we present a sustainable strategy for converting autumn-fallen plane tree leaves into a photothermal material (AC-800) via KOH activation at 800 °C. AC-800 exhibits 91% broadband absorption (250–2500 nm). A light-absorbing layer fabricated by vacuum filtration was used for SSG tests. Under 1 sun irradiation, AC-800 achieves an evaporation rate of 1.5441 kg·m−2·h−1 with 87.1% solar-to-vapor efficiency and a surface temperature of 48.3 °C. Ten repetitive cycles of experiments using AC-800 has demonstrated the cycling stability of SSG. Desalinated water meets World Health Organization (WHO) drinking water standards, and organic dye removal from wastewater in distilled water reaches ~100%. This low-cost, eco-friendly strategy advances sustainable SSG, with potential in seawater desalination and wastewater treatment to support circular economy objectives.
1. Introduction
The combustion of fossil fuels produces large amounts of carbon dioxide, which has led to global warming and climate change []. For sustainable development, the use of clean energy is imperative. Solar energy, which has abundant reserves and causes no pollution, is an attractive choice to replace fossil fuels. However, solar energy is spatially dispersed and temporally intermittent, so it needs to be stored in other forms such as electricity or heat [,,]. Photothermal conversion is one of the most common phenomena in nature, such as the natural evaporation of water. Nevertheless, due to the extremely low efficiency of solar-driven evaporation, this method initially did not attract much research attention. With the increasing scarcity of freshwater resources and the rapid development of photothermal conversion materials, solar-driven steam generation (SSG) technology has been receiving growing attraction for its high potential to obtain direct drinking water from various water sources like seawater, rivers/lakes, and wastewater [,,,,].
Photothermal conversion materials are pivotal for achieving efficient SSG. Generally, an efficient photothermal conversion material requires three important characteristics: (1) high solar absorption; (2) excellent heat collection; and (3) fast water absorption and transmission capacity [,]. To date, many materials with these properties have been designed and manufactured, including metallic materials [,,], semiconductor nanoparticles [,,], carbon-based materials [,,], and polymers [,]. However, most of the precursors of these materials are mainly derived from non-renewable resources, and their synthesis usually requires harsh conditions, which leads to social problems such as energy shortage, climate warming, and environmental pollution. Therefore, with the aim of reducing reliance on fossil energy and promoting more substantial sustainable development, renewable biomass resources are increasingly valued as carbon source precursors for the preparation of photothermal conversion materials used in SSG [,].
Biomass-derived photothermal materials are primarily prepared via two carbonization strategies: (1) surface carbonization and (2) complete carbonization. These methods differ significantly in process complexity, structural preservation, and SSG performance, as summarized below.
- (1)
- Surface carbonization selectively carbonizes the biomass’ surface while retaining its bulk natural structure (e.g., vascular bundles for water transport), offering the advantages of simplicity and low cost. For instance, Zhu et al. constructed a dual-layer solar evaporator by surface-carbonizing natural wood, leveraging wood’s longitudinal channels for water transport; it achieved 80.4% evaporation efficiency under 10 suns (10 kW·m−2) []. Zhang et al. used concentrated sulfuric acid to form a bowl-shaped carbonized layer on sorghum straw, enhancing light trapping (absorption > 90%); under 1 sun, it reached an evaporation rate of 1.96 kg·m−2·h−1 with 81.8% efficiency []. Jang et al. used a CO2 laser to carbonize the surface of balsa wood for sunlight absorption, with a water evaporation rate of 1.26 kg·m−2·h−1 and a photothermal conversion efficiency of 77% []. However, surface carbonization has limitations: the carbonized layer weakly adheres to the biomass substrate, risking detachment during long-term use. Additionally, performance heavily depends on the biomass’s inherent structure (e.g., straw’s hollow channels), restricting its applicability to biomass with pre-existing favorable macrostructures.
- (2)
- Complete carbonization involves full biomass conversion under vacuum or inert gas, producing a more stable carbon skeleton, but requiring stricter process control (e.g., temperature, gas atmosphere). Materials prepared this way often leverage natural porous structures: carbonized mushrooms, with their umbrella-like porous architecture, achieved 1.475 kg·m−2·h−1 evaporation rate and 78% efficiency under 1 kW·m−2 []. Zhu et al. reported that a carbonized daikon chip with highly developed honeycomb cellular structure was prepared by freeze-drying and carbonization. Under 1 sun, its water evaporation rate and solar steam efficiency are 1.57 kg·m−2·h−1 and 85.9%, respectively []. Carbonized jute sticks, utilizing natural central holes and microchannels, exhibited 1.52 kg·m−2·h−1 evaporation rate and 87.01% efficiency for seawater desalination under 1 sun []. Other fully carbonized biomass materials, such as lotus seedpods [], sunflower stalks [], corncobs [], and durian rinds [], have also demonstrated SSG potential, with their high performance attributed to their intrinsic ability to absorb sunlight, facilitate water transport, and minimize heat loss. Notably, complete carbonization often causes biomass shrinkage and cracking due to dehydration []. Moreover, most carbonized biomass materials require integration with auxiliary components (such as foams, fabrics, papers, etc.) for thermal insulation and enhanced water transport []. Fang et al. fabricated a fully biomass-derived solar still with rice straw as the main component. The carbonized rice straw was vacuum-filtered to prepare a light-absorbing film. The rice straw was used as a water transmission channel, fixed by polystyrene foam (PS), and floated on the surface of the container, which achieved an evaporation rate of 1.2 kg·m−2·h−1 and a solar steam efficiency of 75.8% []. Tian et al. paired carbonized cattle manure with PS (insulation) and cotton cloth (water pathway), enabling the efficient treatment of high-salinity brine (≥15 wt%) []. Lv et al. used corn stalk biochar-coated polyurethane foam (PU) as a photothermal agent for interfacial solar water evaporation, and achieved a water evaporation rate of up to 1.38 kg·m−2·h−1 and solar-to-vapor conversion efficiency is 84% under 1 sun []. Mahjoub et al. used carbonized waste tea (photothermal layer) with reverse conical PU (insulation) to fabricate low-cost, self-cleaning evaporators [].
Existing studies have underscored the promising potential of biomass in SSG systems, but critical gaps persist in current research paradigms. Firstly, a significant bias exists in biomass selection: the majority of investigations focus on agricultural byproducts or edible biomass, while abundant urban waste—particularly fallen leaves, which offer advantages of low cost and ubiquitous availability—have been largely overlooked. Secondly, the performance of biomass-derived photothermal materials remains heavily constrained by their intrinsic structural traits, with limited research exploring post-carbonization modification strategies (e.g., chemical activation) to deliberately engineer porosity or surface functionalities, thereby restricting performance optimization beyond natural morphological characteristics.
To address these critical limitations, this study aims to valorize urban waste resources by converting autumn-fallen plane tree leaves into a high-performance photothermal material (AC-800) through KOH-assisted activation at 800 °C, thus enhancing the sustainability of SSG systems via waste-to-resource conversion. Concurrently, this work seeks to overcome the structural limitations of natural biomass by employing KOH activation to tailor the porous architecture of AC-800 beyond its innate characteristics, with the specific goals of improving solar absorption efficiency and accelerating water transport kinetics. In addition, this study seeks to validate the material’s practical applicability across multiple scenarios. Specifically, it evaluates the material’s SSG performance in seawater desalination (with the produced water meeting WHO drinking water standards) and wastewater treatment (achieving nearly 100% removal of organic dyes). Furthermore, to address the critical bottleneck issue of dye accumulation in raw wastewater, this study proposes a photothermal–photocatalytic synergy strategy: through this synergy, the dye degradation rate was increased from 43% to 81%, thereby effectively reducing residual pollutants from the single photothermal process. Overall, these findings highlight the versatility and application potential of this material in addressing the global challenge of water scarcity.
