Next Article in Journal
Sustainability Assessment of Rural Biogas Production and Use Through a Multi-Criteria Approach: A Case Study in Colombia
Next Article in Special Issue
Appropriate Thresholds and Metrics for LEVEL(S) Key Performance Indicators (KPIs)
Previous Article in Journal
Extraction of Alumina and Alumina-Based Cermets from Iron-Lean Red Muds Using Carbothermic Reduction of Silica and Iron Oxides
Previous Article in Special Issue
Meeting 2030 Targets: Heat Pump Installation Scenarios in Italy
 
 
Font Type:
Arial Georgia Verdana
Font Size:
Aa Aa Aa
Line Spacing:
Column Width:
Background:
Article

Performance Analysis of Multi-Source Heat Pumps: A Regression-Based Approach to Energy Performance Estimation

1
Department of Energy Engineering, Politecnico di Milano, 20156 Milan, Italy
2
Department of Architecture, Built Environment and Construction Engineering, Politecnico di Milano, 20133 Milan, Italy
*
Author to whom correspondence should be addressed.
Sustainability 2025, 17(15), 6804; https://doi.org/10.3390/su17156804
Submission received: 23 June 2025 / Revised: 22 July 2025 / Accepted: 24 July 2025 / Published: 26 July 2025
(This article belongs to the Special Issue Sustainability and Energy Performance of Buildings)

Abstract

The growing demand for energy-efficient heating, ventilation, and air conditioning (HVAC) systems has increased interest in multi-source heat pumps as a sustainable solution. While extensive research has been conducted on heat pump performance prediction, there is still a lack of practical tools for early-stage system evaluation. This study addresses that gap by developing regression-based models to estimate the performance of various heat pump configurations, including air-source, ground-source, and dual-source systems. A simplified performance estimation model was created, capable of delivering results with accuracy levels comparable to TRNSYS simulation outputs, making it a valuable and accessible tool for system evaluation. The analysis was conducted across nine climatic zones in Italy, considering key environmental factors such as air temperature, ground temperature, and solar irradiance. Among the tested configurations, hybrid systems like Solar-Assisted Ground-Source Heat Pumps (SAGSHP) achieved the highest performance, with SCOP values up to 4.68 in Palermo and SEER values up to 5.33 in Milan. Regression analysis confirmed strong predictive accuracy (R2 = 0.80–0.95) and statistical significance (p < 0.05), emphasizing the models’ reliability across different configurations and climatic conditions. By offering easy-to-use regression formulas, this study enables engineers and policymakers to estimate heat pump performance without relying on complex simulations.

1. Introduction

The global energy crisis, driven by increasing demand, depleting fossil fuel reserves, and climate change, necessitates a shift toward sustainable energy solutions [1]. Over the past fifty years, energy consumption has exceeded the total usage of the previous two centuries, leading to rising greenhouse gas emissions and severe environmental consequences [2]. The global average temperature has increased by approximately 1.2 °C to 1.3 °C since the late 19th century, and CO2 concentrations in 2019 reached their highest levels in the past two million years [3]. These challenges highlight the urgency of transitioning to renewable energy sources to mitigate climate change and ensure energy security.
Among different sectors, the building sector accounts for approximately 30% of global energy consumption, with heating, ventilation, and air conditioning (HVAC) systems responsible for around 60% of this usage [4,5,6]. Decarbonizing this sector is crucial for achieving climate goals, with the European Commission (EU) setting a target for over 85% of buildings to be zero-carbon-ready by 2050 [7]. In such a framework, heat pumps are a key technology in reducing heating and cooling energy consumption, offering high efficiency and lower carbon emissions. However, their adoption remains limited, currently meeting only 10% of global heating demand [8]. Increasing their deployment, particularly when integrated with renewable energy sources (RES), is essential to achieving sustainability targets. Heat pumps can be combined with renewable energy sources in order to achieve these goals and maximize their performance, as demonstrated in several projects like the Photovoltaic–Thermal Solar-Assisted Heat Pump (PVT-SAHP) [9], Dual-Source Photovoltaic–Thermal and Air (DUAL-PVT-AIR) [3,10], Ground-Source Heat Pumps (GSHP) [11], and Photovoltaic–Thermal Solar-Assisted Ground-Source Heat Pumps (PVT-SAGSHP) [12].
Several articles have analyzed single-source heat pumps and multi-source heat pumps. Xiong et al. [13] used CFD to show that a vapor-bypassed design can enhance COP, while Hu et al. [14] demonstrated, through experiments and simulations, that a variable circuitry design improves performance and reduces pressure drops. Dai et al. [15] experimentally studied a solar-assisted ground-source heat pump system. They found the best performance—highest COP, solar contribution, and soil recovery—when the solar tank and ground exchangers were connected in series. Pelella et al. [16] demonstrated that multi-source heat pumps, combining solar, ground, and air energy, can significantly improve seasonal efficiency depending on the climate—solar sources being more effective in warm regions and ground sources in cold. Emmi et al. [17] evaluated that a real-world multi-source heat pump system combining ground, air, and solar sources can significantly reduce cooling energy use and improve efficiency, though air-source operation increases energy costs and requires careful design.
To further enhance system optimization and facilitate more efficient design, predictive modelling techniques can be utilized to estimate performance outcomes based on system parameters and environmental factors.
In general, there are three main approaches for predicting heat pump performance, identified as follows: (1) detailed engineering simulations like TRNSYS and EnergyPlus, as well as grey-box models based on physical equations calibrated with manufacturer data and implemented in platforms like MATLAB and EER, (2) AI-based methods such as artificial neural networks (ANN), and (3) statistical techniques using historical data [18,19,20]. According to the literature review, for some of the abovementioned configurations, like GSHP, the performance using various prediction models has been measured. Park [18] and Xu [21] applied regression and ANN techniques to predict heating performance and heat transfer rates, with ANN demonstrating higher accuracy. Xu found that increasing soil thermal conductivity, well depth, water flow rate, and temperature difference improved heat transfer, while well diameter and U-tube thickness had an inverse effect. Simon [22] developed multiple regression models to predict GSHP performance with low errors, while Song [23] introduced a data-driven approach to estimate heat pump electricity consumption, achieving 99% accuracy for GSHPs and 83% for ASHPs using minimal parameters.
Despite the wide availability of advanced methods for modeling heat pump behavior, most existing approaches focus exclusively on the heat pump unit itself, often overlooking the overall performance of the integrated system—including the interaction between the heat pump, heat sources (air, ground, solar), and thermal storage. Moreover, these models are often computationally intensive and require expert knowledge, which limits their practicality for early-stage design or feasibility studies.
This study introduces a simplified, user-friendly tool based on regression models using only three key environmental parameters: ambient air temperature, ground temperature, and solar irradiation. The first novelty lies in its ability to estimate the overall performance of the entire system, not just the heat pump, making it suitable for assessing system-level efficiency across various hybrid configurations. The second novelty is the minimal input requirement, which allows for rapid performance evaluation without the need for complex simulation or detailed design data. This makes the tool especially valuable for preliminary system sizing, comparison, and decision-making in both research and engineering practice.

