From Waste to Resource: Valorization of Carambola (Averrhoa carambola) Residues in Sustainable Bioelectrochemical Technologies
Abstract
1. Introduction
2. Methodology
2.1. Fabrication of Microbial Fuel Cells
2.2. Characterization of Microbial Fuel Cells
2.3. Operation of the Microbial Fuel Cell
2.4. Recovery and Cultivation of Microorganisms from the Anode
2.5. Metagenomic Analysis of Anodic Biofilm
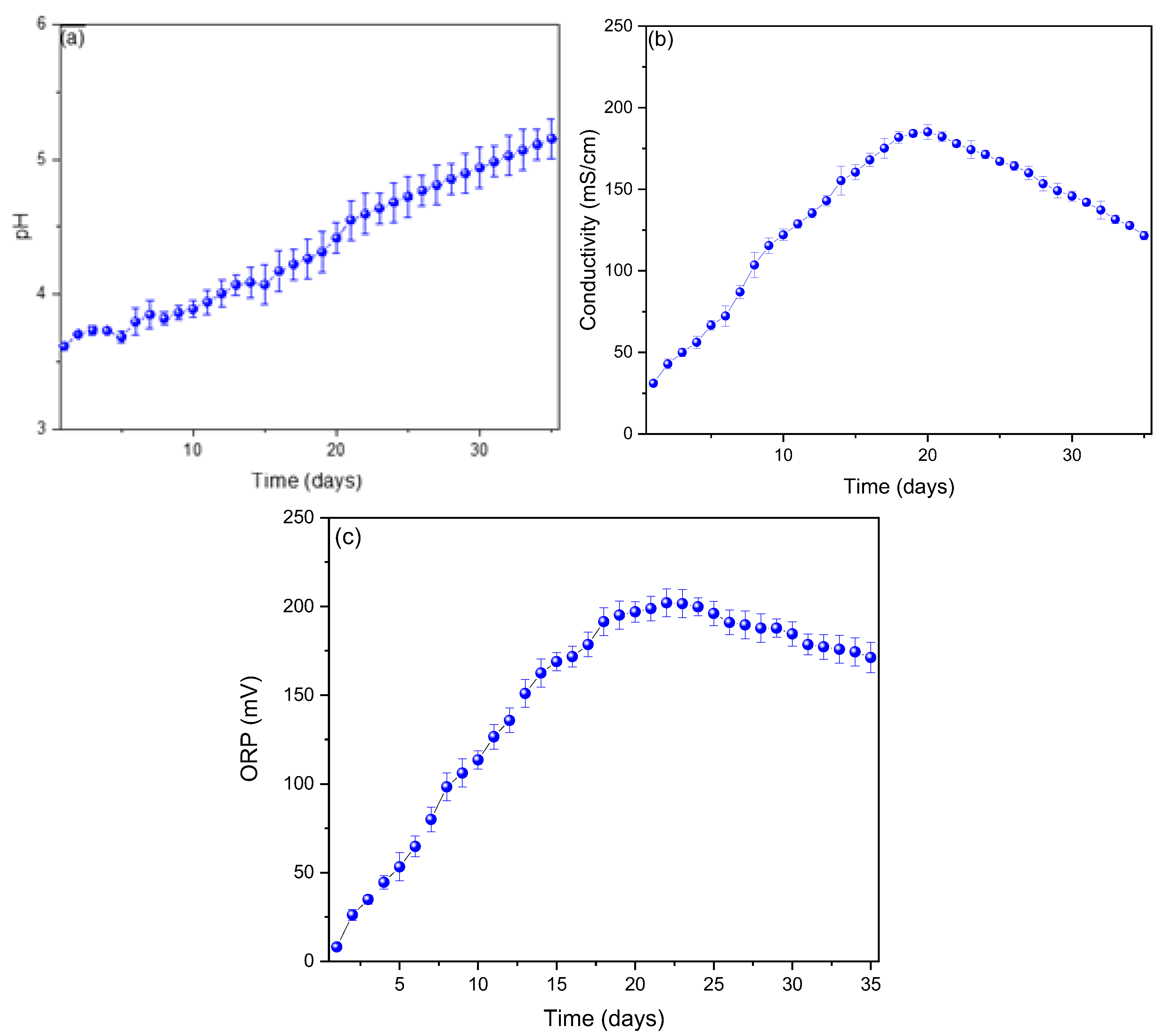
3. Results and Analysis
4. Discussion
5. Conclusions
Author Contributions
Funding
Institutional Review Board Statement
Informed Consent Statement
Data Availability Statement
Conflicts of Interest
Abbreviations
| Abbreviation | Definition |
| MFC | Microbial fuel cell |
| ORP | Oxidation–reduction potential |
| FTIR | Fourier transform infrared spectroscopy |
| ATR | Attenuated total reflectance |
| SEM | Scanning electron microscopy |
| COD | Chemical oxygen demand |
| ASV | Amplicon sequence variant |
| rpm | Revolutions per minute |
| V | Voltage |
| mA | Milliampere |
| mW/cm2 | Milliwatt per square centimeter |
| mS/cm | Millisiemens per centimeter |
| °C | Degrees Celsius |
| DNA | Deoxyribonucleic acid |
| LED | Light-emitting diode |
References
- Ikusika, O.O.; Akinmoladun, O.F.; Mpendulo, C.T. Mejora de la composición nutricional y la actividad antioxidante de orujos de fruta y subproductos agroindustriales mediante fermentación en estado sólido para la nutrición ganadera: Una revisión. Fermentation 2024, 10, 227. [Google Scholar]
- Sawant, S.S.; Bhapkar, S.R.; Song, J.; Seo, H.J. Bioplásticos sostenibles: Aprovechamiento de residuos agroindustriales de pera para la producción de polihidroxialcanoatos: Una revisión. Int. J. Environ. Sci. Technol. 2024, 21, 7341–7352. [Google Scholar] [CrossRef]
- Cordeiro, J.L.C.; Menezes, R.S.G.; da Silva, M.C.M.; Dos Santos, M.B.; Cruz, F.T.; Andrade, H.M.C.; Fiuza-Junior, R.A. Alta remoción de compuestos orgánicos volátiles en carbones jerárquicos preparados a partir de residuos agroindustriales de la producción de banano para la descontaminación del aire. Environ. Sci. Pollut. Research 2024, 31, 62730–62744. [Google Scholar] [CrossRef]
- Ibadango, C.M.M.; Morales, B.R.C.; Chimbo, A.E.R.; Quispe, A.N.A. Aprovechamiento agroindustrial de frutas amazónicas infrautilizadas en la Amazonía ecuatoriana: Potencial nutracéutico y contribución a la soberanía alimentaria. SAPIENS Int. Multidiscip. J. 2025, 2, 1–13. [Google Scholar] [CrossRef]