2. Materials and Methods
2.1. Materials
The autumn-fallen plane tree leaves in this experiment were collected from Heze University in Shandong Province, China. Seawater was obtained from the Yellow Sea, located at Qingdao, Shandong Province, China. Methyl orange (MO) and methylene blue (MB) were purchased from Tianjin Kemiou Chemical Reagent Co., Ltd (Tianjin City, China). KOH was purchased from Taicang Hushi Reagent Co., Ltd (Taicang City, China). Titanium dioxide (P25) was purchased from Evonik Industries (Essen, Germany). All chemicals were analytical grade, and were used as received without further purification.
2.2. Preparation of Samples
2.2.1. Biomass-Derived Photothermal Material
The fallen leaves of plane trees collected in autumn were washed to remove dust and dried at 80 °C. The dried leaves were then crushed into powder and sieved through a 100-mesh sieve, with the resulting powder designated as PL. The powders and KOH were ground and mixed uniformly with a mass ratio of 1:1. The mixed powders were placed in a tube furnace, kept at 450 °C for 1 h, and continued to heat at 5 °C min−1 to 800 °C for 2 h. They then cooled naturally to room temperature. The whole process was carried out under N2 atmosphere. They were washed with distilled water to neutrality, dried at 60 °C overnight, and ground to yield AC-800. For comparison, the PL was carbonized by the same treatment without KOH, and was recorded as C-800.
2.2.2. Light-Absorbing Layer
In total, 30 mg of samples (PL, C-800, AC-800) were separately dispersed in beakers containing 50 mL of a mixed solution of distilled water and ethanol (volume ratio 10:1), followed by ultrasonic treatment for 30 min. Subsequently, the dispersion was deposited onto a porous fiber filter paper (pore size: 1.0–3.0 μm, Shanghai Titan Scientific Co., Ltd., Shanghai, China) via vacuum filtration using a sintered glass funnel. The composite film with a diameter of 39 mm obtained by cutting is referred to as the light-absorbing layer (Figure 1). For comparison, 20 mg and 40 mg of AC-800 were separately taken to prepare light-absorbing layers with different sample loadings according to the above method.
Figure 1.
Digital photograph of the light-absorbing layer.
2.3. Characterizations
The surface functional groups of the materials were characterized by Fourier transform infrared (FTIR) spectroscopy (NicoletIS50, Thermo Fisher Scientific, Waltham, MA, USA). The reflection spectra were performed using an ultraviolet-visible near-infrared (UV-Vis-NIR) spectrophotometer (Lambda 750S, PerkinElmer, Waltham, MA, USA) with an integrating sphere. The absorption spectra were calculated by A = 1-R-T, where R and T represent the reflectance and transmittance, respectively. The transmittance was ignored because of the sample thickness. The water contact angle (WCA) of the sample was determined using a contact Angle meter (DSA100, KRUSS GmbH, Hamburg, Germany) at room temperature. The morphology of the samples was observed by scanning electron microscopy (SEM) (SU3500, Hitachi High-Tech Corporation, Tokyo, Japan), while the elemental composition was determined using an Energy Dispersive Spectrometer (EDX). A simultaneous thermal analyzer (STA449F3, Netzsch-Gerätebau GmbH, Selb, Germany) was used to study the weight loss of the sample from room temperature to 1000 °C at the rate of 5 °C·min−1 under the condition of high-purity nitrogen. The pore structure of the sample was characterized by N2 adsorption–desorption at 77.4 K (Tristar II 3020, Micromeritics Instrument Corporation, Norcross, GA, USA). X-ray diffraction patterns were collected using a LabX XRD-6100 diffractometer (Shimadzu Corporation, Kyoto, Japan) with Cu Kα radiation (λ = 1.5418 Å). The fluorescence properties of the material were characterized using a fluorescence spectrometer (F-320, Tianjin Gangdong SCI.&Tech. Co., Ltd., Tianjin, China). Raman spectrum was acquired using a 532 nm semiconductor laser (LabRAM HR Evolution, Horiba, Ltd., Kyoto, Japan).
2.4. Solar-Driven Steam Generation Test
The light source was provided using a solar simulator (PLS-SXE300, Perfect Light Co., Ltd., Beijing, China) equipped with an AM 1.5 G filter. The light-absorbing layer was placed on the surface of 2 cm thick PS wrapped with cotton gauze, and was then put into a beaker containing water. To reduce heat loss, the beaker was wrapped with PS. The intensity of the light was changed by adjusting the distance between the xenon lamp and the solar absorption layer, and was determined using an optical power meter (PL-MW2000, Perfect Light Co., Ltd., Beijing, China). An electronic analytical balance (BSA224s, Sartorius AG, Göttingen, Germany, Sartorius, accuracy 0.1 mg) was used to monitor the real-time mass change of water. The real-time temperature of the sample was measured using an infrared thermal imager (FOTRIC222s, FOTRIC Inc., Shanghai, China). All solar water evaporation experiments were tested at an ambient temperature of about 25 °C and ambient humidity of about 40%.
2.5. Purified Water Generation by a Solar Still System
The experiment employed a solar still with a 45° inclined surface for vapor condensation and water collection (Figure S1). In the solar vapor generation experiment, the rising vapor condensed into water when it reached the wall of the still, and finally flowed along the wall into the condensation chamber, yielding purified water. In desalination experiments, where an inductively coupled plasma optical emission spectrometer (ICP-OES) (ICP-OES 730, Agilent Technologies, Santa Clara, CA, USA) was utilized to determine the concentration of major cations in both raw seawater and purified water. For simulated wastewater purification experiments, MO and MB solutions with a concentration of 10 mg·L−1 each were employed, and an ultraviolet–visible spectrophotometer was used to monitor the differences between the solution and the purified water.
2.6. Calculation of the Solar-to-Vapor Conversion Efficiency
The solar-to-vapor conversion efficiency (η, %) was calculated using Equation (1):
where is the evaporation rate (to eliminate the influence of natural water evaporation, the evaporation rates measured in the experiment are obtained by subtracting the evaporation rates of water in a dark environment.) and hevap is the evaporation enthalpy of pure water (2257 kJ·kg−1 at 1 atmosphere). Copt is the optical concentration; qi is the nominal direct solar irradiation 1 kW·m−2.
2.7. Photocatalytic Experiments
Photocatalytic experiments were conducted under a solar light intensity of 1 kW/m2. In total, 20 mg of AC-800 sample and 10 mg of P25 were mixed, then poured into a beaker containing 50 mL of water and ultrasonicated for 1 h. Subsequently, vacuum filtration was conducted using a sintered glass funnel to deposit the mixture onto a polytetrafluoroethylene (PTFE) hydrophobic filter membrane, resulting in a P25/AC-800 composite membrane with a diameter of 39 mm. In total, 40 mL of MB solution was poured into a Petri dish with an inner diameter of 80 mm, and the composite membrane was floated on top. Every 30 min, 4 mL of the solution was sampled, and the changes in absorbance of the MB solution were measured using an ultraviolet–visible (UV-Vis) spectrophotometer. For comparison, AC-800 and P25 were separately deposited on PTFE membranes using the same method, and were placed in the MB solution for testing. Meanwhile, the pure MB solution was also tested.
3. Results
3.1. Characterization of Samples
To determine the optimal pyrolysis temperature, the PL was subjected to a thermogravimetric test, as shown in Figure 2. The first weight loss stage occurs between 25 °C and 120 °C, during which adsorbed water and some adsorbed gases are released from the sample. The second weight loss stage takes place from 120 °C to approximately 330 °C, involving the loss of volatile organic compounds. The sample starts to carbonize at 400 °C, and, from 700 °C onwards, its weight loss rate begins to plateau. Based on this, 450 °C is selected as the initial pyrolysis temperature and 800 °C as the final one.