2. Methodology

One of the main advantages of numerical studies is the ability to model different configurations in various climates and locations without incurring significant costs. Moreover, with advancements in computational power, numerical simulations can be executed rapidly, by virtually anyone, without requiring a specific field of expertise.
As a result, this study is conducted through numerical simulations to evaluate the performance of different heat pump configurations across various climatic conditions. The methodology of this work is presented visually in Figure 1.
For this study, the analysis was conducted using TRNSYS-18 to simulate the performance of the heat pump systems. It has been chosen since it is one of the most widely used in studies to optimize systems and model various energy technologies, including wind, solar, and heat pumps, across different climatic conditions [4,24,25,26,27,28].
The performance of different heat pump configurations across nine different cities along Italy (Milan, Rome, Palermo, Naples, Potenza, Campobasso, Bolzano, Venice, and Toblach) is evaluated. The weather data for these cities are given in Table 1. Finally, data are collected from the TRNSYS analysis and are utilized for regression analysis to develop a model to predict the SCOP/SEER.

2.1. System Configurations and Components

Various heat pump configurations can be designed by integrating different energy sources to enhance efficiency and adaptability. This study examines multiple configurations, including Air-Source Heat Pumps (ASHP), Photovoltaic–Thermal Solar-Assisted Heat Pump (PVT-SAHP), Ground-Source Heat Pumps (GSHP), Photovoltaic–Thermal Solar-Assisted Heat Pump, Solar-Assisted Ground-Source Heat Pumps (PVT-SAGSHP), and Dual-Source Photovoltaic–Thermal and Air (DUAL-PVT-AIR), each leveraging different renewable energy sources to optimize performance across diverse climatic conditions, as shown in Figure 2.
The analysis is done for two different modes: space heating with DHW and space cooling with DHW. The configurations have similar load sides but different source sides. The simulation details are given in Table 2.
The case study is derived from a real building, which has been analyzed under residential operating conditions. The building used in this study is a 237.8 m2 with 5 homogeneous thermal zones and a basement of the same area under the ground floor. The DHW load profile for this study is based on the ASHRAE 90.2 standard, which provides detailed guidelines for the energy usage of domestic hot water systems using 200 L/day [29].

2.1.1. Load Side

In all the abovementioned configurations, the heated or cooled water from the heat pump flows into a flow diverter, which directs the water either to the DHW tank or to the fan coil, with priority given to the DHW. When DHW is not required and space heating or cooling is needed, the water is sent to the fan coil unit. Another air flow diverter distributes conditioned air to different building zones. A thermostat (Type 155) regulates the room temperature with setpoints of 24 °C for cooling and 20 °C for heating, with a 2 °C dead band. After the heat exchange, the water enters the load-side storage tank before returning to the heat pump. A thermostat controls the circulation pump, activating or deactivating the heat pump as needed.