- Pulgarín-Muñoz, C.E.; Saldarriaga-Molina, J.C.; Correa-Ochoa, M.A.; Castro-Valencia, J.C. Effect of Cosubstrate Ratio and Temperature on Sewage Sludge and Agro-industrial Fruit and Vegetable Waste Anaerobic Co-digestion. Waste Biomass Valor 2025. [Google Scholar] [CrossRef]
- García, N.M.; Cely, N.M.; Méndez, P.A. Estudio de la producción de pectinasas a partir de pulpa de guanábana y chirimoya para la reducción de residuos agroindustriales en Colombia. Valorización De Residuos Y Biomasa 2024, 15, 6357–6365. [Google Scholar]
- Segura, J.; Montava, I.; Juliá, E.; Gadea, J.M. Propiedades acústicas y térmicas de paneles fabricados con residuos de hueso de fruta y fibra de coco. Construcción Y Mater. De Construcción 2024, 426, 136054. [Google Scholar]
- Corrêa, A.G.; Nadaleti, W.C.; de Souza, E.G.; dos Santos, M.C.; Thue, P.S.; Temple, T. Mejora de la recuperación energética de biomasa en el sector agroindustrial brasileño: Innovación en la producción de biogás, biometano e hidrógeno mediante la gestión de residuos de jarabe de melocotón. Energías Renov. 2025, 247, 123029. [Google Scholar]
- Shahveran, E.; Yousefi, H. Sustitución de centrales eléctricas basadas en combustibles fósiles por energías renovables para cumplir con los compromisos ambientales de Irán en el sector eléctrico. Transic. Energética Renov. Sosten. 2025, 7, 100102. [Google Scholar]
- Wagner, P. Sociedades Del Carbono: La Lógica Social De Los Combustibles Fósiles; John Wiley & Sons: Hoboken, NJ, USA, 2024. [Google Scholar]
- Hassan, Q.; Ziktor, P.; Al-Musawi, T.J.; Ali, B.M.; Algburi, S.; Alzoubi, H.M.; Jaszczur, M. El papel de las energías renovables en las transformaciones energéticas globales. Renew. Energy Focus 2024, 48, 100545. [Google Scholar]
- Yasmeen, R.; Shah, W.U.H. La incertidumbre energética, los conflictos geopolíticos y la militarización son importantes para el desarrollo de las energías renovables y no renovables: Perspectivas desde las economías del G7. Energy 2024, 306, 132480. [Google Scholar]
- Sharma, M.; Sharma, S.; Alkhanjaf, A.A.M.; Arora, N.K.; Saxena, B.; Umar, A.; Baskoutas, S. Celdas de combustible microbianas para la degradación de colorantes azoicos: Una revisión en perspectiva. J. Ind. Eng. Chem. 2025, 142, 45–67. [Google Scholar] [CrossRef]
- Zamorano Arancibia, C. Modelo Metabólico y Estrategias Transcripcionales para el Proceso de Electrofermentación en Escherichia coli. 2022. Available online: https://repositorio.uchile.cl/handle/2250/189489 (accessed on 4 September 2025).