Figure 2.
Thermogravimetric curves of PL.
The chemical groups of the samples were characterized by FTIR. As shown in Figure 3, compared with PL, the peaks of C-800 and AC-800 around 3438 cm−1, 1629 cm−1, and 1058 cm−1 were weakened, while the peak at 2922 cm−1 disappeared. It is known that the peak at 3438 cm−1 is attributed to the stretching and bending vibrations of hydroxyl groups (-OH). The peak at 1629 cm−1 is ascribed to the C=O stretching vibration, and the peak at 1058 cm−1 is assigned to the C-O stretching vibration. In conclusion, the FTIR results indicate that, after high-temperature treatment, C-800 and AC-800 still retain a certain amount of oxygen-containing functional groups.
Figure 3.
FTIR spectra of PL, C-800, and AC-800.
To investigate the pore structure of the materials, nitrogen adsorption–desorption tests were performed on C-800 and AC-800 at 77 K (Figure 4). The adsorption–desorption isotherm of the C-800 sample indicates that it contains only micropores, and the adsorption capacity reaches saturation rapidly. The adsorption–desorption isotherm of the AC-800 sample is of type IV with an H4-type hysteresis loop, which is a typical characteristic of mesoporous materials. Meanwhile, the sharp increase in adsorption capacity at low pressure ranges indicates the presence of micropores in AC-800 as well. According to the BET surface area and pore structure parameters in Table 1, C-800 exhibits a low specific surface area of only 30.44 m2·g−1 and a small total pore volume of 0.0056 cm3·g−1. In sharp contrast, AC-800 possesses a remarkably high specific surface area of up to 1335.58 m2·g−1, with a total pore volume of 0.4005 cm3·g−1—among which the micropore volume (0.3384 cm3·g−1) is slightly larger than the mesopore volume (0.2860 cm3·g−1). This result demonstrates that, during the pyrolysis of PL, the addition of the activating agent KOH can enable the material to form a larger specific surface area and a more abundant pore structure due to its etching effect [,].
Figure 4.
N2 adsorption/desorption isotherms of C-800 and AC-800.
Table 1.
The BET surface area and pore structure parameters of C-800 and AC-800.
The XRD patterns of C-800 and AC-800 are presented in Figure S2. Both samples exhibit broadened diffraction peaks at approximately 2θ = 23° and 43°, which correspond to the (002) and (100) crystal plane diffraction signals of the graphite phase, respectively. Based on the peak shape characteristics, it can be concluded that both materials are dominated by amorphous carbon []. Notably, the XRD pattern of AC-800 shows two distinct differences: first, the overall peak intensity is weaker, indicating a reduction in the number of ordered carbon domains; second, the (002) diffraction peak shifts toward lower 2θ angles. According to Bragg’s law (2d002sin θ = λ, where λ is the X-ray wavelength), this low-angle shift directly signifies an increase in the interlayer spacing (d002) of AC-800. Since the d002 value is inversely related to the graphitization degree, this structural change confirms that AC-800 has a lower graphitization degree compared to C-800. The Raman spectrum (Figure S3) further validates this conclusion. C-800 and AC-800 show two characteristic peaks at 1340 and 1585 cm−1, corresponding to disordered (D-band) and ordered (G-band) graphite carbon, respectively []. The disorder degree of carbon materials is typically quantified by the ID/IG ratio (integral intensity ratio of D–G peaks), where a higher ratio indicates stronger disorder and lower graphitization degree. After activation treatment, the ID/IG ratio increases from 1.03 in C-800 to 1.07 in AC-800. This change is fully consistent with the XRD analysis, collectively confirming that the activation process enhances the structural disorder of carbon materials, leading to reduced graphitization degree.
The surface pore structure of the materials was observed by SEM. The microstructure of the porous fiber filter paper is composed of multiple interwoven fibers, with large gaps between some fibers (Figure 5a). It can be inferred that using filter paper as a medium is conducive to water transport. Subsequently, tests were conducted on the light-absorbing layers loaded with 30 mg of different samples. Since the material covered the upper surface of the filter paper, the lower surface remained as filter paper. Only the upper surface was tested. As can be seen from Figure 5b, the PL presents an irregular flake structure. After carbonization at 800 °C, the surface of its flake structure becomes rough (Figure 5c). As depicted in Figure 5d, AC-800 has abundant pore structures, which arises from the reaction between biomass and KOH at high temperatures. The above results are consistent with the BET test data. In addition, the water contact angles of the light-absorbing layers were tested (Figure 6). The results show that the water contact angles of PL, C-800, and AC-800 are 118°, 98°, and 85°, respectively. It can be observed that C-800 and AC-800 are more hydrophilic than PL, which may be attributed to the decomposition of the hydrophobic wax layer on the material surface during the heating process.
Figure 5.
SEM image of (a) filter paper, (b) PL, (c) C-800, and (d) AC-800.
Figure 6.
The water contact angles of the light-absorbing layers of PL (a), C-800 (b), and AC-800 (c).
The absorption rate of materials across the entire solar spectral range (200–2500 nm) directly affects their photothermal conversion efficiency. As shown in Figure 7, the biomass material PL exhibits high absorbance in the ultraviolet region. However, its absorbance gradually decreases in the visible-near-infrared region, reaching a minimum of 14% at 1100 nm. Although it increases slightly afterward, it remains at a relatively low level. Both C-800 and AC-800 show strong absorption capacity across the entire solar spectrum. In comparison, the absorbance of AC-800 (91%) is slightly higher than that of C-800 (88%). This may be due to the rich pore structure of AC-800. From a microscopic perspective, light can undergo multiple reflections within the pores of porous materials, thereby enhancing the light absorption rate of the materials [,].
Figure 7.
UV-Vis-NIR spectra of samples.
3.2. Solar-Driven Steam Generation Performance of Samples
The SSG performance of the materials was investigated using a specific wicking-structured device, with its schematic diagram shown in Figure 8. The powder sample was deposited onto a porous fibrous filter paper via vacuum filtration to form a light-absorbing layer; this layer can effectively absorb solar energy and convert it into thermal energy, providing the required energy for water evaporation. The light-absorbing layer was placed on PS wrapped with cotton gauze. The PS serves both as a support and a thermal insulator, which can reduce heat loss to the surrounding environment and allow for more heat to be concentrated on the water evaporation process. On the other hand, the cotton gauze is responsible for water transport. By virtue of capillary action, it continuously transports water from the bottom of the device to the surface of the light-absorbing layer, ensuring the continuous progress of the water evaporation process.
Figure 8.
Schematic diagram of the solar-driven steam generation test device.
To further reduce heat loss, the test beaker was placed in a polystyrene insulating ring. Meanwhile, the impact of the insulating ring on the solar-driven water evaporation performance was studied, and the relevant results are shown in Figure S4. In the dark, the natural evaporation rate of water was only 0.1548 kg·m−2·h−1. Under 1 sun irradiation, the water evaporation rate increased significantly to 0.4575 kg·m−2·h−1 after the addition of the insulation ring (Figure S4a). Meanwhile, the surface temperature of the water rose from 24.5 °C to 31.3 °C, an increase of 6.8 °C, whereas the surface temperature of the water without the insulation ring increased by only 1 °C (Figure S4b). It can be concluded that adding an insulation ring outside the beaker can effectively reduce heat loss and help improve water evaporation performance. Therefore, subsequent tests will use this device.