2.1.2. Source Side

As mentioned, there are five different configurations: ASHP, PVT-SAHP, DUAL-PVT-AIR, GSHP, and PVT-SAGSHP. In space cooling mode, the PVT-SAHP configuration cannot be used because lower source temperatures are preferred, while the PVT panels increase the source temperature. DUAL-PVT-AIR and PVT-SAGSHP face the same issue; however, in these configurations, solar energy is utilized exclusively for DHW production, while the heat pump operates independently for space cooling.
The five system configurations analyzed differ primarily in the thermal source used to drive the heat pump. These sources affect system efficiency due to variations in temperature stability and availability. While TRNSYS components are used for implementation, the physical principles behind heat exchange, thermal inertia, and solar/ground energy harvesting form the core of system behavior.
  • ASHP
In the air-source heat pump, thermal energy is extracted from ambient air using a refrigerant cycle. However, to ensure a uniform comparison across all configurations in this study, a water-to-water heat pump is modeled. Ambient air is thermally coupled to the system via an external counter-flow heat exchanger (Type 5b), simulating air as a secondary source. This exchanger transfers heat to the working fluid based on effectiveness correlations, using inlet temperatures, flow rates, and a constant UA value of 700 W/K. The airflow rate of 5000 kg/h represents a typical medium-sized air handling system. The performance of this system is influenced by ambient temperature fluctuations, especially during peak summer and winter loads.
  • PVT-SAHP
This configuration integrates PVT collectors to harvest both electricity and thermal energy from solar radiation. Physically, the system enhances heat pump efficiency by preheating the working fluid before it enters the evaporator. The collectors increase the source temperature during the daytime, which can reduce compressor work. A stratified storage tank (Type 155) acts as a thermal buffer. Fluid from the cold layer of the tank is circulated through the PVT field, controlled by a differential thermostat: circulation is triggered when the PVT outlet temperature exceeds the tank temperature by 4 °C. This setup is particularly suited for DHW production but is limited in cooling due to high summer source temperatures. The PVT follows the roof slope and is installed on the south side to maximize solar exposure in Italy.
  • DUAL-PVT-AIR
This hybrid system switches between air and solar sources—or uses them in parallel—to optimize performance. The physical logic is to use solar energy when available and efficient but to revert to air when solar gains are insufficient. The PVT loop acts as a preheating stage, while a Type 5b exchanger represents the air source. Control logic ensures fluid flows through the most efficient path: if solar heat is sufficient, it preheats the fluid before it enters the evaporator; otherwise, the fluid bypasses the PVT and uses air as the source. This configuration balances the variability of solar availability and ambient conditions, making it versatile in mixed climates.
  • GSHP
GSHPs extract low-temperature heat from the ground, benefiting from thermal inertia and stable subsurface temperatures. The physical process involves heat conduction and storage in soil layers. A vertical borehole heat exchanger (Type 557) models the ground loop, where heat is exchanged between the brine fluid and the ground. Performance depends on thermal conductivity, borehole depth, ground temperature profile, and flow rate. The ground offers high seasonal reliability, making this system efficient for both heating and cooling, although it requires higher upfront investment and site-specific geological data.
  • PVT-SAGSHP
This system enhances GSHP performance by injecting solar heat into the ground loop, effectively “charging” the ground during the day. Physically, this helps to avoid ground thermal depletion over time and increases seasonal performance. The configuration combines the ground loop (Type 557) and the PVT field in series. A control algorithm determines the flow direction: if the PVT outlet is warmer than the borehole inlet, fluid first passes through the PVT field before entering the heat pump; otherwise, it flows directly from the borehole. This setup leverages both solar availability and the ground’s stable temperature to smoothen seasonal performance variation and improve overall system COP.
To improve the regression analysis and enhance the prediction model, three different infiltration rates were considered to assess how the model performs under varying energy consumption levels. This approach ensures the model’s capability to predict SCOP and SEER across different consumption scenarios. The selected infiltration rates—0.1, 0.3, and 0.5—capture the spectrum from highly airtight buildings to those with typical permeability levels, thereby enhancing the robustness of the regression analysis and the predictive capability of the model under diverse energy consumption conditions.

3. Model Development

A regression analysis was conducted to predict the system’s performance across different configurations by considering different climates and consumptions. This method identifies relationships between key variables such as energy consumption, efficiency, and environmental factors. The results provide insights into how operational parameters and climate conditions influence system effectiveness, helping to highlight trends and areas for optimization.
To develop the regression model, data were collected from simulations carried out in TRNSYS for nine cities across Italy, representing various climate zones. For each city, five different heat pump configurations were analyzed: GSHP, SAHP, PVT-SAGSHP, ASHP, and Dual-PVT-AIR. The key variables considered in the regression analysis included the following:
  • Air temperature (°C): Average monthly temperature during the heating season.
  • Ground temperature (°C): Average monthly ground temperature for each location (used for GSHP and PVT-SAGSHP).
  • Solar horizontal irradiation (kWh/m2month): Total horizontal solar energy received monthly (used for PVT-SAHP, DUAL-PVT-AIR, and PVT-SAGSHP).
The regression model aimed to predict COP or EER for each configuration based on these input parameters. The equations for each configuration were as follows:
COP/EER = β0 + β1 × Tair + β2 × Tsoil + β3 × Irradiation
where Tair is ambient air temperature, Tsoil is the soil temperature, irradiation is the solar horizontal monthly irradiation, and β0, β1, β2, and β3 are the regression coefficients. This is the general form of the equations, and in some cases, only one or two of the parameters are required. For instance, in ASHP, the only parameter that is used is Tair.
Monthly COP/EER values were predicted based on climate data, and these results were then used to calculate the Seasonal Coefficient of Performance (SCOP) for each configuration. SCOP and SEER were determined using the following weighted average formula:
S C O P = Σ ( C O P m o n t h × Q h e a t , m o n t h ) Σ Q h e a t , m o n t h
S E E R = Σ ( E E R m o n t h × Q c o o l , m o n t h ) Σ Q c o o l , m o n t h
where Qheat,month represents the heating demand for each month of the heating season and Qcool,month represents the cooling demand for each month of the cooling season. For winter, the months are January, February, March, April, May, October, November, and December. For warmer climates, May and October are excluded for the heating mode. For the cooling mode in summer, June, July, August, and September are used.
The goodness of fit for each regression model was assessed using the R2 value, which indicates the proportion of variance in the dependent variable (COP) explained by the independent variables (air temperature, ground temperature, and horizontal irradiance). Higher R2 values suggest a better fit and a more accurate model, while lower values indicate that the model explains less of the variation in the data. Additionally, the p-value for each regression coefficient was determined. The p-value tests the null hypothesis that the coefficient is equal to zero (no effect). If the p-value is less than 0.05, the corresponding independent variable is considered statistically significant. This means there is a strong likelihood that the variable has a meaningful influence on the COP