- Hamedani, E.A.; Abasalt, A.; Talebi, S. Aplicación de celdas de combustible microbianas en el tratamiento de aguas residuales y la producción de energía verde: Una revisión exhaustiva de los fundamentos y desafíos tecnológicos. Fuel 2024, 370, 131855. [Google Scholar]
- Sonawane, A.V.; Rikame, S.; Gaikwad, M.; Bhanvase, B.; Sonawane, S.S.; Mungray, A.K.; Gaikwad, R. A review of microbial fuel cell and its diversification in the development of green energy technology. Chemosphere 2024, 350, 141127. [Google Scholar] [CrossRef]
- Huilca Modumba, L.A. Generación De Energía Eléctrica A Partir Del Diseño Y Construcción De Una Celda De Combustible Microbiana De Triple Ánodo. Bachelor’s Thesis, Universidad Nacional de Chimborazo, Riobamba, Ecuador, 2025. [Google Scholar]
- Ruvalcaba-Barrios, J.M.; Salcedo-Pérez, E.; Acosta-Sotelo, L.L.; Anzaldo-Hernández, J.; Ordaz-Chaparro, V.M.; González-Eguiarte, D.R.; Rodríguez-Macías, R. Propiedades físicas y químicas de sustratos formulados con bagazo de agave y corteza de pino sometidos a explosión con vapor. Biotecnia 2024, 26, 1–10. [Google Scholar] [CrossRef]
- Vicente Santa Cruz, E.; Reátegui Isla, V.; Morales-Soriano, E. Vinegar Elaboration Using Waste from Banana, Camu Camu, Cocona, Carambola, Cane Sugar Juice and Ají Charapita; Universidad Nacional Agraria La Molina: Lima, Peru, 2023. [Google Scholar]
- Shahrun, M.S.; Rahman, M.H.A.; Baharom, N.A.; Jumat, F.; Saad, M.J.; Mail, M.F.; Zawawi, N.Z.; Suherman, F.H.S. Design of a pyrolysis system and the characterisation data of biochar produced from coconut shells, carambola pruning, and mango pruning using a low-temperature slow pyrolysis process. Data Brief 2024, 52, 109997. [Google Scholar] [CrossRef]
- Sigalingging, R.; Sitorus, Y. Study of fruit waste as bio-battery materials for alternative electricity. J. Sustain. Agric. Biosyst. Eng. 2024, 2, 001–010. [Google Scholar] [CrossRef]
- Vicente Santa Cruz, E.; Reátegui Isla, V.; Morales-Soriano, E. Aprovechamiento De Residuos De Plátano, Camu Camu, Cocona, Carambola, Jugo De Caña Y Ají Charapita En La Elaboración De Vinagre; Universidad Nacional Agraria La Molina: Lima, Peru, 2023. [Google Scholar]
- Devi, B.; Sarma, H.P. Equilibrium isotherm and kinetic study of biosorption of cadmium from synthetic water using wastes leaves of Averrhoa carambola. J. Appl. Nat. Sci. 2023, 15, 826. [Google Scholar] [CrossRef]
- Maurya, P.; Gupta, V.; Verma, A.; Maurya, A. Formulation of star fruit (Averrhoa carambola L.) powder unified digestive food products and their quality evaluation. Pharma Innov. 2023, 12, 2950–2956. [Google Scholar] [CrossRef]
- He, Y.; Cui, J.; Sun, J.; Li, M.; Zhao, J.; Gong, D.; Hu, M. First report of anthracnose fruit rot of papaya caused by Colletotrichum gigasporum in China. Plant Dis. 2024, 108, 810. [Google Scholar] [CrossRef]
- Rojas-Flores, S.; De La Cruz-Noriega, M.; Nazario-Naveda, R.; Benites, S.M.; Delfín-Narciso, D.; Rojas-Villacorta, W.; Romero, C.V. Bioelectricity through microbial fuel cells using avocado waste. Energy Rep. 2022, 8, 376–382. [Google Scholar] [CrossRef]
- Kebaili, H.; Kameche, M.; Innocent, C.; Ziane, F.; Sabeur, S.; Sahraoui, T.; Ouis, M.; Zerrouki, A.; Charef, M. Treatment of fruit waste leachate using microbial fuel cell: Preservation of agricultural environment. Acta Ecol. Sin. 2021, 41, 97–105. [Google Scholar] [CrossRef]