To optimize the material dosage, the solar-driven water evaporation performance of light-absorbing layers with different AC-800 loading amounts (20, 30, and 40 mg) was tested. Figure S5 shows the water evaporation rates of AC-800 with different loading amounts under 1 sun irradiation. The results indicate that the water evaporation rate of the light-absorbing layer reaches the maximum value when the loading amount is 30 mg. This may be because an excessively low loading amount leads to poor photothermal conversion performance, while an overly thick material hinders water transport and supply. Therefore, the light-absorbing layer with a loading amount of 30 mg was selected as the research object to investigate its solar-driven water evaporation performance. Figure 9a presents the curves of the sample’s water evaporation amount versus time under solar driving. Under 1 sun irradiation, the evaporation rates of PL and C-800 are 1.0789 kg·m−2·h−1 and 1.3945 kg·m−2·h−1, respectively. The evaporation rate of AC-800 reaches the highest at 1.5441 kg·m−2·h−1, which is 3.38 times that of pure water. This is attributed to AC-800’s excellent light absorption, abundant pore structure, and high hydrophilicity.
Figure 9.
Under 1 kW·m−2: (a) mass change of water and (b) surface temperature evolution of the samples over time; (c) infrared images of the samples.
Meanwhile, an infrared camera was used to observe the surface temperature changes in the samples during water evaporation, aiming to investigate the local photothermal behavior. The results are shown in Figure 9b,c. At the beginning of illumination, the surface temperatures of PL, C-800, and AC-800 rose rapidly. After 3 min, they reached 41 °C, 45.2 °C, and 43.6 °C, respectively. Obviously, the surface temperatures of AC-800 and C-800 were both higher than that of PL, which could be attributed to their high light absorption. With continuous irradiation, after 60 min, the temperatures of PL, C-800, and AC-800 were 43 °C, 47.6 °C, and 48.3 °C, respectively. Then we turned off the light and measured the changes in the surface temperature of the samples. After 5 min, the final surface temperatures of PL, C-800, and AC-800 dropped rapidly to 28.6 °C, 27.3 °C, and 29 °C, respectively. This indicates that the materials possess excellent dynamic response characteristics in photothermal conversion.
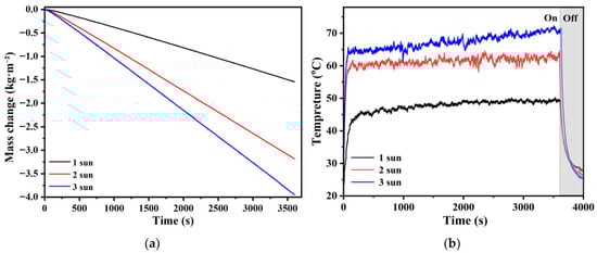
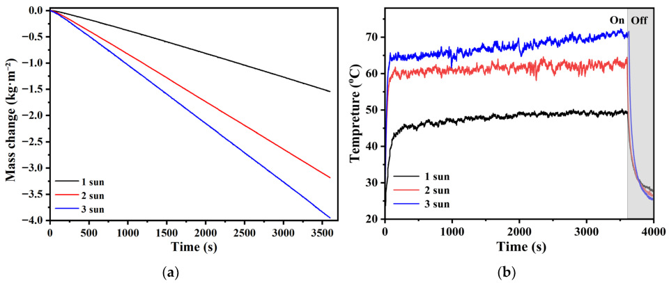
To investigate the effect of light intensity on surface temperature and water evaporation performance, AC-800 was subjected to 1 h tests under varied light intensities (1, 2, and 3 kW·m−2), with results presented in Figure 10a–c. Water evaporation rate increased monotonically with light intensity, reaching 1.54, 3.19, and 3.95 kg·m−2·h−1 at 1, 2, and 3 kW·m−2, respectively, accompanied by a corresponding rise in surface temperature under higher illumination. Solar-to-vapor conversion efficiency, calculated via Formula (1), peaked at 94.0% under 2 kW·m−2, with values of 87.1% and 79.3% at 1 and 3 kW·m−2, respectively—indicating an optimal balance between photothermal conversion and heat loss mitigation at moderate light intensity. Cyclic stability—a key performance metric for practical solar-driven evaporation systems—was evaluated via ten consecutive cycles (Figure 10d). Across all cycles, the evaporation rate showed minimal variability, with values ranging from 1.4772 to 1.6052 kg·m−2·h−1. Replicate measurements yielded a relative standard deviation (RSD) of 2.51%, confirming low dispersion in experimental data and reproducibility. These results underscore both the robust stability of the material’s performance and the reliability of the testing protocol.

Figure 10.
Mass change of water (a), surface temperature change (b), and evaporation rates and efficiency (c) of AC-800 under different light intensities under solar illumination; (d) evaporation cycle performance of AC-800 under 1 sun irradiation.
In practical application scenarios, solar energy is mainly used to drive the evaporation of seawater or wastewater to obtain drinking water. Therefore, we separately investigated the water evaporation performance and solar vapor conversion efficiency of AC-800 for seawater and organic dye-simulated wastewater under 1 sun intensity. As shown in Figure 11a,b, the evaporation rates for MO solution, MB solution, and seawater are 1.5202 kg·m−2·h−1, 1.5281 kg·m−2·h−1, and 1.4669 kg·m−2·h−1, respectively, with solar-to-vapor conversion efficiencies of 85.6%, 86.1%, and 82.3% accordingly, which are slightly lower than those of pure water. The ICP-OES test results of seawater before and after desalination are shown in Figure 11c. The concentrations of K+, Ca2+, Na+, and Mg2+ in the desalinated seawater are all lower than 10 mg·L−1, which is far below the drinking water standards established by the World Health Organization (WHO). To evaluate the desalination cyclic stability of AC-800, a consecutive ten-cycle test was conducted (with 1 h of solar irradiation per cycle), and the results are presented in Figure 11d. The outcomes indicate that the relative standard deviation (RSD) of AC-800’s solar-driven water evaporation performance fluctuation is only 2.36%, confirming that the material maintains stable performance throughout multiple cycles. In addition, Figure S6 illustrates the variation in the AC-800’s evaporation rate during a single continuous 10 h solar-driven operation. Over the course of the test, the evaporation rate exhibits a steady downward trend (decreasing from 1.5055 to 1.3027 kg·m−2·h−1), and this phenomenon is primarily attributed to the accumulation of salt on the material’s surface and within its internal pores (see the inset of Figure S6). Fortunately, after soaking the device in deionized water overnight, almost no obvious salt particles are visible on the surface of the photothermal layer (Figure S7). The qualitative characterization of simulated organic wastewater and purified water collected after solar-driven evaporation is shown in Figure S8. No obvious characteristic peaks are detected in the UV-Vis spectrum of the purified water, and the color changes from colored to colorless. This indicates that biomass-based carbon materials have good purification ability for organic wastewater.
Figure 11.
Mass change (a) and evaporation efficiency (b) of different water under 1 solar illumination; (c) contrast diagram of the cationic concentration before and after desalination; (d) seawater evaporation cycle performance.