4. Results and Discussion

4.1. Simulation Results and Data Collection

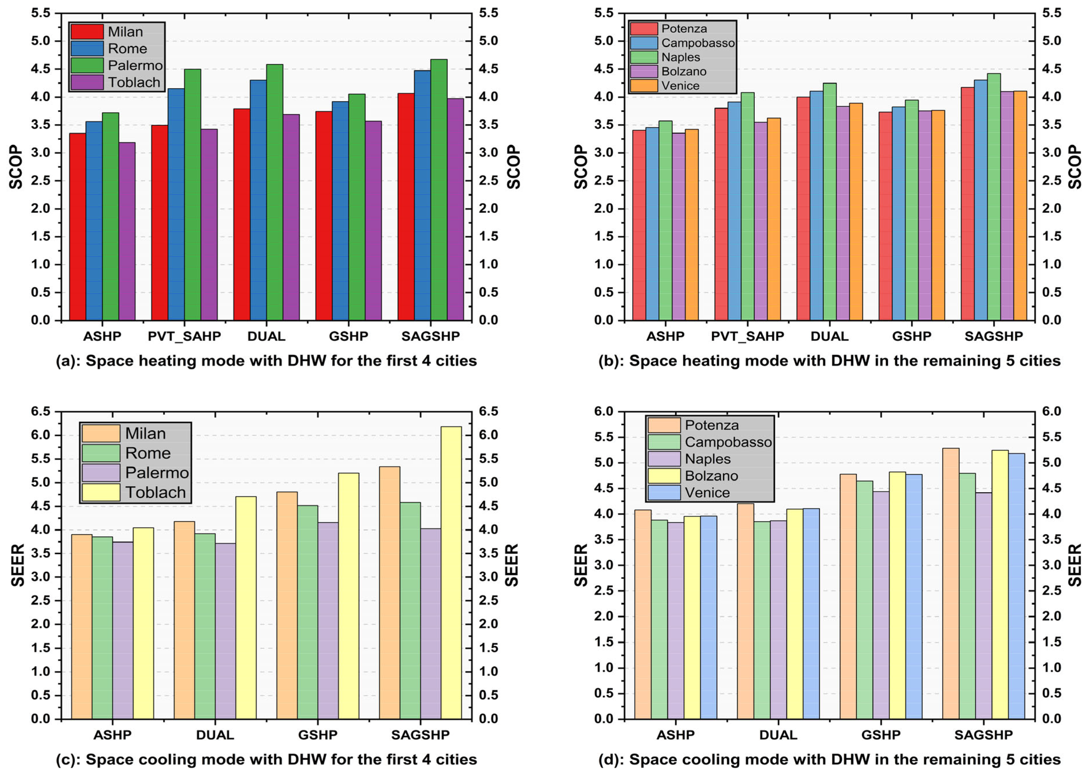
The simulation results for all cities are presented in Figure 3 and Table 3. These data not only are used for regression analysis but also provide a valuable comparative assessment of the different configurations across various climates.
In space heating mode, the results show that PVT-SAGSHP consistently achieves the highest SCOP, reaching 4.06 in Milan, 4.47 in Rome, and 4.68 in Palermo, while ASHP has the lowest in all cities, around 3.35 in Milan and 3.56 in Rome. Warmer climates improve solar-assisted systems’ efficiency due to higher irradiation, while GSHP performs better in colder regions, benefiting from stable ground temperatures. For instance, the SCOP of DUAL-PVT-AIR in Palermo is 4.59, but for GSHP it is 4.05. However, for Toblach, which has a cold climate, they have the same performance: the SCOP for DUAL-PVT-AIR and GSHP are 3.69 and 3.57, respectively.
In space cooling mode, the SEER is higher for PVT-SAGSHP and GSHP in all climates compared to air-source configurations. PVT-SAGSHP configuration has a higher variation in SEER across different cities: 5.33 in Milan, 5.18 in Venice, and 4.58 in Rome. However, in ASHP configuration, the SEERs are close to each other; for instance, the SEER of Milan is 3.90, and Rome is 3.85. Finally, the ground-source configuration showed a much better result compared to ASHP and DUAL-PVT-AIR due to constant soil temperature.