- Jia, X.; Zhang, C.; Zhang, Y.; Zhang, E. Conversion of Platanus orientalis fruits fibres into highly active catalysts for air cathodes of microbial fuel cells. Mater. Today Chem. 2025, 48, 102895. [Google Scholar] [CrossRef]
- Khan, A.; Basu, P. Influence of insect pollinators and mass-flowering crop (Mangifera indica) on yield and productivity of brinjal (Solanum melongena) in an Eastern Indian agricultural landscape. In Proceedings of the Zoological Society; Springer: New Delhi, India, 2025; pp. 1–14. [Google Scholar]
- Tohumcu, E.; Bolat, A. Evaluation of plant activators and preparations for control of red leaf blotch disease (Polystigma amygdalinum PF Cannon) in almond cultivation in Turkey. Appl. Fruit Sci. 2025, 67, 252. [Google Scholar] [CrossRef]
- Akinwumi, O.D.; Dada, E.O.; Agarry, S.E.; Aremu, M.O.; Agbede, O.O.; Alade, A.O.; Aworanti, O.A.; Alao, A.I. Effects of retention time, pH, temperature and type of fruit wastes on the bioelectricity generation performance of microbial fuel cell during the biotreatment of pharmaceutical wastewater: Experimental study, optimization and modelling. Environ. Process. 2024, 11, 51. [Google Scholar] [CrossRef]
- Khamis, A.; Zulfakar, N.A.M. Bioelectricity production from food waste leachate using double chamber microbial fuel cell: Effect of electrolyte pH level, electrodes sizing, and positioning. Int. J. Environ. Waste Manag. 2024, 33, 465–478. [Google Scholar] [CrossRef]
- Rahman, W.; Yusup, S.; Mohammad, S.A. Screening of fruit waste as substrate for microbial fuel cell (MFC). In AIP Conference Proceedings; AIP Publishing LLC: New York, NY, USA, 2021; Volume 2332, p. 020003. [Google Scholar]
- Yaqoob, A.A.; Guerrero–Barajas, C.; Ibrahim, M.N.M.; Umar, K.; Yaakop, A.S. Local fruit wastes driven benthic microbial fuel cell: A sustainable approach to toxic metal removal and bioelectricity generation. Environ. Sci. Pollut. Res. 2022, 29, 32913–32928. [Google Scholar] [CrossRef]
- Wang, R.; You, H.; Xie, B.; Zhang, G.; Zhu, J.; Li, W.; Dong, X.; Qin, Q.; Wang, M.; Ding, Y.; et al. Performance analysis of microbial fuel cell-membrane bioreactor with reduced graphene oxide enhanced polypyrrole conductive ceramic membrane: Wastewater treatment, membrane fouling and microbial community under high salinity. Sci. Total Environ. 2024, 907, 167827. [Google Scholar] [CrossRef]
- Munfarida, I.; Auvaria, S.W. The role of EM4 (effective microorganisms) in solid waste-powered microbial fuel cells: Investigating voltage output and electrical conductivity for bioelectricity generation. Int. J. Environ. Sustain. Soc. Sci. 2024, 5, 1270–1279. [Google Scholar] [CrossRef]
- Liu, H.; Chen, T.; Li, J. Exogenous electric field as a biochemical driving factor for extracellular electron transfer: Increasing power output of microbial fuel cell. Energy Convers. Manag. 2024, 301, 118050. [Google Scholar] [CrossRef]
- Flores, S.R.; Nazario-Naveda, R.; Delfín-Narciso, D.; Cardenas, M.G.; Diaz, N.D.; Ravelo, K.V. Generation of bioelectricity from organic fruit waste. Environ. Res. Eng. Manag. 2021, 77, 6–14. [Google Scholar] [CrossRef]
- Shen, S. Microbial Fuel Cell-Based Biosensor for Redox Potential Detection in Fermentation Process. Ph.D. Thesis, University of Saskatchewan, Saskatoon, SK, Canada, 2022. [Google Scholar]