3.3. Photothermal–Photocatalytic Synergistic Performance in Wastewater Purification
Although biomass-based photothermal conversion materials can efficiently obtain pure water from organic wastewater, they commonly suffer from insufficient photocatalytic activity—a key limitation that directly leads to the abnormal accumulation of organic pollutants on the light-absorbing layer surface and in the original wastewater. This accumulation may not only reduce evaporation efficiency, but also cause secondary pollution []. Therefore, achieving in situ degradation of pollutants and developing integrated “photothermal-photocatalytic degradation” technology have become one of the approaches to enhance the practical value of such materials [,,]. Based on this concept, we mechanically composited AC-800, which exhibits good photothermal conversion capability, with P25, which demonstrates good photodegradation capability, to prepare P25/AC-800, and conducted structural characterization and performance testing. Figure S9 shows the XRD patterns of P25, AC-800, and P25/AC-800. From the figure, P25 is observed to exhibit a mixed crystalline structure consisting of anatase and rutile phases, with its characteristic diffraction peaks at 25.3°, 27.46°, 37.8°, 48.05°, and 54.03° being consistent with the standard TiO2 data (JCPDS No. 21-1272 and JCPDS No. 21-1276). For the XRD pattern of P25/AC-800, it exhibits both the characteristic diffraction peaks of P25 and the broadened characteristic peaks of amorphous carbon from AC-800 (2θ ≈ 23°), with no new impurity diffraction peaks detected therein. This result has confirmed the successful composite formation of P25 and AC-800. SEM images (Figure S10) reveal that P25 nanoparticles are dispersed both on the surface and within the pores of AC-800. The EDX analysis reveals that P25/AC-800 is primarily composed of C, O, and Ti elements (Figure S11). To investigate the light-absorption capacity of the materials, UV-Vis absorbance tests were conducted on P25 and P25/AC-800 in the 200–800 nm range. As shown in Figure S12, P25 exhibits strong absorption only in the UV region, while the incorporation of carbon material significantly enhances its absorbance in the visible region.
To evaluate the photothermal conversion performance of the materials, the prepared membrane samples (P25, AC-800, and P25/AC-800) were directly exposed to one sun irradiation. After 15 min of illumination, the maximum temperatures of P25, AC-800, and P25/AC-800 reached 38.8 °C, 107.2 °C, and 104.4 °C, respectively (Figure S13). Under wet conditions (with the membrane floating on an MB solution), after 40 min of illumination, the surface temperatures of P25, AC-800, and P25/AC-800 increased by 7.5 °C, 13.7 °C, and 14.1 °C, respectively (Figure 12a). These results indicate that P25 has low photothermal conversion capability and is not suitable for standalone application in solar-driven water evaporation, while the incorporation of a small amount of photocatalyst (P25) did not significantly compromise the inherent photothermal conversion performance of AC-800.
Figure 12.
Under 1 sun irradiation, (a) curves of surface temperature of P25 membrane, AC-800 membrane, and P25/AC-800 composite membrane in the wet state versus irradiation time, and (b) photodegradation of MB solution in the presence of P25 membrane, AC-800 membrane, P25/AC-800 composite membrane, and in the absence of any catalyst.
Meanwhile, we also monitored the variations in absorbance of the MB solution under irradiation over time for different materials. As shown in Figure S14, the absorbance decreased with prolonged irradiation time. To evaluate photocatalytic activity, the absorbance of the MB solution was measured at a wavelength of 664 nm. As shown in Figure 12b, the photodegradation efficiencies of AC-800, P25, and P25/AC-800 were 43%, 78%, and 81%, respectively. This demonstrates that the addition of a small amount of P25 significantly enhanced the photodegradation capability of AC-800. To preliminarily investigate the photodegradation mechanism of the material, photoluminescence tests were conducted on P25/AC-800, AC-800, and P25 at an excitation wavelength of 300 nm (Figure S15). P25 exhibited the highest fluorescence intensity, indicating a high electron-hole recombination rate and low photogenerated carrier separation efficiency. After compositing with AC-800, the fluorescence intensity of P25 significantly decreased, suggesting that carbon modification effectively suppresses electron-hole recombination. A lower electron-hole recombination rate implies the higher separation efficiency of photogenerated carriers, thereby enhancing the photocatalytic performance of the composite [,]. Additionally, during illumination, the surface temperature of the composite was significantly higher than that of P25 alone. The temperature increase can accelerate the reaction rate [], further improving the catalytic degradation efficiency. This photothermal–photocatalytic synergistic effect provides new insights for enhancing photocatalytic performance and expanding the applications of photothermal conversion materials [].
4. Discussion
The present study systematically evaluates the solar-driven water evaporation performance of AC-800, a biomass-derived carbon material, and its synergistic photothermal–photocatalytic efficacy, yielding several key findings that advance our understanding of sustainable water purification technologies.
The successful conversion of waste autumn plane tree leaves into AC-800 via KOH activation at 800 °C not only realizes the valorization of agricultural waste, but also endows the material with structural and functional advantages critical for photothermal conversion. AC-800’s high solar light absorption, abundant porous structure, and favorable hydrophilicity form a synergistic ensemble: the porous framework facilitates light trapping (boosting energy absorption) and vapor escape, while hydrophilicity promotes uniform water spreading across the evaporation interface. These traits, coupled with the heat-collecting capability of the wicking-structured device (where PS enables thermal management and cotton gauze supports water transport), directly drive its exceptional evaporation performance. Under 1 sun, AC-800 achieves an evaporation rate of 1.5441 kg·m−2·h−1 and a solar-to-vapor conversion efficiency of 87.1%, which outperforms most reported biomass-derived carbons under identical test conditions (Table 2).
Table 2.
Solar steam generation performance of different carbonized biomass-based materials under 1 sun illumination.
In practical use, AC-800 maintains strong performance in seawater and organic wastewater, with desalted seawater meeting WHO drinking standards and organic dye removal from wastewater in distilled water reaches ~100%. During seawater desalination, a ten-cycle stability test shows that the material has a performance relative standard deviation (RSD) of 2.36%. This is attributed to its cross-linked porous carbon framework. Evaporation rate declining during continuous operation is a common challenge in interfacial evaporation, caused by salt deposition, which weakens light absorption and blocks water channels [,]. AC-800 is capable of meeting the daytime desalination demands of island regions. For future work, we will focus on verifying its cyclic stability in complex aqueous systems (e.g., industrial mixed wastewater) and exploring its performance under real-world environmental conditions (such as daily fluctuations in solar intensity, wind effects, and dust deposition). Furthermore, to address the key bottleneck of dye accumulation in feed wastewater, this study proposes a photothermal–photocatalytic synergistic strategy: through photothermal–photocatalytic synergy, the degradation rate of MB dye by P25/AC-800 (81%) is significantly higher than that by pure AC-800 (43%), but only slightly higher than the photocatalytic degradation performance of pure P25 (78%). This performance difference comprehensive analysis in conjunction with the microstructural characteristics of the composite: from the SEM characterization results (Figure S10), it can be observed that P25 nanoparticles exhibit obvious agglomeration on the surface of AC-800, and some particles are accumulated inside its pores. Such agglomeration not only reduces the effective absorption efficiency of incident light by P25 (particles inside the agglomerates have difficulty accessing the light source), but also decreases the exposure of photocatalytic active sites on the P25 surface. Meanwhile, it may hinder the efficient synergy between the photothermal effect of AC-800 and the photocatalytic effect of P25; with the combination of these two factors, the performance improvement of P25/AC-800 ultimately falls short of expectations. In subsequent related studies, it is necessary to further optimize the composite preparation process (e.g., the in situ growth method) to significantly improve the loading uniformity of P25 on the surface of the carbon material (AC-800), thereby fully unleashing the synergistic potential of the material. This photothermal–photocatalytic synergistic mechanism provides a new insight for expanding the application of photothermal conversion materials in environmental remediation scenarios such as organic pollutant degradation.
Notably, AC-800 is prepared using waste plane tree leaves as the precursor, which naturally aligns with the circular economy concept. Compared with synthetic carbon materials (e.g., graphene, carbon nanotubes) or fossil-based activated carbons, its core advantage lies in the nearly zero-cost nature of the plane tree leaf precursor. However, the preparation process of AC-800 still involves notable environment-related challenges: on one hand, the activation process under high-temperature conditions (800 °C) inherently features high energy consumption, a common issue in the pyrolytic activation of biomass-derived carbon materials; on the other hand, when KOH chemical activation is adopted in the experiment, subsequent washing of the material to neutral pH generates liquid waste containing alkalis and salts. If not properly treated, this waste may easily impose an environmental burden.