4.2. Regression-Based Performance Analysis

This section presents the regression-based performance analysis of various heat pump configurations. The analysis focuses on key influencing factors such as air temperature, ground temperature, and horizontal solar irradiation to understand how these variables affect system efficiency. The results are examined for two distinct operating modes: space heating and space cooling. Each mode is analyzed individually to provide insights into the predictive capabilities and accuracy of the regression models. There are 208 data points that are adopted for regression in space heating mode, and 84 data are adopted for space cooling.
The correlations between ambient temperature and COPs are shown in Figure 4 for space heating mode, and the correlation between soil temperature/irradiation and COP is presented in Figure 5. By increasing the ambient temperature, soil temperature, and irradiation, the COP for all configurations increases, and for space cooling, as ambient temperature or soil temperature increases, the EER decreases, as presented in Figure 6. Since in space cooling mode the solar radiation is used only for DHW production, its correlation with EER is not presented.
The regression equations presented below form the foundation of the simplified performance model, expressing the relationship between system efficiency (COP and EER) and key environmental parameters such as air temperature, solar irradiance, and soil temperature. Each configuration reflects different levels of sensitivity to these variables, depending on the energy sources involved. While the equations are mathematically straightforward for expert readers, their statistical robustness and practical implications are further clarified through detailed analysis in Section 4.2.1 and Section 4.2.2. Moreover, Table 4 provides an overview of the regression results, including R2 values and p-values for each variable, confirming the reliability and statistical significance of the models.
  • ASHP
COP = 3.13 + 0.045 × Air Temperature
EER = 5.8 − 0.08 × Air Temperature
  • PVT-SAHP
COP = 2.94 + 0.095 × Air Temperature + 1.21 × 10−6 × Irradiation
  • DUAL-PVT-AIR
COP = 3.28 + 0.08 × Air Temperature + 1.04 × 10−6 × Irradiation
EER= 6.96 − 0.13 × Air Temperature
  • GSHP
COP = 3.34 + 0.022 × Air Temperature + 0.024 × Soil Temperature
EER = 5.65 + 0.019 × Air Temperature − 0.08 × Soil Temperature
  • PVT-SAGSHP
COP = 3.84 + 0.07 × Air Temperature + 5.46 × 10−7 × Irradiation − 0.016 × Soil Temperature
EER = 9.54 − 0.11 × Air Temperature − 0.12 × Soil Temperature

4.2.1. Space Heating Mode

The performance of heat pump configurations in space heating is primarily influenced by environmental factors such as air temperature, soil temperature, and solar irradiance. ASHP relies solely on air temperature, showing a strong correlation between rising temperatures and increased SCOP. PVT-SAHP and Dual-PVT-AIR systems benefit from both air temperature and solar irradiance, demonstrating a notable improvement in efficiency under higher solar availability. GSHP depends on soil and air temperature, with soil temperature having a more significant impact, while PVT-SAGSHP integrates air, soil, and solar heat sources, offering the most adaptable and efficient performance across different climates. The regression models for all configurations confirm the strong statistical significance of these variables, with higher R2 values ranging from 0.86 to 0.95, indicating well-fitted models for performance prediction. In all configurations, the p-value is much lower than 0.05 emphasizing that all parameters are significant in the regression equations.

4.2.2. Space Cooling Mode

In space cooling mode, there are four configurations: ASHP, DUAL-PVT-AIR, GSHP, and PVT-SAGSHP, excluding PVT-SAHP since there is no need for solar irradiation in this mode, as mentioned in the methodology section. The efficiency of heat pump systems is influenced by air temperature and ground temperature. ASHP and DUAL-PVT-AIR exhibit an inverse relationship between air temperature and performance as higher ambient temperatures reduce efficiency, as presented in Figure 6. GSHP and PVT-SAGSHP benefit from stable underground temperatures, maintaining a more consistent performance across varying climates. The regression models indicate that cooling performance is more sensitive to extreme environmental conditions compared to heating, with some configurations showing a slight reduction in model accuracy (lower R2 values) due to more complex interactions between variables. Like space heating mode, the p-values are below 0.05, making the effect of variables significant in the analysis.

4.3. Study Limitations and Future Studies

This study provides valuable insights into heat pump performance across different climates but has some limitations. TRNSYS simulations, while accurate, rely on predefined assumptions and simplified models that do not fully capture real-world dynamics, such as part-load variations and transient effects.
The study focused on residential buildings with three infiltration rates, but results may differ for other types of residential buildings, commercial buildings, hospitals, or school buildings with varying heating and cooling demands. The regression models used only air temperature, ground temperature, and solar irradiation, but additional factors like humidity, wind speed, and building thermal mass could improve accuracy. For instance, humidity can affect heat exchanger performance and frost formation on external coils, while wind speed impacts convective heat transfer and can cause rapid temperature fluctuations. Part-load behavior, reflecting the system’s response to varying heating/cooling demand, influences overall efficiency but is challenging to model with steady-state regression. Expanding the data set to include extreme weather conditions would further refine predictions.
Another limitation is the assumption of water as the working fluid, while real-world systems often use water-glycol mixtures to prevent freezing, which affects heat transfer efficiency. Additionally, while regression-based models offer a quick estimation method, they require experimental validation to confirm real-world performance.
To strengthen the practical relevance of this study, future work will focus on experimental validation of regression models using data from operational heat pump systems. Such validation would enable the assessment of model accuracy under real-world conditions. Furthermore, collaboration with industry partners for monitored field trials is planned to refine and adapt the models for practical engineering applications.
Despite these constraints, the study lays a strong foundation for optimizing heat pump systems across different climates. Future research should focus on experimental validation, diverse building types, alternative working fluids, and improved dual-source heat pump modeling.