- Teoh, T.-P.; Ong, S.-A.; Ho, L.-N.; Wong, Y.-S.; Lutpi, N.A.; Oon, Y.-L.; Tan, S.-M.; Ong, Y.-P.; Yap, K.-L. Caffeine-containing wastewater treatment and bioelectricity generation in up-flow constructed wetland-microbial fuel cell: Influence of caffeine concentration, operating conditions, toxicity assessment, and degradation pathway. J. Water Process. Eng. 2022, 46, 102623. [Google Scholar] [CrossRef]
- Singh, M.; Singh, M.R. Corrosion characteristics of XVII century Portuguese cast iron cannon from Goa (India) using spectroscopic analysis. J. Appl. Spectrosc. 2024, 91, 613–623. [Google Scholar] [CrossRef]
- Meenakshi, S. Corrosion characteristics of XVII century Portuguese cast iron cannon from Goa (India) using spectroscopic analysis. Zhurnal Prikl. Spektrosk. 2024, 91, 459. [Google Scholar]
- Sonu, K.; Sogani, M.; Syed, Z. Plant microbial fuel cell performance assessment utilizing anode from Delonix regia fruit pod. Biomass Convers. Biorefinery 2025, 15, 19405–19412. [Google Scholar] [CrossRef]
- Sonu, P.K.; Srivastav, A.K.; Anjali; Peddireddy, V.; Kumar, U. Extraction and physiochemical characterization of micro-fibrillated cellulose based composite biofilm derived from Aegle marmelos fruit shells waste for packaging applications supported by in-silico docking studies. Int. J. Biol. Macromol. 2025, 309, 142921. [Google Scholar] [CrossRef]
- Tan, X.; Long, C.; Meng, K.; Shen, X.; Wang, Z.; Li, L.; Tao, N. Transcriptome sequencing reveals an inhibitory mechanism of Penicillium digitatum by sodium dehydroacetate on citrus fruit. Postharvest Biol. Technol. 2022, 188, 111898. [Google Scholar] [CrossRef]
- Aljuhani, S.; Rizwana, H.; Aloufi, A.S.; Alkahtani, S.; Albasher, G.; Almasoud, H.; Elsayim, R. Antifungal activity of Carica papaya fruit extract against Microsporum canis: In vitro and in vivo study. Front. Microbiol. 2024, 15, 1399671. [Google Scholar] [CrossRef]
- Toding, O.S.L.; Virginia, C.; Suhartini, S. Conversion banana and orange peel waste into electricity using microbial fuel cell. In IOP Conference Series: Earth and Environmental Science; IOP Publishing: Bristol, UK, 2018; Volume 209, p. 012049. [Google Scholar]
- Miran, W.; Nawaz, M.; Jang, J.; Lee, D.S. Sustainable electricity generation by biodegradation of low-cost lemon peel biomass in a dual chamber microbial fuel cell. Int. Biodeterior. Biodegrad. 2016, 106, 75–79. [Google Scholar] [CrossRef]
- Sumatkar, N.; Vasumathi, K.; Wang, C.T. Enhancing microbial fuel cell performance by optimizing banana peel slurry concentration for sustainable energy production. J. Chin. Soc. Mech. Eng. 2025, 46, 233–241. [Google Scholar]
- Priya, A.D.; Setty, Y.P. Cashew apple juice as substrate for microbial fuel cell. Fuel 2019, 246, 75–78. [Google Scholar] [CrossRef]
- Yang, Y.; Zhang, J.; Dong, S.; Li, M.; Yang, P.; Meng, H.; Xiao, J. Sustainable Cr(VI) reduction in a membrane-less TPBC-MFC driven by solid watermelon rind. J. Environ. Manag. 2024, 370, 122637. [Google Scholar] [CrossRef] [PubMed]
- He, D.; Nong, Y.; He, Y.; Luo, Y.; Li, C.; Gao, J.; Dang, C.; Fu, J. Effect of pre-chlorination on bioelectricity production and stabilization of excess sludge by microbial fuel cell. Water Res. 2025, 281, 123564. [Google Scholar] [CrossRef] [PubMed]