To address the wastewater issue caused by the aforementioned KOH activation, subsequent processes can utilize AC-800’s core application technology—SSG—as a solution: this technology can efficiently recover water from wastewater, and the recovered water can be directly reused in the washing step during the preparation of subsequent AC-800 batches. Meanwhile, as water evaporates, by-products in the wastewater (such as unreacted KOH) are concentrated, and these concentrated KOH solutions can be reused in the activation process of new batches of biomass, thereby significantly reducing chemical reagent consumption. This complete closed-loop system—“preparation (KOH activation)-application (photothermal evaporation)-wastewater treatment (wastewater recovery)-resource recycling (water and KOH reuse)”—will effectively mitigate the environmental impact of the chemical activation process.
5. Conclusions
In summary, this study successfully addressed its core research objectives by valorizing urban waste resources: autumn-fallen plane tree leaves were converted into the high-performance photothermal material AC-800 via KOH-assisted activation at 800 °C, realizing waste-to-resource conversion to enhance the sustainability of solar steam generation (SSG) systems. KOH activation effectively tailored AC-800’s porous architecture beyond the intrinsic limitations of natural biomass, endowing it with a well-developed porous structure (SBET = 1335.58 m2·g−1) and strong solar absorption capacity (91%)—key traits that boosted solar absorption efficiency and accelerated water transport kinetics.
The AC-800 membrane, fabricated via simple vacuum filtration as the photothermal conversion layer, exhibited excellent SSG performance in a self-developed solar-driven interfacial evaporation system: under 1 kW·m−2 illumination, it achieved a water evaporation rate of 1.5441 kg·m−2·h−1 and a solar-to-vapor conversion efficiency of 87.1%. In practical scenario validation, AC-800 met the targeted application requirements: cations in seawater desalination distillate complied with WHO drinking water standards, maintained good cyclic stability (10-cycle RSD = 2.36%), and achieved nearly 100% organic dye removal in wastewater treatment. To solve the critical bottleneck of dye accumulation in raw wastewater, the proposed photothermal–photocatalytic synergy (by combining AC-800 with catalysts) enhanced the dye degradation rate to 81%, effectively mitigating residual pollutants from single photothermal processes. Collectively, these results confirm that AC-800—with its low cost (waste leaf precursor), environmental friendliness, and versatile functionality—significantly advances biomass-based photothermal materials.
Supplementary Materials
The following supporting information can be downloaded at: https://www.mdpi.com/article/10.3390/su17188513/s1, Figure S1: Distillation unit for steam condensation and water collection; Figure S2: XRD patterns of C-800 and AC-800; Figure S3: Raman spectra of C-800 and AC-800; Figure S4: (a) Mass change and (b) surface temperatures change in pure water over time; Figure S5: The water evaporation rate of AC-800 with different loadings under 1 sun illumination; Figure S6: Variation in the evaporation rate of AC-800 during 10 consecutive hours of continuous operation. Insets: Digital photographs of AC-800 recorded at 0 h, 3 h, 6 h, and 10 h of continuous operation, respectively; Figure S7: Images of the device before and after being immersed in deionized water overnight; Figure S8: Absorption spectra of (a) MO and (b) MB solutions and their corresponding solar-driven distilled purified water, with the inset showing photographs of the solutions and purified water; Figure S9: XRD patterns of P25/AC-800, AC-800 and P25; Figure S10: SEM images of (a) P25, (b) P25/AC-800 at low magnification, and (c) P25/AC-800 at high magnification; Figure S11: The corresponding EDX mapping of C, O and Ti in P25/AC-800; Figure S12: UV-Vis spectra of samples; Figure S13: Under one sun irradiation, the maximum temperatures of samples P25 membrane (a), AC-800 membrane (b), and P25/AC-800 composite membrane (c) in the dry state after 15 min of irradiation; Figure S14: UV-Vis spectra of MB solutions in the absence of any photocatalysts (a), in the presence of P25 membrane (b), AC-800 membrane (c), and P25/AC-800 composite membrane (d) with different irradiation time; Figure S15: Photoluminescence spectra under 300 nm laser excitation.
Author Contributions
Conceptualization, J.-B.W. and M.-X.G.; methodology, J.-B.W. and M.-X.G.; software, J.-B.W. and M.-X.G.; validation, M.-X.G., H.-L.F., G.-P.H., and Q.-Q.G.; formal analysis, J.-B.W., M.-X.G., H.-L.F. and F.-H.L.; data curation, J.-B.W. and M.-X.G.; writing—original draft preparation, J.-B.W. and M.-X.G.; writing—review and editing, J.-B.W., H.-L.F., G.-P.H., F.-H.L., Q.-Q.G., and M.-X.G.; project administration, M.-X.G. All authors have read and agreed to the published version of the manuscript.
Funding
This research was funded by the National Natural Science Foundation of China (21875059), the Natural Science Foundation of Shandong Province (ZR2017BB063; ZR2018MB037), and the Doctoral Fund of Heze University (XY21BS23; XY21BS21).
Institutional Review Board Statement
Not applicable.
Informed Consent Statement
Not applicable.
Data Availability Statement
Data supporting the findings of this study are included in the Article and its Supplementary Information. Further inquiries can be directed to the corresponding author.
Conflicts of Interest
The authors declare no conflicts of interest.
References
- Höök, M.; Tang, X. Depletion of fossil fuels and anthropogenic climate change—A review. Energy Policy 2013, 52, 797–809. [Google Scholar] [CrossRef]
- Aqachmar, Z.; Ben Sassi, H.; Lahrech, K.; Barhdadi, A. Solar technologies for electricity production: An updated review. Int. J. Hydrogy Energy 2021, 46, 30790–30817. [Google Scholar] [CrossRef]
- Kabir, E.; Kumar, P.; Kumar, S.; Adelodun, A.A.; Kim, K.-H. Solar energy: Potential and future prospects. Renew. Sustain. Energy Rev. 2018, 82, 894–900. [Google Scholar] [CrossRef]
- Ghalambaz, M.; Sheremet, M.; Fauzi, M.A.; Fteiti, M.; Younis, O. A scientometrics review of solar thermal energy storage (STES) during the past forty years. J. Energy Storage 2023, 66, 107266. [Google Scholar] [CrossRef]