5. Conclusions

This study investigated the performance of various heat pump configurations using a regression-based approach to provide practical performance estimation tools. Five different heat pump systems—ASHP, PVT-SAHP, Dual-PVT-AIR, GSHP, and PVT-SAGSHP—were analyzed under two operational modes (space heating and space cooling), both with DHW across nine climatic zones in Italy. TRNSYS simulations were used to generate performance data, which were then employed to develop regression models correlating heat pump efficiency with key environmental parameters such as air temperature, ground temperature, and solar irradiation.
In space heating mode, the results highlight that hybrid systems like DUAL-PVT-AIR, particularly PVT-SAGSHP, consistently achieve the highest efficiency, with SCOP values reaching up to 4.68 in warm climates like Palermo and 4.06 in Milan (mild climate), benefiting from both stable geothermal energy and solar radiation. The lowest SCOP is for ASHP configuration since the air temperature varies a great deal during the day and seasonally reaches very high temperatures. In space cooling mode, similar to heating, PVT-SAGSHP performed best, followed closely by GSHP, benefiting from their stable energy sources, with SEER values of 5.33 and 4.8, respectively, in Milan.
The results showed a strong correlation between the selected parameters and both SCOP and SEER values, indicating that system performance is closely linked to environmental and operational conditions. The regression models demonstrated high accuracy, with R2 values ranging from 0.86 to 0.95, confirming their reliability in predicting performance across different configurations and climates. In all cases, the p-values of the regression coefficients were below 0.05, meaning the predictors were statistically significant.
These models provide a practical and efficient tool for engineers, designers, and policymakers, enabling preliminary performance assessments without the need for complex simulations. While this study offers valuable insights, certain limitations should be acknowledged. The regression models are based on numerical simulations and may require further validation with experimental data. Additionally, factors such as humidity, wind speed, and part-load variations were not included in the analysis but could further refine performance predictions. Future research should focus on incorporating additional influencing variables, validating the models with real-world data, and exploring broader applications across different building types and climate zones.
By addressing the need for accessible predictive models, this study contributes to optimizing heat pump system selection and design, supporting the transition toward more energy-efficient and sustainable building solutions.

Author Contributions

Conceptualization, R.A. and F.L.; Methodology, R.A.; Software, R.A.; Formal analysis, R.A.; Investigation, R.A.; Data curation, R.A.; Writing—review & editing, R.A. and F.L.; Visualization, F.L.; Supervision, F.L. All authors have read and agreed to the published version of the manuscript.

Funding

This research received no external funding.

Institutional Review Board Statement

Not applicable.

Informed Consent Statement

Not applicable.

Data Availability Statement

The data presented in this study are available on request from the corresponding author.

Conflicts of Interest

The authors declare no conflict of interest.

Abbreviations

The following abbreviations are used in this manuscript:
TRNSYSTransient System Simulation Tool
HVACHeating, Ventilation, and Air Conditioning
COPCoefficient of Performance
SCOPSeasonal Coefficient of Performance
EEREnergy Efficiency Ratio
SEERSeasonal Energy Efficiency Ratio
PVTPhotovoltaic–Thermal Collector
ASHPAir-Source Heat Pump
PVT-SAHPPhotovoltaic–Thermal Collector Solar-Assisted Heat Pump
DUAL-PVT-AIRDual Photovoltaic–Thermal Collector and Air-Source Heat Pump
GSHPGround-Source Heat Pump
PVT-SAGSHPPhotovoltaic–Thermal Collector Solar-Assisted Ground-Source Heat Pump
DHWDomestic Hot Water
HDDHeating Degree Days
CDDCooling Degree Days