- Lima, T.A.d.M.d.; de Lima, G.G.; Rouxel, P.; Bezerra, G.S.N.; Fehrenbach, G.W.; Magalhães, W.L.; Nugent, M.J. Extraction and characterization of microfibrillated cellulose (MFC) from Rhododendron ponticum isolated using cryocrush pre-treatment and its potential for mycelium cultivation. Int. J. Biol. Macromol. 2024, 279, 135284. [Google Scholar] [CrossRef]
- Rai, A.; Sirotiya, V.; Ahirwar, A.; Singh, G.; Kawatra, R.; Sharma, A.K.; Harish; Vinayak, V. Textile dye removal using diatomite nanocomposites: A metagenomic study in photosynthetic microalgae-assisted microbial fuel cells. RSC Adv. 2025, 15, 8300–8314. [Google Scholar] [CrossRef]
- Lu, Y.; Hu, J.; Yin, X.; Qiao, S.; Zhang, S.; Ye, J.; Chen, J.; Feng, K.; Zhao, J. Roles of biofilm structure and functional genes in overcoming limited dimethyl sulfide degradation and energy recovery. ACS EST Eng. 2024, 4, 842–850. [Google Scholar] [CrossRef]
- Simeon, I.M.; Weig, A.; Freitag, R. Optimization of soil microbial fuel cell for sustainable bio-electricity production: Combined effects of electrode material, electrode spacing, and substrate feeding frequency on power generation and microbial community diversity. Biotechnol. Biofuels Bioprod. 2022, 15, 124. [Google Scholar] [CrossRef] [PubMed]
- Han, D.; Gao, P.; Li, R.; Tan, P.; Xie, J.; Zhang, R.; Li, J. Multicenter assessment of microbial community profiling using 16S rRNA gene sequencing and shotgun metagenomic sequencing. J. Adv. Res. 2020, 26, 111–121. [Google Scholar] [CrossRef]








Disclaimer/Publisher’s Note: The statements, opinions and data contained in all publications are solely those of the individual author(s) and contributor(s) and not of MDPI and/or the editor(s). MDPI and/or the editor(s) disclaim responsibility for any injury to people or property resulting from any ideas, methods, instructions or products referred to in the content. |
© 2025 by the authors. Licensee MDPI, Basel, Switzerland. This article is an open access article distributed under the terms and conditions of the Creative Commons Attribution (CC BY) license (https://creativecommons.org/licenses/by/4.0/).
Share and Cite
Rojas-Flores, J.; Nazario-Naveda, R.; Benites, S.M.; Delfin-Narciso, D.; Gallazzo Cardenas, M.; Angelats Silva, L. From Waste to Resource: Valorization of Carambola (Averrhoa carambola) Residues in Sustainable Bioelectrochemical Technologies. Sustainability 2025, 17, 8245. https://doi.org/10.3390/su17188245
Rojas-Flores J, Nazario-Naveda R, Benites SM, Delfin-Narciso D, Gallazzo Cardenas M, Angelats Silva L. From Waste to Resource: Valorization of Carambola (Averrhoa carambola) Residues in Sustainable Bioelectrochemical Technologies. Sustainability. 2025; 17(18):8245. https://doi.org/10.3390/su17188245
Chicago/Turabian StyleRojas-Flores, Jonathan, Renny Nazario-Naveda, Santiago M. Benites, Daniel Delfin-Narciso, Moisés Gallazzo Cardenas, and Luis Angelats Silva. 2025. "From Waste to Resource: Valorization of Carambola (Averrhoa carambola) Residues in Sustainable Bioelectrochemical Technologies" Sustainability 17, no. 18: 8245. https://doi.org/10.3390/su17188245
APA StyleRojas-Flores, J., Nazario-Naveda, R., Benites, S. M., Delfin-Narciso, D., Gallazzo Cardenas, M., & Angelats Silva, L. (2025). From Waste to Resource: Valorization of Carambola (Averrhoa carambola) Residues in Sustainable Bioelectrochemical Technologies. Sustainability, 17(18), 8245. https://doi.org/10.3390/su17188245