- Karami, S.; Roghabadi, F.A.; Maleki, M.; Ahmadi, V.; Sadrameli, S.M. Materials and structures engineering of sun-light absorbers for efficient direct solar steam generation. Sol. Energy 2021, 225, 747–772. [Google Scholar] [CrossRef]
- Dao, V.-D.; Vu, N.H.; Yun, S. Recent advances and challenges for solar-driven water evaporation system toward applications. Nano Energy 2020, 68, 104324. [Google Scholar] [CrossRef]
- Ghasemi, H.; Ni, G.; Marconnet, A.M.; Loomis, J.; Yerci, S.; Miljkovic, N.; Chen, G. Solar steam generation by heat localization. Nat. Commun. 2014, 5, 4449. [Google Scholar] [CrossRef]
- Mao, K.; Zhang, Y.; Tan, S.C. Functionalizing solar-driven steam generation towards water and energy sustainability. Nat. Water. 2025, 3, 144–156. [Google Scholar] [CrossRef]
- Singh, S.C.; ElKabbash, M.; Li, Z.; Li, X.; Regmi, B.; Madsen, M.; Jalil, S.A.; Zhan, Z.; Zhang, J.; Guo, C. Solar-trackable super-wicking black metal panel for photothermal water sanitation. Nat. Sustain. 2020, 3, 938–946. [Google Scholar] [CrossRef]
- Kashyap, V.; Ghasemi, H. Solar heat localization: Concept and emerging applications. J. Mater. Chem. A 2020, 8, 7035–7065. [Google Scholar] [CrossRef]
- Huang, Z.; Liu, Y.; Li, S.; Lee, C.-S.; Zhang, X.-H. From Materials to Devices: Rationally Designing Solar Steam System for Advanced Applications. Small Methods 2022, 6, 2200835. [Google Scholar] [CrossRef]
- Farid, M.U.; Kharraz, J.A.; Wang, P.; An, A.K. High-efficiency solar-driven water desalination using a thermally isolated plasmonic membrane. J. Clean. Prod. 2020, 271, 122684. [Google Scholar] [CrossRef]
- Yang, B.; Li, C.; Wang, Z.; Dai, Q. Thermoplasmonics in Solar Energy Conversion: Materials, Nanostructured Designs, and Applications. Adv. Mater. 2022, 34, 2107351. [Google Scholar] [CrossRef]
- Yang, F.; Bao, Z.; Liang, Z.; He, G.; Li, J.; Liang, Q.; Li, J.; Luo, S.; Liu, Y. Black Silver-Decorated liquid metal nanofillers coupled with Glycerol-Modified hydrogel composites for high efficiency solar steam generation and thermoelectric conversion. Chem. Eng. J. 2024, 490, 151815. [Google Scholar] [CrossRef]
- Zhang, J.; Yang, Y.; Zhao, J.; Dai, Z.; Liu, W.; Chen, C.; Gao, S.; Golosov, D.A.; Zavadski, S.M.; Melnikov, S.N. Shape tailored Cu2ZnSnS4 nanosheet aggregates for high efficiency solar desalination. Mater. Res. Bull. 2019, 118, 110529. [Google Scholar] [CrossRef]
- Bai, Z.; Xu, H.; Li, G.; Yang, B.; Yao, J.; Guo, K.; Wang, N. MoS2 Nanosheets Decorated with Fe3O4 Nanoparticles for Highly Efficient Solar Steam Generation and Water Treatment. Molecules 2023, 28, 1719. [Google Scholar] [CrossRef]
- Vasquez, K.J.F.; Meireles, C.d.S.; Bacelos, M.S.; Andrade, G.R.S. Highly efficient interfacial solar steam generation using carbonized loofah-Cu2O composite. J. Alloys Compd. 2025, 1030, 180883. [Google Scholar] [CrossRef]
- Toyoda, M.; Inagaki, M. Carbon materials for solar steam-generation. Carbon 2023, 214, 118373. [Google Scholar] [CrossRef]
- Hu, S.; Qin, L.; Yi, H.; Lai, C.; Yang, Y.; Li, B.; Fu, Y.; Zhang, M.; Zhou, X. Carbonaceous Materials-Based Photothermal Process in Water Treatment: From Originals to Frontier Applications. Small 2024, 20, 2305579. [Google Scholar] [CrossRef] [PubMed]
- Ndagijimana, P.; Cui, B.; Zhang, X.; Nkinahamira, F.; Rong, H.; Guo, D.; Rugabirwa, B.; Hakizimana, J.C.; Ndokoye, P.; Nizeyimana, J.C. Advances in carbon-based materials for solar-driven steam generation, desalination and water treatment. Desalination 2025, 593, 118192. [Google Scholar] [CrossRef]
- Zhou, X.; Guo, Y.; Zhao, F.; Yu, G. Hydrogels as an Emerging Material Platform for Solar Water Purification. Acc. Chem. Res. 2019, 52, 3244–3253. [Google Scholar] [CrossRef]
- Chen, J.; Xie, Y.; Tian, M.; Tian, J.; Liang, Z.; Xie, H.; Lv, M. Cellulose-derived hydrogel with low vaporization enthalpy enables highly efficient solar steam generation. Carbohydr. Polym. 2025, 356, 123385. [Google Scholar] [CrossRef]
- Li, Z.; Wei, S.; Ge, Y.; Zhang, Z.; Li, Z. Biomass-based materials for solar-powered seawater evaporation. Sci. Total Environ. 2023, 858, 160003. [Google Scholar] [CrossRef]
- Ivan, M.N.A.S.; Saha, S.; Saleque, A.M.; Ahmed, S.; Thakur, A.K.; Bai, G.; Miao, Z.; Saidur, R.; Tsang, Y.H. Progress in interfacial solar steam generation using low-dimensional and biomass-derived materials. Nano Energy 2024, 120, 109176. [Google Scholar] [CrossRef]
- Zhu, M.; Li, Y.; Chen, G.; Jiang, F.; Yang, Z.; Luo, X.; Wang, Y.; Lacey, S.D.; Dai, J.; Wang, C.; et al. Tree-Inspired Design for High-Efficiency Water Extraction. Adv. Mater. 2017, 29, 1704107. [Google Scholar] [CrossRef]
- Zhang, F.; Qi, Z.; Wu, X.; Yang, K.; Cai, H.; Iqbal, W.; Zhang, J. Simple carbonization of sorghum straw: A Janus structure for highly efficient solar interface water evaporation. Mater. Today Chem. 2025, 45, 102618. [Google Scholar] [CrossRef]
- Jang, H.; Choi, J.; Lee, H.; Jeon, S. Corrugated Wood Fabricated Using Laser-Induced Graphitization for Salt-Resistant Solar Steam Generation. ACS Appl. Mater. Interfaces 2020, 12, 30320–30327. [Google Scholar] [CrossRef]
- Xu, N.; Hu, X.; Xu, W.; Li, X.; Zhou, L.; Zhu, S.; Zhu, J. Mushrooms as Efficient Solar Steam-Generation Devices. Adv. Mater. 2017, 29, 1606762. [Google Scholar] [CrossRef]
- Zhu, M.; Yu, J.; Ma, C.; Zhang, C.; Wu, D.; Zhu, H. Carbonized daikon for high efficient solar steam generation. Sol. Energy Mater. Sol. Cells 2019, 191, 83–90. [Google Scholar] [CrossRef]
- Ivan, M.N.A.S.; Saleque, A.M.; Ahmed, S.; Guo, Z.L.; Zu, D.; Xu, L.; Alam, T.I.; Hani, S.U.; Tsang, Y.H. Jute stick derived self-regenerating sustainable solar evaporators with different salt mitigation mechanisms for highly efficient solar desalination. J. Mater. Chem. A 2023, 11, 3961–3974. [Google Scholar] [CrossRef]
- Fang, J.; Liu, J.; Gu, J.; Liu, Q.; Zhang, W.; Su, H.; Zhang, D. Hierarchical Porous Carbonized Lotus Seedpods for Highly Efficient Solar Steam Generation. Chem. Mater. 2018, 30, 6217–6221. [Google Scholar] [CrossRef]
- Feng, Z.; OuYang, X.; Zhou, S.; Wang, J.; Lu, F.; Wang, S.; Deng, Q. Carbonized sunflower stalks with or without storage tissue for highly efficient water purification and desalination. J. Environ. Chem. Eng. 2023, 11, 110284. [Google Scholar] [CrossRef]
- Sun, Y.; Zhao, Z.; Zhao, G.; Wang, L.; Jia, D.; Yang, Y.; Liu, X.; Wang, X.; Qiu, J. High performance carbonized corncob-based 3D solar vapor steam generator enhanced by environmental energy. Carbon 2021, 179, 337–347. [Google Scholar] [CrossRef]