References

  1. Zhang, D.; Zhou, Y.; Yu, Z.; Ma, T.; Wang, X. The Effect of Radiation Intensity on the Performance of Direct-Expansion Solar PVT Heat Pump Systems. Appl. Sci. 2024, 14, 6169. [Google Scholar] [CrossRef]
  2. Rostami, S.; Afrand, M.; Shahsavar, A.; Sheikholeslami, M.; Kalbasi, R.; Aghakhani, S.; Shadloo, M.S.; Oztop, H.F. A review of melting and freezing processes of PCM/nano-PCM and their application in energy storage. Energy 2020, 211, 118698. [Google Scholar] [CrossRef]
  3. Leonforte, F.; Miglioli, A.; Del Pero, C.; Aste, N.; Cristiani, N.; Croci, L.; Besagni, G. Design and performance monitoring of a novel photovoltaic-thermal solar-assisted heat pump system for residential applications. Appl. Therm. Eng. 2022, 210, 118304. [Google Scholar] [CrossRef]
  4. Miglioli, A.; Aste, N.; Del Pero, C.; Leonforte, F. Photovoltaic-thermal solar-assisted heat pump systems for building applications: Integration and design methods. Energy Built Environ. 2023, 4, 39–56. [Google Scholar] [CrossRef]
  5. Hughes, B.R.; Calautit, J.K.; Ghani, S.A. The development of commercial wind towers for natural ventilation: A review. Appl. Energy 2012, 92, 606–627. [Google Scholar] [CrossRef]
  6. Akeiber, H.; Nejat, P.; Majid, M.Z.A.; Wahid, M.A.; Jomehzadeh, F.; Zeynali Famileh, I.; Calautit, J.K.; Hughes, B.R.; Zaki, S.A. A review on phase change material (PCM) for sustainable passive cooling in building envelopes. Renew. Sustain. Energy Rev. 2016, 60, 1470–1497. [Google Scholar] [CrossRef]
  7. IEA. Net Zero by 2050, A Roadmap for the Global Energy Sector; IEA: Paris, France, 2021. [Google Scholar]
  8. IEA. Energy Systems, Heat-Pumps; IEA: Paris, France, 2024. [Google Scholar]
  9. Zhang, S.; Liu, S.; Wang, J.; Li, Y.; Yu, Z. Analysis of a solar-assisted heat pump system with hybrid energy storage for space heating. Appl. Therm. Eng. 2023, 231, 120884. [Google Scholar] [CrossRef]
  10. Cai, J.; Ji, J.; Wang, Y.; Zhou, F.; Yu, B. A novel PV/T-air dual source heat pump water heater system: Dynamic simulation and performance characterization. Energy Convers. Manag. 2017, 148, 635–645. [Google Scholar] [CrossRef]
  11. Mustafa Omer, A. Ground-source heat pumps systems and applications. Renew. Sustain. Energy Rev. 2008, 12, 344–371. [Google Scholar] [CrossRef]
  12. Sakellariou, E.I.; Wright, A.J.; Axaopoulos, P.; Oyinlola, M.A. PVT based solar assisted ground source heat pump system: Modelling approach and sensitivity analyses. Sol. Energy 2019, 193, 37–50. [Google Scholar] [CrossRef]
  13. Xiong, T.; Wu, H.; Hu, L.; Liu, G.; Yan, G. Optimal design of vapor-bypassed heat exchanger for performance improvement of air source heat pump system. Renew. Energy 2025, 249, 123219. [Google Scholar] [CrossRef]
  14. Hu, L.; Xiong, T.; Liu, G.; Xiao, Q.; Li, T.; Li, J.; Yan, G. Variable-circuitry heat exchanger for performance improvement of R290 air source heat pump system. Energy 2025, 318, 134818. [Google Scholar] [CrossRef]
  15. Dai, L.; Li, S.; DuanMu, L.; Li, X.; Shang, Y.; Dong, M. Experimental performance analysis of a solar assisted ground source heat pump system under different heating operation modes. Appl. Therm. Eng. 2015, 75, 325–333. [Google Scholar] [CrossRef]
  16. Pelella, F.; Zsembinszki, G.; Viscito, L.; William Mauro, A.; Cabeza, L.F. Thermo-economic optimization of a multi-source (air/sun/ground) residential heat pump with a water/PCM thermal storage. Appl. Energy 2023, 331, 120398. [Google Scholar] [CrossRef]
  17. Emmi, G.; Baccega, E.; Cesari, S.; Mainardi, E.; Bottarelli, M. Energy analysis of multi-source heat pump system: A real case study application. Renew. Energy 2024, 221, 119708. [Google Scholar] [CrossRef]
  18. Park, S.K.; Moon, H.J.; Min, K.C.; Hwang, C.; Kim, S. Application of a multiple linear regression and an artificial neural network model for the heating performance analysis and hourly prediction of a large-scale ground source heat pump system. Energy Build. 2018, 165, 206–215. [Google Scholar] [CrossRef]
  19. Reddy, T.A. Applied Data Analysis and Modeling for Energy Engineers and Scientists; Springer: Boston, MA, USA, 2011. [Google Scholar] [CrossRef]
  20. Zhao, H.; Magoulès, F. A review on the prediction of building energy consumption. Renew. Sustain. Energy Rev. 2012, 16, 3586–3592. [Google Scholar] [CrossRef]
  21. Xu, X.; Liu, J.; Wang, Y.; Xu, J.; Bao, J. Performance evaluation of ground source heat pump using linear and nonlinear regressions and artificial neural networks. Appl. Therm. Eng. 2020, 180, 115914. [Google Scholar] [CrossRef]
  22. Simon, F.; Ordoñez, J.; Reddy, T.A.; Girard, A.; Muneer, T. Developing multiple regression models from the manufacturer’s ground-source heat pump catalogue data. Renew. Energy 2016, 95, 413–421. [Google Scholar] [CrossRef]
  23. Song, Y.; Peskova, M.; Rolando, D.; Zucker, G.; Madani, H. Estimating electric power consumption of in-situ residential heat pump systems: A data-driven approach. Appl. Energy 2023, 352, 121971. [Google Scholar] [CrossRef]
  24. Emmi, G.; Zarrella, A.; De Carli, M. A heat pump coupled with photovoltaic thermal hybrid solar collectors: A case study of a multi-source energy system. Energy Convers. Manag. 2017, 151, 386–399. [Google Scholar] [CrossRef]
  25. Bertram, E.; Glembin, J.; Rockendorf, G. Unglazed PVT collectors as additional heat source in heat pump systems with borehole heat exchanger. Energy Procedia 2012, 30, 414–423. [Google Scholar] [CrossRef]