- Zeng, L.; Deng, D.; Zhu, L.; Wang, H.; Zhang, Z.; Yao, Y. Biomass photothermal structures with carbonized durian for efficient solar-driven water evaporation. Energy 2023, 273, 127170. [Google Scholar] [CrossRef]
- Xu, Y.; Tang, C.; Ma, J.; Liu, D.; Qi, D.; You, S.; Cui, F.; Wei, Y.; Wang, W. Low-Tortuosity Water Microchannels Boosting Energy Utilization for High Water Flux Solar Distillation. Environ. Sci. Technol. 2020, 54, 5150–5158. [Google Scholar] [CrossRef]
- Fang, Q.; Li, T.; Chen, Z.; Lin, H.; Wang, P.; Liu, F. Full Biomass-Derived Solar Stills for Robust and Stable Evaporation To Collect Clean Water from Various Water-Bearing Media. ACS Appl. Mater. Interfaces 2019, 11, 10672–10679. [Google Scholar] [CrossRef]
- Tian, Y.; Liu, X.; Wang, Z.; Caratenuto, A.; Chen, F.; Wan, Y.; Zheng, Y. Carbonized cattle manure-based photothermal evaporator with hierarchically bimodal pores for solar desalination in high-salinity brines. Desalination 2021, 520, 115345. [Google Scholar] [CrossRef]
- Lv, B.; Yang, S. Turning Corn Stalk Trashes into a Photothermal Agent for Interfacial Solar Water Evaporation for Sustainable Water Purification. Energy Technol. 2025, 13, 2401534. [Google Scholar] [CrossRef]
- Mahjoub, F.; Naghdi, B.; Roghabadi, F.A. Self-cleaning solar steam generator based on engineered carbonized waste tea photothermal layer. Clean. Mater. 2025, 17, 100327. [Google Scholar] [CrossRef]
- Padilla-Martínez, E.D.; Pérez-Buendía, S.K.; López-Sandoval, R.; Sánchez-Rodríguez, C.E. Electrochemical energy storage from spent coffee grounds-derived carbon by KOH activation. J. Energy Storage 2023, 71, 108115. [Google Scholar] [CrossRef]
- Mani, D.; Elango, D.; Priyadharsan, A.; Al-Humaid, L.A.; Al-Dahmash, N.D.; Ragupathy, S.; Jayanthi, P.; Ahn, Y.-H. Groundnut shell chemically treated with KOH to prepare inexpensive activated carbon: Methylene blue adsorption and equilibrium isotherm studies. Environ. Res. 2023, 231, 116026. [Google Scholar] [CrossRef]
- Sayed, D.M.; El-Deab, M.S.; Elshakre, M.E.; Allam, N.K. Nanocrystalline Cellulose Confined in Amorphous Carbon Fibers as Capacitor Material for Efficient Energy Storage. J. Phys. Chem. C 2020, 124, 7007–7015. [Google Scholar] [CrossRef]
- Ge, Y.; Su, Z.; Ivan, M.N.A.S.; Wang, C.; Tsang, Y.H.; Xu, S.; Bai, G. Bio-Derived Photothermal Materials and Evaporators for Sustainable Solar Energy-Driven Water Process. Langmuir 2022, 38, 13187–13194. [Google Scholar] [CrossRef] [PubMed]
- Keshavarz Hedayati, M.; Elbahri, M. Antireflective Coatings: Conventional Stacking Layers and Ultrathin Plasmonic Metasurfaces, A Mini-Review. Materials 2016, 9, 497. [Google Scholar] [CrossRef] [PubMed]
- Wang, P. Emerging investigator series: The rise of nano-enabled photothermal materials for water evaporation and clean water production by sunlight. Environ. Sci. Nano 2018, 5, 1078–1089. [Google Scholar] [CrossRef]
- Pornrungroj, C.; Mohamad Annuar, A.B.; Wang, Q.; Rahaman, M.; Bhattacharjee, S.; Andrei, V.; Reisner, E. Hybrid photothermal–photocatalyst sheets for solar-driven overall water splitting coupled to water purification. Nat. Water 2023, 1, 952–960. [Google Scholar] [CrossRef]
- Shen, Z.; Wang, X.; Fan, D.; Xu, X.; Lu, Y. Wood–hydrogel composites coated with C3N4 photocatalyst for synchronous solar steam generation and photocatalytic degradation. J. Mater. Sci. 2023, 58, 13154–13164. [Google Scholar] [CrossRef]
- Zhu, Z.; Wang, T.; Ren, S.; Feng, Y.; Zhang, Y.; Qian, S.; Tang, W.; Yin, X.; Wu, T.; Gao, S. Construction of evaporator based on the principle of three primary colors to achieve synchronous photothermal conversion water evaporation and photocatalytic degradation. Desalination 2025, 606, 118758. [Google Scholar] [CrossRef]
- Tang, Q.; Zhang, F.; Li, M.; Wang, Z.; Yang, Z.; Li, H. Preparations of polyvinyl alcohol/polyacrylamide/activated carbon@bismuth oxybromide (PVA/PAM/AC@BiOBr) bifunctional hydrogel and its photothermal evaporation and photocatalytic properties. Colloids Surf. A 2025, 725, 137532. [Google Scholar] [CrossRef]
- Joo, J.B.; Liu, H.; Lee, Y.J.; Dahl, M.; Yu, H.; Zaera, F.; Yin, Y. Tailored synthesis of C@TiO2 yolk–shell nanostructures for highly efficient photocatalysis. Catal. Today 2016, 264, 261–269. [Google Scholar] [CrossRef]
- Li, Y.; Shen, Q.; Guan, R.; Xue, J.; Liu, X.; Jia, H.; Xu, B.; Wu, Y. A C@TiO2 yolk–shell heterostructure for synchronous photothermal–photocatalytic degradation of organic pollutants. J. Mater. Chem. C 2020, 8, 1025–1040. [Google Scholar] [CrossRef]
- Sun, Z.; Huang, X.; Zhang, G. TiO2-based catalysts for photothermal catalysis: Mechanisms, materials and applications. J. Cleaner Prod. 2022, 381, 135156. [Google Scholar] [CrossRef]
- Khalid, R.; Amin, H.M.A.; Shahid, M.; Kazuya, N.; Xing, R.; Liu, S.; Fujishima, A. Integrated photothermal and photocatalytic degradation of micro-/nanoplastics: A mini-review with mechanistic insights and future perspectives. J. Mater. Chem. A 2025, 13, 26110–26128. [Google Scholar] [CrossRef]
- Zhang, Y.; Ravi, S.K.; Tan, S.C. Food-derived carbonaceous materials for solar desalination and thermo-electric power generation. Nano Energy 2019, 65, 104006. [Google Scholar] [CrossRef]
- Xiao, C.; Wang, S.; Guo, Y.; Zhang, Y.; Hasi, Q.-M.; Tian, Q.; Chen, L. Coffee Grounds-Doped Alginate Porous Materials for Efficient Solar Steam Generation. Langmuir 2022, 38, 1888–1896. [Google Scholar] [CrossRef]
- He, P.; Hao, L.; Liu, N.; Bai, H.; Niu, R.; Gong, J. Controllable synthesis of sea urchin-like carbon from metal-organic frameworks for advanced solar vapor generators. Chem. Eng. J. 2021, 423, 130268. [Google Scholar] [CrossRef]
- Zhao, G.; Wang, X.; Qiu, Z.; Zhang, R.; Du, Q.; Zhao, Z.; Qiu, J. All-in-one photothermal/catalytic flexible membrane for highly efficient desalination and organic pollutant degradation. Nanoscale 2025, 17, 4721–4731. [Google Scholar] [CrossRef]
Disclaimer/Publisher’s Note: The statements, opinions and data contained in all publications are solely those of the individual author(s) and contributor(s) and not of MDPI and/or the editor(s). MDPI and/or the editor(s) disclaim responsibility for any injury to people or property resulting from any ideas, methods, instructions or products referred to in the content. |
© 2025 by the authors. Licensee MDPI, Basel, Switzerland. This article is an open access article distributed under the terms and conditions of the Creative Commons Attribution (CC BY) license (https://creativecommons.org/licenses/by/4.0/).