  26. Varney, K.E.; Vahdati, M.M. Simulations of a photovoltaic-thermal ground source heat pump system. Proc. Inst. Civ. Eng.-Eng. Sustain. 2015, 168, 28–37. [Google Scholar] [CrossRef]
  27. Yu, Y.; Yang, H.; Peng, J.; Long, E. Performance comparisons of two flat-plate photovoltaic thermal collectors with different channel configurations. Energy 2019, 175, 300–308. [Google Scholar] [CrossRef]
  28. Bakker, M.; Zondag, H.A.; Elswijk, M.J.; Strootman, K.J.; Jong, M.J.M. Performance and costs of a roof-sized PV/thermal array combined with a ground coupled heat pump. Sol. Energy 2005, 78, 331–339. [Google Scholar] [CrossRef]
  29. ASHRAE 90.2-1993; Energy-Efficient Design of New Low-Rise Residential Buildings. ASHRAE: Peachtree Corners, GA, USA, 1993.
Figure 1. Methodology workflow for system analysis.
Figure 1. Methodology workflow for system analysis.
Sustainability 17 06804 g001
Figure 2. Simulation Configurations.
Figure 2. Simulation Configurations.
Sustainability 17 06804 g002
Figure 3. Simulation results for all cities.
Figure 3. Simulation results for all cities.
Sustainability 17 06804 g003
Figure 4. Correlation between ambient temperature and COPs in space heating mode.
Figure 4. Correlation between ambient temperature and COPs in space heating mode.
Sustainability 17 06804 g004
Figure 5. Correlation between irradiation, soil temperature, and COPs in space heating mode.
Figure 5. Correlation between irradiation, soil temperature, and COPs in space heating mode.
Sustainability 17 06804 g005
Figure 6. Correlation between EER and different parameters in space cooling mode.
Figure 6. Correlation between EER and different parameters in space cooling mode.
Sustainability 17 06804 g006
Table 1. Weather data for all cities.
Table 1. Weather data for all cities.
CityAverage Temperature (C°)Soil Temperature (°C)HDDCDD
Milan11.4142783410
Rome15.5172073435
Palermo18.5201207673
Potenza11.3133165164
Campobasso12153034241
Naples16181808521
Bolzano1214427493
Venice12142354368
Toblach7.310587912
Table 2. Parametric simulation data.
Table 2. Parametric simulation data.
UnitValue
BuildingGeometryRooms-5
Volumem3998.76
Aream2237
Roof slope°30
EnvelopeAverage U-valueW/m2/k0.298
ThermophysicalInfiltration rate1/h0.1, 0.3, 0.5
Internal gainW/m24
ControlHeating set point°C20
Cooling set point°C24
ComponentsHeat PumpFlow ratekg/m31000
CapacitykJ/h3000
Scale factor-1 to 2.3
Fan CoilOutlet temperature for space heating°C30
Outlet temperature for space cooling°C18
PVTAzimuth°180
Lengthm2
Widthm30
Flow ratekg/m2500
Number of tubes-30
BoreholesNumber of boreholes-3
Lengthm60
Storage heat capacitykJ/m3/K2400
Soil temperature°CTable 1
Connection of the U pipes-Parallel
Table 3. Simulation results for space heating and cooling modes.
Table 3. Simulation results for space heating and cooling modes.
CitySpace Heating (SCOP)Space Cooling (SEER)
ASHPPVT-SAHPDUALGSHPPVT-SAGSHPASHPDUALGSHPPVT-SAGSHP
Milan3.353.53.793.744.063.94.184.85.33
Rome3.564.154.33.924.473.853.924.524.58
Palermo3.724.504.594.054.683.743.724.164.02
Potenza3.403.804.003.734.184.084.204.785.29
Campobasso3.453.914.103.824.303.893.854.654.80
Naples3.574.084.253.954.423.843.874.444.46
Bolzano3.353.553.833.754.103.954.104.825.25
Venice3.423.623.893.764.113.964.114.775.18
Toblach3.193.423.693.573.974.044.705.206.18
Table 4. Regression analysis results for both modes.
Table 4. Regression analysis results for both modes.
Space HeatingSpace Cooling
ConfigurationsR2p-Value
Intercept
p-Value
Air Temperature
p-Value
Irradiation
p-Value Soil TemperatureR2p-Value
Intercept
p-Value
Air Temperature
p-Value
Soil Temperature
ASHP0.931× 10−2881.9 × 10−122--0.834.55 × 10−711.75 × 10−33-
PVT-SAHP0.886.5 × 10−1543.26 × 10−522.23 × 10−15-----
DUAL-PVT-AIR0.879.1× 10−1741.65 × 10−491.56 × 10−14-0.841.72× 10−637.17 × 10−35-
GSHP0.804.3 × 10−2013.45 × 10−43-6.92 × 10−240.793.4 × 10−550.0271.56 × 10−23
PVT-SAGSHP0.846.9 × 10−1232.36 × 10−381.83 × 10−50.0020.933.18× 10−633.92× 10−163.29× 10−25
Disclaimer/Publisher’s Note: The statements, opinions and data contained in all publications are solely those of the individual author(s) and contributor(s) and not of MDPI and/or the editor(s). MDPI and/or the editor(s) disclaim responsibility for any injury to people or property resulting from any ideas, methods, instructions or products referred to in the content.

Share and Cite

MDPI and ACS Style

Alijani, R.; Leonforte, F. Performance Analysis of Multi-Source Heat Pumps: A Regression-Based Approach to Energy Performance Estimation. Sustainability 2025, 17, 6804. https://doi.org/10.3390/su17156804

AMA Style

Alijani R, Leonforte F. Performance Analysis of Multi-Source Heat Pumps: A Regression-Based Approach to Energy Performance Estimation. Sustainability. 2025; 17(15):6804. https://doi.org/10.3390/su17156804

Chicago/Turabian Style

Alijani, Reza, and Fabrizio Leonforte. 2025. "Performance Analysis of Multi-Source Heat Pumps: A Regression-Based Approach to Energy Performance Estimation" Sustainability 17, no. 15: 6804. https://doi.org/10.3390/su17156804

APA Style

Alijani, R., & Leonforte, F. (2025). Performance Analysis of Multi-Source Heat Pumps: A Regression-Based Approach to Energy Performance Estimation. Sustainability, 17(15), 6804. https://doi.org/10.3390/su17156804

Note that from the first issue of 2016, this journal uses article numbers instead of page numbers. See further details here.

Article Metrics

Back to TopTop